Fatigue Damage and Reliability Assessment of Wind Turbine Structure During Service Utilizing Real-Time Monitoring Data
Abstract
1. Introduction
2. Wind Speed Simulation and Wind Load Calculation
2.1. Calculation Method of Load on Wind Turbine Structure
2.2. Time History Simulation Method of Fluctuating Wind Speed
3. ABAQUS Wind Turbine Model Numerical Simulation
3.1. Modeling of Wind Turbine Tower
3.2. Modal Analysis of Wind Turbine Tower
3.3. Instantaneous Modal Dynamic Analysis of Wind Turbine Tower
4. Fatigue Cumulative Loss and Reliability Analysis at the Maximum Stress of the Wind Turbine Tower
4.1. Fatigue Cumulative Damage and Reliability of Structures
4.2. Reliability Analysis of Wind Turbine Tower
4.3. Nonlinear Fatigue Cumulative Damage Analysis of Wind Turbine Towers in the Region of Maximum Stresses
5. Conclusions
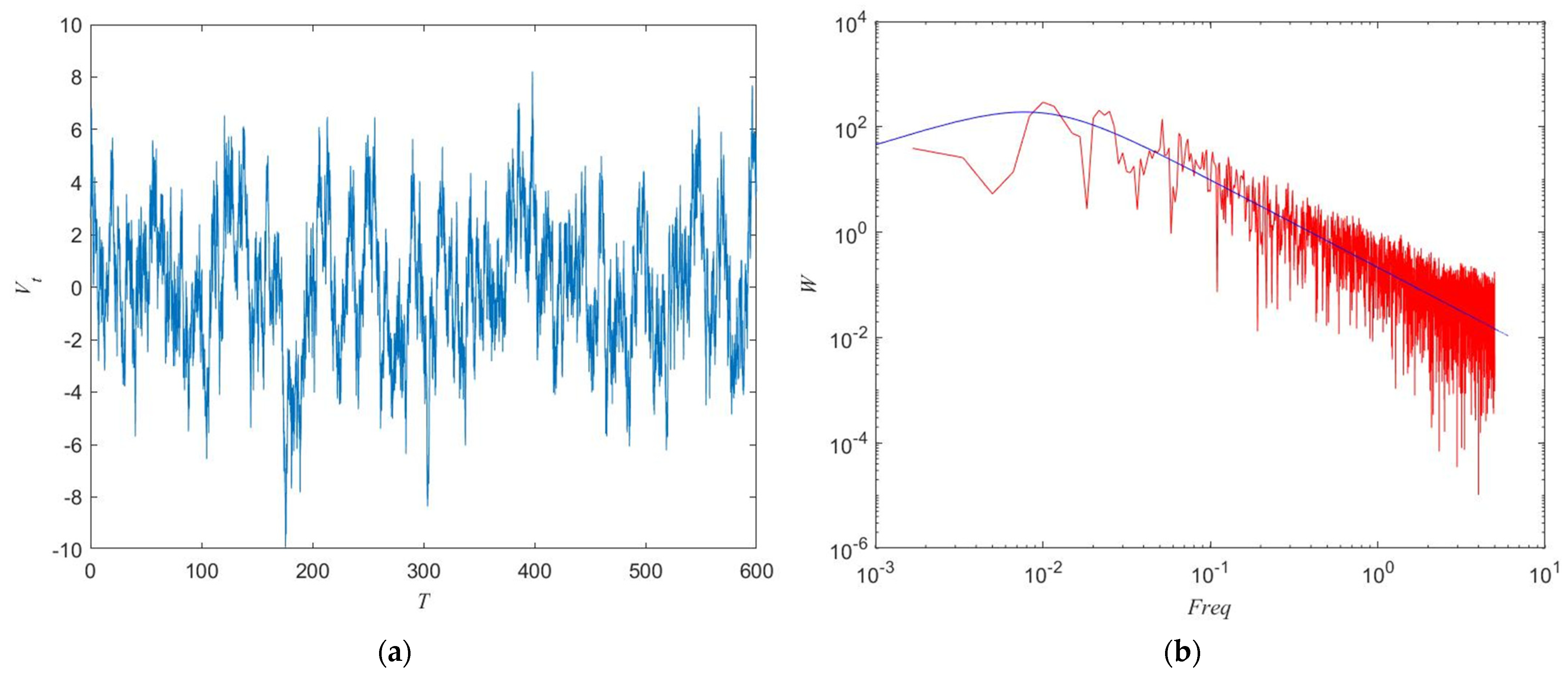
- Utilizing the real-time wind speed data measured by the SCADA system, the mean wind speeds at the standard height of 10 m and other required positions are obtained through the exponential model formula. To simulate the fluctuating wind speed time history using the Davenport spectrum, the wind spectrum is adopted through the harmonic superposition method, and the simulation results are verified. The wind speed time series and wind load time series are calculated accordingly. This approach renders the obtained calculation results more reasonable.
- The optimized wind-driven generator model was built in ABAQUS. First of all, its modal analysis to obtain its inherent frequency and modal vibration, according to the wind-driven generator low-order inherent frequency and impeller rotation frequency to judge the wind-driven generator tower and impeller that will not occur resonance phenomenon, further verifies the rationality of the wind-driven generator tower model established in this paper. Then, the wind load time series is applied to the structural model, and the instantaneous modal dynamics analysis is carried out to obtain the stress time history diagram. The maximum stress area of the obtained wind-driven generator tower is the connection area with the foundation ring, which is consistent with engineering practice.
- The stress time range of the maximum stress area of the wind-driven generator tower is extracted. And the statistical analysis shows that the mean stress is not zero. Therefore, the equivalent stress amplitude is obtained using the Goodman conversion formula for the stress amplitude S. The rainfall counting method was applied to them to obtain 16 levels of stress amplitudes, which were subsequently fitted with a Weibull distribution. The fatigue reliability of the maximum stress region is obtained using the traditional structural fatigue reliability analysis method, and its fatigue reliability gradually decreases with the increase of time. From Table 10, it can be seen that the fatigue reliability is 22.14% when it reaches 20 years, which means that the fatigue failure probability is 77.86%. And the nonlinear fatigue cumulative damage analysis was carried out on the maximum stress region of the wind-driven generator tower. The results are shown in Table 11, and the cumulative damage for one day is 3.53976 × 10−7. The probability of fatigue damage is higher in 20 years, so it is necessary to carry out real-time monitoring and irregular maintenance of the wind-driven generator tower under normal operation, for example, the use of a SCADA system for monitoring and every six months on the tower body of the weak parts of the maintenance and reinforcement and so on. At the same time, manufacturers in the production process can be used in a more high-strength steel (strength greater than Q345) to reduce the tensile average stress on the stress amplitude S of the impact. In this way, the probability of fatigue failure of wind-driven generators within the designed service life can be reduced.
Author Contributions
Funding
Data Availability Statement
Acknowledgments
Conflicts of Interest
References
- De Azevedo, H.; Araújo, A.; Alex, M.; Bouchonneau, N. A review of wind turbine bearing condition monitoring: State of the art and challenges. Renew. Sust. Energy Rev. 2016, 56, 368–379. [Google Scholar] [CrossRef]
- Kusiak, A.; Li, W. The prediction and diagnosis of wind turbine faults. Renew. Energy 2011, 36, 16–23. [Google Scholar] [CrossRef]
- Yang, W.; Tavner, P.J.; Crabtree, C.J.; Wilkinson, M. Cost-Effective Condition Monitoring for Wind Turbines. IEEE Trans. Ind. Electron. 2010, 57, 263–271. [Google Scholar] [CrossRef]
- McMillan, D.; Ault, G.W. Condition monitoring benefit for onshore wind turbines: Sensitivity to operational parameters. Iet Renew. Power Gen. 2008, 2, 60–72. [Google Scholar] [CrossRef]
- Nilsson, J.; Bertling, L. Maintenance Management of Wind Power Systems Using Condition Monitoring Systems-Life Cycle Cost Analysis for Two Case Studies. IEEE Trans. Energy Conver. 2007, 22, 223–229. [Google Scholar] [CrossRef]
- Jin, X.; Xu, Z.; Qiao, W. Condition Monitoring of Wind Turbine Generators Using SCADA Data Analysis. IEEE Trans. Sustain. Energy 2021, 12, 202–210. [Google Scholar] [CrossRef]
- Liu, J.; Corbita, N.; Lee, R.; Wang, C. Wind Turbine Anomaly Detection Using Mahalanobis Distance and SCADA Alarm Data. Appl. Sci. 2022, 12, 8661. [Google Scholar] [CrossRef]
- Zhang, S.; Lang, Z. SCADA-data-based wind turbine fault detection: A dynamic model sensor method. Control Eng. Pract. 2020, 102, 104–546. [Google Scholar] [CrossRef]
- Zhang, F.; Wen, Z.; Liu, D.; Jiao, J.; Wan, H.; Zeng, B. Calculation and Analysis of Wind Turbine Health Monitoring Indicators Based on the Relationships with SCADA Data. Appl. Sci. 2020, 10, 410. [Google Scholar] [CrossRef]
- Wen, W.; Liu, Y.; Sun, R.; Liu, Y. Research on Anomaly Detection of Wind Farm SCADA Wind Speed Data. Energies 2022, 15, 5869. [Google Scholar] [CrossRef]
- Dai, J.; Yang, W.; Cao, J.; Liu, D.; Long, X. Ageing assessment of a wind turbine over time by interpreting wind farm SCADA data. Renew. Energy 2018, 116, 199–208. [Google Scholar] [CrossRef]
- Liu, X.; Du, J.; Ye, Z. A Condition Monitoring and Fault Isolation System for Wind Turbine Based on SCADA Data. IEEE Trans. Ind. Inform. 2020, 18, 986–995. [Google Scholar] [CrossRef]
- Tang, M.; Chen, W.; Zhao, Q.; Wu, H.; Long, W.; Huang, B.; Liao, L.; Zhang, K. Development of an SVR Model for the Fault Diagnosis of Large-Scale Doubly-Fed Wind Turbines Using SCADA Data. Energies 2019, 12, 3396. [Google Scholar] [CrossRef]
- Zhang, Z.; Kusiak, A. Monitoring Wind Turbine Vibration Based on SCADA Data. J. Sol. Energy Eng. 2012, 134, 021004. [Google Scholar] [CrossRef]
- Haghi, R.; Stagg, C.; Crawford, C. Wind Turbine Damage Equivalent Load Assessment Using Gaussian Process Regression Combining Measurement and Synthetic Data. Energies 2024, 17, 346. [Google Scholar] [CrossRef]
- Fang, R.; Wang, Y.; Shang, R.; Liang, Y.; Wang, L.; Peng, C. The ultra-short term power prediction of wind farm considering operational condition of wind turbines. Int. J. Hydrogen Energy 2016, 41, 15733–15739. [Google Scholar] [CrossRef]
- Yan, Y.; Li, J.; Gao, D. Condition Parameter Modeling for Anomaly Detection in Wind Turbines. Energies 2014, 7, 3104–3120. [Google Scholar] [CrossRef]
- Liu, Y.; Cheng, H.; Kong, X.; Wang, Q.; Cui, H. Intelligent wind turbine blade icing detection using supervisory control and data acquisition data and ensemble deep learning. Energy Sci. Eng. 2019, 7, 2633–2645. [Google Scholar] [CrossRef]
- Takanashi, M.; Sato, S.; Indo, K.; Nishihara, N.; Ichikawa, H.; Watanabe, H. Anomaly Prediction for Wind Turbines Using an Autoencoder Based on Power-Curve Filtering. IEICE Trans. Inf. Syst. 2021, 104, 1506–1509. [Google Scholar] [CrossRef]
- Horn, J.; Leira, B. Fatigue reliability assessment of offshore wind turbines with stochastic availability. Reliab. Eng. Syst. Safe 2019, 191, 106550. [Google Scholar] [CrossRef]
- Zhu, D.; Ding, Z.; Huang, X.; Li, X. Probabilistic modeling for long-term fatigue reliability of wind turbines based on Markov model and subset simulation. Int. J. Fatigue 2023, 173, 107685. [Google Scholar] [CrossRef]
- Liu, Z.; Liu, H.; Shao, Z.; Liang, J.; Tang, R. CCZM-based fatigue analysis and reliability assessment for wind turbine blade adhesive joints considering parameter uncertainties. Qual. Reliab. Eng. Int. 2024, 40, 3037–3054. [Google Scholar] [CrossRef]
- Liu, G.; Liu, H.; Zhu, C. Design optimization of a wind turbine gear transmission based on fatigue reliability sensitivity. Front. Mech. Eng. 2021, 16, 61–79. [Google Scholar] [CrossRef]
- Velarde, J.; Kramhøft, C.; Sørensen, J.; Zorzi, G. Fatigue reliability of large monopiles for offshore wind turbines. Int. J. Fatigue 2020, 134, 105487. [Google Scholar] [CrossRef]
- Bai, H.; Shi, L.; Aoues, Y.; Huang, C.; Lemosse, D. Estimation of probability distribution of long-term fatigue damage on wind turbine tower using residual neural network. Mech. Syst. Signal Process. 2023, 190, 110101. [Google Scholar] [CrossRef]
- Yuan, R.; Chen, R.; Li, H.; Yang, W.; Li, X. Dynamic reliability evaluation and life prediction of transmission system of multi-performance degraded wind turbine. Comput. Model. Eng. Sci. 2023, 135, 2331–2347. [Google Scholar] [CrossRef]
- Toft, H.; Svenningsen, L.; Sørensen, J.; Moser, W.; Thøgersen, M. Uncertainty in wind climate parameters and their influence on wind turbine fatigue loads. Renew. Energy 2016, 90, 352–361. [Google Scholar] [CrossRef]
- Liu, Z.; He, Z.; Tu, L.; Liu, X.; Liu, H.; Liang, J. A fatigue reliability assessment approach for wind turbine blades based on continuous time Bayesian network and FEA. Qual. Reliab. Eng. Int. 2023, 39, 1603–1621. [Google Scholar] [CrossRef]
- Zhang, C.; Chen, H.; Tee, K.; Liang, D. Reliability-Based Lifetime Fatigue Damage Assessment of Offshore Composite Wind Turbine Blades. J. Aerosp. Eng. 2021, 34, 04021019. [Google Scholar] [CrossRef]
- Nejad, A.; Gao, Z.; Moan, T. On long-term fatigue damage and reliability analysis of gears under wind loads in offshore wind turbine drivetrains. Int. J. Fatigue 2014, 61, 116–128. [Google Scholar] [CrossRef]
- Zhang, Z.; Liu, X.; Zhang, Y.; Zhou, M.; Chen, J. Time interval of multiple crossings of the Wiener process and a fixed threshold in engineering. Mech. Syst. Signal Process. 2020, 135, 106389. [Google Scholar] [CrossRef]
- Zhang, Z.; Zhao, C.; Zhao, Z.; Wang, F.; Zhao, B. Structural fatigue reliability evaluation based on probability analysis of the number of zero-crossings of stochastic response process. Eng. Fail. Anal. 2023, 143, 106923. [Google Scholar] [CrossRef]
- Zhang, Z.; Liu, Y.; Wang, L.; Li, W.; Ma, G. Probability Analysis of Duration of Stochastic Process Exceeding Fixed Threshold and its Application on Structural Cumulative Damage and Fatigue Reliability Evaluation. ASCE-ASME J. Risk Uncertain. Eng. Syst. 2024, 10, 04024007. [Google Scholar] [CrossRef]
- Pastorcic, D.; Vukelic, G.; Bozic, Z. Coil spring failure and fatigue analysis. Eng. Fail. Anal. 2019, 99, 310–318. [Google Scholar] [CrossRef]
- Weibring, M.; Gondecki, L.; Tenberge, P. Simulation of fatigue failure on tooth flanks in consideration of pitting initiation and growth. Tribol. Int. 2019, 131, 299–307. [Google Scholar] [CrossRef]
- GB(50135-2019); Standard for Design of High-Rising Structures. China Architecture Industry Press: Beijing, China, 2019.
- Shinozuka, M. Simulation of Multivariate and Multidimensional Random Processes. J. Acoust. Soc. Am. 1971, 49, 357–368. [Google Scholar] [CrossRef]
- He, Y.; Jiang, Y.; Zhang, J. Simulation of turbulent wind field with phase angle. Eng. Mech. 2008, 25, 25–29. [Google Scholar]
- Zhou, J.; Liu, G.; Ma, S. Vibration and noise analysis of two-stage marine planetary reducer. J. Ship Mech. 2014, 18, 201–208. [Google Scholar]
- Niu, Q. New Energy Technologies-Wind Energy Technology; Science Press: Beijing, China, 2009. [Google Scholar]
- GB 50017-2017; Standard for Design of Steel Structures. China Architecture & Building Press: Beijing, China, 2017.
- Zhang, Z.; Li, Q.; Zhang, C. Research on bogie reliability based on probabilistic cumulative damage and Wiener process. J. South China Univ. Technol. 2019, 47, 90–98. [Google Scholar] [CrossRef]
- Yang, X.; Chen, C. Fatigue and Fracture; Huazhong University of Science & Technology Press: Wuhan, China, 2018. [Google Scholar]
- Fu, Z.S.; Hu, X.Y.; Zhang, J.H. A new fatigue life prediction method based on nonlinear fatigue cumulative damage generalized expression. J. Mech. Sci. Technol. 2022, 36, 205–212. [Google Scholar] [CrossRef]
- Benkabouche, S.; Guechichi, H.; Amrouche, A.; Benkhettab, M. A modified nonlinear fatigue damage accumulation model under multiaxial variable amplitude loading. Int. J. Mech. Sci. 2015, 100, 180–194. [Google Scholar] [CrossRef]













| Parameter Name | Analog Points | Wind Frequency Range/Hz | Number of Intervals N | Time Increment/s | Sampling Spacing/s |
|---|---|---|---|---|---|
| Parameter Value | 4 | 0.001–6 | 6000 | 0.1 | 600 |
| Tower Structure | Lower Section | Middle Section | Upper Section |
|---|---|---|---|
| Height (m) | 14.86 | 28.315 | 32.102 |
| Bottom outer diameter (m) | 4.5 | 4.5 | 3.9 |
| Top outer diameter (m) | 4.5 | 3.9 | 3.07 |
| Wall thickness (m) | 0.05 | 0.05 | 0.02 |
| Stress σ (MPa) | 414 | 465 | 543 | 606 | 671 | 708 | 773 |
| Strain ε (%) | 0 | 0.0428 | 0.903 | 0.1384 | 0.1782 | 0.2175 | 0.2663 |
| Material Name | Modulus of Elasticity (GPa) | Poisson’s Ratio | Standard Value of Tensile Strength (MPa) | Standard Value of Compressive Strength (MPa) | |
|---|---|---|---|---|---|
| C40 concrete | 2500 | 32.5 | 0.2 | 2.39 | 26.8 |
| Q345 steel | 7850 | 200 | 0.3 | 345 | 345 |
| Order | 1 | 2 | 3 | 4 |
|---|---|---|---|---|
| Natural frequency (Hz) | 0.7891 | 0.8523 | 0.8623 | 1.2553 |
| Order | 1 | 2 | 3 | 4 |
|---|---|---|---|---|
| Relative difference with (%) | 231.15 | 257.66 | 261.86 | 426.77 |
| (%) | 10.38 | 19.22 | 20.62 | 75.59 |
| Rayleigh Damping Coefficient | ||
|---|---|---|
| Coefficient value | 0.250511 | 0.009938 |
| Amplitude/MPa | 0.52 | 1.16 | 1.80 | 2.43 | 3.07 | 3.71 | 4.35 | 4.99 |
| Times (× 103) | 211.54 | 423.08 | 730.77 | 538.46 | 682.69 | 538.46 | 509.62 | 519.23 |
| Frequency | 0.04231 | 0.08462 | 0.14615 | 0.10769 | 0.13654 | 0.10769 | 0.10192 | 0.10385 |
| Amplitude/MPa | 5.63 | 6.27 | 6.90 | 7.54 | 8.18 | 8.82 | 9.46 | 10.10 |
| Times (× 103) | 346.15 | 192.31 | 134.62 | 19.23 | 28.85 | 38.462 | 48.08 | 38.46 |
| Frequency | 0.06923 | 0.03846 | 0.02692 | 0.00385 | 0.00577 | 0.00769 | 0.00962 | 0.00769 |
| Fitting Method | Scale Parameter A | Shape Parameter B |
|---|---|---|
| Least square method | 4.01286 | 1.93306 |
| T (Unit: years) | 0 | 1 | 2 | 3 | 4 | 5 | 6 |
| Reliability (%) | 100 | 97.00 | 89.75 | 81.84 | 74.38 | 67.64 | 61.66 |
| T (Unit: years) | 7 | 8 | 9 | 10 | 11 | 12 | 13 |
| Reliability (%) | 56.37 | 51.69 | 47.54 | 43.84 | 40.55 | 37.60 | 34.95 |
| T (Unit: years) | 14 | 15 | 16 | 17 | 18 | 19 | 20 |
| Reliability (%) | 32.55 | 30.39 | 28.42 | 26.63 | 25.00 | 23.51 | 22.14 |
| Loading Series | Stress Amplitude | Number of Iterations | Extreme Fatigue Life | Accumulated Damage |
|---|---|---|---|---|
| 1 | 0.52 | 211,540 | 8.76055 × 1011 | 8.7811 × 10−9 |
| 2 | 1.16 | 423,080 | 6.88645 × 1011 | 3.13201 × 10−8 |
| 3 | 1.8 | 730,770 | 6.03602 × 1011 | 7.59516 × 10−8 |
| 4 | 2.43 | 538,460 | 5.51633 × 1011 | 1.12056 × 10−7 |
| 5 | 3.07 | 538,460 | 5.1427 × 1011 | 1.50884 × 10−7 |
| 6 | 3.71 | 538,460 | 4.8587 × 1011 | 1.92069 × 10−7 |
| 7 | 4.35 | 509,620 | 4.63218 × 1011 | 2.33026 × 10−7 |
| 8 | 4.99 | 519,230 | 4.44531 × 1011 | 2.76577 × 10−7 |
| 9 | 5.63 | 346,150 | 4.28726 × 1011 | 3.06722 × 10−7 |
| 10 | 6.27 | 192,310 | 4.151 × 1011 | 3.2404 × 10−7 |
| 11 | 6.90 | 134,620 | 4.03346 × 1011 | 3.36529 × 10−7 |
| 12 | 7.54 | 19,230 | 3.92754 × 1011 | 3.38364 × 10−7 |
| 13 | 8.18 | 28,850 | 3.83271 × 1011 | 3.41186 × 10−7 |
| 14 | 8.82 | 38,462 | 3.74707 × 1011 | 3.45037 × 10−7 |
| 15 | 9.46 | 48,080 | 3.66915 × 1011 | 3.49959 × 10−7 |
| 16 | 10.10 | 38,460 | 3.59779 × 1011 | 3.53976 × 10−7 |
Disclaimer/Publisher’s Note: The statements, opinions and data contained in all publications are solely those of the individual author(s) and contributor(s) and not of MDPI and/or the editor(s). MDPI and/or the editor(s) disclaim responsibility for any injury to people or property resulting from any ideas, methods, instructions or products referred to in the content. |
© 2024 by the authors. Licensee MDPI, Basel, Switzerland. This article is an open access article distributed under the terms and conditions of the Creative Commons Attribution (CC BY) license (https://creativecommons.org/licenses/by/4.0/).
Share and Cite
Wang, J.; Liu, Y.; Zhang, Z. Fatigue Damage and Reliability Assessment of Wind Turbine Structure During Service Utilizing Real-Time Monitoring Data. Buildings 2024, 14, 3453. https://doi.org/10.3390/buildings14113453
Wang J, Liu Y, Zhang Z. Fatigue Damage and Reliability Assessment of Wind Turbine Structure During Service Utilizing Real-Time Monitoring Data. Buildings. 2024; 14(11):3453. https://doi.org/10.3390/buildings14113453
Chicago/Turabian StyleWang, Jiaxing, Yu Liu, and Zhenhao Zhang. 2024. "Fatigue Damage and Reliability Assessment of Wind Turbine Structure During Service Utilizing Real-Time Monitoring Data" Buildings 14, no. 11: 3453. https://doi.org/10.3390/buildings14113453
APA StyleWang, J., Liu, Y., & Zhang, Z. (2024). Fatigue Damage and Reliability Assessment of Wind Turbine Structure During Service Utilizing Real-Time Monitoring Data. Buildings, 14(11), 3453. https://doi.org/10.3390/buildings14113453

