Abstract
To systematically analyze the impact of manufactured sand on the abrasion resistance of concrete, this paper investigates the correlation between sand type, sand ratio, stone powder content, compressive strength, and the abrasion resistance of manufactured sand concrete. Grey correlation analysis was conducted to assess the impact priority of each factor affecting the abrasion resistance, and prediction models for the abrasion resistance were developed using XGBoost, random forest, AdaBoost, and gradient boosting. The results indicate that compared to river sand concrete, C30 and C40 concrete prepared with limestone and diabase manufactured sand has 20% higher abrasion resistance due to the presence of stone powder and higher roughness and solidity. Within the range of 0.40 to 0.44, a lower sand ratio leads to higher abrasion resistance. For concrete prepared with manufactured sand containing 5% to 11% stone powder, the best abrasion resistance can be attained at a stone powder content of 9%, and microscopic analysis suggests the highest concrete density at this level. According to grey system theory, the influence of each affecting factor on the abrasion resistance follows the order: sand ratio > crushing value > roughness > compressive strength > stone powder content > 0.6. Compared to gradient boosting, random forest, and AdaBoost models, the XGBoost model adopted in this study showed relatively higher R2 and lower RMSE in both the training and testing sets, which proved its higher accuracy in predicting the abrasion loss of manufactured sand concrete. The machine learning models offer some guidance for predicting and enhancing the abrasion resistance of manufactured sand concrete in practical engineering.
1. Introduction
China has put great effort into the construction of transportation infrastructure along with civil and industrial buildings, leading to a significant surge in the demand for construction sand. Natural sand, which has long been the most commonly used fine aggregate in concrete, has become increasingly scarce and fails to meet construction needs, so it is imperative to use manufactured sand as a substitute. Unlike natural sand, manufactured sand has rough surfaces, sharp and angular particles, high stone powder content, poor gradation, and a larger fineness modulus [1,2,3], which may affect the various properties of manufactured sand concrete. When manufactured sand concrete is applied to road surfaces, the abrasion resistance is an essential index for assessing concrete durability, which can greatly affect the service life of the pavement [4,5,6]. Therefore, it is necessary to clarify the factors affecting the abrasion resistance of concrete to enhance the longevity of concrete pavements [7,8,9]. At present, the abrasion resistance evaluation of manufactured sand concrete mainly relies on indoor tests, making it difficult to meet the needs of large-scale sample testing [10,11]. Accurately predicting the abrasion resistance of manufactured sand concrete is beneficial for improving the durability of manufactured sand concrete pavement, extending its service life, and reducing resource waste [12,13,14]. Therefore, adopting an efficient and accurate method to predict the abrasion resistance evaluation of manufactured sand concrete is of great significance [15].
Many researchers have conducted studies on this issue. Li et al. [16] found a strong correlation between the abrasion resistance and the roughness and crushing value of manufactured sand, but a weak correlation with SiO2 content. Some scholars suggested that a stone powder content not exceeding 10% in manufactured sand can improve the microhardness of the interfacial transition zone [17,18], with SEM confirming that stone powder can accelerate the formation of a meshed C-S-H gel [18]. Actually, stone powder has nucleation, filling, and chemical effects. It can induce and accelerate cement hydration, fill microvoids in the matrix to enhance concrete density, and react with tricalcium aluminate in clinker to form hydrated calcium aluminate, improving the mechanical properties and durability of concrete [19,20,21]. Rao et al. [22] indicated that compared to flexural strength, compressive strength has a stronger correlation with the abrasion resistance at different replacement rates of manufactured sand. Research has shown that the wide variety of mineral admixtures makes it difficult to select one for use and determine its amount. It would be more straightforward to improve concrete performance by exploring the relationship between the abrasion resistance and strength of concrete. It should be noted that even different types of concrete with the same strength have differences in the abrasion resistance due to factors like sand ratio and aggregate size [17]. Therefore, the distinct characteristics of manufactured sand compared to natural sand can have an impact on the abrasion resistance, and it is necessary to clarify the research on the influence of manufactured sand on the abrasion resistance of concrete. Previous studies have shown that compressive strength is the most important factor affecting the abrasion resistance of manufactured sand concrete [23], but Ke et al. attempted to analyze the correlation between various factors and the abrasion resistance of mechanism sand concrete through grey system theory, and their study showed that the most sensitive factor affecting the abrasion resistance is the stone powder content [24]. However, there are relatively few factors considered in related research, and only a small amount of experimental data has been analyzed. The analysis of factors affecting the abrasion resistance of manufactured sand concrete is still limited and not systematic enough.
Moreover, in order to predict the abrasion resistance of manufactured sand concrete and solve the difficulties in prediction and optimization in practical engineering, some researchers have proposed multifactor models for the abrasion resistance of concrete and established prediction models through regression analysis or other methods [25,26]. However, these models are only simple numerical analyses, and their accuracy and stability in practical applications still need further verification. In recent years, machine learning (ML) has emerged as an efficient method for statistical data analysis and has been applied in many fields, achieving significant progress [27]. This is because ML models can extract valuable information from a dataset without explicit programming and obtain reliable and accurate prediction outcome [28]. Random forest, XGBoost, AdaBoost, and gradient boosting are four popular ML models that have been applied in the concrete field. For instance, random forest is an ensemble learning model through voting. Khan et al. [29] adopted random forest and gene expression programming to compare the importance of different influencing parameters, and established an abrasion depth model for fly ash concrete. XGBoost is a typical boosting algorithm in ML, and Asadi et al. [30] suggested that XGBoost models perform well in predicting the abrasion loss of concrete. Bai et al. [31] constructed a prediction model for the abrasion rate of permeable concrete through multiple learning algorithms, and proved that the gradient boosting model has high accuracy on a training set testing machine. It can be found that ML models have certain potential in predicting the abrasion resistance of concrete, but the existing research still lacks prediction of the abrasion resistance of manufactured sand concrete using ML models, especially the lack of consideration of the influence of manufactured sand properties. The comparative analysis of the accuracy of different ML models on the abrasion resistance of manufactured sand concrete still needs to be further explored.
In light of this, this study investigated and analyzed the relationships between concrete abrasion resistance and sand types with different characteristics, sand ratio, stone powder content, and compressive strength. The factors influencing the abrasion resistance of concrete were ranked using the grey correlation analysis method, and a multifactor model for predicting abrasion loss of concrete was established. Four machine learning models, XGBoost, random forest, AdaBoost, and gradient boosting, were adopted to construct prediction models for the abrasion resistance of manufactured sand concrete, and the performance of the different models was evaluated using the coefficient of determination (R2) and root mean square error (RMSE). The machine learning models established in this study offer valuable insights for predicting and enhancing the abrasion resistance of manufactured sand concrete in practical engineering.
2. Materials and Methods
2.1. Materials
Three types of fine aggregates were used in this study: limestone manufactured sand (LS), diabase manufactured sand (DS), and river sand (RS). The LS was sourced from Guangxi Ronghe Highway Manufactured Sand Plant, the DS from Guangxi Bluestar Dahua Chemical Co., Ltd., Beijing, China and the RS from Guangxi Yongjiang Architecture Engineering Co., Ltd., Nanning, China. Table 1 details the physical and chemical properties of the three types of sand, and Figure 1a shows the grain composition of fine aggregates. Coarse aggregates were supplied by Guangxi Jintu Quarry (Nanjing, China). The grain composition of continuously graded gravel with a size of 5–31.5 mm is presented in Figure 1b. All technical specifications of sand and coarse aggregates meet the requirements of Class I in the standard JTG/T 3650-2020 [32].
Table 1.
Physical properties of fine aggregates.
Figure 1.
Grain composition of aggregates: (a) fine aggregates; (b) coarse aggregates [32].
P·O42.5 ordinary Portland cement provided by Yufeng Cement Co., Ltd., Liuzhou, China, was employed, and its physical properties are listed in Table 2. After sieving the limestone manufactured sand, particles retained below 75 μm were considered limestone powder. The particle distribution obtained with an LT 2200 laser particle size analyzer (Linkoptik Instruments Co., Ltd., Zhuhai, China) is shown in Figure 2, with a distribution range of 0.072–120.80 μm, a median particle diameter of 29.31 μm, and a volume-weighted average diameter of 31.51 μm. Polycarboxylate superplasticizer was adopted as the water reducer.
Table 2.
Physical properties of the cement.
Figure 2.
Particle distribution of limestone powder.
2.2. Mix Proportion Design
To explore the impact of different sand types, sand ratios, and stone powder content on the abrasion resistance and compressive strength of concrete, a concrete mix proportion was designed (Table 3). Three different types of sand, limestone manufactured sand (LS), diabase manufactured sand (DS), and river sand (RS), were selected for the test. C30 and C40 concrete were prepared for the abrasion tests, in which the stone powder content of the two types of manufactured sand was 8%. The C30 concrete mixed with LS is denoted LS-C30, and other types of concrete are labeled in similar way. To study the impact of stone powder content on the abrasion resistance and compressive strength of concrete, the stone powder content in LS was adjusted to 5%, 7%, 8%, 9%, and 11% to test C30 and C40 concrete. LS-C30 concrete with 5% stone powder is denoted LS-C30-S5, and similar notations are used for other samples. To examine the impact of sand ratio on the abrasion resistance, LS with a stone powder content of 8% was selected as a fine aggregate, and was further used to prepare concrete with different sand ratios for the abrasion resistance tests. LS-C30 concrete with a sand ratio of 0.40 is labeled LS-C30-R0.40, with similar notations for other test blocks. To maintain a constant slump level, 0.15% dosages of superplasticizer were used for the groups of mixtures. After 24 h of concrete pouring, the concrete specimens were demolded and then cured for 28 days under standard curing conditions, maintaining a temperature of (20 ± 2) °C and relative humidity above 95%.
Table 3.
Mix proportion of manufactured sand concrete.
2.3. Test Methods
2.3.1. Compressive Strength
The compressive strength of the specimens was tested in accordance with JTG E30-2005 [33]. The specimens were cubic, with each side measuring 150 mm, and for each mix, three replicates were measured for compressive strength and the average value was recorded.
2.3.2. Abrasion Loss
The abrasion losses of the specimens were tested in accordance with JTG E30-2005 [33]. Cubic specimens with a side length of 150 mm were utilized for testing, with three blocks per group. The formula for evaluating the abrasion losses of the specimens is expressed as Equation (1):
where Ge represents the abrasion loss per unit area of the specimen (kg/m2), m1 is the original mass of the specimen (kg), m2 is the mass of the specimen after abrasion (kg), and 0.0125 is the abrasion surface area (m2).
2.3.3. Pore Size Distribution in Concrete
The mercury intrusion porosimetry (MIP) method was employed to determine the pore size distribution in concrete. After 28 days of curing, specimen fragments within 3 mm to 6 mm were collected from the compressive strength tests and then stored in bottles containing anhydrous ethanol to halt the hydration reaction. Prior to testing, all samples were dried in a vacuum oven at 60 °C for 48 h. The mercury intrusion apparatus used was an AUTOPORE IV 9500 from Micrometrics Instrument Corporation (Norcross, GA, USA).
3. Results
3.1. Impact of Sand Type on the Abrasion Resistance of Concrete
Figure 3 shows the impact of different sand types on the abrasion resistance of concrete. It can be observed in Figure 3a that the abrasion loss of C40 concrete is lower than that of C30 concrete, indicating that higher compressive strength contributes to higher abrasion resistance. With the extension of curing age, the abrasion losses of both C30 and C40 concrete are significantly reduced, suggesting that prolonged curing can greatly improve the abrasion resistance of concrete. Moreover, it can be seen that the abrasion losses of C30 and C40 concrete that are both prepared with manufactured sand are at least 20% lower than that of river sand concrete. This may be attributed to differences in their crushing values, roughness, and stone powder content. Roughness characterizes the angularity of fine aggregates, and is used to evaluate the surface texture of fine aggregate particles, which can affect the bonding and interlocking between the aggregates and the matrix. Crushing value represents the resistance of aggregates to crushing, which can influence the abrasion resistance of pavement concrete under load [16]. Adequate stone powder acts as a filler. As shown in Table 1, manufactured sand has high crushing value and roughness, which means the particles are not easily crushed and mechanical interlocking among them is strong. Additionally, both types of manufactured sand contain stone powder, which helps optimize the gradation of fine aggregates and enhance concrete density, thus improving the abrasion resistance of concrete. Furthermore, Figure 3b shows the relative abrasion loss of concrete prepared with different types of sand. It can be found that the abrasion loss of limestone manufactured sand concrete is slightly lower than that of diabase manufactured sand concrete. This is due to the fact that although the roughness of the two manufactured sands is similar, the crushing value of limestone manufactured sand is 20% lower, making it less prone to breaking during abrasion under load.
Figure 3.
Relationship between sand type and abrasion loss of concrete: (a) abrasion loss; (b) relative abrasion loss.
3.2. Impact of Sand Ratio on the Abrasion Resistance of Concrete
Figure 4 illustrates the relationship between sand ratio and concrete abrasion loss. The data indicate that under the same curing age and stone powder content, the abrasion loss of manufactured sand concrete continuously increases as the sand ratio rises. However, the increase rate slows when the sand ratio reaches 0.44. As the curing age extends, the abrasion loss of manufactured sand concrete significantly decreases. This is because in low- to medium-strength concrete, the mortar is more brittle and has lower abrasion resistance compared to coarse aggregates. As the sand ratio rises, the volume of mortar increases, leading to higher abrasion loss [18,23]. Therefore, an appropriate reduction in sand ratio can enhance the abrasion resistance of low- to medium-strength concrete. However, the sand ratio should not be too low, as the paste will not be able to fully coat the coarse aggregates, affecting the workability of fresh concrete and reducing its density.
Figure 4.
Relationship between sand ratio and abrasion loss of concrete.
3.3. Impact of Stone Powder Content on the Abrasion Resistance of Concrete
Figure 5a,b show the impacts of stone powder content on the abrasion resistance and compressive strength of concrete, respectively. Figure 5a illustrates that at the same curing age and strength grade, concrete abrasion loss first decreases and then increases as the stone powder content rises. The lowest abrasion loss observed at 9% signifies the optimal abrasion resistance of the concrete. In Figure 5b, the variation trend of compressive strength of concrete is opposite to that of the abrasion loss, which first increases and then decreases as the stone powder content rises, and the peak appears at 8%. This trend is consistent with the findings of Li et al. [2], which is attributed to an appropriate amount of stone powder that can optimize particle gradation and fill pores, enhancing concrete density, improving the pore structure of the abrasion area, and ultimately improving the abrasion resistance and compressive strength of concrete. However, excessive stone powder content would bring about increased free stone powder in the interfacial transition zone and more abrasion-prone composition, resulting in higher abrasion loss and hindering the improvement in compressive strength.
Figure 5.
Relationships of stone powder content with concrete abrasion loss and compressive strength: (a) abrasion loss; (b) compressive strength.
3.4. Microstructure Analysis
Most stone powder is inert and does not participate in the hydration reaction, usually acting as a filler [34]. To validate its filling effect, this study examined the pore size distribution of samples with 5% and 9% stone powder content using MIP. LS-C30-S5 and LS-C30-S9 were selected for testing. The results are shown in Figure 6, with the porosity of LS-C30-S5 and LS-C30-S9 found to be 15.29% and 14.50%, respectively, indicating that an appropriate amount of stone powder can reduce porosity. It can be seen that LS-C30-S5 and LS-C30-S9 have similar pore content within 200 nm, and the pore content of LS-C30-S5 is higher in the 200 nm to 600 nm range. Specifically, the pore content of LS-C30-S5 is higher in the 10 μm to 30 μm range, where that of LS-C30-S9 is nearly zero. This range coincides with the particle size distribution range of stone powder, indicating that stone powder is capable of filling the pores and improving the pore structure of the concrete paste. Moreover, Figure 6 indicates that LS-C30-S9 has more pores in the 0.7 μm to 6 μm range compared with LS-C30-S5, which is likely due to incomplete filling in the 10 μm to 30 μm pores by stone powder. If there is excessive stone powder, the pores in the 7 μm to 30 μm range would be filled and gradually decrease to zero, thus further filling stops, leaving excess stone powder in a free state and resulting in increased paste volume and increased abrasion-prone composition. Except for the filling effect, many scholars believe that stone powder also has a nucleation effect, causing reaction products to precipitate and crystallize on the stone powder particles, thus accelerating the hydration process [35]. Stone powder also has a chemical effect, where active CaCO3 in the stone powder reacts with calcium aluminates to generate calcium carboaluminate, inhibiting the formation of Afm and stabilizing early-formed Aft [36]. The resulting calcium carboaluminate can improve the pore structure of cement-based materials and reduce porosity [37].
Figure 6.
Pore size distribution of concrete.
3.5. Relationship between Concrete Compressive Strength and Abrasion Loss
To study the correlation between compressive strength and abrasion loss, this section analyzes the two parameters of C30 and C40 concrete prepared with manufactured sand of different stone powder contents. Linear regression fitting was performed for the C30 group, the C40 group, and the two groups combined, yielding the relevant linear regression equations presented in Equation (2) and illustrated in Figure 7. In Equation (2), the correlation coefficients (R2) for the C30 and C40 groups are 0.8858 and 0.9104, respectively, indicating a strong negative correlation between concrete compressive strength and abrasion loss when the water–cement ratio, sand ratio, and curing period are constant. In other words, the higher the compressive strength, the lower the abrasion loss, and thus the better the abrasion resistance of the concrete.
Figure 7.
Relationship between concrete compressive strength and abrasion loss.
When combining the data from the C30 and C40 groups in Figure 7 for linear fitting, the correlation coefficient (R2) of the linear regression equation is 0.8473, as shown in Equation (2). At this point, the sand ratio and curing period are constant, and there is still a prominent negative correlation between compressive strength and abrasion loss, despite the slight influence by the variations in the water–cement ratio. Çavdar [5] also found a linear relationship between the abrasion resistance of concrete and its compressive strength, while Siddique [4] suggested a power series relationship between them. In this sense, improving concrete compressive strength is a direct method to enhance the abrasion resistance of concrete.
Here, Ge is the concrete abrasion loss (%) and Fcu is the concrete compressive strength (MPa).
4. Analysis of Factors Affecting Abrasion Resistance
4.1. Grey Correlation Analysis Method
To further explore the impact of each factor on the abrasion resistance of concrete and to determine the priority of their influences, the grey correlation analysis model proposed by Professor Deng Julong [38] was adopted for investigation. Grey correlation analysis is a branch of grey system theory that has been widely used, and it assesses the closeness of a relationship based on the geometric similarity of sequence curves. This method is capable of transforming unordered data into ordered data through dimensionless processing, enabling the analysis and determination of the degree of correlation between multiple independent and dependent variables under conditions of limited information and ambiguous relationships [38,39]. The basic steps of the grey correlation analysis method include the following.
- Define the reference sequence as:
- Define the comparison sequence as:
- Perform dimensionless processing for the data. Since different sequences often represent different physical meanings, dimensions, and magnitudes, they cannot be directly compared and analyzed. Thus, dimensionless processing is required, and initialization is used here, yielding the following reference and comparison sequences:where
- Calculate the grey dimensionless processing coefficients. The grey correlation coefficient between the reference sequence and the comparison sequence is calculated as shown in Equation (6):where i = 1, 2, …, h; k = 1, 2, …n; p is the identification coefficient used for increasing the significance of the difference between correlation coefficients, which ranges from 0 to 1, typically set at 0.5.
- Calculate the grey correlation degree. The grey correlation degree Ri is computed according to Equation (7):
4.2. Results of Grey Correlation Analysis on Factors Affecting Abrasion Resistance
Following the above steps and based on the results of the concrete abrasion tests, the original data sequences of grey correlation analysis are determined and presented in Table 4. The results from dimensionless processing of the original data sequences are shown in Table 5. The grey correlation coefficients and correlation degrees for roughness, crushing value, sand ratio, stone powder content, compressive strength, and abrasion loss are calculated according to Equations (3) and (4), with the results listed in Table 6. The data show that the influences of these factors affecting the abrasion resistance of concrete follow the order: sand ratio (R3) > crushing value (R2) > roughness (R1) > compressive strength (R5) > stone powder content (R4) > 0.6. This suggests that all factors can significantly impact the abrasion resistance of concrete, with the sand ratio having the greatest influence, followed by the type of sand (both crushing value and roughness are related to the type of sand). The reason is that the sand ratio directly affects the volume of fine aggregates in the overall concrete, determining the thickness of the slurry wrapped around the surface of the sand [25]. When the sand ratio is too high, it causes a decrease in the thickness of the cement slurry wrapped around the sand surface, weakens the mechanical interlocking force between the aggregates, and reduces the abrasion resistance of concrete. The sand is more fragile compared to coarse aggregate, and the higher the sand ratio, the further the abrasion resistance of concrete decreases. The crushing value and roughness are both related to the type of sand. The crushing value directly determines the difficulty of particle crushing, while roughness determines the mechanical interlocking force between sand particles, thereby affecting the abrasion resistance of concrete.
Table 4.
Grey correlation analysis of original data sequences.
Table 5.
Initialization of original data sequences.
Table 6.
Correlation coefficients and degrees between abrasion loss and different factors.
5. Machine Learning Analysis of the Abrasion Resistance of Concrete
5.1. Correlation Analysis of Each Feature
In addition to the test results obtained in this study, more data on the abrasion resistance of manufactured sand concrete were collected from the relevant literature [17,20,40,41,42,43,44,45,46,47,48,49], and a total of 120 sets of data were collated, containing features such as water–cement ratio (WB), stone powder content (SPC), sand ratio (SR), and 28-day compressive strength (CS), along with one response variable, the abrasion loss (AL) of manufactured sand concrete.
Correlation analysis quantifies the correlation degree between two parameters, thus assessing the interdependency between them. The correlation coefficient (r) is calculated using Equation (1), which falls in the range of [−1, 1]. Values close to 1 suggest a strong positive correlation between the variables, and values close to −1 indicate a strong negative correlation. However, values close to 0 indicate that the parameters tend to be independent, suggesting that the developed model will be overly dependent on certain features and cannot be generalized to other datasets [50]. Figure 8 shows the correlation coefficients between the above features, with the maximum and minimum values of −0.53 and −0.026, respectively. This means that there is no strong correlation between the selected features. Therefore, it can be concluded that all the selected features can be used for the prediction of the abrasion loss of manufactured sand concrete.
Figure 8.
Correlation coefficient heat map of selected features.
Here, r represents the correlation coefficient, xi and yi represent the two features in the database, and n is the total amount of data.
5.2. XGBoost Model
The XGBoost algorithm is a typical boosting algorithm in machine learning, first proposed by Chen in 2016 [28]. It is an update and optimization of the gradient boosting decision tree (GBDT) algorithm, which introduces several new techniques and optimization strategies to GBDT, including regularization, node splitting, handling of missing values, and weighted quantile loss functions. The loss function in XGBoost regularizes the objective function by smoothing the learning weights [51,52]. Moreover, the algorithm iteratively updates the model performance by fitting the residuals of the previous model. The regularization and gradient boosting advantages of XGBoost enable it to deal with classification tasks highly effectively. The ensemble model of trees ultimately predicts the output using K additive functions. The equation can be expressed as:
where F represents the space of regression trees, k is the number of regression trees, and fk (Xi) denotes the leaf weights in the independent tree structures.
The regularized objective function in XGBoost is:
where the first term is the traditional loss function, i denotes the number of samples in the dataset, m is the total amount of data, and l is a differentiable loss function used to measure the difference between the actual yi and the predicted values. Additionally, γ and λ are the parameters controlling the complexity of the tree model, which aid in smoothing the learning weights and reducing the risk of overfitting.
After processing the objective function through a Taylor expansion, a simplified objective function can be derived:
where gi and hi represent the first- and second-order derivatives, respectively, of the loss function.
The optimal weight of leaf j can be calculated based on a fixed tree structure:
After simplifying the optimal leaf weight , the optimal objective function can be expressed as:
5.3. Random Forest
The random forest algorithm is a classic integrated learning method that can be used for classification and regression tasks, and is comprised of multiple decision trees [53]. Random forest first constructs a single decision tree that is independent of the overall forest, and then generates thousands of decision trees to form the forest. Random forest also randomly selects a subset of features for splitting when constructing each decision tree [54,55,56,57]. It is designed to reduce the variance of the decision tree model, thus improving the robustness of the model and enhancing its ability to generalize. To achieve reliable prediction using the random forest method, two basic conditions must be met: the features used have predictive ability, and the different decision tree models generated must be uncorrelated [58].
5.4. AdaBoost
The AdaBoost classifier was developed by Freund and Schapire et al. [59], and was created to solve under-binary classification tasks. It iteratively generates multiple weak classifiers by fitting a series of data training iterations, and then combines them in a specific way. Specifically, at the beginning of training, weak classifiers are generated from each equally weighted data point. But at this point, the sample weights of those data points that are not classified will be increased for the next round of weighted training. After repeating this iteration, several weak classifiers are generated, which are evaluated according to the corresponding classification errors and then combined based on a specific rule to obtain the final strong classifier [60].
5.5. Gradient Boosting
The gradient boosting model (GBDT) developed by Friedman [61] is a widely used algorithmic model for solving classification and regression tasks. It can create a strong learner by training a series of weak learners. The GBDT model is similar to the random forest model, which comprises a set of evaluators. However, in the GBDT model, the residuals of the previous tree are fitted by the gradient descent algorithm to generate the next lesson tree, whereas in the random forest model, training is performed in parallel. As a result, the GBDT model can reduce bias, while the random forest model can reduce variance. Therefore, the GBDT model is superior in controlling overfitting and computational efficiency. Detailed information on the GBDT model can be found in Friedman [61].
5.6. Model Evaluation Metrics
Evaluation metrics are crucial for assessing the performance of a model. Common evaluation metrics include root mean square error (RMSE), mean absolute error (MAE), coefficient of determination (R2), and mean square error (MSE). RMSE and R2 are adopted as the evaluation metrics in this study, and defined as follows:
where is the predicted value, represents the actual value, is the mean of the actual values, and n denotes the number of instances in the training or testing set.
5.7. Results of the Machine Learning Analysis
In the XGBoost model, the original dataset is split into two parts, including a training set and a testing set. The training data account for 70% to facilitate model training and optimal hyperparameter selection, while the testing data account for 30% to assess the overall performance of the model. Therefore, a random grid search algorithm with fivefold cross-validation (CV) is employed for parameter tuning, thus selecting the hyperparameters corresponding to the minimum RMSE. This process is repeated five times to determine the best combination of hyperparameters for XGBoost across the five iterations. The optimized XGBoost hyperparameters are listed in Table 7.
Table 7.
Hyperparameters for XGBoost.
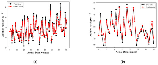
Figure 9 displays the actual abrasion loss of manufactured sand concrete and the abrasion loss predicted by the XGBoost model in both the training and testing sets. It can be seen that the model demonstrates good predictive ability in both sets, confirming the reliability of XGBoost in predicting the abrasion loss of manufactured sand concrete. Figure 10 shows the scatterplots of predicted abrasion loss of manufactured sand concrete in the four models, and Table 8 summarizes the evaluation metrics of the machine learning models for a comprehensive comparative analysis. Figure 10a presents the scatterplots of predicted abrasion loss of manufactured sand concrete estimated by the XGBoost model. It can be observed that the scatterplots of the actual and predicted abrasion loss in both the training and testing sets are evaluated using R2 and RMSE, where the R2 values are 0.91 and 0.86, and the RMSE values are 0.27 and 0.35, respectively. Overall, the XGBoost model shows relatively high R2 and low RMSE in both the training and testing sets, demonstrating its accuracy in predicting the abrasion resistance of manufactured sand concrete. In the training set, the R2 values of the XGBoost, gradient boosting, and AdaBoost models are all very close to 1, indicating that they fit the training data well, as depicted in Figure 10. However, compared to XGBoost, GBDT and AdaBoost obtain much lower scores in the testing than in the training set, indicating that there is an overfitting of the models. XGBoost shows relatively higher R2 and low RMSE values than the other three models, underscoring its superior ability to accurately predict the abrasion resistance of manufactured sand concrete.
Figure 9.
Scatterplots of the actual and predicted abrasion losses: (a) training set; (b) testing set.

Figure 10.
Scatterplots of the predicted abrasion losses of manufactured sand concrete in the four models: (a) XGBoost; (b) GDBT; (c) random forest; (d) AdaBoost.
Table 8.
Performance of machine learning models.
6. Conclusions
To investigate the correlation between sand types, sand ratios, stone powder content, compressive strength, and abrasion resistance of concrete, this study conducted abrasion tests using these factors as control variables. Through grey correlation analysis, the impact priority of each factor affecting the abrasion resistance of concrete was determined, and a prediction model for the abrasion resistance of manufactured sand concrete was constructed using the XGBoost model. Here are the key findings of the study.
- (1)
- Due to the presence of stone powder and higher roughness and solidity, the abrasion resistance of C30 and C40 concrete prepared with limestone and diabase manufactured sand is increased by more than 20% compared to river sand concrete. Optimal abrasion resistance can be achieved if selecting a lower sand ratio within the range of 0.40 to 0.44.
- (2)
- When manufactured sand containing 5% to 11% stone powder is used to prepare concrete, concrete abrasion resistance would first increase and then decrease as the stone powder content rises. The best abrasion resistance can be obtained at a stone powder content of 9%, and microscopic analysis indicates the optimal concrete density at this level.
- (3)
- There is a prominent negative linear relationship between compressive strength and abrasion loss of manufactured sand concrete, highlighting that enhancing concrete strength is a direct method to improve abrasion resistance.
- (4)
- The influences of different factors on the abrasion resistance of concrete follow the order: sand ratio (R3) > crushing value (R2) > roughness (R1) > compressive strength (R5) > stone powder content (R4) > 0.6. The sand ratio has the greatest impact on the abrasion resistance of concrete, followed by sand type (both crushing value and roughness are related to sand type).
- (5)
- Compared to the GDBT, random forest, and AdaBoost models, the XGBoost model adopted in this study showed relatively higher R2 and lower RMSE in both the training and testing sets, where the R2 values were 0.91 and 0.86, respectively, and the corresponding RMSE values were 0.27 and 0.35, indicating the high accuracy of the XGBoost model.
- (6)
- The application of XGBoost in predicting the abrasion loss of manufactured sand concrete is feasible, and can provide some guidance for predicting and improving the abrasion resistance of manufactured sand concrete in practical engineering.
In future work, it is still particularly urgent to comprehensively consider the influence of factors such as sand type, mix ratio, and construction conditions on the performance of manufactured sand concrete. The dataset will be extended by covering more input variables (e.g., sand types, aggregate grading, cement ingredient and mineral admixture) to provide higher efficiency and generalization in predicting the abrasion resistance of concrete. Furthermore, other advanced or updated ML models should be introduced in the future to model properties of manufactured sand concrete.
Author Contributions
Conceptualization, Z.C. and J.L.; methodology, X.X. and L.L.; validation, J.X. and Z.C.; formal analysis, X.X. and Y.T; investigation, X.X.; writing—original draft preparation, X.X. and J.X.; writing—review and editing, X.X. and L.L.; visualization, Y.T.; supervision, Z.C.; project administration, Z.C. All authors have read and agreed to the published version of the manuscript.
Funding
This research was funded by the National Natural Science Foundation of China [Grant Nos. 52368028 and U2006224], National Key Research and Development Program of China [Grant No. 2021YFB2600903], Guangxi Natural Science Foundation [Grant No. 2022GXNSFFA035035], Guangxi Key Research and Development Program [Grant No. GKAB22036007] and Innovation Project of Guangxi Graduate Education [Grant No. YCBZ2023018].
Data Availability Statement
The original contributions presented in the study are included in the article, further inquiries can be directed to the corresponding authors.
Conflicts of Interest
Authors Xubo Xu, Yasen Tang and Liufen Luo were employed by Guangxi Beitou Highway Construction and Investment Group Co., Ltd. Author Jicheng Xie was employed by Guangxi Transportation Science and Technology Group Co., Ltd. The remaining authors declare that the research was conducted in the absence of any commercial or financial relationships that could be construed as a potential conflict of interest.
References
- Chen, B.; Zheng, J.; Chen, Z.; Tang, Y.C.; Ye, Z.; Wu, C.; Guo, X. Quantitative analysis of debonding gaps in concrete-filled steel tubes on the Qinghai-Tibet Plateau under severely harsh conditions. Eng. Struct. 2024, 314, 118353. [Google Scholar] [CrossRef]
- Shen, W.G.; Yang, Z.G.; Cao, L.H.; Cao, L.; Liu, Y.; Yang, H.; Lu, Z.; Bai, J. Characterization of manufactured sand: Particle shape, surface texture and behavior in concrete. Constr. Build. Mater. 2016, 114, 595–601. [Google Scholar] [CrossRef]
- Shen, W.G.; Liu, Y.; Wang, Z.W.; Cao, L.H.; Wu, D.L.; Wang, Y.J.; Ji, X.L. Influence of manufactured sand’s characteristics on its concrete performance. Constr. Build. Mater. 2018, 172, 574–583. [Google Scholar] [CrossRef]
- Wan, S.; Guan, S.H.; Tang, Y.C. Advancing Bridge Structural Health Monitoring: Insights into Knowledge-Driven and Data-Driven Approaches. J. Data Sci. Intell. Syst. 2023, 3, 129–140. [Google Scholar] [CrossRef]
- Çavdar, A.; Yetgin, Ş. Investigation of abrasion resistance of cement mortar with different pozzolanic compositions and subjected to sulfated medium. Constr. Build. Mater. 2010, 24, 461–470. [Google Scholar] [CrossRef]
- Chen, Z.; Wu, C.; Luo, X.; Xu, W.; Liang, W.; Tang, Y.C. Spatio-temporal autogenous shrinkage and cracking behavior of core concrete in full-scale CFST: Insights from the world’s largest span arch bridge. Thin-Walled Struct. 2024, 200, 111899. [Google Scholar] [CrossRef]
- Tang, Y.; Feng, W.; Chen, Z.; Mai, J.; Zheng, J.; Yang, Y. Behaviour of steel-reinforced recycled aggregate concrete-filled GFRP tubular short columns under eccentric axial compression. Thin-Walled Struct. 2024, 199, 111818. [Google Scholar] [CrossRef]
- Nili, M.; Ehsani, A. Investigating the effect of the cement paste and transition zone on strength development of concrete containing nanosilica and silica fume. Mater. Des. 2015, 75, 174–183. [Google Scholar] [CrossRef]
- Siddique, R.; Khatib, J.M. Abrasion resistance and mechanical properties of high-volume fly ash concrete. Mater. Struct. 2010, 43, 709–718. [Google Scholar] [CrossRef]
- Kılıç, A.; Atiş, C.D.; Teymen, A.; Karahan, O.; Özcan, F.; Bilim, C.; Özdemir, M. The influence of aggregate type on the strength and abrasion resistance of high strength concrete. Cem. Concr. Compos. 2008, 30, 290–296. [Google Scholar] [CrossRef]
- Zhang, Y.B.; Zhang, W.M.; Zhang, Y.C. Combined elect of fine aggregate and silica fume on properties of Porland cement pervious concrete. Adv. Concr. Constr. 2019, 8, 47–54. [Google Scholar]
- Feric, K.; Sathish, K.V.; Romic, A.; Gotovac, H. Efect of agregae size and compaction on the strength and hydraulie properties of pervious concrete. Sustainability 2023, 15, 1146. [Google Scholar] [CrossRef]
- Zhang, W.D.; Gao, Y.N. Experimental study of pervious concrete using recycled coarse aggregate. TOP Conf. Ser. Earth Environ. Sci. 2019, 283, 012006. [Google Scholar] [CrossRef]
- Netinger, G.I.; Barisic, I.; Keser, T. Wearing characteristics assessment of pervious concrete pavements. Road Mater. Pavement Des. 2019, 20, 727–739. [Google Scholar] [CrossRef]
- Lori, A.R.; Baya, T.A.; Azimi, A. Inuence of the replacement of fine copper slag aggregate on physical properies and abrasion resistance of pervious concrete. Road Mater. Pavement Des. 2021, 22, 835–851. [Google Scholar] [CrossRef]
- Li, B.X.; Ke, G.J.; Zhou, M.K. Influence of manufactured sand characteristics on strength and abrasion resistance of pavement cement concrete. Constr. Build. Mater. 2011, 25, 3849–3853. [Google Scholar] [CrossRef]
- Wang, L.J.; Tian, B.; Ke, G.J.; Li, B.X. A Study on Effects of Manufactured Sand and Micro-fines Content on Abrasion Resistance of Pavement Cement Concrete. Highway 2011, 7, 213–217. (In Chinese) [Google Scholar]
- Wang, Y.L.; Cai, J.W.; Yang, L.; Luo, S.Q. Influence of Limestone Powder on Abrasion Resistance of Mortar and Its Mechanism. J. Build. Mater. 2014, 17, 270–273. (In Chinese) [Google Scholar]
- Sato, T.; Diallo, F. Seeding effect of nano-CaCO3 on the hydration of tricalcium silicate. Transp. Res. Rec. 2010, 2141, 61–67. [Google Scholar] [CrossRef]
- Ramezanianpour, A.A.; Ghiasvand, E.; Nickseresht, I.; Mahdikhani, M.; Moodi, F. Influence of various amounts of limestone powder on performance of Portland limestone cement concretes. Cem. Concr. Compos. 2009, 31, 715–720. [Google Scholar] [CrossRef]
- Guo, Y.X.; Gong, J.X.; Li, J. Influence of Mass Fractions of Limestone Powder on Mechanical Property and Durability of Concrete. J. Build. Mater. 2009, 12, 18–23. (In Chinese) [Google Scholar]
- Rao, S.; Sravana, P.; Rao, T. Investigating the effect of M-sand on abrasion resistance of Fly Ash Roller Compacted Concrete (FRCC). Constr. Build. Mater. 2016, 118, 352–363. [Google Scholar] [CrossRef]
- Siddique, R.; Prince, W.; Kamali, S. Influence of utilization of high-volumes of class F fly ash on the abrasion resistance of concrete. Leonardo Electron. J. Pract. Technol. 2007, 10, 13–28. [Google Scholar]
- Ke, G.J.; Lu, Z.F.; Hao, Y.D.; Li, B.X.; Wang, J.L. Grey Reation Analysis in Influential Factors of Abrasion Resistance of Pavement Manufactured Sand Cement Concrete. Bull. Chin. Ceram. Soc. 2011, 30, 222–225. (In Chinese) [Google Scholar]
- Anwar, F.H.; EL-Hassan, H.; Hanouda, M.; El-Mir, A.; Mohammed, S.; Mo, K.H. Optimization of pervious geopolymer concrete using TOPSIS-based taguchi method. Sustainability 2022, 14, 8767. [Google Scholar] [CrossRef]
- Cemalgil, S.; Gul, E.; Onat, O.; Aruntaş, H.Y. A novel prediction model for durability properties of concrete modified with steel fiber and silica fume by using Hybridized GRELM. Constr. Build. Mater. 2022, 341, 127856. [Google Scholar] [CrossRef]
- Hu, K.W.; Chen, Z.; Kang, H.W.; Tang, Y.C. 3D vision technologies for a self-developed structural external crack damage recognition robot. Autom. Constr. 2024, 159, 105262. [Google Scholar] [CrossRef]
- Feng, W.H.; Wang, Y.F.; Sun, J.B.; Tang, Y.C.; Wu, D.X.; Jiang, Z.W.; Wang, J.Q.; Wang, X.Y. Prediction of thermo-mechanical properties of rubber-modified recycled aggregate concrete. Constr. Build. Mater. 2022, 318, 125970. [Google Scholar] [CrossRef]
- Khan, M.A.; Farooq, F.; Javed, M.F.; Zafar, A.; Ostrowski, K.A.; Aslam, F.; Malazdrewicz, S.; Maślak, M. Simulaion of deph of wear of eco-hiendly conerete using machine learning based computational approaches. Materials 2022, 15, 58. [Google Scholar] [CrossRef]
- Asadi, M.; TaghaviGhalesari, A.; Kumarb, S. Machine learning techniques for estimation of Los Angeles abrasion value of rock aggregates. Eur. J. Environ. Civ. Eng. 2022, 26, 964–977. [Google Scholar] [CrossRef]
- Bai, T.; Luo, X.B.; Xing, G.H. Prediction of Abrasion Resistance of Pervious Concrete Based on Machine Learning. Bull. Chin. Ceram. Soc. 2024, 43, 138–146. (In Chinese) [Google Scholar]
- JTG/T 3650-2020; Technical Specifications for Construction of Highway Bridges and Culverts. China Communications Press: Beijing, China, 2020.
- JTG E30-2005; Test Methods of Cement and Concrete for Highway Engineering. China Communications Press: Beijing, China, 2005.
- Yang, H.F.; Liang, D.Y.; Deng, Z.H.; Qin, Y.H. Effect of limestone powder in manufactured sand on the hydration products and microstructure of recycled aggregate concrete. Constr. Build. Mater. 2018, 188, 1045–1049. [Google Scholar] [CrossRef]
- Shi, C.J.; Wang, D.H.; Jia, H.F.; Liu, J.H. Role of Limestone Powder and Its Effect on Durability of Cement-Based Materials. J. Chin. Ceram. Soc. 2017, 45, 1582–1593. [Google Scholar]
- Thongsanitgarn, P.; Wongkeo, W.; Chaipanich, A.; Poon, C.S. Heat of hydration of portland high-calcium fly ash cement incorporating limestone powder: Effect of limestone particle size. Constr. Build. Mater. 2014, 66, 410–417. [Google Scholar] [CrossRef]
- Weerdt, K.D.; Haha, M.B.; Saout, G.L.; Kjellsen, K.O.; Justnes, H.; Lothenbach, B. Hydration mechanisms of ternary Portland cements containing limestone powder and fly ash. Cem. Concr. Res. 2011, 41, 279–291. [Google Scholar] [CrossRef]
- Deng, J.L. Grey System Theory; Huazhong University of Science & Technology Press: Wuhan, China, 1987. [Google Scholar]
- Dong, J.S.; Sui, Y.; Xue, J.Y. Grey Relevance Analysis of Influencing Parameters of Bearing Capacity of Concrete Beam-column Joints in Traditional Style Buildings. J. Archit. Civ. Eng. 2019, 36, 80–87. (In Chinese) [Google Scholar]
- Zhou, H. Influence of the content of admixture and stone powder on the wear resistance of pavement made sand concrete. Fujian Build. Mater. 2019, 6, 19–20+29. (In Chinese) [Google Scholar]
- Qiu, Z.X.; Zhao, S.C.; Li, L.S. Experimental study on the abrasion resistance of manufactured sand concrete. J. Highw. Transp. Res. Dev. 2013, 9, 239–240+281. (In Chinese) [Google Scholar]
- Wu, L.D.; Zhao, F.W.; Zhang, F.; Li, K.W. Preliminary study on wear resistance of machine-made sand concrete. Highway 2010, 7, 178–181. (In Chinese) [Google Scholar]
- Ke, G.J.; Li, B.X.; Zhao, S.C. Strength and abrasion resistance of pavement manufactured sand cement concrete. Concrete 2009, 12, 77–79. (In Chinese) [Google Scholar]
- Li, B.X.; Ke, G.J.; Zhao, S.C.; Wang, J.L.; Gu, Q. Research on Pavement Performance of Manufactured Sand Concrete. J. Build. Mater. 2010, 13, 529–534. (In Chinese) [Google Scholar]
- Huang, C. Study on The Wear Resistance and Skid-resistance Performance of Limestone Manufactured Sand Cement Concrete Pavement. Master’s Thesis, Guangxi University, Nanning, China, 2017. (In Chinese). [Google Scholar]
- Wen, H.C. Study on The Wearing Resistance and Anti-Skid Performance of The Pebble Man-Made Sand Cement Concrete Pavement. Master’s Thesis, Guangxi University, Nanning, China, 2021. (In Chinese). [Google Scholar]
- Yang, T. Study on the Performance of Polymer Manufactured Sand Modified Cement Concrete Highway. Fly Ash Compr. Util. 2019, 6, 46–50. (In Chinese) [Google Scholar]
- Liu, T.Z.; Rui, J.; Wang, B.; Liu, Y.F. Research on Abrasion Resistance of Manufactured Sand-Recycled Concrete. J. Chongqing Jiaotong Univ. Nat. Sci. 2014, 33, 50–53. (In Chinese) [Google Scholar]
- Si, C.M. Road Performance of Polymer Concrete Sand Cement Concrete. Henan Sci. 2018, 36, 1594–1598. (In Chinese) [Google Scholar]
- Baduge, S.K.; Thilakarathna, S.; Perera, J.S.; Arashpour, M.; Sharafi, P.; Teodosio, B.; Shringi, A.; Priyan, M. Artificial intelligence and smart vision for building and construction 4.0: Machine and deep learning methods and applications. Autom. Constr. 2022, 141, 104440. [Google Scholar] [CrossRef]
- Gao, H.; Zhang, X.; Zhang, Y.J.; Jiang, M. Effect of Pore Structure of Sifted Mortar on 28 d Compressive Strength. J. Build. Mater. 2014, 17, 378–382. (In Chinese) [Google Scholar]
- Pyo, S.; Abate, S.Y.; Kim, H. Abrasion resistance of ultra high performance concrete incorporating coarser aggregate. Constr. Build. Mater. 2018, 165, 11–16. [Google Scholar] [CrossRef]
- Breiman, L. Random forests. Mach. Learn. 2001, 45, 5–32. [Google Scholar] [CrossRef]
- Micheletti, N.; Foresti, L.; Robert, S.; Leuenberger, M.; Pedrazzini, A.; Jaboyedoff, M.; Kanevski, M. Machine Learning Feature Selection Methods for Landslide Susceptibility Mapping. Math. Geosci. 2014, 46, 33–57. [Google Scholar] [CrossRef]
- Pourghasemi, H.R.; Kerle, N. Random forests and evidential belief function-based landslide susceptibility assessment in Western Mazandaran Province, Iran. Environ. Earth Sci. 2016, 75, 185. [Google Scholar] [CrossRef]
- Rahmati, O.; Naghibi, S.A.; Shahabi, H.; Bui, D.T.; Pradhan, B.; Azareh, A.; Rafiei, S.E.; Samani, A.N.; Melesse, A.M. Groundwater spring potential modelling: Comprising the capability and robustness of three different modeling approaches. J. Hydrol. 2018, 565, 248–261. [Google Scholar] [CrossRef]
- Zhang, W.G.; Wu, C.Z.; Li, Y.Q.; Wang, L.; Samui, P. Assessment of pile drivability using random forest regression and multivariate adaptive regression splines. Georisk Assess. Manag. Risk Eng. Syst. Geohazards 2021, 15, 27–40. [Google Scholar] [CrossRef]
- Liu, Z.Q.; Gilbert, G.; Cepeda, J.M.; Lysdahl, A.O.K.; Piciullo, L.; Hefre, H.; Lacasse, S. Modelling of shallow landslides with machine learning algorithms. Geosci. Front. 2021, 12, 385–393. [Google Scholar] [CrossRef]
- Freund, Y.; Schapire, R.E. A Decision-Theoretic Generalization of On-Line Learning and an Application to Boosting. J. Comput. Syst. Sci. Int. 1997, 55, 119–139. [Google Scholar] [CrossRef]
- Feng, D.C.; Liu, Z.T.; Wang, X.D.; Jiang, Z.M.; Liang, S.X. Failure mode classification and bearing capacity prediction for reinforced concrete columns based on ensemble machine learning algorithm. Adv. Eng. Inf. 2020, 45, 101126. [Google Scholar] [CrossRef]
- Friedman, J.H. Stochastic gradient boosting. Comput. Stat. Data Anal. 2002, 38, 367–378. [Google Scholar] [CrossRef]
Disclaimer/Publisher’s Note: The statements, opinions and data contained in all publications are solely those of the individual author(s) and contributor(s) and not of MDPI and/or the editor(s). MDPI and/or the editor(s) disclaim responsibility for any injury to people or property resulting from any ideas, methods, instructions or products referred to in the content. |
© 2024 by the authors. Licensee MDPI, Basel, Switzerland. This article is an open access article distributed under the terms and conditions of the Creative Commons Attribution (CC BY) license (https://creativecommons.org/licenses/by/4.0/).