Rainstorm Resistance of Recycled Pervious Concrete under the Coupling of Fatigue and Freeze–Thaw Cycles
Abstract
1. Introduction
2. Experimental Program
2.1. Materials
2.2. Mix Proportion and Specimen Preparation
2.3. Test Methods
2.3.1. Mechanical Properties Test
2.3.2. Freeze–Thaw Cycle and Fatigue Coupling Test
2.3.3. Heavy Rainfall Experiment
2.4. Microstructure Test
3. Results and Discussion
3.1. Mechanical Properties
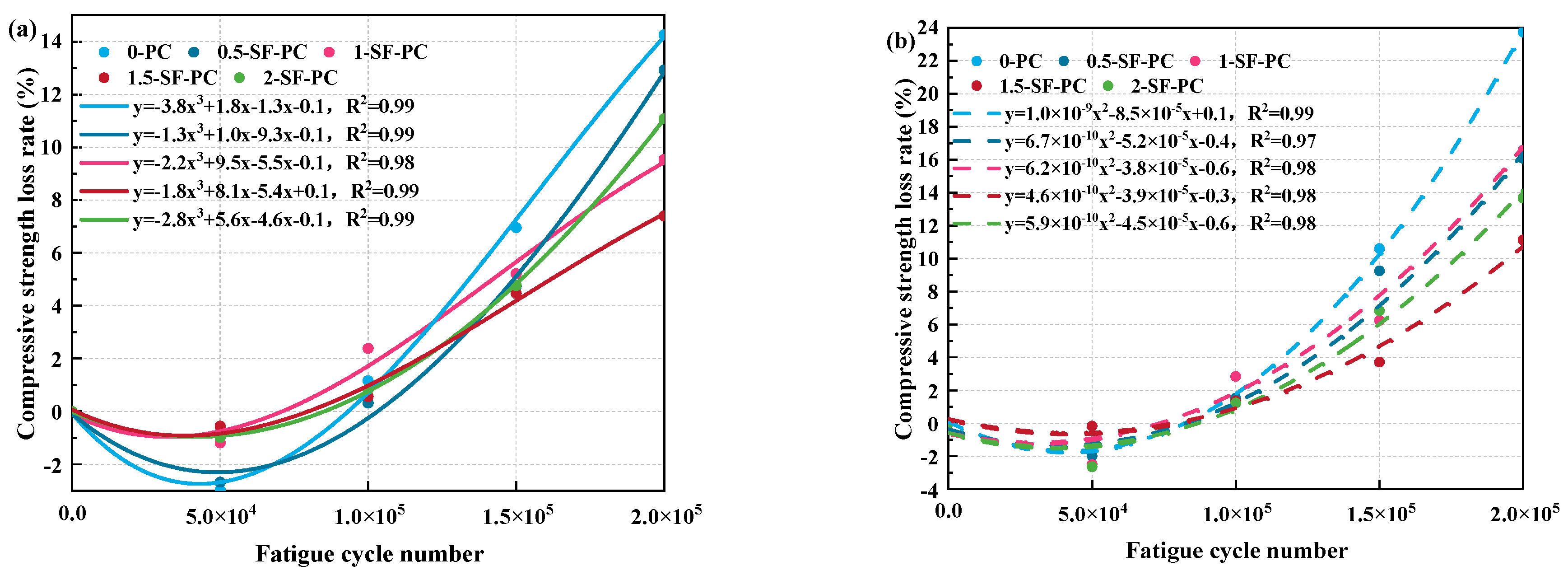
3.1.1. Compressive Strength
3.1.2. Flexural Strength
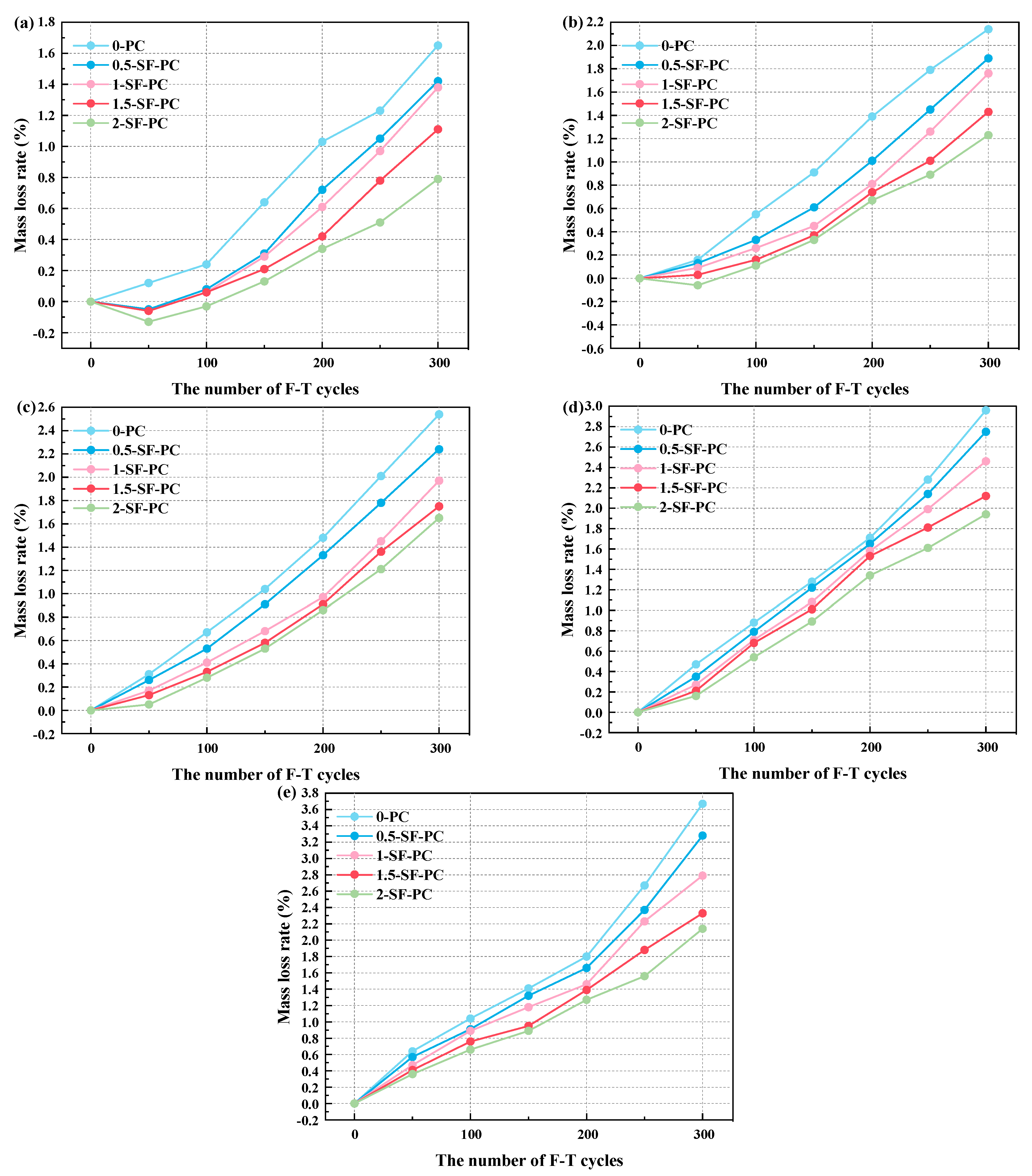
3.2. Mass Loss Rate
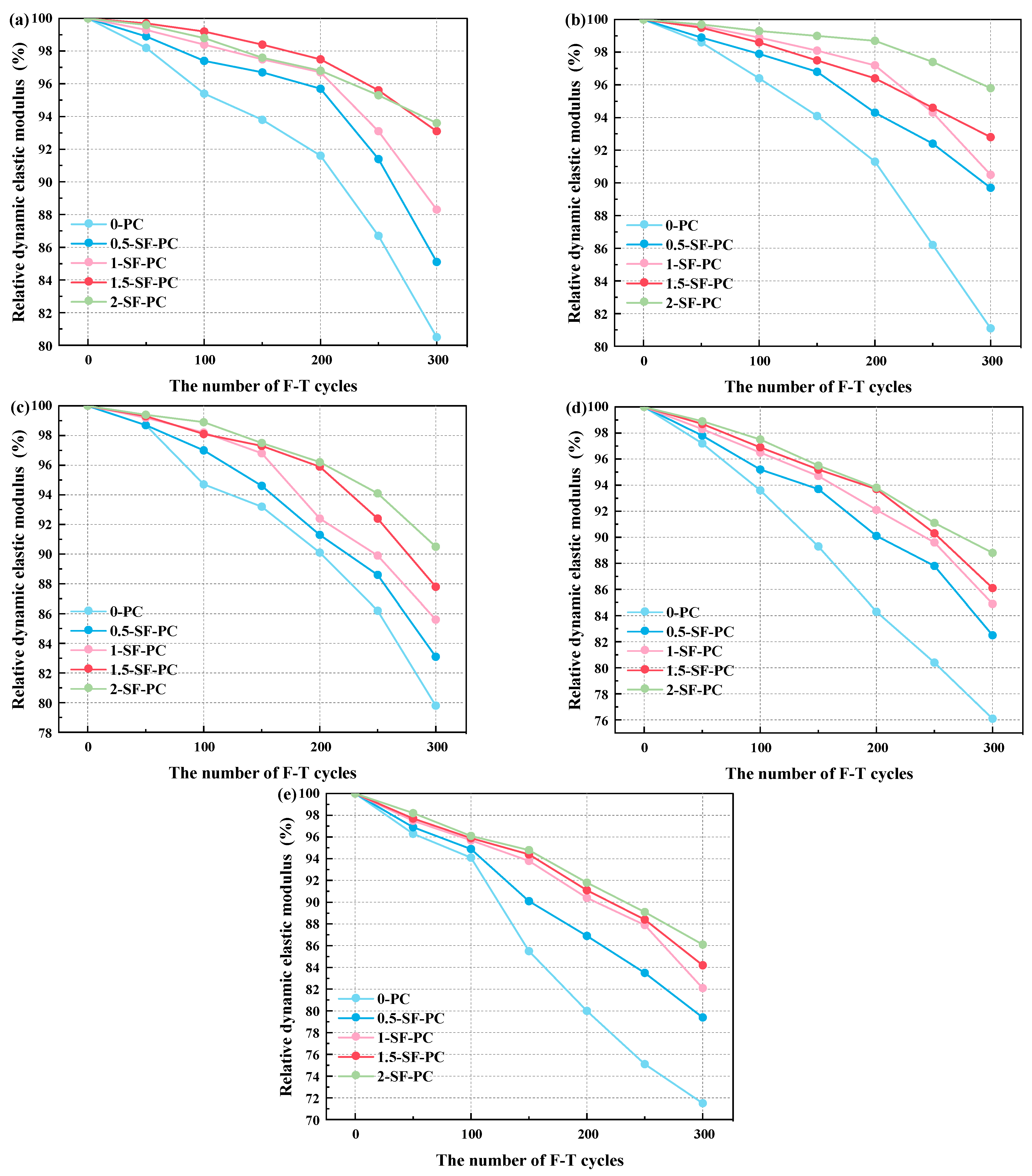
3.3. Relative Dynamic Elastic Modulus
3.4. Channel Characteristics
3.4.1. Deformation
3.4.2. Permeability Coefficient
3.5. Rainstorm Waterlogging Resistance
3.5.1. Ponding Depth
3.5.2. Drainage Time
3.6. SEM Analysis
4. Conclusions
- The fatigue load exerts a detrimental impact on the compressive and flexural strength of NSRPC after F-T cycles with the role of SF in bolstering the flexural strength of NSRPC eclipsing their effect on its compressive strength. As the number of fatigue cycles increases, the compressive strength of NSRPC is decreasing. After 2 × 105 fatigue and 300 F-T cycles, NSRPC without SF experienced a fall in compressive and flexural strength by 49.9% and 51.5%, respectively, while the NSRPC including 1.5% SF suffered a reduction of just 26.4% and 29.7%.
- In the early stage of fatigue cycle (<1 × 105), the mass loss rate and relative dynamic elastic modulus of NSRPC changed little. With the increase in the number of fatigue cycles, the damage degree of NSRPC after F-T is deepened, the mass loss is gradually increased, and the relative dynamic elastic modulus is gradually reduced. After the coupling of fatigue and F-T cycles, the minimum mass loss rate of NSRPC is only 2.14%, and the relative dynamic elastic modulus can reach 86.2%.
- With the increase in the number of fatigue cycles, the permeability coefficient of NSRPC after F-T cycles decreases first and then increases. The NSRPC with 1.5% and 2% SF maintains the integrity of the pores in the later stage of fatigue and F-T, so the permeability coefficient changes little.
- Even with low SF content (<0.5 vol.%), the NSRPC after fatigue and F-T cycles still has excellent rainstorm resistance. Under the action of rainstorm in the 100-year return period, the maximum ponding depth is 84 mm, and the drainage time is 7.1 min, which meets the requirements of no rainstorm waterlogging during the rainstorm of the secondary highway.
- In this study, the pore structure of NSRPC is relatively simple, and the mechanical properties, durability and rainstorm waterlogging resistance of NSRPC after fatigue or F-T cycles are quite different. Therefore, NSRPC with different porosity, pore diameter and pore arrangement should be analyzed in the future research so as to obtain the rainstorm waterlogging resistance of NSRPC with different porosity, pore diameter and pore arrangement after fatigue or F-T cycles. More importantly, the pore structure of NSRPC is an important internal factor affecting its service life. While considering the permeability, we should also pay attention to the influence of pore structure on the service life of NSRPC.
Author Contributions
Funding
Data Availability Statement
Conflicts of Interest
References
- Cree, D.; Green, M.; Noumowé, A. Residual strength of concrete containing recycled materials after exposure to fire: A review. Constr. Build. Mater. 2013, 45, 208–223. [Google Scholar] [CrossRef]
- Yang, J.; Jiang, G. Experimental study on properties of pervious concrete pavement materials. Cem. Concr. Res. 2003, 33, 381–386. [Google Scholar] [CrossRef]
- Haselbach, L.M.; Valavala, S.; Montes, F. Permeability predictions for sand-clogged Portland cement pervious concrete pavement systems. J. Environ. Manag. 2006, 81, 42–49. [Google Scholar] [CrossRef] [PubMed]
- Volder, A.; Watson, T.; Viswanathan, B. Potential use of pervious concrete for maintaining existing mature trees during and after urban development. Urban For. Urban Green. 2009, 8, 249–256. [Google Scholar] [CrossRef]
- Xu, Q.; Jia, Z.; Tang, S.; Luo, W. The effect of flow partition on storm runoff and pollutant retention through raingardens with and without subsurface drainage. J. Environ. Manag. 2022, 302, 114038. [Google Scholar] [CrossRef] [PubMed]
- AlShareedah, O.; Nassiri, S. Pervious concrete mixture optimization, physical, and mechanical properties and pavement design: A review. J. Clean. Prod. 2021, 288, 125095. [Google Scholar] [CrossRef]
- Xie, Z.; Du, Q.; Cai, Z.; Liu, H.; Jamieson, S. Courtyard-level sewer data-enhanced two-dimensional hydraulic model for urban flood hazard assessment in Kunming, China. Water Policy 2015, 17, 143–161. [Google Scholar] [CrossRef]
- Zhang, X.; Hu, M.; Chen, G.; Xu, Y. Urban Rainwater Utilization and its Role in Mitigating Urban Waterlogging Problems-A Case Study in Nanjing, China. Water Resour. Manag. 2012, 26, 3757–3766. [Google Scholar] [CrossRef]
- Du, S.; Rompaey, A.V.; Shi, P.; Wang, J.a. A dual effect of urban expansion on flood risk in the Pearl River Delta (China) revealed by land-use scenarios and direct runoff simulation. Nat. Hazards 2015, 77, 111–128. [Google Scholar] [CrossRef]
- Lund, M.S.M.; Hansen, K.K.; Brincker, R.; Jensen, A.H.; Amador, S.D.R. Evaluation of freeze-thaw durability of pervious concrete by use of operational modal analysis. Cem. Concr. Res. 2018, 106, 57–64. [Google Scholar] [CrossRef]
- Dreelin, E.A.; Fowler, L.; Ronald Carroll, C. A test of porous pavement effectiveness on clay soils during natural storm events. Water Res. 2006, 40, 799–805. [Google Scholar] [CrossRef] [PubMed]
- Adresi, M.; Yamani, A.; Karimaei Tabarestani, M.; Rooholamini, H. A comprehensive review on pervious concrete. Constr. Build. Mater. 2023, 407, 133308. [Google Scholar] [CrossRef]
- Wu, F.; Yu, Q.; Brouwers, H.J.H. Mechanical, absorptive and freeze–thaw properties of pervious concrete applying a bimodal aggregate packing model. Constr. Build. Mater. 2022, 333, 127445. [Google Scholar] [CrossRef]
- Lima, G.T.d.S.; Rocha, J.C.; Cheriaf, M. Investigation of the properties of pervious concrete with a recycled aggregate designed with a new combination of admixture. Constr. Build. Mater. 2022, 340, 127710. [Google Scholar] [CrossRef]
- Pradhan, S.K.; Behera, N. Performance assessment of pervious concrete road on strength and permeability by using silica fume. Mater. Today Proc. 2022, 60, 559–568. [Google Scholar] [CrossRef]
- Li, J.; Zhang, Y.; Liu, G.; Peng, X. Preparation and performance evaluation of an innovative pervious concrete pavement. Constr. Build. Mater. 2017, 138, 479–485. [Google Scholar] [CrossRef]
- Kia, A.; Wong, H.S.; Cheeseman, C.R. High-strength clogging resistant permeable pavement. Int. J. Pavement Eng. 2021, 22, 271–282. [Google Scholar] [CrossRef]
- Richardson, A.E.; Coventry, K.A.; Wilkinson, S. Freeze/thaw durability of concrete with synthetic fibre additions. Cold Reg. Sci. Technol. 2012, 83–84, 49–56. [Google Scholar] [CrossRef]
- Xianglong, L.; Ze, Z.; Andrey, M.; Mingyi, Z.; Doudou, J.; Jinbang, Z. Variation of Ground Surface Freezing/Thawing Index in China under the CMIP6 Warming Scenarios. Sustainability 2022, 14, 14458. [Google Scholar]
- Taheri, B.M.; Ramezanianpour, A.M.; Sabokpa, S.; Gapele, M. Experimental evaluation of freeze-thaw durability of pervious concrete. J. Build. Eng. 2021, 33, 101617. [Google Scholar] [CrossRef]
- Luo, G.; Zhao, P.; Zhang, Y.; Xie, Z. Performance Evaluation of Waste Crumb Rubber/Silica Fume Composite Modified Pervious Concrete in Seasonal Frozen Regions. Adv. Mater. Sci. Eng. 2021, 2021, 1411185. [Google Scholar] [CrossRef]
- Tarangini, D.; Sravana, P.; Srinivasa Rao, P. Effect of nano silica on frost resistance of pervious concrete. Mater. Today Proc. 2022, 51, 2185–2189. [Google Scholar] [CrossRef]
- Pan, J.; Shen, Y.; Yang, G.; Zhang, H.; Yang, H.; Zhou, Z. Debonding behaviors and micro-mechanism of the interface transition zone in sandstone-concrete interface in response to freeze-thaw conditions. Cold Reg. Sci. Technol. 2021, 191, 103359. [Google Scholar] [CrossRef]
- Zhang, J.; Meng, B.; Wang, Z.; Xiong, J.; Tang, W.; Tan, Y.; Zhang, Z. Numerical simulation on cleaning of clogged pervious concrete pavement. J. Clean. Prod. 2022, 341, 130878. [Google Scholar] [CrossRef]
- Sandoval, G.F.B.; Jussiani, E.I.; de Moura, A.C.; Andrello, A.C.; Toralles, B.M. Hydraulic and morphological characterization of clogged pervious concrete (PC). Constr. Build. Mater. 2022, 322, 126464. [Google Scholar] [CrossRef]
- Zou, D.; Wang, Z.; Shen, M.; Liu, T.; Zhou, A. Improvement in freeze-thaw durability of recycled aggregate permeable concrete with silane modification. Constr. Build. Mater. 2020, 268, 121097. [Google Scholar] [CrossRef]
- Singh, A.; Sampath, P.V.; Biligiri, K.P. A review of sustainable pervious concrete systems: Emphasis on clogging, material characterization, and environmental aspects. Constr. Build. Mater. 2020, 261, 120491. [Google Scholar] [CrossRef]
- Chandrappa, A.K.; Biligiri, K.P. Pervious concrete as a sustainable pavement material—Research findings and future prospects: A state-of-the-art review. Constr. Build. Mater. 2016, 111, 262–274. [Google Scholar] [CrossRef]
- Jiao, K.; Chen, C.; Li, L.; Shi, X.; Wang, Y. Compression Fatigue Properties of Pervious Concrete. ACI Mater. J. 2020, 117, 241. [Google Scholar]
- Chandrappa, A.K.; Biligiri, K.P. Flexural-fatigue characteristics of pervious concrete: Statistical distributions and model development. Constr. Build. Mater. 2017, 153, 1–15. [Google Scholar] [CrossRef]
- AlShareedah, O.; Nassiri, S.; Dolan, J.D. Pervious concrete under flexural fatigue loading: Performance evaluation and model development. Constr. Build. Mater. 2019, 207, 17–27. [Google Scholar] [CrossRef]
- GB/T 25177-2010; Recycled Coarse Aggregate for Concrete. China Architecture and Building Press: Beijing, China, 2010.
- GB/T 50081-2019; Standard for Test Methods of Concrete Physical and Mechanical Properties. China Architecture and Building Press: Beijing, China, 2019.
- GB/T 50082-2009; Standard for Test Methods of Long-Term Performance and Durability of Ordinary Concrete. China Architecture and Building Press: Beijing, China, 2009.
- Zhu, P.; Shi, Z.; Liu, H.; Yan, X.; Yang, L.; Zong, M. Pore Characteristic Design Method of High-strength Pervious Concrete Based on the Mechanical Properties and Rainstorm Waterlogging Resistance. J. Wuhan Univ. Technol.-Mater. Sci. Ed. 2023, 38, 567–574. [Google Scholar] [CrossRef]
- Bai, J.; Xu, R.; Zhao, Y.; Shi, J. Flexural fatigue behavior and damage evolution analysis of aeolian sand concrete under freeze–thaw cycle. Int. J. Fatigue 2023, 171, 107583. [Google Scholar] [CrossRef]
- Xue, G.; Zhu, H.; Xu, S.; Dong, W. Fatigue performance and fatigue equation of crumb rubber concrete under freeze–thaw cycles. Int. J. Fatigue 2023, 168, 107456. [Google Scholar] [CrossRef]
- Liu, D.; Wang, C.; Gonzalez-Libreros, J.; Guo, T.; Cao, J.; Tu, Y.; Elfgren, L.; Sas, G. A review of concrete properties under the combined effect of fatigue and corrosion from a material perspective. Constr. Build. Mater. 2023, 369, 130489. [Google Scholar] [CrossRef]
- Li, Z.; Shang, H.; Xiao, S.; Yang, L.; Li, Z. Effect of thermal fatigue on mechanical properties and microstructure of concrete in constant ambient humidity. Constr. Build. Mater. 2023, 368, 130367. [Google Scholar] [CrossRef]
- Wang, D.; Zhao, Q.; Yang, C.; Chi, Y.; Qi, W.; Teng, Z. Study on frost resistance and vegetation performance of seashell waste pervious concrete in cold area. Constr. Build. Mater. 2020, 265, 120758. [Google Scholar] [CrossRef]
- Toghroli, A.; Mehrabi, P.; Shariati, M.; Trung, N.T.; Jahandari, S.; Rasekh, H. Evaluating the use of recycled concrete aggregate and pozzolanic additives in fiber-reinforced pervious concrete with industrial and recycled fibers. Constr. Build. Mater. 2020, 252, 118997. [Google Scholar] [CrossRef]
- Grabias-Blicharz, E.; Franus, W. A critical review on mechanochemical processing of fly ash and fly ash-derived materials. Sci. Total Environ. 2023, 860, 160529. [Google Scholar] [CrossRef]
- Cui, K.; Xu, L.; Li, L.; Chi, Y. Mechanical performance of steel-polypropylene hybrid fiber reinforced concrete subject to uniaxial constant-amplitude cyclic compression: Fatigue behavior and unified fatigue equation. Compos. Struct. 2023, 311, 116795. [Google Scholar] [CrossRef]
- Hou, J.; Mao, H.; Li, J.; Sun, S. Spatial simulation of the ecological processes of stormwater for sponge cities. J. Environ. Manag. 2019, 232, 574–583. [Google Scholar] [CrossRef] [PubMed]
- Qian, J.; Du, Y.; Yi, J.; Liang, F.; Huang, S.; Wang, X.; Wang, N.; Tu, W.; Pei, T.; Ma, T. Regional geographical and climatic environments affect urban rainstorm perception sensitivity across China. Sustain. Cities Soc. 2022, 87, 104213. [Google Scholar] [CrossRef]
- GB 51222-2017; Technical Code for Urban Flooding Prevention And Control. China Architecture and Building Press: Beijing, China, 2017.


















| Properties | Apparent Density (kg/m3) | Bulk Density (kg/m3) | Water Absorption (%) | Crushing Index (%) |
|---|---|---|---|---|
| RCA | 2567 | 1237 | 6.6 | 14.5 |
| Item | CaO | SiO2 | Al2O3 | Fe2O3 | SO3 | MgO | TiO2 | K2O |
|---|---|---|---|---|---|---|---|---|
| OPC | 53.73 | 21.46 | 9.65 | 5.73 | 3.22 | 3.07 | 0.64 | 0.67 |
| Fly ash | 3.74 | 52.61 | 28.13 | 3.55 | 1.79 | 1.22 | 0.96 | 1.73 |
| Silica fume | 0.07 | 95.78 | 0.23 | 0.12 | 0.02 | - | 0.02 | - |
| Mixtures | RCA | Sand | Water | Cement | Fly Ash | Silica Fume | SF | SP | Slump (mm) |
|---|---|---|---|---|---|---|---|---|---|
| 0-PC | 770 | 840 | 189 | 387 | 89 | 60 | 0 | 4.7 | 146 |
| 0.5-SF-PC | 770 | 840 | 189 | 387 | 89 | 60 | 39 | 4.7 | 134 |
| 1-SF-PC | 770 | 840 | 189 | 387 | 89 | 60 | 78 | 4.7 | 127 |
| 1.5-SF-PC | 770 | 840 | 189 | 387 | 89 | 60 | 117 | 4.7 | 120 |
| 2-SF-PC | 770 | 840 | 189 | 387 | 89 | 60 | 156 | 4.7 | 108 |
Disclaimer/Publisher’s Note: The statements, opinions and data contained in all publications are solely those of the individual author(s) and contributor(s) and not of MDPI and/or the editor(s). MDPI and/or the editor(s) disclaim responsibility for any injury to people or property resulting from any ideas, methods, instructions or products referred to in the content. |
© 2024 by the authors. Licensee MDPI, Basel, Switzerland. This article is an open access article distributed under the terms and conditions of the Creative Commons Attribution (CC BY) license (https://creativecommons.org/licenses/by/4.0/).
Share and Cite
Huang, K.-L.; Song, Y.; Sheng, Y.-M. Rainstorm Resistance of Recycled Pervious Concrete under the Coupling of Fatigue and Freeze–Thaw Cycles. Buildings 2024, 14, 294. https://doi.org/10.3390/buildings14010294
Huang K-L, Song Y, Sheng Y-M. Rainstorm Resistance of Recycled Pervious Concrete under the Coupling of Fatigue and Freeze–Thaw Cycles. Buildings. 2024; 14(1):294. https://doi.org/10.3390/buildings14010294
Chicago/Turabian StyleHuang, Kai-Lin, Yang Song, and Yan-Min Sheng. 2024. "Rainstorm Resistance of Recycled Pervious Concrete under the Coupling of Fatigue and Freeze–Thaw Cycles" Buildings 14, no. 1: 294. https://doi.org/10.3390/buildings14010294
APA StyleHuang, K.-L., Song, Y., & Sheng, Y.-M. (2024). Rainstorm Resistance of Recycled Pervious Concrete under the Coupling of Fatigue and Freeze–Thaw Cycles. Buildings, 14(1), 294. https://doi.org/10.3390/buildings14010294

