Abstract
To investigate the effect of recycled engine oil bottoms (REOB) as a compatibilizer on the properties of styrene–butadiene–styrene-modified bitumen (SBS-PMB), this paper studied the preparation method, properties, and micro-mechanism of composite modification of matrix bitumen with SBS and REOB. Firstly, a multi-factor orthogonal experiment determined the optimal preparation scheme of REOB/SBS composite-modified bitumen (REOB/SBS-PMB). Then, the high-temperature stability rheological properties, and anti-aging performance of REOB-PMB were studied by testing Brookfield viscosity, elasticity recovery, and dynamic shear rheology (DSR) and by short-term aging simulation (TFOT). Finally, the microstructure, fraction content, and SBS particle dispersion of 70# matrix bitumen (70-MB), SBS-PMB, and REOB/SBS-PMB were compared and analyzed by tests of Fourier transform infrared spectroscopy (FTIR), rod-shaped thin-layer chromatography, and fluorescence microscopy to reveal the micro-mechanism of REOB improving SBS and bitumen compatibility. The research results showed that the mixing form of SBS and REOB in bitumen was mainly physical swelling and blending, with chemical changes also present that have a minor impact. The light fraction in REOB increased the flowability of bitumen, promoted the swelling of SBS, improved the compatibility between SBS and bitumen, and improved the high-temperature stability and rheological properties while reducing the impact of aging.
1. Introduction
Currently, due to the heavy load of traffic and the increasingly harsh natural environment, the focus of the transportation construction industry has shifted from new construction to maintenance. In maintenance projects, bitumen materials have stricter requirements for their properties due to the scattered construction process and repeated heating [1,2]. Due to its superior properties, SBS-PMB is widely used in road construction and maintenance. However, due to the significant differences in molecular weight and density between SBS and bitumen, it is difficult to uniformly and stably disperse SBS in bitumen. Therefore, improving the compatibility between SBS and bitumen is the primary challenge to improving the quality of SBS-PMB [1,3,4].
Researchers compared and explored various SBS-PMBs in terms of macroscopic properties and microscopic structural morphology. They discovered that a more uniform dispersion of SBS particles in bitumen leads to better modification effects. However, the presence of unsaturated double bonds at both ends of the butadiene chain of SBS can affect the compatibility and stability of the modified bitumen [4,5,6]. Schaur, A. conducted an investigation on the structure and block content of different polymers and concluded that the content of polystyrene affects the cohesion of the polymer in bitumen. Therefore, a higher content of polystyrene results in poorer solubility of the polymer in modified bitumen. [7]. Researchers investigated the impact of different compatibilizers on the saturation of SBS-PMB and that of aromatic content on its anti-aging performance and microscopic structure, and it was observed that an elevated level of aromatics and reduced bitumen content can enhance the solubility of SBS in bitumen [8,9]. Research has shown that the microstructure of SBS-PMB is closely related to its macroscopic property indicators. Storage stability decreases significantly with storage time and temperature; the disaggregation phenomenon is commonly observed in finished modified bitumen, which reduced solubility of SBS in bitumen [1,10].
The above studies have analyzed the mechanism of SBS polymer modification from a microscopic perspective. Some researchers have also investigated the aging characteristics of SBS-PMB and the properties of its composite-modified bitumen. Researchers simulated the aging of SBS through indoor experiments and found that early weathering aging enhanced the compatibility between the SBS modifier and matrix bitumen [2,3]. However, under the effects of high-temperature oxidative aging and ultraviolet aging, SBS undergoes degradation, leading to changes in the number and area of the “ honeycomb structure” of bitumen, which negatively affects the compatibility between SBS and bitumen [11,12,13,14,15]. Wu, S. evaluated the rheological properties of SBS/CRP-PMB and found that it still has strong anti-aging and anti-low-temperature relaxation abilities in cold regions [16]. Sengoz, B. analyzed the properties of EVA/SBS-PMB and found that the morphology and mechanical properties depend on the type and content of the polymer [17].
Based on the above research, the microstructural phase and macroscopic properties of SBS-PMB have been thoroughly analyzed and revealed. In addition, the exploration of composite-modified bitumen based on SBS is also abundant. However, the compatibility between SBS and bitumen has not been effectively improved. Furthermore, according to statistics, at least six million tons of REOB are generated in China each year. Currently, the main methods of dealing with REOB include direct disposal, burial, or incineration, which can cause serious environmental pollution problems. Therefore, the effective recycling and utilization of REOB is another key issue that needs to be urgently addressed.
Existing research has shown that the poor compatibility between SBS and bitumen results in unsatisfactory properties of SBS-modified bitumen when SBS is used as a single modifier. However, by adding different additives, the compatibility between SBS and bitumen can be altered, thereby influencing the high-temperature and low-temperature properties of SBS composite-modified bitumen to varying degrees. Since motor oil and bitumen are derived from crude oil refining, related studies have shown that they have similar chemical compositions and good solubility [18].
Some scholars have found that the addition of REOB can provide lightweight fractions for bitumen, significantly improving its anti-aging performance. However, adding a high dose of REOB, which contains heavy metal fractions, can accelerate bitumen oxidation and precipitation of asphaltene, causing the bitumen to be prone to low-temperature cracking, reducing its ductility, and damaging its high-temperature properties and viscoelastic recovery [19,20,21,22,23,24]. As the amount of REOB added increases, the water damage to the bitumen mixture becomes more severe [25]. Some scholars have conducted microanalysis on REOB-PMB and found that some fractions in REOB can physically and chemically harden bitumen and cause damage to the mixture. REOB cannot restore the original surface microstructure of the bitumen but instead forms more phase boundaries [26,27]. Cai, F.J.’s research findings indicate that REOB from different sources have higher permeability into bitumen when their aromatic content is higher [28].
According to current research, it is known that when used as a single modifier, REOB can reduce the thermal stability of modified bitumen. However, it can create more interfacial boundaries in bitumen, and there may be pores within these interfacial boundaries. In theory, this can help improve the solubility of SBS in bitumen. Therefore, the use of REOB as a compatibilizer holds the potential to solve the compatibility issues between SBS and bitumen and achieve the effective recycling and utilization of REOB.
Ki, H.M. also suggested conducting further experimental investigations to evaluate the mixing and diffusion phenomena of bitumen binders [29]. There is limited research on REOB/SBS-PMB, and further improvement and refinement are needed regarding the blending ratio of the two modifiers in bitumen and the properties of the composite-modified bitumen. To achieve this, an orthogonal experiment was conducted to determine the optimal process parameters for preparing REOB/SBS-PMB. A comparative analysis was performed between the composite-modified bitumen and the matrix bitumen as well as SBS-PMB. The viscosity, high-temperature stability, viscoelasticity, and aging resistance of REOB/SBS-PMB were studied to establish the theoretical foundation for promoting its application in road engineering.
2. Materials and Methods
2.1. Materials
The matrix bitumen used is Qilu AH-70 matrix bitumen and its relevant property indicators obtained according to the JTG E20-2011 ‘Standard Test Methods of Bitumen and Bituminous Mixtures for Highway Engineering’ [30] are shown in Table 1, and the technical specifications are sourced from the JTG F40-2004 ‘Technical Specifications for Construction of Highway Bitumen Pavements’ [31]. Additionally, the test results for the fractions of the bitumen are listed in Table 1.
Table 1.
The related property indicators of 70-MB.
The SBS modifier used is the 1301 type produced by Ningbo Changhong, and its various indicators are shown in Table 2.
Table 2.
The SBS modifier’s various property indicators.
A certain type of REOB is selected, and its various property indicators and the test results of the fractions concentration are shown in Table 3.
Table 3.
Main property indicators of REOB.
Sample images of the three main raw materials are shown in Figure 1, which demonstrates the physical appearance of 70-MB, REOB, and SBS modifiers at room temperature.
Figure 1.
Samples of three major raw materials: (a) 70-MB; (b) REOB; (c) SBS modifier.
2.2. Composite-Modified Bitumen Preparation Testing Methods
2.2.1. Single-Factor Determination Methods
The key influencing factors in the preparation of REOB/SBS-PMB include shear temperature, shear speed, shear time, developmental time, SBS dosage, REOB dosage, and stabilizer dosage [32]. Penetration, ductility, and softening point were selected as the evaluation method for each single factor’s optimal level. Specifically, when a certain level of a single factor was selected, the penetration value of the REOB/SBS-PMB was qualified, and both the ductility and softening point reached their peak values. This level was considered the optimal level for the corresponding single factor. If the peak value cannot be reached, it means that the optimal level for that factor has not been achieved, and the remaining factors need to be determined through further experimental design. The levels of each factor are shown in Table 4.
Table 4.
Factor levels.
2.2.2. Proposed Orthogonal Testing Methods
To determine the optimal levels of the remaining x factors, 3 key levels are selected for each factor, and the different levels of each factor are cross-combined to prepare samples. The properties of each group of samples are tested, and the optimal level of each factor is determined by analyzing the experimental results. If all 3 levels of x-factors are fully combined, the number of experiments required is 3^x, and if 3^x ≥ 27, the experimental workload is large and requires a lot of time. To facilitate the study of the effect of the remaining factors on the properties of REOB/SBS-PMB, an orthogonal test should be designed for the case where x factors have 3 levels.
2.2.3. Composite-Modified Bitumen Preparation Methods
Preparation of modified bitumen was conducted utilizing the GS-1 high-shear mixer from Hebei Yake Instrument Sales Center. The selected process parameters and material proportions were used to prepare the REOB/SBS-PMB through the process of heating 70-MB, shear dispersion swelling of REOB and SBS, the addition of a stabilizer, and aging. The same process was used to prepare the SBS-PMB. The equipment used for the preparation and study of modified bitumen is also listed in Table 5.
Table 5.
Equipment used for the preparation and study of modified bitumen.
2.3. Property Evaluation Methods
2.3.1. General Properties Testing
In accordance with the technical requirements of JTG E20-2011 ‘Standard Test Methods of Bitumen and Bituminous Mixtures for Highway Engineering’ [30], the three varieties of bitumen underwent the subsequent conventional bitumen tests: softening point, penetration, ductility, viscosity, elasticity recovery, and storage stability. The mentioned “T 0604, T 0605, T 0606, T 0625, T 0661, T 0662” in Section 2.3.1 are all derived from JTG E20-2011 ‘Standard Test Methods of Bitumen and Bituminous Mixtures for Highway Engineering’ [30].
The determination of the softening point (ring and ball test) was conducted in accordance with T 0606. The penetration test was performed at 25 °C following T 0604. Ductility measurement was carried out at 5 °C as per T 0605.
The rotational viscosity test was measured according to T 0625. In this investigation, the Brookfield viscometer equipped with a thermal container for sample temperature control was employed to assess the dynamic viscosity of the prepared samples at 135 °C.
The elasticity recovery was measured according to T 0662. The test could be completed using the ductilometer. The insulation time was 1.5 h, the stretching speed was 5 cm/min, and it was stretched to 10 ± 0.25 cm and then immediately sheared in the middle. The residual length was measured after being kept for 1 h. The storage stability test used the separation test.
The storage stability was measured according to T 0661. The distinction in softening point temperatures between the upper and lower bitumen samples extracted from a cylindrical mold (32 mm in diameter and 160 mm in height) was ascertained subsequent to their vertical storage in an oven at 163 °C for 48 h. The oven temperature was maintained at 163 ± 5 °C. After being left still for 48 ± 1 h, the aluminum tube and bracket were taken out and placed in a refrigerator for more than 4 h. The solidified sample was taken out, and the aluminum tube was evenly cut into 3 pieces with scissors. The sample was then put back into the oven at 163 ± 5 °C and fully softened, stirred, and poured into a softening point test mold for the softening point test.
2.3.2. Rheological Property Testing
As per AASHTO T315 [33], DSR tests were conducted at temperatures ranging from 58 °C to 88 °C, with an interval of 6 °C between each test. A sinusoidal force was applied using a mode of strain control, with a specimen diameter of 25 mm and thickness of 1 mm and a loading frequency of 10 rad/s. The target strain value was 12%.
2.3.3. Short-Term Aging Simulation Property Testing
Martin, H. concluded through numerous experiments that DSR is a more efficient method for testing bitumen binder properties compared to traditional testing [34]. According to the technical requirements of T 0906 in JTG E20-2011 ‘Standard Test Methods of Bitumen and Bituminous Mixtures for Highway Engineering’ [30], the timer was started when the oven temperature reached 162 °C, and the samples were maintained at 163 ± 1 °C for 5 h. The total duration from placing the samples into the oven to the end of the test should be controlled within 5.25 h.
2.4. Mechanistic Analysis Methods
Comparative analysis of the functional group structure, composition content, and fluorescence images of 70-MB, SBS-PMB, and REOB/SBS-PMB was carried out using FTIR, thin-layer chromatography, and fluorescence microscopy to reveal the micro-mechanism of REOB improving SBS-PMB.
2.4.1. Analysis Methods of Functional Group Content in Bitumen
This experiment used an FTIR to analyze the infrared spectra of three types of bitumen. The maximum resolution was 0.019 cm−1, and the wavelength range was between 4000 cm−1 and 400 cm−1. The samples were ground with potassium bromide to prepare block-shaped thin slices. The infrared absorption spectrum was obtained by detecting the transmittance of the light wave.
2.4.2. Analysis Methods of Fraction Content in Bitumen
To ascertain the correlation between the fractions of bitumen and the characteristics of the modified bitumen, the fractions (saturates, aromatics, resins, and asphaltenes) of bitumen were analyzed in accordance with SH/T 0905-2010 [35].
2.4.3. Analysis Methods of Fluorescence Images in Bitumen
A fluorescence microscope FM-400 was employed to examine the morphology of the three variations of bitumen. It enables the evaluation of the dispersion of SBS in the matrix bitumen and the characterization of the continuous and discontinuous phases. The SBS-PMB can be illuminated with blue light for excitation due to the fluorescence characteristics of the SBS copolymer. Subsequently, the re-emitted fluorescent yellow light from the polymer phase can be observed under an optical microscope.
3. Results and Discussion
3.1. Analysis of Results for Optimum Process Parameters
Based on the results of single-factor experiments, it can be concluded that “Developmental Time, Stabilizer Dosage, Shear Temperature” have a level of penetration within the specified range, and both the ductility and softening point reach their peak values. Therefore, the optimal levels for these three factors can be determined. The optimal shear temperature for preparing REOB/SBS-PMB is 190 °C, the optimal developmental time is 2 h, and the optimal stabilizer dosage is 1.4‰. The results of determining the optimal levels through single-factor testing are shown in Figure 2, which shows the results of the penetration, ductility, and softening point tests at each level of the three factors. When the REOB dosage, shear speed, shear time, and SBS dosage are set at a certain level, the ductility and softening point of the REOB/SBS-PMB cannot simultaneously reach their peak values. Therefore, an orthogonal experimental design is needed to determine these four factors. Table 6 displays the factor-level table for the orthogonal experimental design.
Figure 2.
Single-factor determination of optimal proficiency test results: (a) shear temperature; (b) developmental time; (c) stabilizer dosage.
Table 6.
Factor levels.
The optimal experimental conditions for achieving the desired property indicators of REOB/SBS-PMB were determined through the orthogonal experiment. The softening point, ductility, and penetration were tested, and a comprehensive balance method was used for analysis to identify the best combination of factors. The REOB dosage was factor A, shear speed was factor B, shear time was factor C, and SBS dosage was factor D. Table 7 displays the factor-level table for the orthogonal experimental design, and the outcomes of the experiments are presented in Table 8.
Table 7.
Orthogonal experimental protocol.
Table 8.
Orthogonal experimental results.
Orthogonal Experimental Method Principle: The orthogonal experimental method selects only a representative subset of test combinations. These selected combinations possess characteristics such as dispersion, uniformity, and comparability, allowing them to represent all test combinations scientifically and effectively. By arranging the experiments according to the orthogonal method, the test points are distributed evenly, reducing the number of experiments required. Additionally, it enables a clear elucidation of the relationship between experimental conditions and indicators.
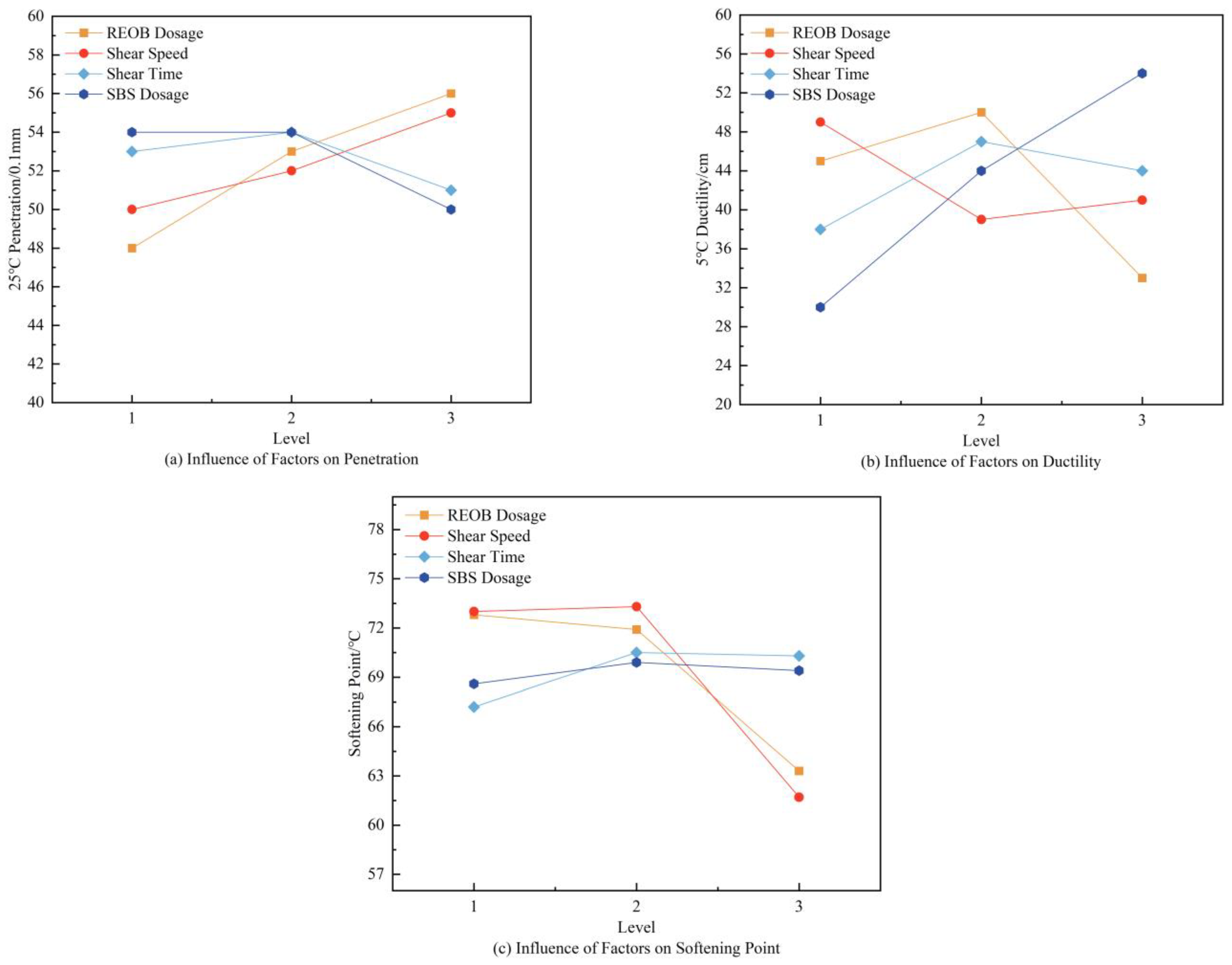
Among these, Ki denotes the cumulative sum of the test results associated with the level number i in each column, where i = 1, 2, 3; ki denotes the average value of the test results obtained at the factor level i in any column, where i = 1, 2, 3; s represents the occurrence frequency of each level in any column; R is the range of the data results. The 25 °C penetration, 5 °C ductility, and softening point are three typical macroscopic property indicators used to evaluate the optimal levels of the four factors. To analyze the effects of these four factors on the bitumen, the different parameter values of the four factors are plotted in Figure 3; it shows the results of the penetration, ductility, and softening point tests at each level of the four factors.
Figure 3.
Influence of various factors on the three major indexes of bitumen: (a) penetration; (b) ductility; (c) softening point.
For the 25 °C penetration, the smaller the value, the higher the viscosity of the bitumen. According to the trends of the bitumen penetration with REOB dosage, SBS dosage, shear speed, and shear time shown in Figure 3a, the optimal dosages of REOB and SBS are 1.0% and 5.0%, respectively. The bitumen penetration is the smallest at a shear speed of 3000 rpm, indicating the optimal viscosity of the bitumen. When the shear time is extended from 30 min to 45 min, SBS is sheared finer, and the penetration of the REOB/SBS-PMB increases. However, when the shear time is further extended from 45 min to 60 min, the bitumen is prone to aging, and the penetration of the REOB/SBS-PMB decreases. Therefore, the optimal shear time is 45 min. Based on the results of the penetration range in Table 8, RA > RB > RD > RC; it can be inferred that REOB dosage is the primary determinant influencing the viscosity of the bitumen. To achieve a composite-modified bitumen with improved viscosity, scheme A1B1D3C2 should be chosen.
For the 5 °C ductility, the larger the value, the better the low-temperature cracking resistance of the bitumen. According to the trends of the bitumen ductility with REOB dosage, SBS dosage, shear speed, and shear time shown in Figure 3b, the optimal dosages of REOB and SBS are 2.0% and 5.0%, respectively. The maximum value of the bitumen ductility occurs at a shear speed of 3000 rpm and a shear time of 45 min, indicating the optimal low-temperature cracking resistance of the bitumen. Based on the results of the ductility range in Table 8, RD > RA > RB > RC; it can be concluded that SBS dosage is the most important factor affecting the low-temperature cracking resistance of the bitumen. To obtain a composite-modified bitumen with better low-temperature cracking resistance, scheme D3A2B1C2 should be chosen.
In terms of softening point, a larger value indicates better high-temperature stability of bitumen. From the trend of bitumen softening point with REOB dosage, SBS dosage, shear speed, and shear time shown in Figure 3c, it can be concluded that the optimal REOB and SBS dosages are 1.0% and 4.5%, respectively; the softening point of bitumen is the highest when the shear time is 45 min, indicating the best high-temperature stability of the bitumen. When the shear speed is increased from 3000 rpm to 4000 rpm, the softening point of the REOB/SBS-PMB barely changes. However, when the shear speed continues to increase to 5000 rpm, the softening point of the bitumen drops significantly. This is because the shear force of the shear machine on the SBS particles increases at a higher shear speed, resulting in a decrease in the particle size of SBS, which weakens the anti-high-temperature deformation ability provided by SBS to the bitumen. Considering the loss of the shear machine and economy of practical engineering caused by increasing the shear speed and the fact that the softening point at 3000 rpm and 4000 rpm is almost the same, the optimal shear speed is determined to be 3000 rpm. According to the results of softening point range in Table 8, RB > RA > RC > RD, which shows that SBS dosage is the most important factor affecting the high-temperature stability of bitumen; to obtain composite-modified bitumen with better high-temperature stability, B1A1C2D2 should be selected.
Based on the above analysis of the three optimization schemes, it is found that each of the three indicators corresponds to different optimal solutions. After comprehensively balancing the three schemes, it is concluded that the optimal choice for factor A (REOB dosage) is A1, which has the best levels for penetration, softening point, and ductility. According to the range results analysis, factor A is the first influencing factor for penetration and the second influencing factor for ductility and softening point. The optimal choice for factor B (shear speed) is B1, which is the best choice for all three indicators. The optimal choice for factor C (shear time) is C2, which is also the best choice for all three indicators. The optimal choice for factor D (SBS dosage) is D3, which has the best levels for penetration and ductility and the second-best level for softening point. According to the range results analysis, factor D is the first influencing factor for ductility, the third influencing factor for penetration, and the fourth influencing factor for softening point. Therefore, the optimal solution is scheme A1B1C2D3; it can be concluded that the optimal process parameters for preparing REOB/SBS-PMB are shear temperature of 190 °C, shear speed of 3000 rpm, shear time of 45 min, developmental time of 2 h, SBS dosage of 5.0%, REOB dosage of 1.0%, and stabilizer dosage of 1.4‰.
3.2. Results and Analysis of the Properties of Composite-Modified Bitumen
A comparative analysis of the conventional properties, rheological characteristics, and short-term aging of 70-MB, SBS-PMB, and REOB/SBS-PMB was conducted through macroscopic experiments to validate the modification effect of REOB on SBS-PMB.
3.2.1. General Properties Testing Results
The fundamental characteristics of the three types of bitumen were characterized by 25 °C penetration, softening point, 5 °C ductility, 135 °C Brookfield viscosity, 25 °C flexibility recovery rates, and 48 h storage stability, and the results are shown in Table 9.
Table 9.
Test results for the conventional properties index of the three types of bitumen.
It can be seen from Table 9 that under the same preparation process and test conditions, the conventional properties test results of the three types of bitumen all meet the requirements of JTG F40-2004 ‘Technical Specifications for Construction of Highway Bitumen Pavements’ [31]. The ductility of REOB/SBS-PMB is 4.9 cm smaller than that of SBS-PMB because REOB reduces the viscosity of the bitumen, weakening its ability to resist low-temperature deformation. The softening point of REOB/SBS-PMB is 7 °C higher than that of SBS-PMB, indicating that it has better high-temperature properties. The reason is that REOB disperses the SBS particles more evenly in the bitumen, which helps the SBS to swell and form a more stable structure, making the bitumen more resistant to deformation in high-temperature environments.
The Brookfield viscosities of SBS-PMB and REOB/SBS-PMB are 1.04 Pa·s and 1.00 Pa·s higher than that of 70-MB, respectively. This is because the SBS modifier absorbs the light fractions in the bitumen and swells, while the heavy fractions in the bitumen occupy a large proportion and the strong SBS structure formed inside greatly increases the viscosity of the modified bitumen. The Brookfield viscosity of REOB/SBS-PMB is 0.04 Pa·s lower than that of SBS-PMB because REOB contains a lot of light fractions, which have a softening effect on the bitumen.
The elastic recovery rate of REOB/SBS-PMB is 11% higher than that of SBS-PMB, indicating better elastic recovery properties. SBS modifier has good viscoelasticity, which provides the bitumen with good elastic recovery properties. Therefore, SBS-PMB has a certain elastic recovery ability. However, due to the large differences in physical and chemical properties between the SBS modifier and bitumen, the compatibility between the two is not high. During the shear and developmental process of SBS particles, some particles will agglomerate and gather, resulting in uneven dispersion in the bitumen, greatly reducing its elastic recovery ability. In the preparation process of REOB/SBS-PMB, the light fractions in REOB increase the fluidity of the bitumen, which makes the SBS particles disperse more evenly in the bitumen. At the same time, SBS absorbs the light fractions and swells more completely, providing the bitumen with better elastic recovery ability. Therefore, the elastic recovery property of REOB/SBS-PMB is better.
The difference in separation softening point between REOB/SBS-PMB and SBS-PMB is 0.5 °C lower for REOB/SBS-PMB, indicating better storage stability, and the storage stability of both types of bitumen meets the standard requirements. The reasons for this phenomenon are twofold: On the one hand, REOB reduces the viscosity of the bitumen, allowing SBS to be sheared into finer particles, thereby increasing the contact area with the bitumen and improving the adhesion between the two. On the other hand, after absorbing some light fractions from both the bitumen and REOB, SBS can swell more completely, and more bitumen fractions can penetrate deep into the SBS, increasing the intertwining points and surfaces between the two, resulting in a more stable system. Compared with SBS-PMB, REOB/SBS-PMB has a lower aging degree and less softening point change after high-temperature storage, indicating better storage stability.
3.2.2. Rheological Properties Test Results
The phase angle δ and rutting factor G*/sin δ of 70-MB, SBS-PMB, and REOB/SBS-PMB were obtained by DSR tests. The viscoelasticity of REOB/SBS-PMB was comprehensively analyzed and evaluated by comparing the values and trends of δ and G*/sin δ of the three types of bitumen with temperature changes. The changes of δ and G*/sin δ of three types of bitumen at different temperatures are shown in Figure 4.
Figure 4.
δ and G*/sin δ variation of the three types of bitumen.
As depicted in Figure 4, with the temperature rise, the δ values of 70-MB, SBS-PMB, and REOB/SBS-PMB all increase continuously, indicating an increase in viscous fractions. The δ value of 70-MB approaches 90°, gradually losing its elastic fraction and becoming a viscous material. Both SBS-PMB and REOB/SBS-PMB have significantly smaller δ values, indicating a larger amount of elastic fraction and stronger elastic recovery ability after deformation. The δ value of REOB/SBS-PMB is smaller than that of SBS-PMB, indicating a stronger elastic recovery ability.
As the temperature increases, the G*/sinδ values of SBS-PMB, and REOB/SBS-PMB all decrease, indicating a decline in their ability to resist deformation. Comparing the G*/sinδ values of the two types of bitumen under different temperature conditions, it can be observed that REOB/SBS-PMB has the strongest resistance to deformation, followed by SBS-PMB, indicating that the addition of REOB helps improve the high-temperature property of bitumen. The analysis shows that the light fractions in REOB allow SBS to fully swell, resulting in better viscoelastic properties of the bitumen.
3.2.3. Short-Term Aging Simulation Testing Results
TFOT short-term aging tests were conducted on 70-MB, SBS-PMB, and REOB/SBS-PMB. a, b, and c are used to represent 70-MB, SBS-PMB, and REOB/SBS-PMB, respectively. The penetration, ductility, and softening point were numbered 1, 2, and 3, respectively. The results of conventional properties testing of the three types of bitumen before and after aging are shown in Figure 5. The data in the figure are the ratio of residual penetration (penetration after aging divided by that before aging), residual ductility, and increased value of residual softening point (difference between softening points before and after aging). Due to the aging of the modified bitumen during preparation, no advance treatment was made to the matrix bitumen, and this section does not include a comparative analysis of the matrix bitumen data.
Figure 5.
Conventional properties of three kinds of bitumen before and after aging.
Figure 5 shows the comparison results of the residual penetration ratio before and after aging for two types of bitumen, which are as follows: REOB/SBS-PMB > SBS-PMB. The residual penetration of REOB/SBS-PMB exhibits a substantially greater magnitude compared to SBS-PMB. The reason for this result is that the compatibility agent REOB provides light fractions to the bitumen, which improves its resistance to aging. This leads to a reduction in the transformation of bitumen fractions after aging and a lower degree of hardening. Some of the light fractions in REOB are absorbed by SBS, promoting the swelling of SBS while also enhancing its aging resistance. This reduces the degree of aging degradation of SBS. As a result, REOB/SBS-PMB has a lower degree of hardening.
The comparison results of residual ductility before and after aging for two types of bitumen are as follows: REOB/SBS-PMB > SBS-PMB. The ductility of REOB/SBS-PMB after aging is significantly greater than that of SBS-PMB, indicating better low-temperature properties. This is because the structure formed by the swelling of SBS in modified bitumen provides good viscoelasticity, enhancing the ability of bitumen to deform at low temperatures. Even after partial degradation during aging, SBS in the modified bitumen can still provide a certain level of deformation capacity. The ductility of the REOB/SBS-PMB residual is 5.9 cm greater than that of SBS-PMB, exceeding it by 32.8%. Despite the degradation of SBS during aging, REOB contains many light fractions, which increases the flowability of the bitumen when added. Therefore, REOB/SBS-PMB still exhibits good low-temperature crack resistance.
The comparison results of the increase in softening point values for residual bitumen before and after aging are as follows: REOB/SBS-PMB > SBS-PMB. Due to the degradation of the SBS modifier in SBS-PMB, the modification effect deteriorates, reducing its ability to improve the softening point of bitumen and partially offsetting the increase in softening point caused by bitumen aging. In comparison to the increase in softening point values of SBS-PMB, the absolute value of the increase in softening point for REOB/SBS-PMB is 15.8% lower than that of the matrix bitumen, and the softening point is slightly less affected by aging.
By conducting aging tests on SBS-PMB and REOB/SBS-PMB, testing the conventional properties of the two types of bitumen before and after aging, calculating aging indicators, and conducting analysis, it can be determined that the penetration ratio and residual ductility of REOB/SBS-PMB are both greater than that of SBS-PMB before and after aging. They are less affected by the aging process. The comparative results of the aging resistance properties of the two types of bitumen are as follows: REOB/SBS-PMB > SBS-PMB.
3.3. Observation and Analysis of the Mechanism of Composite-Modified Bitumen
Using FTIR, rod-like thin-layer chromatography, and fluorescence microscopy, a comparative analysis was performed on the functional group structure, fraction content, and fluorescence images of 70-MB, SBS-PMB, and REOB/SBS-PMB to reveal the micro-mechanism of REOB improving SBS and bitumen compatibility.
3.3.1. Analysis of the Influence of Bitumen Functional Groups
The material molecular structure and molecular content of the three types of bitumen were characterized using FTIR, as shown in Figure 6.
Figure 6.
Infrared spectrogram for three kinds of bitumen.
Observing Figure 6 and comparing 70-MB with SBS-PMB, it can be observed that the functional groups of the two types of bitumen exhibit consistent characteristic peaks in the first peak region of 2800–3000 cm−1, the second peak region of 2300–2400 cm−1, and the fingerprint region of 1200–1500 cm−1. This indicates that there is only physical change between 70-MB and SBS-PMB, with SBS physically modifying 70-MB. Compared to 70-MB, the intensity of the characteristic peaks in SBS-PMB is lower. The reason for this analysis is that the addition of SBS reduces the bitumen content, and the bitumen undergoes aging during the preparation of SBS-PMB. Comparing 70-MB with REOB/SBS-PMB, it is evident that the distinct peaks in the first peak region of 2800–3000 cm−1 have similar shapes and intensities. The characteristic peak in the fingerprint region of 1200–1500 cm−1 also exhibits consistent morphology. However, the intensity of the characteristic peaks in REOB/SBS-PMB is lower. The comparison of the two peak regions indicates that there are only physical changes between 70-MB and REOB/SBS-PMB, while the characteristic peak at 2300–2400 cm−1 in REOB/SBS-PMB appears closer to a smooth curve, indicating that the addition of REOB induces chemical changes in the bitumen. Therefore, it can be concluded that there are both physical and chemical changes between SBS-PMB and REOB/SBS-PMB. The blending of REOB and SBS is primarily a physical blending process with chemical changes playing a secondary role.
3.3.2. Analysis of the Effect of Bitumen Fractions
Thin-layer chromatography was used to characterize the fractions and content of the three types of bitumen, and the results are shown in Figure 7. To facilitate the comparative analysis of the fractions and content of the three types of bitumen, the data in Figure 7 were sorted and presented in Figure 8.
Figure 7.
Atlas of four fractions of the three types of bitumen.
Figure 8.
Content of each fraction of the three types of bitumen.
Based on Figure 8, compared to 70-MB, the asphaltene and resin contents of SBS-PMB increased by 12.15% and 5.91%, respectively, while the aromatic content decreased by 17.78% and the saturated content decreased by 0.28%. The content of heavy fractions increased while the content of light fractions decreased, indicating that the bitumen underwent obvious aging during the preparation of SBS-PMB. Compared to SBS-PMB, the asphaltene and resin contents of REOB/SBS-PMB decreased by 1.27% and 4.94%, respectively, while the aromatic and saturated contents increased by 5.84% and 0.17%, respectively. The concentration of heavy fractions decreased while the proportion of light fractions increased, indicating that the aging degree of REOB/SBS-PMB was low.
3.3.3. Analysis of the Effect of Bitumen Fluorescence Images
The fluorescence images of 70-MB, SBS-PMB, and REOB/SBS-PMB are shown in Figure 9.
Figure 9.
Fluorescent images of three types of bitumen: (a) 70-MB; (b) SBS-PMB; (c) REOB/SBS-PMB.
Comparing Figure 9a,b, 70-MB has almost no fluorescence reflection when observed under a fluorescence microscope, and the overall view of the bitumen is blank. In SBS-PMB, uniform fluorescence reflection points can be seen, and each fluorescence point corresponds to an SBS particle, whose particle size is much smaller than that of the added raw material. This is because the high-speed shear action cuts the SBS into small particles and disperses them uniformly in the bitumen.
Comparing Figure 9a–c, the fluorescence of the REOB/SBS-PMB specimen is similar to that of the SBS-PMB, both belonging to polymer fluorescence. Compared with SBS-PMB, the fluorescence particles in the REOB/SBS-PMB have smaller particle sizes and better uniformity, indicating that SBS is more fully sheared after adding REOB, further demonstrating that the compatibility between the modifier and bitumen has been improved.
4. Conclusions
This objective of this article is to assess the enhancement effect of REOB on SBS-PMB using a comprehensive evaluation method based on multiple indicators and to improve the evaluation system from both macroscopic and microscopic perspectives. The following conclusions can be drawn from the relevant experiments:
Based on the orthogonal experiment, SBS/REOB-PMB was prepared. The experimental results show that the optimal process parameters for preparing REOB/SBS-PMB are the following: shear temperature of 190 °C, shear speed of 3000 rpm, shear time of 45 min, developmental time of 2 h, SBS dosage of 5.0%, REOB dosage of 1.0%, and stabilizer dosage of 1.4‰.
The macroscopic properties results show that the properties of REOB/SBS-PMB meet the technical requirements of modified bitumen. The softening point, elastic recovery rate, and rutting factor parameters of REOB/SBS-PMB are higher than those of SBS-PMB, which is due to the light fractions of REOB improving the fluidity of the bitumen, promoting the swelling of SBS, and making REOB/SBS have better viscoelasticity. Aging test data show that REOB/SBS-PMB is the least affected by aging.
The microscale experimental results indicate that the blending of SBS and REOB in bitumen is primarily through physical swelling and blending, with some chemical changes occurring. This validates that the addition of light fractions in REOB enhances the fluidity of the bitumen. The fluorescence particle size of REOB/SBS in the fluorescence image is smaller than that of SBS-PMB, which confirms that REOB is conducive to the full shear of SBS and improves the compatibility between SBS and bitumen. Moreover, the fraction content shows that compared with SBS-PMB, the content of heavy fractions in REOB/SBS-PMB decreases while the content of light fractions increases, which confirms that REOB/SBS is the least affected by aging.
This article concludes from a comprehensive evaluation study that the incorporation of REOB significantly improves the compatibility of SBS with bitumen and that the aging resistance of SBS-PMB is enhanced due to the addition of lighter fractions in REOB. FTIR tests on the aged bitumen after short-term aging simulation tests were not carried out in this article, and the effect of REOB incorporation on the chemistry of SBS-PMB was not investigated in depth and should be considered later. The macroscopic properties and modification mechanism of REOB-PMB are investigated in this article, and the next step should be an in-depth study of road performance.
Author Contributions
Conceptualization, X.L.; methodology, D.G.; software, X.L.; validation, M.X.; formal analysis, D.W.; investigation, C.G.; resources, M.X.; data curation, X.L.; writing—original draft preparation, X.L. All authors have read and agreed to the published version of the manuscript.
Funding
This research was funded by Science and Technology Innovation Project for Postgraduates of Shandong Jiaotong University (Funding Number: 2023YK035).
Data Availability Statement
The data presented in this study are available on request from the corresponding author.
Conflicts of Interest
The authors declare no conflict of interest.
References
- Chen, J.; Yu, X.; Meng, L.G. Study on Attenuation Law of Thermal Storage Performance of SBS Modified Asphalt. J. China Foreign Highw. 2017, 37, 204–208. (In Chinese) [Google Scholar]
- Cui, Y.N.; Guo, L.D.; Chen, D.S. Composite Aging Mechanism of SBS Modified Asphalt. J. Build. Mater. 2020, 23, 1183–1191. (In Chinese) [Google Scholar]
- Zhu, C.Z.; Zhang, H.L.; Zhang, D.M. Influence of Base Asphalt and SBS Modifier on the Weathering Aging Behaviors of SBS Modified Asphalt. J. Mater. Civ. Eng. 2018, 30, 04017306. [Google Scholar] [CrossRef]
- Kang, A.H.; Chen, J.; Sun, L.J. Performance and microstructure of SBS modified asphalt. J. PLA Univ. Sci. Technol. Nat. Sci. Ed. 2012, 13, 702–706. (In Chinese) [Google Scholar]
- Li, L.P.; Guo, X.; Yu, J. Grey Correlation Analysis on Storage Stability and Conventional Performance of SBS Composite Modified Asphalt. Sci. Technol. Eng. 2017, 17, 318–324. (In Chinese) [Google Scholar]
- Ran, L.F. Research on Aging Mechanism and High-Performance Regenerant of SBS Modified Asphalt under Coupling Condition of Light, Heat, Water. Ph.D. Thesis, Chongqing Jiaotong University, Chongqing, China, 2016. (In Chinese). [Google Scholar]
- Schaur, A.; Unterberger, S.; Lackner, R. Impact of molecular structure of SBS on thermomechanical properties of polymer modified bitumen. Eur. Polym. J. 2017, 96, 256–265. [Google Scholar] [CrossRef]
- Wang, S.Y.; Dong, F.Q.; Yu, X. Influence of Compatibilizer Composition on Anti-aging Properties of SBS Modified Asphalt. J. Build. Mater. 2023; in press. (In Chinese) [Google Scholar]
- Dong, F.Q.; Zhao, W.Z.; Zhang, Y.Z. Influence of SBS and asphalt on SBS dispersion and the performance of modified asphalt. Const. Build. Mater. 2014, 62, 1–7. [Google Scholar] [CrossRef]
- Wang, M.; Liu, L.P.; Wu, H.X. Correlation between Phase Microstructure and Macroscopic Performance of SBS Modified Bitumen. J. Build. Mater. 2016, 19, 119–123+142. (In Chinese) [Google Scholar]
- Zhang, H.L.; Chen, Z.H.; Xu, G.Q. Physical, rheological and chemical characterization of aging behaviors of thermochromic asphalt binder. Fuel 2018, 211, 850–858. [Google Scholar] [CrossRef]
- Chen, Z.H.; Zhang, H.L.; Duan, H.H. Improvement of thermal and optical responses of short-term aged thermochromic asphalt binder by warm-mix asphalt technology. J. Clean. Prod. 2021, 279, 123675. [Google Scholar] [CrossRef]
- Wei, H.; Bai, X.; Qian, G. Aging Mechanism and Properties of SBS Modified Bitumen under Complex Environmental Conditions. Materials 2019, 12, 1189. [Google Scholar] [CrossRef] [PubMed]
- Cao, X.J.; Gao, H.; Li, Z.H. Study on Aging Characteristics of SBS Modified Asphalt. Appl. Chem. Ind. 2021, 50, 2739–2744. (In Chinese) [Google Scholar]
- Xu, X.; Yu, J.; Xue, L. Investigation of Molecular Structure and Thermal Properties of Thermo-Oxidative Aged SBS in Blends and Their Relations. Materials 2017, 10, 768. [Google Scholar] [CrossRef] [PubMed]
- Wu, S.; He, R.; Chen, H. Rheological Properties of SBS/CRP Composite Modified Asphalt under Different Aging Treatments. Materials 2020, 13, 4921. [Google Scholar] [CrossRef]
- Sengoz, B.; Isikyakar, G. Evaluation of the Properties and Microstructure of SBS and EVA Polymer Modified Bitumen. Const. Build. Mater. 2008, 22, 1897–1905. [Google Scholar] [CrossRef]
- Feng, Z.G.; Zhao, P.X.; Yao, D.D. Research Progress on Application of Re-refined Engine Oil Bottom in Asphalt Mixture. China Sci. Pap. 2021, 16, 121–127+143. (In Chinese) [Google Scholar]
- Rubab, S.; Burke, K.; Wright, L.; Hesp, S.A.M. Effect of Engine Oil Residues on Asphalt Cement Quality. In Proceedings of the 56th Proceeding of Canadian Technical Asphalt Association, Quebec City, QC, Canada, 1 January 2011; pp. 1–12. [Google Scholar]
- Liu, S.J.; Peng, A.H.; Zhou, S.B. Evaluation of the Ageing Behaviour of Waste Engine Oil-modified Asphalt Binders. Const. Build. Mater. 2019, 223, 394–408. [Google Scholar] [CrossRef]
- Jia, X.Y.; Huang, B.S.; Bowers, B.F. Infrared Spectra and Rheological Properties of Asphalt Cement Containing Waste Engine Oil Residues. Const. Build. Mater. 2014, 50, 683–691. [Google Scholar] [CrossRef]
- Mogawer, W.S.; Austerman, A.; Al-Qadi, I.L. Using Binder and Mixture Space Diagrams to Evaluate the Effect of Re-refined Engine Oil Bottoms on Binders and Mixtures after Ageing. Road Mater. Pavement Des. 2017, 18, 154–182. [Google Scholar] [CrossRef]
- Li, J.; Yu, M.Z.; Cui, X.Z. Anti-aging Performance of Recycled Engine Oil Bottom Rejuvenated Asphalt. J. Build. Mater. 2021, 24, 224–230. (In Chinese) [Google Scholar]
- Ahmad, A.Q.; Augusto, C.F.; Wang, D. Finite element cohesive fracture modeling of asphalt mixture based on the semi-circular bending (SCB) test and self-affine fractal cracks at low temperatures. Cold Reg. Sci. Technol. 2020, 169, 102916. [Google Scholar]
- Li, X.J.; Gibson, N.; Andriescu, A. Performance Evaluation of REOB-modified Asphalt Binders and Mixtures. Road Mater. Pavement Des. 2017, 18, 128–153. [Google Scholar] [CrossRef]
- Hesp, S.A.M.; Shurvell, H.F. X-ray Fluorescence Detection of Waste Engine Oil Residue in Asphalt and its Effect on Cracking in Service. Int. J. Pavement Eng. 2010, 11, 541–553. [Google Scholar] [CrossRef]
- Li, R.K.; Ding, H.B.; Sun, Q. Effect of Waste Engine Oil Bottom Rejuvenator on Performance of Aged Asphalt. J. Build. Mater. 2020, 23, 657–663. (In Chinese) [Google Scholar]
- Cai, F.J.; Feng, Z.G.; Li, Y.Y. Properties and Mechanism of Re-refined Engine Oil Bottom Rejuvenated Aged Asphalt. Const. Build. Mater. 2022, 352, 129068. [Google Scholar] [CrossRef]
- Ki, H.M.; Augusto, C.F.; Wang, D. Low-temperature performance of recycled asphalt mixtures under static and oscillatory loading. Road Mater. Pavement Des. 2017, 18, 297–314. [Google Scholar]
- JTG E20-2011; Standard Test Methods of Bitumen and Bituminous Mixtures for Highway Engineering. People’s Communications Press: Beijing, China, 2011.
- JTG F40-2004; Technical Specifications for Construction of Highway Asphalt Pavements. People’s Communications Press: Beijing, China, 2004.
- Cui, Y.; Li, J.; Zhu, L. Preparation and Properties of SBS/REOB-Modified Rejuvenated Asphalt. Appl. Sci. 2022, 12, 4063. [Google Scholar] [CrossRef]
- AASHTO T 315; Standard Method of Test for Determining the Rheological Properties of Asphalt Binder Using a Dynamic Shear Rheometer (DSR). American Association of State Highway and Transportation Officials: Washington, DC, USA, 2012.
- Martin, H.; Wang, D.; Augusto, C.F. Recommendation of RILEM TC 264 RAP on the evaluation of asphalt recycling agents for hot mix asphalt. Mater. Struct. 2022, 55, 31. [Google Scholar]
- SH/T 0509–2010; Standard Test Method for Separation of Asphalt into Four Fractions. China Petrochemical Press: Beijing, China, 2010.
Disclaimer/Publisher’s Note: The statements, opinions and data contained in all publications are solely those of the individual author(s) and contributor(s) and not of MDPI and/or the editor(s). MDPI and/or the editor(s) disclaim responsibility for any injury to people or property resulting from any ideas, methods, instructions or products referred to in the content. |
© 2023 by the authors. Licensee MDPI, Basel, Switzerland. This article is an open access article distributed under the terms and conditions of the Creative Commons Attribution (CC BY) license (https://creativecommons.org/licenses/by/4.0/).








