Next Article in Journal
Interpreting Housing Prices with a MultidisciplinaryApproach Based on Nature-Inspired Algorithms and Quantum Computing
Previous Article in Journal
REOB/SBS Composite-Modified Bitumen Preparation and Modification Mechanism Analysis
error_outline You can access the new MDPI.com website here. Explore and share your feedback with us.
 
 
Font Type:
Arial Georgia Verdana
Font Size:
Aa Aa Aa
Line Spacing:
Column Width:
Background:
Article

Analysis of Social Capital and the Whole-Process Engineering Consulting Company’s Behavior Choices and Government Incentive Mechanisms—Based on Replication Dynamic Evolutionary Game Theory

Economics and Management School, Wuhan University, Wuhan 430072, China
*
Author to whom correspondence should be addressed.
Buildings 2023, 13(7), 1604; https://doi.org/10.3390/buildings13071604
Submission received: 19 April 2023 / Revised: 8 June 2023 / Accepted: 19 June 2023 / Published: 25 June 2023
(This article belongs to the Section Construction Management, and Computers & Digitization)

Abstract

:
Under the ‘PPP + EPC + whole-process engineering consultation’ mode, this article constructs a replication dynamic evolutionary game model of the main participants, namely, the government, social capital, and the whole-process engineering consulting company. In this paper, we analyze the evolutionary trajectory and evolutionary equilibrium strategy of tripartite interaction and three parties’ strategy choices under the influence of different parameters. Using the Python numerical simulation method to simulate the tripartite evolutionary paths under different parameters, this article finds the relationship between social capital, the whole-process engineering consulting company’s behavior choices, and government incentive mechanisms. There is a strong synergistic effect between the behavior choices of social capital and the whole-process engineering consulting company.

1. Introduction

In February 2017, the Chinese government first defined the concept of ‘the whole-process engineering consultation’ in the Opinions on Promoting the Sustainable and Healthy Development of the Construction Industry. It is a new form of engineering consulting service in which one company provides professional advice on the organization, management, economic, technical, and other aspects of the whole life cycle of construction projects, such as pre-planning, investment decision-making, bidding, survey and design, cost construction and completion operation. By introducing a third party, the whole-process engineering consulting company, the government hopes to improve the quality and efficiency of the project. In May of the same year, the Ministry of Housing and Urban-Rural Development of China issued the 13th 5 Year Plan’ for the Engineering Survey and Design Industry, encouraging companies that engaged in investment consulting, survey, and design consulting, supervision consulting to establish whole-process engineering consulting companies through joint operation or mergers and acquisitions. In April 2020, the Ministry of Housing and Urban-Rural Development of China issued the Technical Standards for Whole-Process Engineering Consulting Services in Housing Construction and Municipal Infrastructure Construction Projects (Draft for Comments), which proposed the contract terms should be clarified between the engineering consultant and the client, as well as some special services can be provided, to further standardize whole-process engineering consultation.
From 2017 to 2020, research on whole-process engineering consultation mainly focused on two aspects: first, demonstrating the feasibility of whole-process engineering consultation. This includes using SWOT analysis to explore the macro market background of whole-process engineering consultation [1] and evaluating the institutional guarantee of whole-process engineering consultation from a policy system perspective [2]. The second is providing plans and guidance for the establishment and development of the whole-process engineering consulting company. This included proposing to expand service content, build talent teams [3], and change business modes [4] to transform supervision companies into whole-process engineering consulting companies, and proposing to establish industry service technology standards [5] and strengthen reputation construction [6] to achieve sustainable development.
Since 2020, research has gradually delved into practical application fields. The main manifestation is that, firstly, there is an increasing amount of research on the ‘EPC + whole-process engineering consultation’ mode. EPC (Engineering Procurement Construction) means that the contractor is responsible for the general contracting of design, procurement, and construction. This is conducive to the continuous optimization of the overall plan, improving the integrity of each stage of the project and clarifying the responsible parties. Sun et al. [7] are the first to conduct relevant research and proposed that the implementation of EPC requires the support of the whole-process engineering consultation. Afterward, scholars refined the specific implementation plan of this mode from the perspectives of law [8], organizational mode [9], business process [10], etc. Secondly, some articles began to conduct contract research, including exploring the charging standards and modes [11,12], as well as the formulation of terms [13] for the whole-process engineering consulting company. Thirdly, specific application research has begun to emerge. Such as power transmission and transformation engineering [14], rail transit engineering [15], and airport terminal construction engineering [16].
As the whole-process engineering consulting service enters the field of engineering construction, it is closely connected to the PPP (Public-Private-Partnership) mode. Under the PPP mode, private enterprises and private capital cooperate with the government to participate in the construction of public infrastructure, share benefits and risks and improve supply efficiency. Since 2013, many regions have extensively adopted the PPP mode to alleviate debt risks and improve the investment and financing environment. But they still face many challenges to implementation, such as a lack of project experience by consulting companies in the early stages of projects, inability to comprehensively predict risks, complex bidding procedures for PPP projects, difficult management, and high investment control risks. While PPP projects need more professional and complex teams to conduct specific operations and management, the whole-process engineering consultation just has such integrity and comprehensiveness [17]. Moreover, the dominant investor in PPP projects is social capital which means the government’s position as the owner of the investment entity under the traditional mode has been changed, and social capital has more discourse power. In addition, the PPP mode often adopts the EPC mode. Coupled with the legitimacy of the ‘two bids merge into one bid’ contracting mode under the PPP mode, the project company and the winning social capital may become one, and the design company and the construction company may become one. This makes it possible for the social capital existing in the project company to transfer benefits to itself as the designer and constructor, which further determines the necessity of control from the whole-process engineering consultation [18].
The success of a project lies in all stakeholders being fully considered and achieving a balance of interests [19]. Under the ‘PPP + EPC + whole-process engineering consultation’ mode, the most critical participants are the government, social capital, and the whole-process engineering consulting company. Balancing the interests of these three parties is one of the keys to achieving project success. In addition, factors such as the ability and resources of social capital have an impact on the effectiveness of government incentives [20]. Besides the government incentives for social capital, the government incentives for the whole-process engineering consulting company also have an impact on their respective benefits [21]. Because evolutionary game theory is developed on the basis of biological evolutionary theory, it first uses the proportion of individuals in a group who choose different pure strategies to replace the mixed strategies in game theory and then analyzes the strategy selections of the subject. Finally, it analyzes the evolutionary equilibrium problem [22]. Evolutionary game theory overcomes the difficulties of rational assumption and multiple equilibria in neoclassical economics and classical game theory. It reflects that participants’ decisions need to undergo an adaptive adjustment process influenced by various deterministic or stochastic factors in their environment. So, this article uses the evolutionary game method to explore the impact of different government incentive mechanisms on the strategic selections of social capital and the whole-process engineering consulting company, and then explores the benefits of the three parties and analyzes the evolutionary equilibrium problem. In previous literature, some scholars have studied the benefits and evolutionary equilibrium of two or three parties under the PPP mode, but relevant research is still rare. In China, He et al. [23] studied the interest game and behavior evolution of the government, social capital, and the public based on prospect theory. They proposed that reasonable incentives and appropriate rewards and punishments from the government can promote participants to meet their own interest needs. Cheng et al. [24] analyzed the interaction behavior and stable state of the subject under the premise of the limited rationality of the three parties and found that punishment mechanisms can reduce the speculative behavior of social capital. In addition, Liang et al. [25] analyzed the evolutionary stability strategies of performance monitoring agencies and project companies led by social capital in PPP projects and proved the rationality of paying based on performance. Xu et al. [26] and Wang et al. [27] conducted an evolutionary game analysis from the perspective of risk sharing between the government and social capital in PPP projects and found that reasonable transfer of benefits and risk sharing encourage social capital to actively cooperate.
Overseas research on the evolutionary game of PPP mode mainly focuses on the field of environmental protection and governance. Zhao et al. [28] established an evolutionary game model between the government, financial institutions, and consumers to explore the impact of effective incentive mechanisms on consumers’ carbon emissions reduction. Fang et al. [29] and Xue et al. [30] analyzed the impact of key parameters under the PPP mode on cooperation between parties from the perspective of renewable resources such as solar energy utilization and water pollution control. In addition, in terms of research on the balance of benefits under the PPP mode, Song et al. [31] believe that users focus on the use cost, social capitals focus on the investment income, and the government focuses on the use of public funds. Therefore, they analyzed the key parameters and evolutionary stability conditions that affect tripartite cooperation. They found small price compensation or construction and operation compensation are difficult to change the unsatisfactory evolutionary stability, but changes in parameters can significantly affect the evolutionary path of cooperation. Han et al. [32] explored the strategic selections of the government and social capital under the PPP mode and found that strong equity preferences of social capital can increase the speculative behavior of social capital. When the cost of government regulation is lower than the benefit, the government will regulate social capital’s strong equity preferences to reduce speculation.
The evolutionary game research of interest balance is also used in fields outside of engineering. Li et al. [33] constructed an evolutionary game model to analyze people’s travel options under incentive and punitive measures and found that punitive measures are more effective in alleviating traffic congestion. Liang et al. [34] analyzed the evolutionary equilibrium strategy of the system under the government reward and punishment mechanism and found that static taxation and dynamic subsidy are superior to other policies in promoting the development of green buildings. Wang et al. [35] also constructed a green technology innovation system involving the government, enterprises, and consumers, analyzing the impact of different strategies on consumers’ purchase of green products and enterprises’ green innovation and the final evolutionary stability strategy. Cui [36] analyzed the evolutionary game strategy of the public, enterprises, and regulatory entities in the context of collaborative governance and obtained an evolutionary equilibrium result for each party that can produce good environmental credit regulatory effects. Xu et al. [37] constructed an evolutionary game model for governments, environmental service companies, and pollutant discharge companies, exploring the effects of environmental pollution punishment strategies in multiple scenarios and which factors affect evolutionary stability.
Based on the above research, this article constructs an evolutionary game model of three main participants, the government, social capital, and the whole-process engineering consulting company, and analyzes the different incentive mechanisms by the government, namely encouraging social capital or the whole-process engineering consulting company, whether this lets social capital actively cooperate or lets the whole-process engineering consulting company actively participate in the work. The setting of parameters will also have an impact on the benefits and strategy selections of participants. Analyzing the evolutionary equilibrium strategies of each party, providing guidance and reference for practical work. This article attempts to innovate in the following aspects. Firstly, under the policy background of the introduction of the whole-process engineering consultation, construct a tripartite model of the government, social capital, and the whole-process engineering consulting company under the ‘PPP + EPC + whole-process engineering consultation’mode, which is the trend of engineering practice. Secondly, consider the impact of different government incentive options on social capital and the whole-process engineering consulting company’s behavior choices. Meanwhile, consider the relationship between their behavior choices and government incentive mechanisms. Finally, analyze the guiding role of the results of the tripartite strategy selections for practical engineering practice.

2. Assumption and Establishment of Evolutionary Game Model

2.1. The Relationship between Participating Entities

Under the framework of the ‘PPP + EPC + whole-process engineering consultation’ mode in this article, the government can choose to provide incentives to social capital or to the whole-process engineering consulting company, specifically in the form of tax incentives or subsidies, which will produce the incentive cost for the government. The government sends out implementing agencies to cooperate with social capital and contribute to establishing a project company according to the proportion agreed in the contract, becoming the shareholders of the project company. The project company entrusts the whole-process engineering consulting company to participate in the project and be responsible for supervision. It not only supervises social capital but also performs the responsibility of providing ‘1 + N + X’ consulting services for the project, namely the whole-process integrated project management + investment, survey and design, and other professional consulting + special services that are not self-implemented but should coordinate for management or control. Due to the legitimacy of the ‘EPC + two bids merge into one bid’ mode, there is collusive behavior within social capital. If it is found by the whole-process engineering consulting company, fines will be imposed, and the whole-process engineering consulting company can be rewarded for its effective supervision. However, there are also bribery behaviors between social capital and the whole-process engineering consulting company. The relationship between participants is shown in Figure 1 [38].

2.2. Model Assumptions

(1) The ‘PPP + EPC + whole-process engineering consultation’ mode used in this article only analyses the main participants, that is, the government, social capital, and the whole-process engineering consulting company, and their learning behavior is bounded rationally. The strategic selection space for the government is S X = (implement incentives for the whole-process engineering consulting company, implement incentives for social capital), the strategic selection space for social capital is S Y = (actively cooperate, passively cooperate), the strategy selection space for the whole-process engineering consulting company is S Z = (actively participate, passively participate);
(2) The probability of the government choosing to implement incentives for the whole-process engineering consulting company is x [ 0 ,   1 ] , and the probability of choosing to implement incentives for social capital is 1 x . The probability of social capital choosing to actively cooperate is y [ 0 ,   1 ] , and the probability of choosing to passively cooperate is 1 y . The probability of the whole-process engineering consulting company choosing to actively participate is z [ 0 ,   1 ] , and the probability of choosing to passively participate is 1 z . The parameter assumptions are shown in Table 1. Among them, the impact of government incentives on the positive behavior of the whole-process engineering consulting company α and the impact of government incentives on the positive behavior of social capital β are directly proportional to their respective incentive cost, and α , β , k > 1 . The government incentive cost for the whole-process engineering consulting company I 1 less than the government incentive cost for social capital I 2 . At the same time, the incremental benefits of active cooperation of social capital Δ π is greater than the incremental benefits of active participation of the whole-process engineering consulting company Δ V . The distribution coefficient of incremental benefits of social capital a , and the distribution coefficient of incremental benefits of the whole-process engineering consulting company b , meet the requirement of 0 < a + b < 1 ;
(3) The government’s benefits come from public satisfaction, the improvement of social benefits, and the enhancement of the city’s image after the completion of the project. There are two types of incentive mechanisms for the government, namely, giving incentives for social capital and giving incentives for the whole-process engineering consulting company. The incentive methods are tax incentives and subsidies, namely incentive costs.

2.3. Model Building

Based on the above assumptions, this article constructs a revenue matrix for government, social capital, and the whole-process engineering consulting company, as shown in Table 2 and Table 3.
Evolutionary game theory is developed from the concept of biological evolution introduced by traditional game theory. It does not require the government, social capital and the whole-process engineering consulting company to be completely rational, nor does it require the complete transmission of information between them. The core of this model is evolutionary strategy and replication dynamics. The evolutionary stability strategy in this article refers to the stable state in which the government, social capital, and the whole-process engineering consulting company resist the invasion of mutation strategies. The replication dynamics refers to the three game entities adjusting their own strategies through learning, trial and error until the stable state is reached. From the above income payment matrix, the expected benefits and average benefits of each entity can be calculated.
(1) Calculate the replication dynamic equation based on the expected benefits and average benefits under different government strategies:
F ( x ) = x ( 1 x ) [ ( I 1 + I 2 ) + y z ( k 1 ) ( i α Δ V i Δ V + j Δ π j β Δ π ) + z i Δ V ( α 1 ) + y j Δ π ( 1 β ) ]
(2) The expected benefits, average benefits, and replicator dynamics equation under different strategies of social capital is as follows:
F ( y ) = y ( 1 y ) { x z [ a Δ π ( 1 β ) ( k 1 ) + a Δ V ( α 1 ) ( k 1 ) ] + x ( a Δ π C 1 ) ( 1 β ) + z [ a β Δ π ( k 1 ) + a Δ V ( k 1 ) + f ] + a β Δ π β C 1 p }
(3) The expected revenue, average revenue, and replicator dynamics equation under different strategies of the whole-process engineering consulting company is as follows:
F ( z ) = z ( 1 z ) { x y [ b Δ π ( 1 β ) ( k 1 ) + b Δ V ( α 1 ) ( k 1 ) ] + x ( b Δ V C 2 ) ( α 1 ) + y [ b β Δ π ( k 1 ) + b Δ V ( k 1 ) ] + b Δ V C 2 }

3. Evolutionary Game Model Analysis and Evolutionary Equilibrium

This section mainly identifies the long-term equilibrium strategy of a system composed of the government, social capital, and the whole-process engineering consulting company by analyzing the replicator dynamics equations, namely the dynamic differential equations mentioned above, F ( x ) = 0 , F ( y ) = 0 , and F ( z ) = 0 . We can obtain the evolutionary equilibrium point of the three parties, namely, E 1 ( 0 , 0 , 0 ) , E 2 ( 1 , 0 , 0 ) , E 3 ( 0 , 1 , 0 ) , E 4 ( 0 , 0 , 1 ) , E 5 ( 1 , 1 , 0 ) , E 6 ( 1 , 0 , 1 ) , E 7 ( 0 , 1 , 1 ) , E 8 ( 1 , 1 , 1 ) , and E 9 ( x * , y * , z * ) . Among them, E 9 ( x * , y * , z * ) needs to meet the following equations:
{ ( I 1 + I 2 ) + y z ( k 1 ) ( i α Δ V i Δ V + j Δ π j β Δ π ) + z i Δ V ( α 1 ) + y j Δ π ( 1 β ) = 0 x z [ a Δ π ( 1 β ) ( k 1 ) + a Δ V ( α 1 ) ( k 1 ) ] + x ( a Δ π C 1 ) ( 1 β ) + z [ a β Δ π ( k 1 ) + a Δ V ( k 1 ) + f ] + a β Δ π β C 1 p = 0 x y [ b Δ π ( 1 β ) ( k 1 ) + b Δ V ( α 1 ) ( k 1 ) ] + x ( b Δ V C 2 ) ( α 1 ) + y [ b β Δ π ( k 1 ) + b Δ V ( k 1 ) ] + b Δ V C 2 = 0
The following will specifically analyze the evolutionary stability and long-term stability strategy of each participant in the game model, as well as the conditions they should meet.

3.1. Stability Analysis of Government Strategy Selections

Thus, when F ( x ) = 0 , it can be seen that when x = 0 or x = 1 , y = ( I 1 + I 2 ) z i Δ V ( α 1 ) z ( k 1 ) ( i α Δ V i Δ V + j Δ π j β Δ π ) + j Δ π ( 1 β ) . From the stability of the replicator dynamics equation, it can be seen that when F ( x ) = 0 , d F ( x ) d x < 0 , x is an evolutionary stable strategy.
From Equation (1), we can get the government’s replicator dynamics equation and takes its derivative as follows:
d F ( x ) d x = ( 1 2 x ) [ ( I 1 + I 2 ) + y z ( k 1 ) ( i α Δ V i Δ V + j Δ π j β Δ π ) + z i Δ V ( α 1 ) + y j Δ π ( 1 β ) ]
Below is a discussion of the following situations:
(1)
When y = ( I 1 + I 2 ) z i Δ V ( α 1 ) z ( k 1 ) ( i α Δ V i Δ V + j Δ π j β Δ π ) + j Δ π ( 1 β ) , F ( x ) 0 , any value of x is in a stable state, and the government’s strategic selection does not change over time;
(2)
When y ( I 1 + I 2 ) z i Δ V ( α 1 ) z ( k 1 ) ( i α Δ V i Δ V + j Δ π j β Δ π ) + j Δ π ( 1 β ) , the government has two strategies, x = 1 and x = 0 . The specific situations are as follows:
When I 2 I 1 > j Δ π ( β 1 ) , ( I 1 + I 2 ) + y z ( k 1 ) ( i α Δ V i Δ V + j Δ π j β Δ π ) + z i Δ V ( α 1 ) + y j Δ π ( 1 β ) > 0 , equation always holds. The government incentive cost for social capital is relatively high, while the spillover effect of positive behavior of social capital on government benefits is relatively small. x = 1 is a stable state of government evolution, and the government selects to give incentives for the whole-process engineering consulting company.
When 0 < y < I 1 I 2 z i Δ V ( α 1 ) z ( k 1 ) ( i α Δ V i Δ V + j Δ π j β Δ π ) + j Δ π ( 1 β ) , we can obtain d F ( x ) d x | x = 1 < 0 , d F ( x ) d x | x = 0 > 0 , x = 1 is an evolutionarily stable state, and the government chooses to give incentives to the whole-process engineering consulting company.
When I 1 I 2 z i Δ V ( α 1 ) z ( k 1 ) ( i α Δ V i Δ V + j Δ π j β Δ π ) + j Δ π ( 1 β ) < y < 1 , we can obtain d F ( x ) d x | x = 1 > 0 , d F ( x ) d x | x = 0 < 0 , x = 0 is an evolutionarily stable state, and the government chooses to give incentives for social capital.

3.2. Stability Analysis of Social Capital Strategy Selection

Give   F ( y ) = 0 , we can obtain y = 0 or   y = 1 , x = β C 1 + P a β Δ π z [ a β Δ π ( k 1 ) + a Δ V ( k 1 ) + f ] z [ a Δ π ( 1 β ) ( k 1 ) + a Δ V ( α 1 ) ( k 1 ) + a Δ π C 1 . From the replicator dynamics equation, we can get that when F ( y ) = 0 , d F ( y ) d y < 0 , y   is an evolutionary stable strategy.
From Equation (2), we can obtain social capital’s replicator dynamics equation and take its derivative as follows:
d F ( y ) d y = ( 1 2 y ) { x z [ a Δ π ( 1 β ) ( k 1 ) + a Δ V ( α 1 ) ( k 1 ) ] + x ( a Δ π C 1 ) ( 1 β ) + z [ a β Δ π ( k 1 ) + a Δ V ( k 1 ) + f ] + a β Δ π β C 1 p }
Below is a discussion of the following situations:
Situation 1: When x = β C 1 + P a β Δ π z [ a β Δ π ( k 1 ) + a Δ V ( k 1 ) + f ] z [ a Δ π ( 1 β ) ( k 1 ) + a Δ V ( α 1 ) ( k 1 ) + a Δ π C 1 , F ( y ) 0 , any value of y is in a stable state, and social capital’s strategic selection does not change over time.
Situation 2: When x β C 1 + P a β Δ π z [ a β Δ π ( k 1 ) + a Δ V ( k 1 ) + f ] z [ a Δ π ( 1 β ) ( k 1 ) + a Δ V ( α 1 ) ( k 1 ) + a Δ π C 1 , social capital has two strategies, y = 0 and y = 1 . The specific situations are as follows:
(a)
a β Δ π β C 1 P > 0
When a Δ π C 1 > P , we can obtain d F ( y ) d y | y = 1 < 0 , d F ( y ) d y | y = 0 > 0 , and the incremental benefits allocated by social capital due to the active cooperation of social capital are greater than the sum of the excess benefits generated by negative behavior and the cost of active cooperation. So y = 1 is the evolutionarily stable state of social capital, and social capital selects active cooperation.
When 0 < x < β C 1 + P a β Δ π z [ a β Δ π ( k 1 ) + a Δ V ( k 1 ) + f ] z [ a Δ π ( 1 β ) ( k 1 ) + a Δ V ( α 1 ) ( k 1 ) + a Δ π C 1 , we can obtain d F ( y ) d y | y = 1 < 0 , d F ( y ) d y | y = 0 > 0 . So y = 1 is the evolutionarily stable state of social capital, and social capital selects active cooperation.
When β C 1 + P a β Δ π z [ a β Δ π ( k 1 ) + a Δ V ( k 1 ) + f ] z [ a Δ π ( 1 β ) ( k 1 ) + a Δ V ( α 1 ) ( k 1 ) + a Δ π C 1 < x < 1 , we can obtain d F ( y ) d y | y = 1 > 0 , d F ( y ) d y | y = 0 < 0 . So y = 0 is the evolutionarily stable state of social capital, and social capital selects passive cooperation.
(b)
a β Δ π β C 1 P < 0
When a Δ V + β C 1 + P > a k ( β Δ π + Δ V ) + f , we can obtain d F ( y ) d y | y = 1 > 0 , d F ( y ) d y | y = 0 < 0 . The sum of increment benefits allocated by social capital due to the active participation of the whole-process engineering consulting company, the cost of the active cooperation of social capital, and the excess benefits generated by the negative behavior of social capital are greater than the sum of increment benefits allocated by social capital due to joint positive behavior, and government fines for negative behavior of social capital. So y = 0 is the evolutionarily stable state of social capital, and social capital selects passive cooperation.
The rest of the analysis is the same as in the case of a β Δ π β C 1 P < 0 , so we will not reiterate them here.

3.3. Stability Analysis of the Whole-Process Engineering Consulting Company Strategy Selection

Given F ( z ) = 0 , we can obtain z = 0 or z = 1 , y = C 2 b Δ V x ( b Δ V C 2 ) ( α 1 ) x [ b Δ π ( 1 β ) ( k 1 ) + b Δ V ( α 1 ) ( k 1 ) ] + [ b β Δ π ( k 1 ) + b Δ V ( k 1 ) ] , From the replicator dynamics equation, we can get that when F ( z ) = 0 , d F ( z ) d z < 0 , z is an evolutionary stable strategy.
From Equation (3), we can obtain the whole-process engineering consulting company’s replicator dynamics equation and take its derivative as follows:
d F ( z ) d z = ( 1 2 z ) { x y [ b Δ π ( 1 β ) ( k 1 ) + b Δ V ( α 1 ) ( k 1 ) ] + x ( b Δ V C 2 ) ( α 1 ) + y [ b β Δ π ( k 1 ) + b Δ V ( k 1 ) ] + b Δ V C 2 }
Situation 1: When y = C 2 b Δ V x ( b Δ V C 2 ) ( α 1 ) x [ b Δ π ( 1 β ) ( k 1 ) + b Δ V ( α 1 ) ( k 1 ) ] + [ b β Δ π ( k 1 ) + b Δ V ( k 1 ) ] , we can obtain F ( z ) 0 , any value of z is in a stable state, and the whole-process engineering consulting company’s strategic selection does not change over time.
Situation 2: When y C 2 b Δ V x ( b Δ V C 2 ) ( α 1 ) x [ b Δ π ( 1 β ) ( k 1 ) + b Δ V ( α 1 ) ( k 1 ) ] + [ b β Δ π ( k 1 ) + b Δ V ( k 1 ) ] , the whole-process engineering consulting company has two strategies, z = 0 and z = 1 . The specific situations are as follows:
(a)
b Δ V C 2 < 0
When b β Δ π + C 2 > b k ( β Δ π + Δ V ) , we can obtain d F ( z ) d z | z = 1 > 0 , d F ( z ) d z | z = 0 < 0 . The sum of incremental benefits allocated by the whole-process engineering consulting company generated by the active cooperation of social capital when the government selects to incentivize social capital, and the cost of active participation of the whole-process engineering consulting company is greater than the increment benefits allocated by the whole-process engineering consulting company due to joint positive behavior. So z = 0 is the evolutionarily stable state of the whole-process engineering consulting company, and the whole-process engineering consulting company chooses to passively participate.
When 0 < y < C 2 b Δ V x ( b Δ V C 2 ) ( α 1 ) x [ b Δ π ( 1 β ) ( k 1 ) + b Δ V ( α 1 ) ( k 1 ) ] + [ b β Δ π ( k 1 ) + b Δ V ( k 1 ) ] , we can obtain d F ( z ) d z | z = 1 > 0 , d F ( z ) d z | z = 0 < 0 . z = 0 is the evolutionarily stable state of the whole-process engineering consulting company, and the whole-process engineering consulting company selects passive participation. When C 2 b Δ V x ( b Δ V C 2 ) ( α 1 ) x [ b Δ π ( 1 β ) ( k 1 ) + b Δ V ( α 1 ) ( k 1 ) ] + [ b β Δ π ( k 1 ) + b Δ V ( k 1 ) ] < y < 1 , we can obtain d F ( z ) d z | z = 1 < 0 , d F ( z ) d z | z = 0 > 0 . z = 1 is the evolutionarily stable state of the whole-process engineering consulting company, and the whole-process engineering consulting company chooses to actively participate.
(b)
b Δ V C 2 > 0
x y [ b Δ π ( 1 β ) ( k 1 ) + b Δ V ( α 1 ) ( k 1 ) ] + x ( b Δ V C 2 ) ( α 1 ) + y [ b β Δ π ( k 1 ) + b Δ V ( k 1 ) ] + b Δ V C 2 is always valid, we can obtain d F ( z ) d z | z = 1 < 0 , d F ( z ) d z | z = 0 > 0 . z = 1 is the evolutionarily stable state of the whole-process engineering consulting company, and the whole-process engineering consulting company chooses to actively participate.

3.4. Analysis of Game Subject Equilibrium

Friedman believes that the evolutionary stability strategy of an evolutionary game can be obtained from the local stability of the Jacobian matrix of the corresponding replicator dynamic system. Based on the above analysis, the Jacobian matrix is
J = [ F ( x ) x F ( x ) y F ( x ) z F ( y ) x F ( y ) y F ( y ) z F ( z ) x F ( z ) y F ( z ) z ]
In an asymmetric evolutionary game, only the stability of the pure strategy equilibrium needs to be discussed [39]. So, this article only discusses the stability of the eight points, E 1 ( 0 , 0 , 0 ) , E 2 ( 1 , 0 , 0 ) , E 3 ( 0 , 1 , 0 ) , E 4 ( 1 , 0 , 0 ) , E 5 ( 0 , 1 , 1 ) , E 6 ( 1 , 0 , 1 ) , E 7 ( 1 , 1 , 0 ) , and E 8 ( 1 , 1 , 1 ) .
According to the Lyapunov criterion, when all eigenvalues of the Jacobian matrix are less than 0, the equilibrium point is asymptotic stability. When the Jacobian matrix has eigenvalues greater than 0, the equilibrium point is an unstable point. With E 1 ( 0 , 0 , 0 ) as an example, its eigenvalues are λ 1 = I 2 I 1 > 0 , and this equilibrium point is an unstable point.
J 1 = [ I 2 I 1 0 0 0 a β Δ π β C 1 p 0 0 0 b Δ V C 2 ]
Substitute eight equilibrium points into the Jacobian matrix to obtain the eigenvalues of the Jacobian matrix, as shown in Table 4.
To make the model analysis meets the generality and conform to the actual situation of the construction project, the initial parameters are set to meet the following conditions.
{ I 2 I 1 + j Δ π ( 1 β ) < 0 a β Δ π β C 1 p < 0 b Δ V C 2 < 0
Under given conditions, E 1 ( 0 , 0 , 0 ) , E 2 ( 1 , 0 , 0 ) , E 3 ( 0 , 1 , 0 ) ,   E 6 ( 1 , 0 , 1 ) , E 7 ( 1 , 1 , 0 ) both have eigenvalues greater than 0, so they are unstable points. The following is an analysis of the evolutionary equilibrium state of the game subject in two situations.
Situation 1: When I 2 I 1 + k i Δ V ( α 1 ) k j Δ π ( β 1 ) < 0 , a k β Δ π + a Δ V ( k 1 ) + f β C 1 p > 0 , C 2 b β Δ π ( k 1 ) b k Δ V < 0 , the excess benefits generated by negative behavior of social capital is too low, and the benefits that social capital obtained from the combined effect of positive behavior of social capital and the whole-process engineering consulting company is too high, government incentives will promote active cooperation of social capital. It is the same for the whole-process engineering consulting company. If social capital actively cooperates, and the whole-process engineering consulting company also actively participates, their behavior has a synergistic effect. Therefore, the eigenvalues corresponding to the equilibrium points E 4 ( 1 , 0 , 0 ) and E 5 ( 0 , 1 , 1 ) are less than 0, {government incentives for the whole-process engineering consulting company, passive cooperation, passive participation} and {government incentives for social capital, active cooperation, active participation} are evolutionary equilibrium strategies.
Situation 2: When I 2 I 1 + k i Δ V ( α 1 ) k j Δ π ( β 1 ) > 0 , α C 2 b Δ π ( k 1 ) b k α Δ V < 0 , a k Δ π + a α Δ V ( k 1 ) + f C 1 p > 0 , the cost of active participation of the whole-process engineering consulting company is too high, and the benefits generated by the joint positive behavior of social capital and the whole-process engineering consulting company exceed the cost of active participation, the positive behavior of social capital and government incentives will promote the active participation of the whole-process engineering consulting company; this is the same for social capital, where the behavior of the two has a synergistic effect. However, due to the lower cost or higher benefits of providing incentives for the whole-process engineering consulting company, the government always selects to provide incentives for the whole-process engineering consulting company. Therefore, the eigenvalues corresponding to equilibrium points E 4 ( 1 , 0 , 0 ) and E 8 ( 1 , 1 , 1 ) are less than 0, {government incentives for the whole-process engineering consulting company, passive cooperation, passive participation} and {government incentives for the whole-process engineering consulting company, active cooperation, active participation} are evolutionary equilibrium strategies.

4. Simulation Analysis

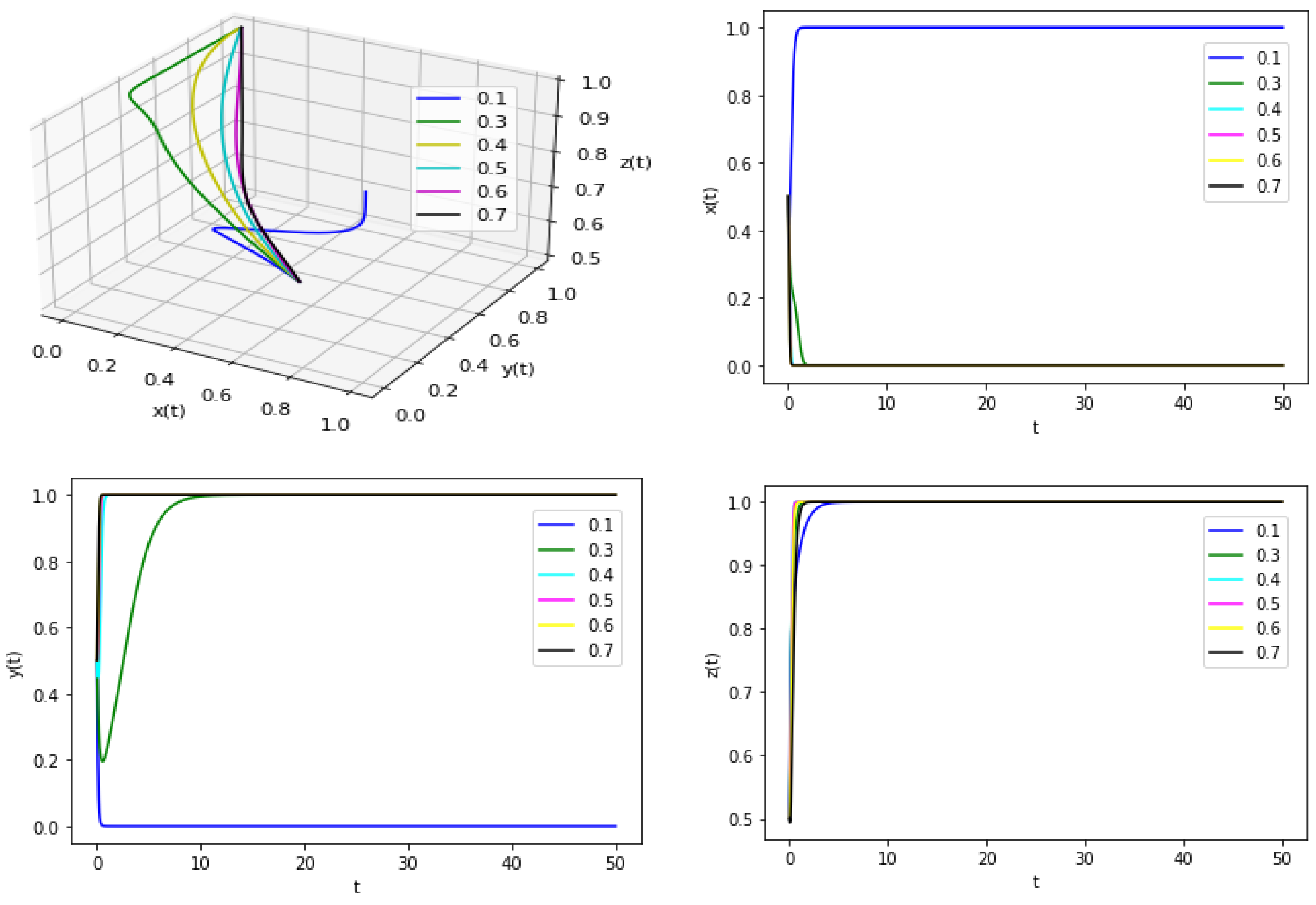
To verify the correctness of the above analysis, based on the evolutionary replication dynamic equation and constraint conditions, use Python to simulate and analyze the model, analyze the impact of key parameters on the three-party evolutionary equilibrium strategy, and obtain the three-party evolutionary equilibrium state. Assuming that the initial probability of different strategy selections for the government, social capital, and the whole-process engineering consulting company is 0.5, in order to more intuitively reflect the trajectory changes at the beginning of evolution, the evolution time t is taken as 20 units. Considering the actual engineering situation and related research [21], the parameter values are as follows: a = 0.5 , b = 0.4 , C 1 = 10 , C 2 = 6 , f = 10 , Δ π = 15 , Δ V = 9 , p = 8 , k = 1.9 , i = 0.5 , j = 0.8 , I 1 = 10 , I 2 = 16 , α and β , respectively, proportional to I 1 and I 2 , with proportional coefficients are 0.16 and 0.1. The values set for the parameters comply with the assumptions in Section 3, as shown in Formula (8), which have generality. Specifically, a is the distribution coefficient of incremental benefits of social capital. In the PPP mode, social capital actively participates, such as by becoming an EPC general contractor in the project. So, it can be estimated by referring to the general provisions in the PPP contract in the case. b is the distribution coefficient of incremental benefits of the whole-process engineering consulting company. According to the policy agreement, the fixed rate of the whole-process engineering consulting company is low, and this incentive can be estimated based on the extraction coefficient of the general consulting company. C 1 and C 2 are related to behavior choices. It has been assumed that the cost of negative behavior is 0. Because social capital is responsible for most of the design, construction, operation, maintenance, and other tasks in the project, while the whole-process engineering consulting company only focuses on consultation, the value of C 1   is higher than C 2 . Similarly, the value of f can be obtained through the relative proportion of fines to profits in current legal provisions while considering the size relationship between fine and cost. The incremental benefits Δ π and Δ V also need to be compared with costs. Incremental benefits are generally higher than costs; otherwise, negative behavior will not exist. In summary, the setting of parameter values actually reflects the relative relationship between parameters, not the absolute values of parameters in the actual project. The setting conforms to the constraints and actual situation. Next, we analyze the key parameters a , α , β , k , i , j , Δ V , Δ π , f , and p of the model.
(1)
The influence of key parameter a on the evolutionary behavior of tripartite games:
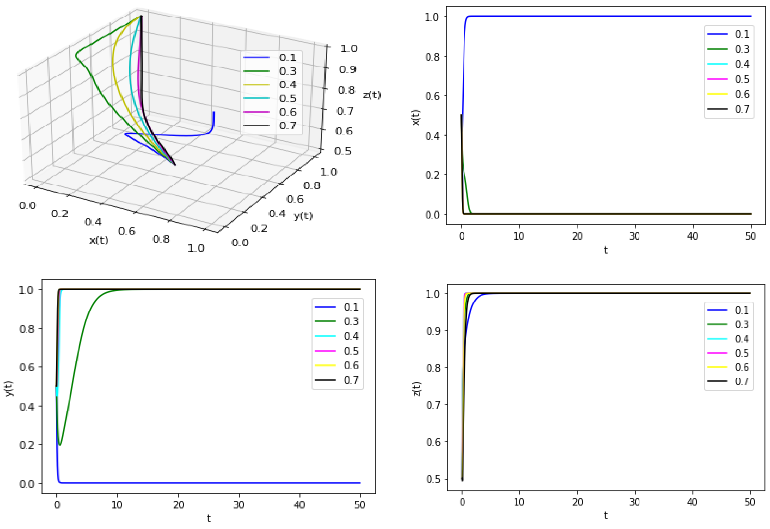
Under constraint conditions, the different values of parameter a result in the government ultimately choosing to incentivize social capital, social capital choosing to actively cooperate, and the whole-process engineering consulting company choosing to actively participate, as shown in Figure 2.
In Figure 2, Figure 3, Figure 4, Figure 5, Figure 6, Figure 7, Figure 8, Figure 9, Figure 10 and Figure 11, x ( t ) represents the change in government incentive mechanism over time. When x ( t ) approaches 1, the probability of the government choosing to implement incentives for the whole-process engineering consulting company approaches 1, and the probability of the government choosing to implement incentives for social capital approaches 0. y ( t ) represents the change in the behavior choice of social capital over time. When y ( t ) approaches 1, the probability of social capital choosing to actively cooperate approaches 1, and the probability of social capital choosing to passively cooperate approaches 0. When z ( t ) approaches 1, the probability of the whole-process engineering consulting company choosing to actively participate approaches 1, and the probability of the whole-process engineering consulting company choosing to passively participate approaches 0.
When parameter a is set to 0.1, the distribution coefficient of the whole-process engineering consulting company is too large, which makes the condition b Δ V C 2 > 0 valid (not meeting the constraint conditions). According to the above analysis, the evolutionarily stable strategies of the whole-process engineering consulting company all involve active participation. Furthermore, the incremental benefits allocated by social capital are too small, making the final evolutionary equilibrium choice of social capital passive cooperation. Therefore, the three-party evolutionary equilibrium strategy is {government incentives for the whole-process engineering consulting company, passive cooperation, active participation}. Social capital is more sensitive to changes in the distribution coefficient. When the distribution coefficient is too small until it reaches 0.1, social capital will exhibit a passive cooperation trend. At the same time, when the distribution coefficient is less, such as 0.3, the positive behavior strategy selection of social capital shows a lag effect compared to the whole-process engineering consulting company. It also shows a positive state with the choice of positive behavior in the whole-process engineering consulting company, which is called the ‘follower effect;’
(2)
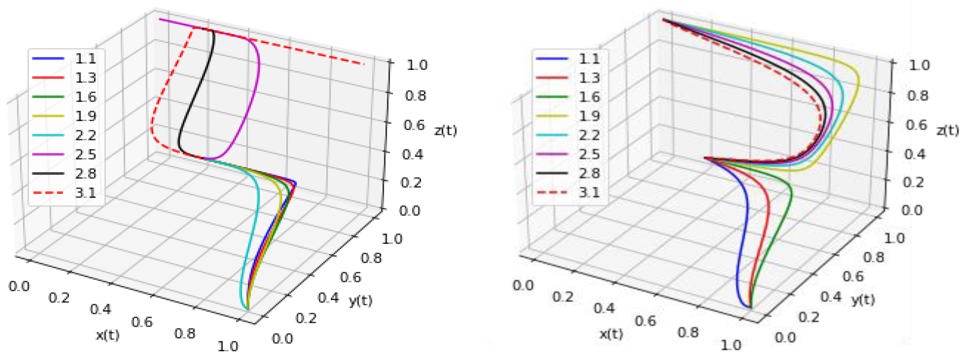
The influence of key parameters α and β on the evolutionary behavior of tripartite games:
The incentive cost I 1 and I 2 are directly proportional to the degree of government influences on incentives for other parties   α and β , and the change in incentive costs will also cause changes in the degree of incentive impact. Under constraint conditions, the degree of government influence on other parties α and β caused by changes in incentive cost I 1 and I 2 leads to different outcomes in the trajectory of the tripartite game, as shown in Figure 3, Figure 4 and Figure 5. When the parameter   α is relatively small, the government gives incentives for the whole-process engineering consulting company has a small impact on its positive behavior, and the incremental benefits increase it can bring is small. Therefore, the government finally chooses to give incentives for social capital is more favorable. Similarly, when the parameter   β is relatively small, the government gives incentives for the social capital has a small impact on its positive behavior, and the incremental benefits increase it can bring is small. Therefore, the government finally choosing to give incentives to the whole-process engineering consulting company is more favorable.
For other parties, under constraint conditions, the behavior choices of social capital and the whole-process engineering consulting company are not affected by the degree of government incentives because, regardless of which party is incentivized by the government, due to the combined effect of positive behavior between the two parties, the common positive behavior can increase the benefits of both parties, and the negative behavior of either party will affect the benefits of the other party. At the same time, due to the supervisory role of the whole-process engineering consulting company, it will promote the active cooperation of social capital, and the incremental benefits generated by the positive behavior of social capital will be greater, the positive behavior of social capital will promote the active participation of the whole-process engineering consulting company. Therefore, in the evolution process, there is a strong synergistic effect between the choice of positive behavior of the two. In addition, as the government increases the incentive cost for the whole-process engineering consulting company, the participation of the whole-process engineering consulting company shifts from passive to active; government incentives encourage the whole-process engineering consulting company to actively participate. Similarly, government incentives for social capital also promote social capital to actively cooperate;
(3)
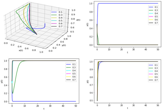
The influence of key parameter k on the evolutionary behavior of tripartite games:
When the combined effects of social capital and the whole-process engineering consulting company’s positive behaviors are different, the evolutionary trajectories of the tripartite game are shown in Figure 6. When there is no combination effect between social capital and the whole-process engineering consulting company’s positive behaviors, social capital ultimately tends to passively cooperate, and the whole-process engineering consulting company will follow social capital to passively participate. As the combination effect increases, both social capital and the whole-process engineering consulting company tend to engage in positive behavior. From the figure, it can be seen that when the combined effect is small, due to the supervision mechanism of the whole-process engineering consulting company itself, it can impose fines on social capital’s passive cooperation. Therefore, social capital tends to actively cooperate with the whole-process engineering consulting company selects to actively participate, and they have strong synergistic effects under different combination effects. For the government, the increase in the combined effect makes k j Δ π ( β 1 ) k i Δ V ( α 1 ) > I 2 I 1 , so the government finally choosing to give incentives for social capital is more favorable;
(4)
The influence of key parameters i and j   on the evolutionary behavior of tripartite games:
When the spillover effect of the positive behavior of the whole-process engineering consulting company on government revenue i and the spillover effect of the positive behavior of social capital j are different, the evolutionary trajectories of the tripartite game are shown in Figure 7, Figure 8 and Figure 9. From the figure, it can be seen that under constraint conditions, the changes in spillover effects i and j do not affect the final choice of positive behavior for social capital and the whole-process engineering consulting company. The equilibrium strategies for the two are active cooperation and active participation.
The government’s response to changes in spillover effects is sensitive. When the spillover effect of the whole-process engineering consulting company on the government is relatively small, the government will evolve faster toward incentives for social capital. As the spillover effect increases, it gradually stabilizes towards incentives for the whole-process engineering consulting company;
(5)
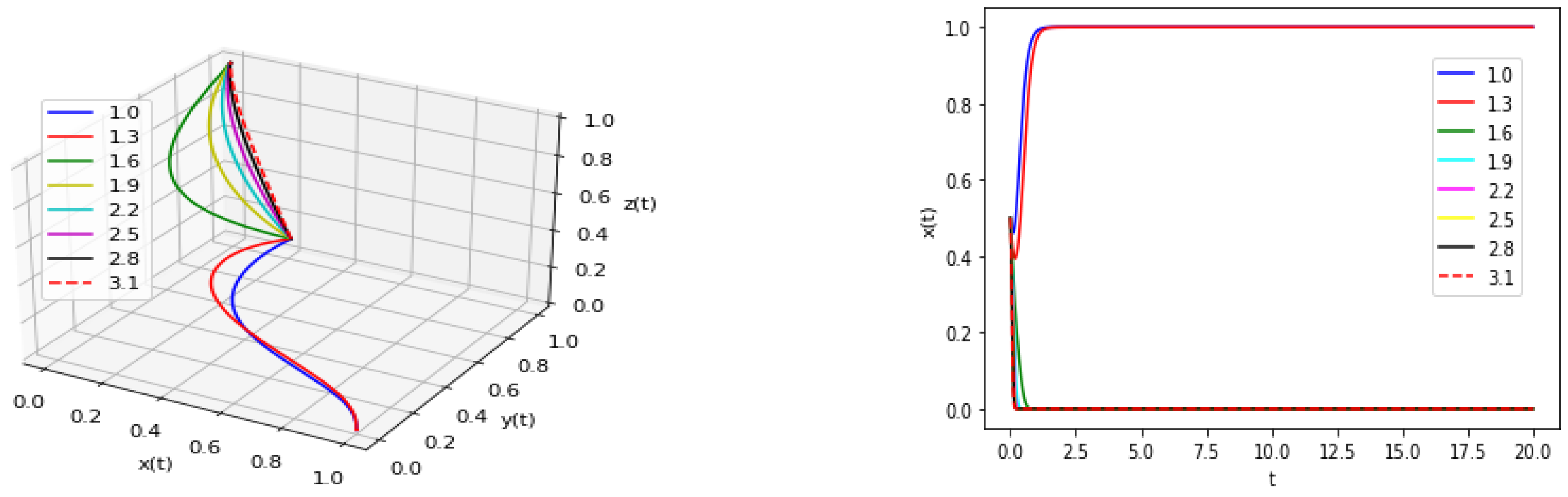
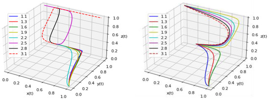
The influence of key parameters Δ V , Δ π , p , and f on the evolutionary behavior of tripartite games:
The impact of different parameters Δ V , Δ π , p , and f on the evolutionary trajectories of tripartite games are shown in Figure 10 and Figure 11. When the incremental benefits of active participation of the whole-process engineering consulting company are too small, and the incremental benefits obtained by social capital are too small to be less than the excess benefits generated by passive cooperation and the costs of active cooperation of social capital, social capital will choose passive cooperation. Therefore, the government cannot obtain the spillover effect of benefits generated by the active cooperation of social capital, and the cost of incentives for the whole-process engineering consulting company is lower. The government tends to give incentives to the whole-process engineering consulting company. With the increase of Δ V , the whole-process engineering consulting company chooses to actively participate, and social capital also chooses to actively cooperate. For the government, the increase of Δ V has produced spillover and combination effects on the increase in government revenue caused by the joint positive behavior of both parties. When k j Δ π ( β 1 ) k i Δ V ( α 1 ) > I 2 I 1 , the government gives incentives for social capital. When Δ V increases to a certain extent to k j Δ π ( β 1 ) k i Δ V ( α 1 ) < I 2 I 1 , the government gives incentives for the whole-process engineering consulting company.
The incremental benefits of active cooperation of social capital have a similar impact on the tripartite evolutionary trajectory. The behavior choice of the whole-process engineering consulting company and social capital exhibits a strong synergistic effect. When Δ π is too small, the two tend to engage in negative behavior. When the value gradually increases, the incremental benefits generated by the joint positive behavior are greater than the positive cost and the excess benefits of negative behavior, so the two tend to engage in positive behavior. The government will gradually change the incentive methods as the incremental benefits increase.
The excess benefits generated by social capital’s passive cooperation gradually increase, causing social capital to gradually shift from active cooperation to passive cooperation. Due to the existence of combination effects, the benefits of the whole-process engineering consulting company decrease, and the whole-process engineering consulting company also tends to passively cooperate, presenting a follower effect. At the same time, fines for the passive cooperation of social capital play a corresponding role; as the fines increase, the negative behavior of social capital gradually changes. From the simulation results, it can be seen that when f > p , it has a good promoting effect on the choice of positive behavior of social capital.

5. Conclusions

Based on the bounded rationality hypothesis of game players in evolutionary game theory, this article constructs a tripartite evolutionary game model, including the whole-process engineering consulting company, social capital and the government, under the ‘PPP + EPC + whole-process engineering consultation’ mode. Systematically analyzes the evolutionary equilibrium strategies of the three parties and the influence of the three parties’ strategy selections under different parameters. Finally, combined with the Python simulation, this simulates the evolutionary trajectories of the government, social capital, and the whole-process engineering consulting company under different parameter values and explores the relationship between the behavior choices of social capital and the whole-process engineering consulting company and government incentives. Research shows:
(1) There is a strong synergistic effect between the behavior choices of social capital and the whole-process engineering consulting company. On the one hand, there is a combined effect between the positive behaviors of both parties; both parties’ positive behaviors will generate higher incremental benefits for themselves. On the other hand, because either party’s positive behavior will provide incremental benefits for the other party, and at the same time, social capital and the whole-process engineering consulting company pursue profit, the whole-process engineering consulting company also has a supervisory role, so the positive behavior of one party will drive the other party towards positive behavior;
(2) There is a certain relationship between government incentive mechanisms and social capital. When k j Δ π ( β 1 ) k i Δ V ( α 1 ) > I 2 I 1 , the government incentive costs for social capital and the whole-process engineering consulting company are different. If the difference between the benefits brought by social capital’s active cooperation and the benefits brought by the whole-process engineering consulting company’s active participation is greater than the difference in incentive costs, the government will choose to motivate social capital. At the same time, government incentives have a promoting effect on the choice of positive behaviors of social capital and can stimulate social capital to generate greater incremental benefits;
(3) There is a certain relationship between the government incentive mechanisms and the whole-process engineering consulting company’s behavior choices. When the difference between the benefits brought by social capital’s active cooperation and the benefits brought by the whole-process engineering consulting company’s active participation is less than the difference in incentive costs, that is k j Δ π ( β 1 ) k i Δ V ( α 1 ) < I 2 I 1 , the government believes that incentives for social capital are unfavorable, the government will choose to motivate the whole-process engineering consulting company. At the same time, government incentives have a promoting effect on the choice of positive behaviors by the whole-process engineering consulting company and can stimulate the whole-process engineering consulting company to generate greater incremental benefits;
(4) Social capital and the whole-process engineering consulting company are sensitive to changes in incremental benefits Δ V and Δ π , and the improvement of incremental benefits can promote active collaboration between social capital and the whole-process engineering consulting company. The improvement of Δ V can promote the government to shift from incentivizing social capital to incentivizing the whole-process engineering consulting company. Social capital will also tend to actively cooperate as the whole-process engineering consulting company chooses to actively participate, which is reflected as the follower effect of social capital on the whole-process engineering consulting company. The improvement of Δ π also can promote the government to continue incentivizing social capital, and the whole-process engineering consulting company will also tend to actively participate as social capital chooses to actively cooperate, which is reflected in the follower effect of the whole-process engineering consulting company on the social capital;
(5) The increase in fines can, to some extent, reduce the negative behavior of social capital. When the number of fines is greater than the excess benefits obtained from the passive cooperation of social capital, fines have a good inhibitory effect on the occurrence of negative behaviors of social capital.
Based on the model, we can derive detailed conclusions for practical applications. The government should appropriately introduce the PPP mode and the whole-process engineering consultation mode based on its own financial situation, project construction type, complexity and difficulty of project implementation, and investigate the actual situation of the project to take appropriate incentive measures to improve project performance. Adopting appropriate penalty amounts to suppress negative behaviors such as ‘two bids merge into one bid’ within social capital and establishing appropriate construction project contract terms to set penalty amounts greater than the excess benefits that may arise from negative behaviors through reasonable project research.
Although this article deepens previous research, from only focusing on theoretical exploration to constructing a model, the model of the evolutionary game still has related limitations. Firstly, the model assumes that the government only incentivizes the whole-process engineering consulting company, or only social capital, which may not necessarily exist in reality. It may incentivize both social capital and the whole-process engineering consulting company. At the same time, there is a superposition effect between incentives, and the impact mechanism may also be different. In future research, these situations need to be fully considered. Secondly, because the application scope and application time of this model, in reality, are not sufficient to provide empirical data for model testing, this article mainly analyzes the impact of government incentives in theory, and future research can consider adding case studies. Thirdly, the model in this article takes into account government incentive behaviors, including tax incentives and subsidies. However, the government itself has a regulatory role, which is not reflected in this article.

Author Contributions

Investigation, C.W.; Writing—original draft, B.L.; Writing—review and editing, T.Z.; Project administration, S.Z. All authors have read and agreed to the published version of the manuscript.

Funding

This research received no external funding.

Data Availability Statement

Data available on request from the authors.

Conflicts of Interest

The authors declare no conflict of interest.

References

  1. Bai, S.; Xie, X.; Su, C.; Wen, R.; Feng, X. SWOT Analysis of the Whole Process Engineering Consulting Service in China. Constr. Econ. 2018, 39, 31–33. [Google Scholar]
  2. Zhao, Z.; Gao, L. Problems and Countermeasures to Implement the Life Cycle Engineering Consulting. Constr. Econ. 2019, 40, 5–10. [Google Scholar]
  3. Yang, X. Research on the Strategy of Developing the Whole Process Engineering Consulting Service for Supervision Enterprise. Constr. Econ. 2018, 39, 9–12. [Google Scholar]
  4. Zhou, C. Exploration of the Key Technology of Supervision Enterprise Developing the Whole Process Engineering Consulting. Constr. Econ. 2020, 41, 18–23. [Google Scholar]
  5. Hou, X. Problems and Countermeasures in the Development of Cost Consulting Enterprises under the Whole Process of Engineering Consulting. Constr. Econ. 2020, 41, 24–27. [Google Scholar]
  6. Liu, C.; Wang, C.; Li, X. SWOT-PEST Analysis and Countermeasure Research on the Whole Process Engineering Consulting Service Development of Cost Consulting Enterprises. Constr. Econ. 2020, 41, 48–52. [Google Scholar]
  7. Sun, J.; Fu, J.; Liu, S. Discussion on the Combination of Project Package Contracting and Integrated Project Consulting. Constr. Econ. 2018, 39, 5–9. [Google Scholar]
  8. Wu, J. Combined Analysis of General Contracting with Whole Process Engineering Consulting from the Perspective of Civil Code. Constr. Econ. 2020, 41, 145–149. [Google Scholar]
  9. Jin, Y.; Wang, X. Research on the Consortium Organization Mode and Working Mechanism of EPC Project Whole Process Engineering Consulting. Constr. Econ. 2023, 44, 31–37. [Google Scholar]
  10. Du, Y.; Zhang, G.; Li, D. Research on the Whole Process Engineering Consulting Business Process Reengineering under the Engineering General Contracting Mode. Constr. Econ. 2021, 42, 40–45. [Google Scholar]
  11. Yu, H.; Li, Y.; Xiao, Y. Research and Application of Service Charge Standard of Life Cycle Engineering Consulting. Constr. Econ. 2018, 39, 10–14. [Google Scholar]
  12. Sha, J.; Miao, Y.; Ling, Y. Analysis of Consulting Extraction Cost and Determination of Overall Cost for the Whole-process Engineering Consultation of Power Grid Project. Constr. Econ. 2019, 40, 63–65. [Google Scholar]
  13. Yan, L.; Zhang, S. Research on Whole Process Engineering Consulting Contract Based on Transaction Features. Constr. Econ. 2019, 40, 48–53. [Google Scholar]
  14. Liu, Y.; Pei, A.; Qi, X.; Zhang, Y. Discussion on the Life Cycle Consultancy Organization and Management Mode of Power Transmission and Transformation Engineering. Constr. Econ. 2020, 41, 16–19. [Google Scholar]
  15. Zhao, F. Concerns in the Whole Process Engineering Consultation Promotion of Urban Rail Transit. Constr. Superv. 2021, 42, 28–30. [Google Scholar]
  16. Ren, Q. Discussion on the Organizational Management Innovation of Whole Process Engineering Consulting of Airport Terminal Construction. Constr. Superv. 2023, 44, 39–45. [Google Scholar]
  17. Liu, H. Discussion on the Significance of Whole Process Engineering Consulting in PPP Mode. Constr. Superv. 2020, S1, 27–28. [Google Scholar]
  18. Wang, C. On the Application of Full Process Engineering Consulting Services in PPP Project Management. Tendering Bidding 2019, 7, 11–15. [Google Scholar]
  19. Yin, Y.; Hu, J. Research on the Success Criteria of Public Projects Based on Stakeholder Core Value Analysis. China Soft Sci. 2006, 5, 149–155. [Google Scholar]
  20. Zhong, Y.; Liu, Y. Incentive Mechanism Model for Development PPP Model under New Infrastructure—Based on Government Perspective. Ind. Technol. Econ. 2021, 40, 48–55. [Google Scholar]
  21. Le, Y.; Liu, M.; Zhang, X.; Hu, Y.; Wan, J. Evolutionary Game Analysis of the Organizational Learning Mechanism of Major Projects—A Perspective of Cooperation between Owners and Consultants Based on the Whole Process Consultation Intervention Mechanism. Ind. Eng. Manag. 2019, 24, 157–166. [Google Scholar]
  22. Weibull, J.W. Reference. In Evolutionary Game Theory; Shanghai Renmin Press: Shanghai, China, 2006; pp. 20–80. [Google Scholar]
  23. He, S.; Liang, G.; Meng, J. The Game Theory and Behavior Evolution Mechanism of Major Projects Based on Prospect Theory. Sci. Technol. Manag. Res. 2020, 40, 207–214. [Google Scholar]
  24. Cheng, M.; Liu, Y.; Wang, H. Analysis of Tripartite Evolutionary Game of Neighborhood Avoidance Facility PPP Project Based on System Dynamics. Oper. Res. Manag. 2019, 28, 40–49. [Google Scholar]
  25. Liang, X.; Zhang, F.; Yan, H. Simulation and Optimization of PPP Project Performance Payment Mechanism Based on Evolutionary Games. China Manag. Sci. 2020, 28, 154–163. [Google Scholar]
  26. Xu, J.; Li, G. Game Analysis on the Evolution of Cooperation between Government and Social Capital from the Perspective of Risk Return Dynamics. Soft Sci. 2020, 34, 126–130. [Google Scholar]
  27. Wang, J.; Yu, X. Evolutionary Game Model for Risk Sharing in Rail Transit PPP Projects Considering Risk Correlation. Syst. Eng. Theory Pract. 2020, 40, 2391–2405. [Google Scholar]
  28. Zhao, X.; Bai, Y.; Ding, L. Incentive for personal carbon account: An evolution game analysis on public-private-partnership reconstruction. J. Clean. Prod. 2021, 282, 125358. [Google Scholar] [CrossRef]
  29. Fang, Y.; Wei, W.; Liu, F.; Mei, S.; Chen, L.; Li, J. Improving solar power usage with electric vehicles: Analyzing a public-private cooperation scheme based on evolutionary game theory. J. Clean. Prod. 2019, 233, 1284–1297. [Google Scholar] [CrossRef]
  30. Xue, Y.; Wang, G. Analyzing the evolution of cooperation among different parties in river water environment comprehensive treatment public-private partnership project of China. J. Clean. Prod. 2020, 270, 121118. [Google Scholar] [CrossRef]
  31. Song, D.; Song, J.; Yuan, H.; Fan, Y. An evolutionary game analysis of user-pay public–private partnership projects. Eng. Constr. Archit. Manag. 2020, 28, 2042–2062. [Google Scholar] [CrossRef]
  32. Han, J.; Jia, M.; Wu, G.; Yang, H. Strategic Interaction Between the Government and the Private Sector in PPP Projects Incorporating the Fairness Preference. J. Eng. 2020, 8, 37621–37631. [Google Scholar] [CrossRef]
  33. Li, Z.; Ou, G. Comparison of Incentive and Punitive Traffic Congestion Governance Policies—Based on Dynamic Evolutionary Game Model and Simulation Analysis. China Manag. Sci. 2019, 27, 167–178. [Google Scholar]
  34. Liang, X.; Fu, Y. A Game Study on the Supply Side Evolution of Green Buildings under the Government’s Dynamic Reward and Punishment Mechanism. Chin. Manag. Sci. 2021, 29, 184–194. [Google Scholar]
  35. Wang, M.; Li, Y. Equilibrium and Stability of Green Technology Innovation System with Multiple Participants. China Manag. Sci. 2021, 29, 59–70. [Google Scholar]
  36. Cui, M. Tripartite Evolutionary Game Analysis of Environmental Credit Supervision in the Context of Collaborative Governance. Syst. Eng. Theory Pract. 2021, 41, 713–726. [Google Scholar]
  37. Xu, R.; Wang, Y.; Wang, W.; Ding, Y. Evolutionary game analysis for third-party governance of environmental pollution. J. Ambient. Intell. Humaniz. Comput. 2019, 10, 3143–3154. [Google Scholar] [CrossRef]
  38. Wang, J.; Guo, Q. Exploration of the Whole Process Engineering Consulting Model for PPP Projects Based on Hall’s 3D Structure. Jushe 2020, 19, 193–195. [Google Scholar]
  39. Guo, L.; Wang, L. References. In Fundamentals of Modern Control Theory; Beihang University Press: Beijing, China, 2013; pp. 20–80. [Google Scholar]
Figure 1. Relationships among Participants in the ‘PPP + EPC + Whole-Process Engineering Consulting Company’ Mode.
Figure 1. Relationships among Participants in the ‘PPP + EPC + Whole-Process Engineering Consulting Company’ Mode.
Buildings 13 01604 g001
Figure 2. The Evolutionary Trajectory of Tripartite Games with Different Values of α .
Figure 2. The Evolutionary Trajectory of Tripartite Games with Different Values of α .
Buildings 13 01604 g002
Figure 3. The Evolutionary Trajectories of Tripartite Games under Different Parameters α (Left) and β (Right).
Figure 3. The Evolutionary Trajectories of Tripartite Games under Different Parameters α (Left) and β (Right).
Buildings 13 01604 g003
Figure 4. The Evolutionary Trajectories of the Government, Social Capital, and the Whole-Process Engineering Consulting Company under Different Parameter α Values.
Figure 4. The Evolutionary Trajectories of the Government, Social Capital, and the Whole-Process Engineering Consulting Company under Different Parameter α Values.
Buildings 13 01604 g004
Figure 5. The Evolutionary Trajectories of the Government, Social Capital, and the Whole-Process Engineering Consulting Company under Different Parameter β Values.
Figure 5. The Evolutionary Trajectories of the Government, Social Capital, and the Whole-Process Engineering Consulting Company under Different Parameter β Values.
Buildings 13 01604 g005
Figure 6. The Evolutionary Trajectories of Tripartite Games under Different Parameter k Values.
Figure 6. The Evolutionary Trajectories of Tripartite Games under Different Parameter k Values.
Buildings 13 01604 g006
Figure 7. The Evolutionary Trajectories of Tripartite Games under Different Parameter i (Left) and j (Right) Values.
Figure 7. The Evolutionary Trajectories of Tripartite Games under Different Parameter i (Left) and j (Right) Values.
Buildings 13 01604 g007
Figure 8. The Evolutionary Trajectories of the Government, Social Capital, and the Whole-Process Engineering Consulting Company under Different Parameter i Values.
Figure 8. The Evolutionary Trajectories of the Government, Social Capital, and the Whole-Process Engineering Consulting Company under Different Parameter i Values.
Buildings 13 01604 g008
Figure 9. The Evolutionary Trajectories of the Government, Social Capital, and the Whole-Process Engineering Consulting Company under Different Parameter j Values.
Figure 9. The Evolutionary Trajectories of the Government, Social Capital, and the Whole-Process Engineering Consulting Company under Different Parameter j Values.
Buildings 13 01604 g009
Figure 10. The Evolutionary Trajectories of Tripartite games under Different Parameter   Δ V (Left) and   Δ π (Right) Values.
Figure 10. The Evolutionary Trajectories of Tripartite games under Different Parameter   Δ V (Left) and   Δ π (Right) Values.
Buildings 13 01604 g010
Figure 11. The Evolutionary Trajectories of Tripartite Games under Different Parameter p (Left) and f (Right) Values.
Figure 11. The Evolutionary Trajectories of Tripartite Games under Different Parameter p (Left) and f (Right) Values.
Buildings 13 01604 g011
Table 1. Parameter Symbols and Meaning.
Table 1. Parameter Symbols and Meaning.
ParameterMeaning of Expression
X Government
Y Social capital
Z The whole-process engineering consulting company
x The probability of the government choosing to implement incentives for the whole-process engineering consulting company
1 x The probability of the government choosing to implement incentives for social capital
y The probability of social capital choosing to actively cooperate
1 y The probability of social capital choosing to passively cooperate
z The probability of the whole-process engineering consulting company choosing to actively participate
1 z The probability of the whole-process engineering consulting company choosing to passively participate
R Government’s general benefits from the implementation of project construction
V The whole-process engineering consulting company’s general salary
C 1 Cost of active cooperation of social capital
C 2 Cost of active participation of the whole-process engineering consulting company
a Distribution coefficient of incremental benefits of social capital
b Distribution coefficient of incremental benefits of the whole-process engineering consulting company
α The impact of government incentives on the positive behavior of the whole-process engineering consulting company
β The impact of government incentives on the positive behavior of social capital
I 1 The government incentive cost for the whole-process engineering consulting company
I 2 The government incentive cost for social capital
f Government fines for negative behavior of social capital
Δ π Incremental benefits of active cooperation of social capital
∆𝑉Incremental benefits of active participation of the whole-process engineering consulting company
i The spillover effect of positive behavior of the whole-process engineering consulting company on government revenue
j The spillover effect of positive behavior of social capital on the government’s benefits
k The combined effect of the positive behavior of social capital and the whole-process engineering consulting company
p The excess benefits generated by the negative behavior of social capital
Table 2. Tripartite Game Matrix of Government, Social Capital, and the Whole-Process Engineering Consulting Company.
Table 2. Tripartite Game Matrix of Government, Social Capital, and the Whole-Process Engineering Consulting Company.
Government Incentives for the Whole-Process Engineering Consulting CompanyGovernment Incentives for Social Capital
Active cooperation of social capitalActive participation of the whole-process engineering consulting company ( A 1 , B 1 , D 1 ) ( A 2 , B 1 , D 1 )
Passive participation of the whole-process engineering consulting company ( A 1 , B 1 , D 2 ) ( A 2 , B 1 , D 2 )
Passive cooperation of social capitalActive participation of the whole-process engineering consulting company ( A 1 , B 2 , D 1 ) ( A 2 , B 2 , D 1 )
Passive participation of the whole-process engineering consulting company ( A 1 , B 2 , D 2 ) ( A 2 , B 2 , D 2 )
Table 3. Revenue Value of the Tripartite Game between the Government, Social Capital, and the Whole-Process Engineering Consulting Company.
Table 3. Revenue Value of the Tripartite Game between the Government, Social Capital, and the Whole-Process Engineering Consulting Company.
Strategy CombinationBenefits of the GovernmentBenefits of Social CapitalBenefits of the Whole-Process Engineering Consulting Company
( A 1 , B 1 , D 1 ) R + k ( i α Δ V + j Δ π ) I 1 π + a k ( Δ π + α Δ V ) C 1 V + b k ( Δ π + α Δ V ) + I 1 α C 2
( A 1 , B 1 , D 2 ) R + j Δ π I 1 π + a Δ π C 1 V + b Δ π + I 1
( A 1 , B 2 , D 1 ) R + i α Δ V I 1 + f π + a α Δ V f + p V + b α Δ V + I 1 α C 2
( A 1 , B 2 , D 2 ) R I 1 π + p V + I 1
( A 2 , B 1 , D 1 ) R + k ( i Δ V + j β Δ π ) I 2 π + a k ( β Δ π + Δ V ) + I 2 β C 1 V + b k ( β Δ π + Δ V ) C 2
( A 2 , B 1 , D 2 ) R + j β Δ π I 1 π + a β Δ π + I 2 β C 1 V + b β Δ π
( A 2 , B 2 , D 1 ) R + i Δ V I 2 + f π + a Δ V + I 2 f + p V + b Δ V C 2
( A 2 , B 2 , D 2 ) R I 2 π + I 2 + p V
Table 4. Eigenvalues of the Jacobian Matrix.
Table 4. Eigenvalues of the Jacobian Matrix.
Equilibrium PointEigenvalue
E 1 ( 0 , 0 , 0 ) I 2 I 1
a β Δ π β C 1 p
b Δ V C 2
E 2 ( 0 , 0 , 1 ) I 2 I 1 + i Δ V ( α 1 )
a k β Δ π + a Δ V ( k 1 ) + f β C 1 p
C 2 b Δ V
E 3 ( 0 , 1 , 0 ) I 2 I 1 + j Δ π ( 1 β )
β C 1 + p a β Δ π
b β Δ π ( k 1 ) + b k Δ V C 2
E 4 ( 1 , 0 , 0 ) I 1 I 2
a Δ π C 1 p
α ( b Δ V C 2
E 5 ( 0 , 1 , 1 ) I 2 I 1 + k i Δ V ( α 1 ) k j Δ π ( β 1 )
β C 1 + p a k β Δ π a Δ V ( k 1 ) f
C 2 b β Δ π ( k 1 ) b k Δ V
E 6 ( 1 , 0 , 1 ) I 1 I 2 i Δ V ( α 1 )
a k Δ π + a α Δ V ( k 1 ) + f p C 1
α ( C 2 b Δ V )
E 7 ( 0 , 1 , 1 ) I 1 I 2 + j Δ π ( β 1 )
C 1 + p a Δ π
b Δ π ( k 1 ) + b α k Δ V α C 2
E 8 ( 1 , 1 , 1 ) I 1 I 2 + k j Δ π ( β 1 ) k i Δ V ( α 1 )
p + C 1 f a k Δ π a α Δ V ( k 1 )
α C 2 b Δ π ( k 1 ) b k Δ α Δ V
Disclaimer/Publisher’s Note: The statements, opinions and data contained in all publications are solely those of the individual author(s) and contributor(s) and not of MDPI and/or the editor(s). MDPI and/or the editor(s) disclaim responsibility for any injury to people or property resulting from any ideas, methods, instructions or products referred to in the content.

Share and Cite

MDPI and ACS Style

Zhuo, S.; Liang, B.; Wang, C.; Zhang, T. Analysis of Social Capital and the Whole-Process Engineering Consulting Company’s Behavior Choices and Government Incentive Mechanisms—Based on Replication Dynamic Evolutionary Game Theory. Buildings 2023, 13, 1604. https://doi.org/10.3390/buildings13071604

AMA Style

Zhuo S, Liang B, Wang C, Zhang T. Analysis of Social Capital and the Whole-Process Engineering Consulting Company’s Behavior Choices and Government Incentive Mechanisms—Based on Replication Dynamic Evolutionary Game Theory. Buildings. 2023; 13(7):1604. https://doi.org/10.3390/buildings13071604

Chicago/Turabian Style

Zhuo, Siqing, Bin Liang, Cheng Wang, and Tianyun Zhang. 2023. "Analysis of Social Capital and the Whole-Process Engineering Consulting Company’s Behavior Choices and Government Incentive Mechanisms—Based on Replication Dynamic Evolutionary Game Theory" Buildings 13, no. 7: 1604. https://doi.org/10.3390/buildings13071604

APA Style

Zhuo, S., Liang, B., Wang, C., & Zhang, T. (2023). Analysis of Social Capital and the Whole-Process Engineering Consulting Company’s Behavior Choices and Government Incentive Mechanisms—Based on Replication Dynamic Evolutionary Game Theory. Buildings, 13(7), 1604. https://doi.org/10.3390/buildings13071604

Note that from the first issue of 2016, this journal uses article numbers instead of page numbers. See further details here.

Article Metrics

Back to TopTop