Abstract
Building foundations are usually retrofitted with directly connected micropiles; however, at the present time, there are different approaches for predicting shear capacity in the micropile–foundation connection. At first, the concrete shear strength was considered. Nowadays, in the EU countries, it is prescribed to use the shear strength of the interface between successive concrete casts at different times. This implies a reduction of the connection capacity by half, and these values are not in consonance with the lab results. This work analyses the economic impact of the previous considerations on retrofit projects with micropiles. To this aim, firstly, seven different formulations were applied to 29 building projects, and the results were compared. Secondly, a Monte Carlo sensitivity analysis was performed using bond stress distribution data obtained from lab tests. Thus, numerical results acquired by comparing European and American regulations show an average difference in cost of around 40%, which may reach up to 50%. Moreover, the Monte Carlo simulation confirms that the connection strength may become a limitation in retrofit projects, also indicating that the application of European codes usually leads to the most expensive designs. Finally, the results show that it is not worth improving the connection to exceed a bond stress of 0.60 MPa, since no relevant savings are produced by achieving higher values.
1. Introduction
Micropiles are cylindrical structural elements with a small diameter, less than 300 mm, made in situ by rotationally drilling soil [1]. Although there are some typologies, all of them are basically made up of a cement grout reinforced with tubular steel [2]. They are used to carrying loads to deep competent soil [3], and their length is not limited, except by buckling problems [4]. So, they are typically used to strengthen a building’s foundations if the soil has lost part of its bearing capacity, as well as to allow an increase in the building’s design loads with negligible settlements [5,6]. Other micropile applications are soil stabilization and soil improvement, since in some cases, this technology is more economic [7,8]. In addition, they are versatile and can be used to strength the footings of different materials. For these reasons, and given the simplicity of its execution, the use of micropiles to retrofit existing foundations is the most frequently employed solution [9,10].
The main foundations are made up of reinforced concrete (RC) and mass concrete (MC), and micropiles can be used in two ways [9]. For the first one, drilling is carried out directly on the foundation and the micropile bonds with a cylindrical contact interface, which is usually smooth and geometrically well defined. Its execution is simple, but the number of micropiles is limited to the dimensions of the foundation. For the second one, outside of the foundation is drilled since the dimensions of the footings are not large enough to encompass the micropiles. This is a problem for small, isolated footings. In this case, a connection is made with a new pile cap that ties all the micropiles together in a monolithic way and binds to the existing footing using connectors (prestressed bars). However, in this second case, the area around the footing is excavated, which temporarily reduces the bearing capacity of the surrounding soil, and consequently, in the degree of safety decreases during its construction. In addition to these disadvantages, an extra cost due to the construction process is to be accounted for. For these reasons, the first option, i.e., direct connection, is preferable [2,9,11].
The main micropile design manuals indicate the verifications that need to be carried out, with the aim is to ensure load transmission from the structure to the soil [3,12,13]. The main ones are: subsidence and the pulling out of micropiles, the bearing capacity of micropiles, and bond strength to the foundation [3]. In addition, these manuals also recommend that structural verifications must comply with the corresponding RC regulations, but they do not include a specific methodology to assess the strength in the direct connection [3,14]. In practice, the strength of the interface between materials (grout-to-steel and concrete-to-grout interfaces) is verified with other related resistance models [11]. The strength of the grout-to-steel interface is checked using the concrete-to-steel resistance model. However, the formulation to assess concrete-to-grout interface strength (bond stress) has evolved over time.
Experimental research has been conducted to describe the load transfer mechanism of bond stress: chemical adhesion and friction [11,15]. First, the chemical adhesion acts, so it does not allow the relative displacement of the micropile cap within the foundation. This causes the compression of the micropile in the borehole, with it trying to expand by the Poisson effect. The confinement caused by the foundation prevents expansion, and radial compression occurs, generating a strong bond by friction [15]. This physical phenomenon can be explained by the well-known generalized Hooke’s law, within continuum mechanics theory. Experimentation has also shown that the friction component is greater than the chemical adhesion component is, so the roughness of the cylindrical contact surface and the confinement provided by the footing are determining by the strength of the direct connection. Other findings from these studies and from other experimental research studies [16,17,18] revealed that bond stress: (i) does not depend on the embedment length of the micropile head in the foundation; (ii) increases as the diameter of the micropile decreases; (iii) increases when materials with higher compressive strength are used. However, the studied specimens had intended or very rough contact surfaces, and some were prestressed, providing high bond stress values in the range 2.07–14.60 MPa. So, these results are difficult to link with the common direct connection with smooth surface contact without prestressed bars. However, Pachla [10] carried out an exhaustive study testing specimens with smooth roughness, and he was able to estimate the probability distribution of bond stress for footings made of different materials. The average values obtained for footings made of concrete c20/25 are: 1.15 MPa for MC and 2.39 MPa for RC.
In line with the findings about the load transfer mechanism of bond stress, the European micropile manuals [12,19] propose the use of shear stress at the interface between concrete casts at different times without considering reinforcement as per Eurocode 2 (EC2) [20]. This formulation depends on, as well as the strength of the materials connected, two parameters: one related to chemical adhesion (c) and another related to the friction (μ). EC2 indicates that the latter one only acts when an external force compresses the connection (). So, this tension can be considered if prestressed bars cross the foundation, neglecting the radial compression generated by the Poisson effect. These (c and μ) parameters depend on the substrate roughness, and their values are set by the engineer according to a qualitative description (very smooth, smooth, rough, and indented). A borehole is usually made by rotation and the surface roughness of the borehole is smooth. So, “low” values of these parameters are set. For these reasons, when the EC2 method is applied to a smooth surface and without compression forces, the bond stress values are in the range of 0.200–0.300 MPa. However, if ACI-318-19 [14] is applied, the bond stress could increase to a constant value of 0.552 MPa (80 psi), which is independent of the strength of the materials. Previously, other formulations have been used to assess the bond stress. Some of them are formulations to assess the shear stress at the interface between concrete casts at different times [21,22], which provides similar values of bond stress to those of EC2 [19]. Beforehand, the usual practice was to use the shear strength of concrete [23,24]. Some authors proposed their own formulations [25,26,27] based on shear strength, taking the ACI-318 codes as a reference [28]. These formulations provide bond stress values in the range of 0.400–0.600 MPa. So, all the proposed theoretical bond stress values contrast with the results obtained in the experiment.
The wide range of bond stress values used in recent decades generates uncertainty when one is designing foundation retrofits by micropiles, especially when the formulations are not specific to this type of connection. Despite this situation, during the last decade, no previous research linked the theoretical values proposed in regulations and RC codes with those obtained by experimentation. Moreover, the physical problem of the connection has not been addressed through analytical or numerical methods in a similar way to other fields in geotechnical engineering [29]. Therefore, micropiles regulations are strictly complied with, and low bond stress values are used. Often, this situation leads to the execution of more micropiles, which implies a higher cost in the retrofitting of the foundations of buildings. This economic aspect has not been included in any previous research, despite it being decisive in rehabilitation projects, since it can place a condition the adopted solution [2,6]. The objective of this work is to analyze how the bond stress affects the cost of retrofit projects using micropiles. To that aim, the starting point is to study the cost of 29 foundation retrofits in Spain, considering seven formulations to assess the bond stress. Subsequently, to generalize the study cases, a Monte Carlo simulation is also performed. To achieve this, a bond stress probability distribution estimated by Pachla [10] is used. This Monte Carlo simulation expands on the previous deterministic economic study, since with it, it is possible to acquire the probability that a given cost will be exceeded depending on the formulation used. The Monte Carlos results can also be used to establish the limit value, beyond which the bond stress ceases to be the limiting factor in the design of an underpinned building, or to determine the associated risk of using a specific formulation for bond stress.
2. Materials and Methods
First, the following methodology for the design of a building underpinned with micropiles in direct connection is fully described. For that reason, a literature review of the codes, regulations, reference manuals, and recommendations for micropile design was carried out [3,12,13,30], and the guidance for the design and construction of micropiles in road projects in Spain [13] was taken as a basis. The verifications and formulations in this paper are, in essence, the same as the rest of them in the international standards. Next, seven formulations used to assess the bond stress are presented. Finally, the Monte Carlo simulation process is briefly defined.
2.1. Micropile Underpinning Design
The first step is to set the concomitant forces transmitted by each structural element to the foundation. These forces are obtained from the most unfavorable combinations of actions; so, they are increased by partial safety factors. Using an equilibrium model, the loads reaching the foundation are transformed into compression axial forces (or tensile forces, although there are only a few cases) on each micropile, selecting the one with the largest axial force (Qm). For simplicity in construction, all micropiles are sized as if they were the most unfavorable ones. Shear forces at the head of the micropile are not considered, except in special cases for which this force represents a main action or if there is uncertainty of it being the governing action.
In the design process, geometric, geotechnical, and structural verifications must be complied with (not necessarily in this order). In relation to the geometric ones, the number (n) of micropiles that can be built is limited by the dimensions of the footing to be underpinned. These geometric limitations, for example, have an influence on the distance from the micropile to the edge of the footing to ensure that it is properly anchored [3,12]. Likewise, a symmetrical design is sought for simplicity of construction and to ensure the stability of the underpinning if the direction of the loads changes. Thus, the minimum number (n) of micropiles will always be 2, ensuring, in turn, that all of them have the same length, section, and reinforcement properties.
Regarding geotechnical verification, micropiles transmit loads to the soil by side friction (τf) and by end bearing (σp). Both side friction and end bearing resistance are estimated using geotechnical parameters (cohesion and friction angle) obtained by field and lab tests. Therefore, the length (L) and the diameter of micropiles () must be the minimum values to prevent subsidence of the footing (Rh), as well as them possibly pulling out (if a tensile force is present).
Finally, the structural verifications are divided into two categories: (i) those intended to assess the own micropile strength and (ii) those that asses the strength in the direct connection. Micropiles must be able to support both tension and compression forces, so their materials (grout and steel), the geometrical parameters, the diameter of the micropile () and the tubular reinforcement section (As,t) must be able to resist these forces. The formulations used to assess the strength at the steel-to-grout interface depends on the footing thickness (h), the outer and inner diameter of the tubular reinforcement (As,t), and the reinforcements welded to this tubular bar in order to increase the area and roughness in the connection zone (e.g., diameter, number, and length of corrugated bars (As,r) welded to the tubular reinforcement). The concrete-to-grout connection depends on the diameter perforation of the footing (), which does not have to be the same as that of the micropile (), the footing thickness (h), and the bond stress (τbs). As aforementioned, the formulation used to estimate τbs depends on the roughness of the contact substrate, the radial compression due to confinement (), and it also depends on the compression strength of the connected materials (concrete (fck) and grout (fgk)). Generally, footing concrete has the lowest compressive strength, and it cannot be modified. So, throughout this work, the bond stress is assessed using concrete compressive strength (fck). Finally, it should be noted that the strength at these two interfaces is assessed assuming constant values of steel-to-grout and concrete-to-grout frictions.
The flow diagram in Figure 1 summarizes the described methodology, and it should be followed for the design of buildings’ foundation retrofit projects. The first step is to set the number (n) of micropiles to a preliminary size (). Then, the strength connection is calculated (Rck) using a value of τbs. Next, the number of micropiles (n) is defined by comparing the resistance of the connection with the load that receives the most loaded micropile.
Figure 1.
Flow diagram for the design of building underpinnings through micropiles. * Radial compressive stress () according to Gómez et al. [15], but it is neglected. ** It is included in the algorithm flow diagram, but it has not been considered in the calculations (. *** The length variable starts with L0 = 0 m. This length increases until the soil bearing capacity is complied.
Once “n” has been selected, the length (L) of the micropile is determined so that it complies with the soil’s bearing capacity verification. Generally, in practice, the end bearing resistance is not considered (unless the last layer is rock). In addition, in those cases in which the micropile works against tension, the resistance by end bearing does not influence the ultimate bearing capacity, and thus, the algorithm remains generic for both cases. The strength of side friction is calculated by multiplying the external area of the micropile by the unit average side friction (τf). The length increment (∆L) applied in the algorithm is arbitrary and, for this specific case, the value of 0.50 m is selected, as it is usual in practice. The final length of the micropiles might be too long to ensure buckling stability. Therefore, it must be verified and, if necessary, the number (n) of micropiles must be increased to reduce their length. The verification of the strength of the concrete-to-grout connection would not be required, as increasing the number of micropiles would increase the bonding surface.
Then, the steel-to-grout interface strength and the strength of the micropiles are assessed. The steel-to-grout interface is not limiting, so if it does not comply, it is possible to increase the number of corrugated bars welded to the micropile (Asr) in the connection zone. This modification would not decrease the capacity of the direct connection. The strength of the micropiles would not be limiting either since it is possible to increase the tubular reinforcement (Ast), or to improve the grout strength (fgk), or to increase the diameter of the micropile (). These modifications would not decrease the capacity of the connection, but rather they would increase it, thereby increasing the cost.
2.2. Bond Stress Prediction
Seven formulations are presented in two groups. The first group consists of two formulations included in the current RC codes. The second group, which encompasses the last five formulations in this section, contains formulations from repealed regulations and old proposals from authors. They are shown in Table 1.
Table 1.
Bond stress prediction according to several codes and authors.
2.2.1. Eurocode 2
This formulation (Equation (1)), which is mandatory in the UE countries [12,19], is used to calculate the shear at the interface between concrete casts at different times in EC2 [20]. If there is no reinforcement at the direct connection, then . In addition, despite the presence of normal stress (σn) due to the dilation of the micropile within the drilled area, its value is unknown for this connection, so its effect is neglected (σn = 0). Parameters and depend on the roughness, and they were commented on in the Introduction. This expression is simplified and becomes Equation (2).
The range of c is from 0.025 to 0.5, being in cases with less roughness. fcd (the equivalent to fcd in ACI-318 codes [28] is the specified compressive strength of concrete ()) and fctd are the compressive and tensile strengths of concrete (MPa), respectively, which have been reduced by a partial safety factor, γc. The usual value of γc is 1.5, and it is used here and in all the rest of the formulations.
2.2.2. ACI-318-19
The second bond stress used is the minimum nominal strength of grouted joints for diaphragms with precasted elements in ACI-318-19 [14], whose value is 0.552 MPa. So, in this work, this value is considered to be the bond stress (Equation (3)).
2.2.3. ACI-318 and EH-80
This formulation is used to calculate the shear strength of concrete in ACI-318 [28], which was adopted later by other codes for RC structures [23,24]. As the following study cases are in Spain, EH-80 is taken as a reference [24]. This is based on the characteristic compressive strength (fck) in kg/cm2 (Equation (4)). This resistance is reduced by the partial safety factor for concrete (γc) to obtain the design value of concrete’s compressive strength (fcd).
2.2.4. Rodríguez-Ortiz (1984)
This formulation proposed by Rodríguez-Ortiz [25] is based on the abovementioned RC codes [14,28]. Equation (5) has the same parameters and units (kg/cm2). In turn, it includes a recommendation to use bond stress values in the range 0.400–0.600 MPa. This has been widely used in Spain, and it is also recommended by other authors [31].
2.2.5. Oteo (2007)
The author of [26] proposed their own formulation based on fcd (Equation (6)), whose values are in MPa (γc = 1.5). He also recommended a range value of 0.300–0.600 MPa.
2.2.6. Rodríguez-Ortiz (2007)
A few years later, Rodríguez-Ortiz [27] again proposed almost the same approach [28], slightly increasing the coefficient from its previous formulation (Equation (7)). This way, the values match with those in ACI-318 codes [5]. The units of fcd are kg/cm2.
2.2.7. EHE-08
This Spanish code for RC structures [22] contains a specific methodology for determining shear at the interface between concrete casts at different times (Equation (8)). Unlike EC2 [20], it does not contemplate compression (σn). The only parameter in this formulation depending on interface roughness is the factor β; so, it comprises adhesion and friction strengths. It can vary within the range (0.20–0.80), whereas the rest of parameters are the same as those in EC2 [20]. is established, as it corresponds to smooth roughness.
2.3. Monte Carlo Simulation
Monte Carlo simulation is an algorithm widely used in different scientific fields [32,33]. It is used to explicitly introduce the uncertainty of input variables of any model, considering that these variables have a predetermined probability distribution. In structural engineering, its application is widespread: to optimize structures [34], to calculate the influence that the uncertainty of the strength of the materials has on the result of the simulated global model [35], or to assess the influence of the uncertainty of the loads, e.g., seismic actions [36,37]. In the present work, it is used to determine the influence that a certain strength parameter (bond stress) has on the final cost of underpinning the building.
The first step is to select the variables and to define their probability distribution functions. With these functions, a set of values are generated through a random process during which, depending on the case, a consideration should be made on whether there is a correlation between the mentioned variables (correlation matrix), or if they are independent variables. For each set of values, the complete model is simulated, and we obtained the values of the main reference parameters. This procedure is executed as many times as required (usually about 10,000), and a series of results is obtained with which it is possible to estimate their distribution (see Vose [38]). This technique is recommended in analyses that include variables with significant uncertainties and in cases where the linear sensitivity analysis approach does not provide an accurate description of the variation in the results, such as for the cases studied here.
The work of Pachla [10] provides probability distributions of the bond stress for different footing materials. The specimens tested had a real size, and the boreholes were rotationally drilled to leave a smooth interface (since this is the most widespread practice). Therefore, taking advantages of these results, the Monte Carlo simulation is carried out using an appropriate bond stress probability distribution for the study cases discussed later. As the bond stress is the only input parameter, correlations are not considered. The output parameter is the cost to underpin the building. The procedure can be summarized in three phases: (1) random values of bond stress are generated for the selected probability distribution, (2) a building underpinning project is defined for every random value following the algorithm of Figure 1, and (3) the cost of every building underpinning project is accounted.
3. Case Studies
The cost of the retrofitted foundation of the 29 buildings was accounted for following the methodology in Figure 1 and for the seven formulations set out in Section 2.2. These projects have already been executed in the southeast area of Spain. Most of the retrofit projects were executed to multi-story buildings founded on isolated RC footings. Table 2 contains a summary of the main characteristics of the projects, but more detailed information is included in the Supplementary Information (Table S1). Usually, there is only a little bit of information about the real concrete use in footings, so we assumed a compressive strength (fck) of 20 MPa (c20/25). The diameter for all the micropiles () was 150 mm. But the diameter of the drillings on the foundation was 220 mm (), creating by rotationally drilling (smooth contact surface). The current RC code used for the execution is EHE-08 [22], and the bond stress value used was 0.219 MPa.
Table 2.
Characteristics of the building’s foundations.
The cost of each item is organized by construction units. Most were measured in linear meters (m), except the transport of equipment, which has a single price (S.P.). The market prices depend on the materials used, especially steel, in construction. For this case, market prices from Spain were used (Table 3).
Table 3.
Cost of construction units considering prices of 2022.
4. Results
4.1. Comparison of the Different Formulations
The results of the underpinning designs are first analyzed in aggregate terms (all 29 projects together). The main parameters are the number of micropiles (n), average length of micropiles (), average construction cost per micropile (), overall length of micropiles (), and construction cost (CC). The results indicate that the number of micropiles to be constructed is reduced as a higher bond stress value is considered. Whilst reducing the number of micropiles implies that they are to be longer and more expensive, this does not translate into an overall increase in micropile length. In fact, the overall length of micropiles decreases as a reduced number of them are required. This saving in construction units directly translates into an economic saving. In relative terms, changing from the EC2 [20] formulation to ACI-318-19 [14] implies a 57% reduction of drilling, a 39% reduction of micropile overall length, and 40% savings on the total cost. These reductions would be slightly higher if the formulation of Oteo [26] was used instead of the value in ACI-318-19 [14] (Table 4).
Table 4.
Cost of foundation retrofit projects depending on the assumed bond stress formulation.
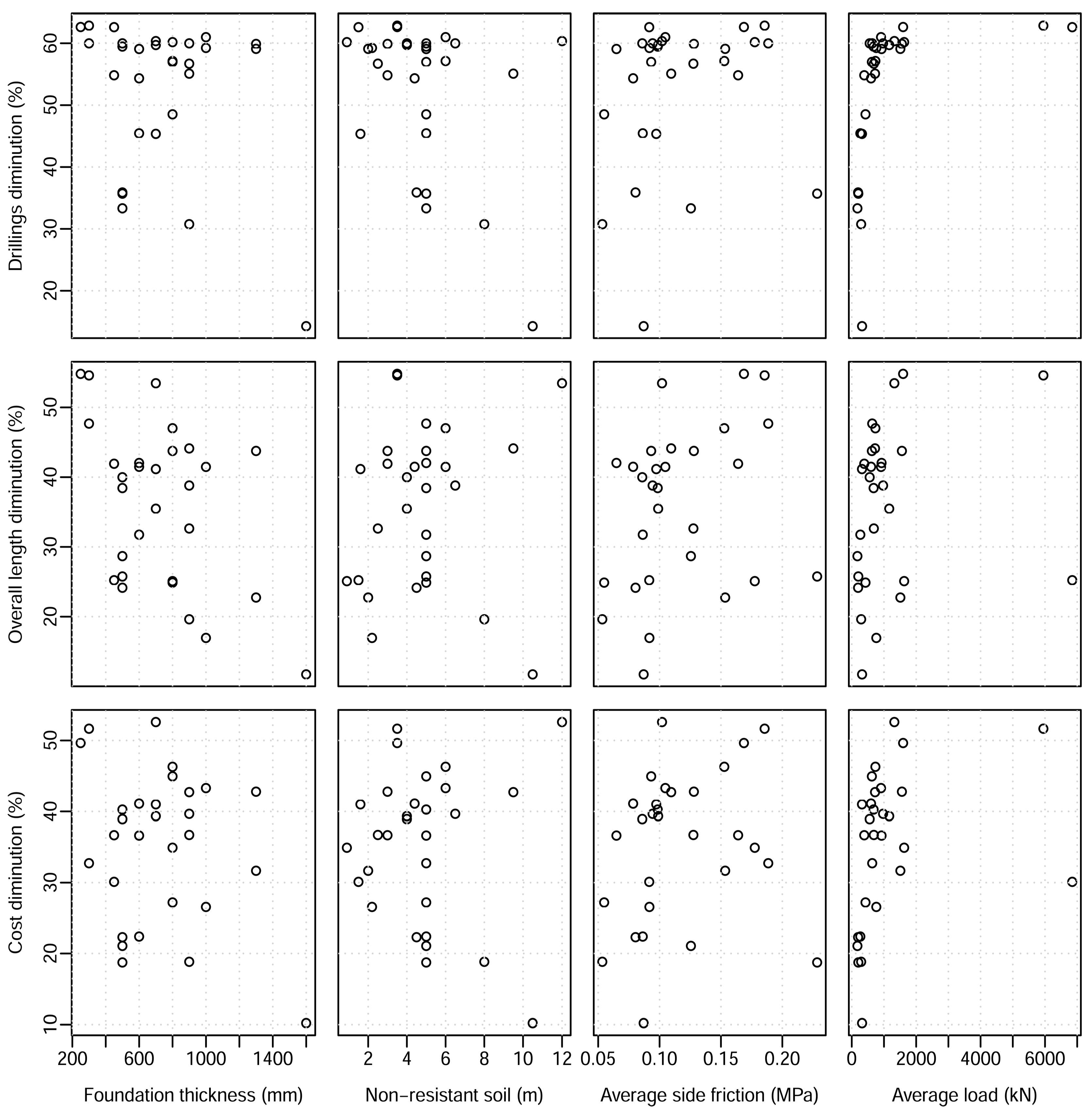
A detailed analysis comparing EC2 and ACI follows (Figure 2). The diminutions of “n”, “”, and “CC” are caused by other parameters: foundation thickness, no-resistant soil layer thickness, average side friction (τf), and average load (Q). The maximum drilling events diminution is around 60%, the overall length diminution can reach 50%, and the cost diminution could exceed 50%. However, most savings are in the range of 20–50%. In this chart, the foundation thickness does not appear to be a relevant parameter. However, for the only case with high thickness (1600 mm), there are low diminutions of the number of drilling events, of length, and cost (around 5%). This is due to the greater contact surface area in the connection. No clear relationships are observed when the two following parameters are analyzed: thickness of the non-resistant soil layer and the average side friction of the deeper soil layers. However, it is observed that the greater the average load per foundation element is, the greater the diminutions of “n”, “”, and “CC” are. Specifically, the clearest relationship is shown between the average load and the reduction of the number of micropiles. The reduction of the number of micropiles is almost linear until it reaches 60% when the load reaches the value of about 1000 kN. Then, it stabilizes around the value of 60%.
Figure 2.
Diminutions of the number of drilling events (n), the overall length of micropiles (), and economic savings for each retrofit project (CC), considering the thickness of the foundation, the thickness of the non-resistant layer soil, the average side friction stress ( ), and the average load.
The loads are a decisive factor in the cost differences between the two bond stresses that are compared. So, a more detailed analysis for each foundation element is performed. Figure 3a indicates that the number of drilling events begins to decrease when the loads are around 500 kN, and they may even be higher than 60% when the loads are greater than 700 kN. In the same way, the overall length of micropiles in each element begins to decrease when the load is greater than 500 kN (Figure 3b). However, in the case of overall length, there are some elements whose reduction is around 20% and others in which the reduction is 35–45%. The cause of this difference is the soil. Specifically, it is due to the thickness of the non-resistant soil layer, e.g., a man-made ground layer (generally the top layer). When the thickness of this layer is high, not building a micropile further reduces the cost, since a length of micropile, which is not considered to be resistant to subsidence, is no longer built. The savings on each element can reach 60% (Figure 3c), with a graphical behavior such as that of the decrease in the overall length of micropiles (Figure 3b); so, this is the key variable when it comes to reducing costs. Finally, it is also observed that the bond stress value used has no influence when the loads are below 200 kN (Table S1). So, for small loads (200–300 kN, approx.), the direct connection strength with two micropiles using EC2 is adequate; so, increasing the bond stress will not reduce the minimum number of micropiles established (n = 2), and the lengths of the micropiles are the same. This preliminary conclusion for the 29 case studies is later generalized with another independent analysis.
Figure 3.
(a) Diminution of the number of drilling events per footing according to the service load. (b) Diminution of the overall length of micropiles per footing (isolated, strip or slab) according to the service load. (c) Savings on the cost per footing depending on the service load.
4.2. Probablistic Analysis Using Monte Carlo Simulation
As aforementioned, the work developed by Pachla [10] provides probability distributions of the bond stress for micropiles built with different materials. The concrete used for the foundations in the study cases was c20/25; so, it is possible to use the probability distribution of RC (c20/25). However, as the real reinforcement in the existing footings is usually unknown (as usual in practice), MS (c20/25) is selected to provide accurate results.
The bond stress for MS (c20/25) has a normal distribution, with a mean bond stress of = 1.15 MPa and a standard deviation of σ = 0.19 MPa. The values that provide these parameters are not reduced by a partial safety factor. Therefore, they are divided by the same partial safety factor applied in the previous formulations (γc = 1.5), except for those in ACI-318-19 [14]. Therefore, the distribution used in the Monte Carlo analysis is a normal distribution of bond stress with the following parameters: and .
From these parameters, 50,000 bond stress random values are generated (more than 10,000 recommended), and the underpinning cost for each of them is calculated, resulting in the following distribution represented in the form of a histogram (Figure 4). Positively skewed distributions with a heavy right tail are obtained, indicating that most of the cost is concentrated on relatively high values of bond stress. In probabilistic terms, the costs of ACI-318-19 [14] and EH-80 [24] are in the 95% percentile, while those obtained with the formulations of Rodríguez-Ortiz [25,27], as well as Oteo [26], are below this percentile, at 85–95%. In contrast, the highest costs are those calculated by the EHE-08 [22] and EC2 [20], which are in the 99.998% and 99.999% percentiles, respectively. Therefore, applying these concrete codes would yield the highest costs for underpinning design and construction, especially if EC2 [20] was used. This fact is better observed when the values of the aggregate construction cost (CC) from Table 4 are included in Figure 4. They are presented in an orderly manner from lesser to greater values, highlighting the values corresponding to ACI-318 [14] and EC2 [20].
Figure 4.
Histogram of building underpinning costs depending on the assumed value for the bond stress: ACI-318-19 (2019) [14], EC2 (2004) [20].
The ordered representation of the Monte Carlo simulation results (CC against bond stress) shows how the cost decreases as bond stress increases (Figure 5). In Figure 5, the bond stress values for the seven formulations previously used are also included (results in Table 4). This chart also indicates that the most restrictive value is the included in EC2 [20]. The decline in cost is particularly significant at the beginning of the curve, stabilizing with the values of ACI-318-19 [14] and EH-80 [24]. The normal distribution of bond stress used in the Monte Carlo simulation has also been represented in the background of the chart. The vertical red line representing the 5% percentile (an exceedance probability of 95%) is also shown, which corresponds to the following value of bond stress: 0.558 MPa [10]. This line graphically indicates that three formulations are within this set, with the formulation of the current ACI-318-19 regulation [14] being the one that best fits this value. Furthermore, using bond stress values greater than 0.558 MPa would not be economically justified, as the savings start to decrease. In this sense, the formulations proposed by Rodríguez-Ortiz [25,27] and Oteo [26] would have a lower safety coefficient, although they are still in the left tail of the distribution. Another interesting result is that it would always be economically inefficient to use a bond stress close to 1.0 MPa, since the costs are stabilized, and no savings would be achieved.
Figure 5.
Cost variation plotted against the distribution of bond stress value: Eurocode 2 (2004) [20], ACI-318 (2019) [14], EHE-08 (2008) [22], EH-80 (1980) [24], Rodríguez-Ortíz (1984) [25], Oteo (2007) [26], Rodríguez-Ortíz (2007) [27].
5. Discussion
The bibliographic review carried out has shown that there is no specific formulation adapted to assess the strength at the grout-to-concrete interface during the direct connection of micropiles to existing footings. In the beginning, concrete shear strength was used, and now, the widespread practice is to use the formulation of shear at the interface between concrete casts at different times. In Europe, this change has led to reducing the bond stress value by half, which implies an increase of around 40% in the cost of underpinning projects. The largest increases are incurred for structures transmitting large loads to the foundations, such as foundation slabs, and to soil with a thick top not-resistant layer (Figure 3c). In addition, this change also supposes increases in the execution time, the materials used, and the waste generated. However, the current ACI-318-19 regulation [14] still recommends the values such as those used in the past in Europe.
The Monte Carlo simulation provides a complete sensitivity analysis. This allows us to understand the non-linear relationship between the bond stress and the retrofit project’s cost in probability terms. The resulting histogram confirms that the parameter studied is very limiting, since the lowest parameter values with the highest probability of them being exceeded are incurred during the most expensive projects. This noticeable relationship does not occur with other structural verifications, such as micropile strength, since its minimum value is much higher than the direct connection strength.
Taking the seven formulations used as a reference, it is not worth exceeding the bond stress value of ACI-318-19 since it does not imply a substantial cost diminution. The difference between the aggregated cost of using ACI-318-19 and that of Oteo [26] would result in a 3% saving. The increased risk does not justify the savings (from 4.78% to 24.76% in distribution). In line with this, it is not economically justifiable to use very high bond stress values, as the strength of the connection is no longer the limiting verification, as pointed out previously. The limiting verification is the strength of the grout-to-steel interface. This leads to an increase in reinforcement (Asr) by corrugated bars in the connection area, especially if the thickness of the foundation is low. For higher values of bond stresses, those close to 1 MPa, the resistance of the micropile begins to be limiting, and increasing the tubular reinforcement along it (Ast) would be required. This is the variable that increases the cost the most since the entire lengths of the micropiles are reinforced. The concrete covering must be respected to guarantee the correct transmission of forces [39], and the diameter of the micropile must be increased if necessary. The last consideration is the length of the micropiles, which in this case, has a maximum value of 22 m (for τbs = 1.0 MPa), which would provide geometric value of slightly less than 150; so, in principle, buckling should not represent an issue [40].
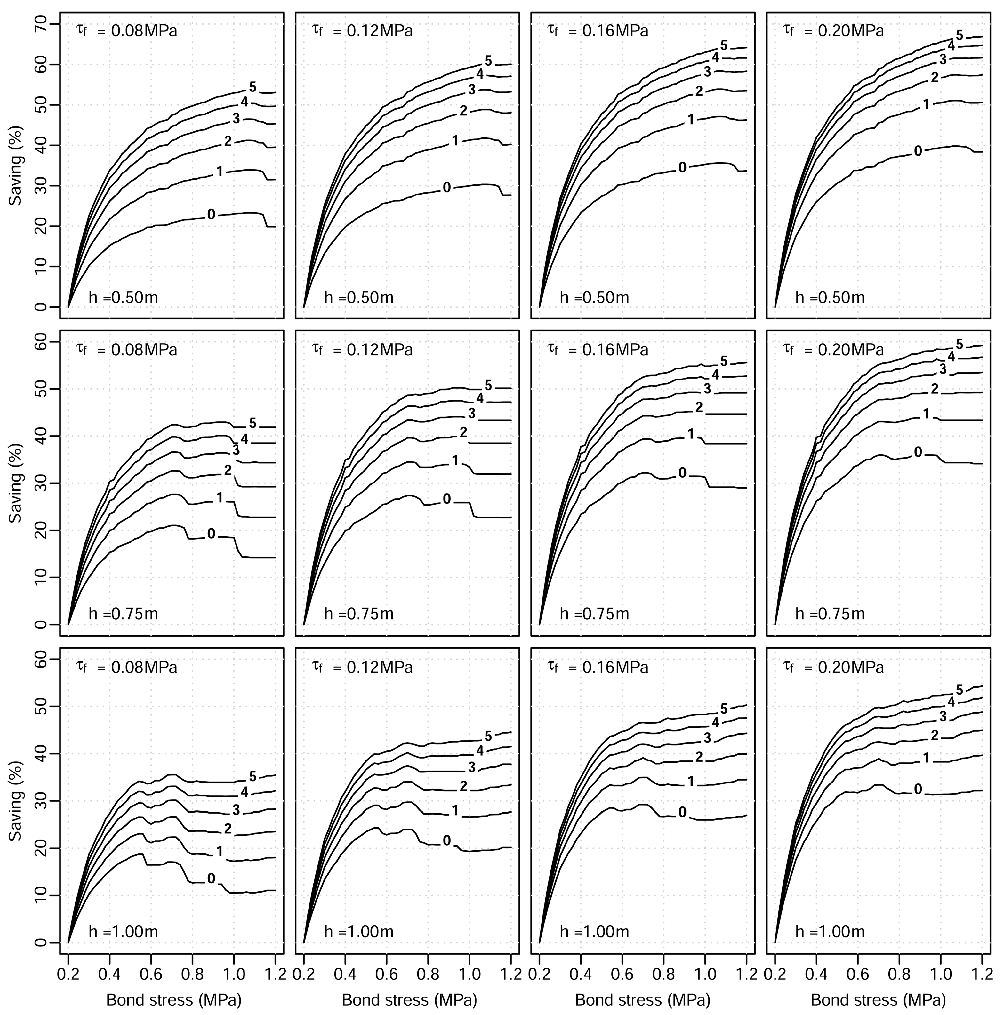
To complete these reflections, a new detailed analysis that quantifies the expected economic savings when the bond stress increases from 0.20 to 1.20 MPa is presented. This analysis includes all the parameters considered previously. These are: (i) loads, (ii) thickness of the not-resistant layer, (iii) average side friction of the soil ), and (iv) the thickness of the foundation (). This analysis is independent of the buildings studied previously, and it is carried out for a single micropile. For example, for this analysis, the length increment is reduced to ∆L = 10 mm. To this end, the savings involved by increasing the bond stress in the interval (0.200–1.200) (MPa) for loads in the interval (400–4000) (kN) are represented. These calculations are made by changing the thickness of the not-resistant soil (between 0 and 5 m), the average side friction resistance of the soil (from 0.08 MPa to 0.20 MPa), and the thickness of the foundation (0.50, 0.75, and 1.00 m). The summary of these results is shown in Figure 6, in which the average saving by load level is plotted against the average side friction of the soil, the bond stress, and for the three thickness of foundation analyzed. To be more specific, the points on each chart in Figure 6 represent how the average savings affect the load in the range (400–4000) (kN) for a given value of bond stress.
Figure 6.
Average savings related to the bond stress (MPa), the thickness of the top non-resistant soil layer (in meters) is the inserted number in the curves, the average side friction stress ( in MPa), and the thickness of the foundation ( in meters).
The results confirm that substantial savings are always achieved when the thickness of the not-resistant soil is greater. The option of not having a non-resistant top layer has been included, but it is not usual, since in practice, this top layer is not usually considered in the calculations (at least the first two meters) to avoid possible risks of the washing of fine particles due to a water leak in the building.
We also observed that when the bearing capacity of the soil is small, there are fewer relative savings since the length of the micropiles is much greater, and then, it is less relevant to build micropiles (in relative terms). The thickness of the foundation is also decisive. For small thicknesses, the strength connection increases as the bond stress increases, reducing the number of micropiles without the need to increase the local reinforcement in the connection area. This is especially relevant for thin slab foundations. Finally, this analysis indicates that it is not economically justifiable to exceed the value of 0.60 MPa. The savings do not compensate for the increased risk. An even higher design cost is possible (poor ground conditions and high foundation thicknesses).
Finally, it is necessary to highlight that the value proposed by ACI-318 [14] is in the 5% percentile of the distribution of bond stress obtained by Pachla for MC foundations (c20/25). So, considering the safety partial factors of loads, the resistance guarantee would reach 100%. So, if the lab test results of Pachla [10] were the reference to design the direct connection strength, it would be advisable use ACI-318-19 instead of EC2. In addition, it should be added that the probability distribution used are for mass concrete (MS) foundations, whose bond stress values are lower than those of reinforced concrete (RC) foundations ( = 2.38 and σ = 0.32 MPa). So, this supports the use the bond stress value of ACI-318-19 [14] for RC foundations.
6. Conclusions
The present research describes the effect of the direct connection strength on the cost of retrofit projects with micropiles. For this, a bibliographical review was carried out on the main international regulations that have been applied to retrofit projects, as well as research with experimentation that provides values of laboratory tests. Data from 29 real buildings were used as case studies, and the effect of direct connection strength on the final cost of retrofit projects was assessed. The main findings that can be drawn from this study are as follows:
- The latest European regulations about micropiles reduced the bond strength of micropiles to those of the existing foundations. So, direct connection verification has become the usual limiting factor in building retrofit projects. This implies that, with respect to the previous methods to evaluate the connection strength, it is now necessary to use more micropiles, thereby increasing the project’s cost by around 40%, which can be even up to 50%.
- The increase in cost is substantially relevant in buildings that: transmit large loads, stand on soil whose first non-resistant layer is very thick, and whose foundations are thin. Therefore, it is especially relevant to buildings with foundation slabs.
- The American RC code (ACI-318-19) contemplates the use of a shear strength value of 0.552 MPa at the interface between concrete casts at different times. This value is similar to the concrete shear strength, which is the bond stress value that was previously used in Europe. So, using this value does not imply an increase in the cost of retrofit projects. In addition, this value is supported by lab tests carried out by Pachla, since it is slightly lower than the characteristic 5% percentile of the distribution of the bond stress design values.
- Finally, in the case of applying techniques to improve the bond stress, for increasing the roughness in the boreholes, it is not economically or structurally advisable to exceed the bond stress values of 0.60 MPa or reach values of around 1.0 MPa. These high values would only be required for large structures, which transmit large loads to the soil, in which it is necessary to apply out strong reinforcement to the connection, as well as to improve the resistance of micropiles.
Supplementary Materials
The following supporting information can be downloaded at: https://www.mdpi.com/article/10.3390/buildings13040980/s1. Table S1: Detailed characteristics of the foundations of the 29 buildings studied.
Author Contributions
Conceptualization, F.P.-M., V.M.-L.; methodology, F.P.-M., A.M.H.-D.; software, J.P.-A.; validation, A.M.H.-D., J.P.-A., J.A.L.-J.; formal analysis, F.P.-M., V.M.-L.; investigation, A.M.H.-D., J.A.L.-J.; resources, A.M.H.-D., J.A.L.-J.; data curation, V.M.-L.; writing—original draft preparation, V.M.-L.; writing—review and editing, A.M.H.-D.; visualization, F.P.-M., A.M.H.-D.; supervision, A.M.H.-D., J.P.-A.; project administration, F.P.-M.; funding acquisition, V.M.-L. All authors have read and agreed to the published version of the manuscript.
Funding
This research was funded by the Center for Industrial Technological Development (CDTI), grant number IDI-20180024, and by the “Plan Propio de Apoyo a la Investigación: Programa de Apoyo a los Grupos de Investigación. Convocatoria de Ayudas a la Realización de Proyectos de Grupos de Investigación”, Award number: PMAFI-05/21.
Conflicts of Interest
The authors declare no conflict of interest.
References
- Lizzi, F. The Static Restoration of Monuments: Basic Criteria, Cases Histories: Strengthening of Buildings Damaged by Earthquakes; SAGE Publications: Thousand Oaks, CA, USA, 1982. [Google Scholar]
- Edens, J.H.; Fisher, B.L. Foundation Retrofit of Three Structures Utilizing Micropiles. In Proceedings of the Structures Congress 2018: Buildings and Disaster Management-Selected Papers from the Structures Congress 2018, Fort Worth, TX, USA, 19–21 April 2018; Volume 2018. [Google Scholar] [CrossRef]
- Federal Highway Administration. Micropile Design and Construction Guidelines. In Handbook; No. 132078T; Federal Highway Administration: Washington, DC, USA, 2005. [Google Scholar]
- Cadden, A.; Gómez, J. Buckling of Micropiles. A Review of Historic Research and Recent Experiences; ADSC-IAF—Micropile Committee, Schnabel Engineering Associates: West Chester, PA, USA, 2002. [Google Scholar]
- Babu, G.L.S.; Murthy, B.S.; Murthy, D.S.N.; Nataraj, M.S. Bearing Capacity Improvement Using Micropiles: A Case Study; ASCE: Reston, VA, USA, 2004. [Google Scholar]
- Elsawwaf, A.; El Sawwaf, M.; Farouk, A.; Aamer, F.; El Naggar, H. Restoration of Tilted Buildings via Micropile Underpinning: A Case Study of a Multistory Building Supported by a Raft Foundation. Buildings 2023, 13, 422. [Google Scholar] [CrossRef]
- Akan, R.; Keskin, S.N.; Uzundurukan, S. Multiple Regression Model for the Prediction of Unconfined Compressive Strength of Jet Grout Columns. Procedia Earth Planet. Sci. 2015, 15, 299–303. [Google Scholar] [CrossRef]
- Akan, R. Estimation of the maximum bending of cantilever sheet pile walls by using multiple linear regression analysis. J. Eng. Sci. Des. 2022, 10, 247–256. [Google Scholar] [CrossRef]
- Echave-Rasines, J.M. Micropiles to footing connection. In Jornadas Técnicas SEMSIG-AETESS, 3ª Sesión; CEDEX, Naos Livros: Madrid, Spain, 2003; pp. 131–141. [Google Scholar]
- Pachla, H. Conditions of proper interaction of Low-pressure Injection Piles (LIP) with structure and soil, carrying capacity of pile anchorage in foundation. Stud. Geotech. Mech. 2016, 38, 33–49. [Google Scholar] [CrossRef]
- Veludo, J.; Dias-da_Costa, D.; Júlio, E.N.B.S.; Pinto, P.L. Bond strength of textured micropiles grouted to concrete footings. Eng. Struct. 2012, 35, 288–295. [Google Scholar] [CrossRef]
- CEN. EN 14199:2019 Execution of Special Geotechnical Works—Micropiles (Endorsed by AENOR in August of 2006); European Committee for Standardization: Brussels, Belgium, 2019; p. 65. [Google Scholar]
- GPEMOC. Guía Para el Proyecto y la Ejecución de Micropilotes en Obras de Carretera. Dirección General de Carreteras; Ministerio de Fomento: Madrid, Spain, 2005; p. 142. (In Spanish) [Google Scholar]
- ACI Committee 318. Building Code Requirements for Structural Concrete and Commentary (ACI 318M-19); American Concrete Institute: Farmington Hills, MI, USA, 2019; p. 623. [Google Scholar]
- Gómez, J.; Cadden, A.; Traylor, R.P.; Bruce, D.A.; Eng, C. Connection Capacity between Micropiles and Concrete Footings: Interpretation of Test Results and Design Recommendations. In Geo3 GEO Construction Quality Assurance/Quality Control; ADSC: Fort Worth, TX, USA, 2005. [Google Scholar]
- Veludo, J.; Júlio, E.N.B.S.; Dias-Da-Costa, D. Compressive strength of micropile-to-grout connections. Constr. Build. Mater. 2012, 26, 172–179. [Google Scholar] [CrossRef]
- Veludo, J.; Júlio, E.N.B.S.; Pinto, P.L. Bond strength of micropile (grout) concrete interfaces in RC footings strengthened with micropiles. In Proceedings of the 9th International Workshop on Micropiles, London, UK, 10–13 May 2009. [Google Scholar]
- Darrel, W.; Gómez, J.; Cadden, A.W.; Traylor, R.P.; Pilkington, M. Compressive Load Transfer in Micropiles through Concrete Footings: A Full Scale Test Program. In Geo3 GEO Construction Quality Assurance/Quality Control; ADSC: Fort Worth, TX, USA, 2005. [Google Scholar]
- CEN. EN 14199:2006 Execution of Special Geotechnical Works—Micropiles; European Committee for Standardization: Brussels, Belgium, 2006; p. 52. [Google Scholar]
- CEN. EN 1992-1-1: Eurocode 2: Design of Concrete Structures—Part 1-1: General Rules and Rules for Buildings; European Committee for Standardization: Brussels, Belgium, 2004; p. 225. [Google Scholar]
- Real Decreto 2661/1998, BOE N° 11; Instrucción de Hormigón Estructural (EHE). EHE: Madrid, Spain, 1999; pp. 1–271. (In Spanish)
- EHE-08. Real Decreto 1247/2008, BOE N°, 203; Instrucción de Hormigón Estructural (EHE-08) y Suplemento. EHE: Madrid, Spain, 2008; pp. 1–304. (In Spanish)
- EH-73. Decreto 3062/1973, BOEN° 293; Instrucción para el proyecto y la ejecución de obras de hormigón en masa o armado (EH-73). EHE: Madrid, Spain, 1973; pp. 23701–24204. (In Spanish)
- Instrucción EH-80. Real Decreto 2868/1980, BOEN°9; Instrucción para el proyecto y la ejecución de obras de hormigón en masa o armado (EH-80). EHE: Madrid, Spain, 1980; pp. 522–839. (In Spanish)
- Rodríguez-Ortiz, J.M. Curso de Rehabilitación, 1st ed.; Colegio Oficial de Arquitectos de Madrid: Madrid, Spain, 1984; Volume 4. (In Spanish) [Google Scholar]
- Oteo, C.S. Micropilotes. Criterios para el diseño de micropilotes. In Jornadas Técnicas SEMSIG-AETESS, 3ª Sesión; CEDEX, Naos Livros: Madrid, Spain, 2007. (In Spanish) [Google Scholar]
- Rodríguez-Ortiz, J.M. Actuaciones y rehabilitación en construcciones históricas y singulares. In Intervenciones en Cimentación: Técnicas Aplicables y Patología. Jornadas Técnicas SEMSIG-AETESS, 7ª Sesión; CEDEX, Naos Livros: Madrid, Spain, 2007. (In Spanish) [Google Scholar]
- ACI Committee 318. Building Code Requirements for Structural Concrete (ACI 318-02) and Commentary (ACI 318R-02); American Concrete Institute: Farmington Hills, MI, USA, 2002; p. 443. [Google Scholar]
- Akan, R. Examination of the behavior of the single anchored sheet piles in sand utilizing analytical and numerical methods. Arab. J. Geosci. 2021, 14, 1949. [Google Scholar] [CrossRef]
- Cyna, H.; Schlosser, F.; Frank, R.; Plumelle, C.; Estephan, R.; Altamayer, F.; Goulesco, N.; Juran, I.; Maurel, C.; Shahrour, I.; et al. FOREVER: Synthèse des Resultants et Recommandations du Project National sur les Micropieux (1999–2003); Presses de L’Ecole National des Ponts et Chaussées: Paris, France, 2004; pp. 1–347. (In French) [Google Scholar]
- Serrano-Alcudia, F. Patología de la Edificación. El Lenguaje de las Grietas, 1st ed.; Fundación Escuela de la Edificación: Madrid, España, 1998. (In Spanish) [Google Scholar]
- Martínez-Paz, J.M.; Pellicer-Martínez, F.; Colino, J. A probabilistic approach for the socioeconomic assessment of urban river rehabilitation projects. Land Use Policy 2014, 36, 468–477. [Google Scholar] [CrossRef]
- Marek, P.; Gustar, M.; Anagnos, T. Codified design of steel structures using Monte Carlo techniques. J. Constr. Steel Res. 1999, 52, 69–82. [Google Scholar] [CrossRef]
- Luo, R.F.; Wang, Y.F.; Xiao, W.F.; Zhao, X.Z. AlfphaTruss: Monte Carlo Tree Search for Optimal Truss Layout Design. Buildings 2022, 12, 641. [Google Scholar] [CrossRef]
- Grubišic, M.; Ivoševic, J.; Grubišic, A. Reliability analysis of reinforced concrete frame by finite element method with implicit limit state functions 1. Buildings 2019, 9, 119. [Google Scholar] [CrossRef]
- Nguyen, H.D.; Shin, M.; Torbol, M. Reliability assessment of a planar steel frame subjected to earthquakes in case of an implicit limit-state function. J. Build. Eng. 2020, 32, 101782. [Google Scholar] [CrossRef]
- Hoang, P.H.; Phan, H.N.; Nguyen, D.T.; Paolacci, F. Kriging Metamodel-Based Seismic Fragility Analysis of Single-Bent Reinforced Concrete Highway Bridges. Buildings 2021, 11, 238. [Google Scholar] [CrossRef]
- Vose, D. Risk Anaysis—A Quantitative Guide, 3rd ed.; John Wiley and Sons: London, UK, 2008. [Google Scholar]
- Pachla, H. Experimental verification of integrity of low-pressure injection piles structure—Pile internal capacity. Stud. Geotech. Mech. 2017, 39, 77–85. [Google Scholar] [CrossRef]
- Gatto, M.P.A.; Montrasio, L. Analysis of the Behaviour of Very Slender Piles: Focus on the Ultimate Load. Int. J. Civ. Eng. 2020, 19, 145–153. [Google Scholar] [CrossRef]
Disclaimer/Publisher’s Note: The statements, opinions and data contained in all publications are solely those of the individual author(s) and contributor(s) and not of MDPI and/or the editor(s). MDPI and/or the editor(s) disclaim responsibility for any injury to people or property resulting from any ideas, methods, instructions or products referred to in the content. |
© 2023 by the authors. Licensee MDPI, Basel, Switzerland. This article is an open access article distributed under the terms and conditions of the Creative Commons Attribution (CC BY) license (https://creativecommons.org/licenses/by/4.0/).





