Abstract
Benefitting from economic development and technological progress, long-span suspension bridges, with their superior span capacity and good economy, have been built in large numbers in recent decades. However, the excessive cumulative longitudinal displacement at the girder ends in the process of bridge operation leads to the degradation of, and fatigue damage to, the connecting components. This study aims to solve the problem with an effective parallel damping scheme of friction dampers and viscous dampers. Firstly, the phenomenon that quasi-static longitudinal displacement accounts for the majority of cumulative displacement is confirmed by the decomposition of measured displacement data at the girder end, which is caused by the asymmetric geometric deformation of the main cable induced by the moving vertical loads of a long-span suspension bridge. An efficient control performance analysis method is proposed based on the formation mechanism of the quasi-static longitudinal displacement. Secondly, the friction damper with a continuous damping model is employed to achieve an effective control performance with respect to the quasi-static longitudinal displacement. Thirdly, in order to realize the target of operational and seismic dual control, a parallel scheme of friction dampers and viscous dampers is proposed, aiming to reduce the cumulative value in the operational state, and maximum value in the seismic state, for longitudinal displacement at the girder ends of a long-span suspension bridge.
1. Introduction
With the development of economy and technology, the number of long-span suspension bridges has increased gradually in recent years. The suspension bridge is a priority selection for crossing wide rivers, deep valleys, and seas due to its superior spanning capability and good economy. Unlike girder bridges prone to collapse and damage in earthquakes, the suspension bridge possesses significant resistance against earthquakes due to its flexible floating girder system [1,2,3,4]. However, the suspension bridge is vulnerable to deformation via external excitations, such as wind and vehicles [5]. The longitudinal motion of the girder end of long-span suspension bridges has received more and more attention by industry and academia. In this case, an excessive cumulative displacement problem has occurred at the girder ends of long-span suspension bridges [6]. For example, Hu et al. [7] investigated the monitoring data of a 1175 m-span suspension bridge. They found that the cumulative longitudinal displacement at the girder ends exceeds 4000 m in only one month, which is far beyond the estimation of designers.
The excessive cumulative longitudinal displacement at the girder end of the long-span suspension bridge does indeed lead to degradation and fatigue damage of the connecting components, such expansion joints, bearings, and dampers [8]. In the process of operation of long-span suspension bridges, the damage of girder end-connecting components is increasing day by day. For example, Sun and Zhang [9] investigated Jiangyin bridge, a 1385 m-span suspension bridge crossing the Yangtze River. Fatigue damage was observed frequently in the expansion joints and sliding bearings. Even the expansion joints, newly replaced with viscous dampers, still suffered from fatigue damage.
In order to find out the causes of longitudinal motion at the girder ends of suspension bridges, more and more scholars conducted research through numerical simulation and theoretical analysis. For instance, Li et al. [10] conducted a vehicle–bridge dynamic analysis on a suspension bridge in a nonlinear analysis system and found that the hourly cumulative displacement at the girder end is linearly correlated with the traffic weight. Huang et al. [11] proposed an analytical analysis of a suspension bridge and found that moving vehicles lead to both vertical and longitudinal deformations. Nevertheless, the existing studies mainly focus on the mechanism of the longitudinal displacement at the girder ends of suspension bridges. Little attention has been paid to reduction of excessive cumulative longitudinal displacement and mitigation of fatigue damage of connecting components.
In the current practical engineering application, the fluid viscous damper is the most common damping device in suspension bridges [12]. However, the fluid viscous damper installed at the girder ends in the longitudinal direction is usually designed to alleviate the seismic response [13,14]. The control performance of the fluid viscous damper with velocity exponent greater than 0.3 to excessive cumulative longitudinal displacement is inefficient [15]. Moreover, the fluid viscous damper itself suffers from fatigue damage caused by excessive cumulative longitudinal displacement [9].
Based on the case studies of fluid viscous dampers in this paper, friction dampers can potentially address the excessive cumulative displacement problem. The frictional damping force is generally independent of the velocity of the motion [16]. It dissipates maximum energy due to the generation of the rectangular hysteretic loop compared with other hysteretic devices [17]. In fact, structural vibration control with friction dampers has been drawing increasing attention ever since it was introduced in civil engineering [18]. For instance, Zhu and Zhang [19] proposed a self-centering friction damping brace to mitigate the seismic response of the concentrically braced frame systems. The nonlinear time-history and pushover analysis show that the friction device can achieve a low seismic response level comparable to that of the BRB frame. Amjadian and Agrawal [20] utilized a solid friction mechanism in parallel with an eddy current damping mechanism to dissipate the input seismic energy through a smooth sliding in the damper. The numerical results show that the frictional damping device can efficiently reduce seismic responses. It can be observed that the existing studies on friction dampers are mainly focusing on seismic response mitigation, and, to the best knowledge of the authors, excessive cumulative displacement alleviation employing friction dampers has not emerged yet.
In view of this, an efficient control performance analysis method and an effective parallel damping scheme are proposed in this study. Firstly, the quasi-static longitudinal displacement portion, decomposed from the measured longitudinal displacement data at the girder end, is validated to occupy the majority of the cumulative displacement. An efficient control performance analysis method is proposed based on the formation mechanism of the quasi-static longitudinal displacement. Secondly, the friction damper with a continuous damping model is employed to achieve an effective control performance with respect to the quasi-static longitudinal displacement. Thirdly, a parallel scheme of a friction damper and a fluid viscous damper is proposed to solve the excessive cumulative longitudinal displacement problem and simultaneously achieve an effective control performance with respect to the seismic response.
2. Analysis of the Quasi-Static Longitudinal Displacement
In this section, the quasi-static longitudinal displacement was obtained by decomposing the longitudinal displacement history curve at the girder end of a long-span suspension bridge. The relationship between the quasi-static longitudinal displacement and the excessive cumulative displacement problem was revealed.
2.1. Decomposition Process
The time history curve of longitudinal displacement at the girder end under operation conditions contains several components induced by different causes, such as temperature, wind, and vehicles. A decomposition process was adopted to verify which portion contributes the most to the excessive cumulative displacement problem.
The health monitoring system is critical in civil infrastructure maintenance, including building, hydraulic, road and bridge engineering, etc. [21,22,23]. The structural health monitoring system installed on long-span bridges provides a good platform for studying the longitudinal movement of stiffening girders [24,25]. Figure 1 shows a typical 24-h displacement curve at the girder end of a long-span suspension bridge, which was captured by the structural health monitoring system. The suspension bridge taken into account here is a 1385 m single-span suspension bridge. It is noteworthy that the measured date was captured when no longitudinal dampers were installed on the bridge. The sampling frequency is 1 Hz.
Figure 1.
Longitudinal displacement history curve at the girder end of a long-span suspension bridge.
Therefore, the fast Fourier transform (FFT) was used to distinguish the different spectral characteristics of the portions contained in the displacement history curve. As presented in Figure 2, the displacement history curve contains three portions.
Figure 2.
The spectral characteristics of the longitudinal displacement history curve.
Firstly, the trend portion caused by the daily temperature variation changes only once in a 24 h period. This portion, proportional to the temperature, possesses the lowest predominant frequency. The frequency is 1/86,400 Hz because the daily temperature change period is 24 h (86,400 s) [26,27]. Secondly, the vibration portion scatters in a wide frequency band. This frequency band corresponds to the natural frequencies of the suspension bridge. This portion has the highest predominant frequencies and lowest amplitudes. Thirdly, the quasi-static portion, named for its relatively low predominant frequency, has a high peak value. This portion has a narrower frequency band and higher amplitude than the vibration portion.
Figure 3a shows that the temperature portion was extracted from the longitudinal displacement history curve using the empirical mode decomposition (EMD) method. The EMD method, proposed by Huang et al. [28], is a time–frequency domain tool that adaptively decomposes the signal in a sum of intrinsic mode functions (IMF) and a residual. As can be seen from Figure 3b, the EMD residual curve can be regarded as the temperature portion, and the sum of the IMFs curve represents the non-temperature part of the longitudinal displacement history curve.
Figure 3.
The decomposition process of the longitudinal displacement history curve: (a) the displacement curve and the temperature portion (the EMD residual); (b) the sum of the IMFs curve and the residual curve decomposed by the EMD method; (c) the spectral curves of the components decomposed by the AMD method; (d) the quasi-static portion and vibration portion decomposed by the AMD method.
The sum of the IMFs curve was bisected in the frequency domain to explore the characteristics of the quasi-static and vibration portions. In this paper, the bisecting process of the quasi-static and vibration portions was conducted using the analytical mode decomposition (AMD) method. The AMD method, developed with the Hilbert transform, can decompose the time domain signal effectively without changing the frequency properties of the original signal [29]. The bisect frequency is set to be 0.02 Hz. It can be seen from Figure 3c that the sum of the IMFs curve is decomposed into the quasi-static portion and vibration portion successfully.
Figure 3d shows the quasi-static and vibration history curve in the time domain. The two portions turn out to have different displacement amplitudes. The maximum and minimum values of the quasi-static portion are 93.4 and −118 mm, respectively. The maximum and minimum values of the vibration portion are 16 and −14.3 mm, respectively.
2.2. Cumulative Displacement Statistics Analysis
As detailed in the previous section, the quasi-static portion has a larger displacement amplitude, and the vibration portion has a smaller displacement amplitude. Based on this property, the proportion of each part in the cumulative longitudinal displacement at the girder ends of the suspension bridge can be obtained conveniently.
The rain flow counting method, commonly used to extract the closed loading cycles in fatigue research, was employed to decompose the measured longitudinal displacement history curve into a series of closed displacement cycles [30]. Therefore, the relationship between the peak-to-peak value and cycle counts is established. It is worth noting that the term ‘peak-to-peak value’ is defined as the difference value between the positive peak and negative peak in one cycle. The relationship histogram is plotted in Figure 4. The bin width of the peak-to-peak value was set to be 2 mm. As shown in Figure 4, the number of cycles with a peak-to-peak value in the range of 0–2 mm is 8034, and the cycle counts decrease as the peak-to-peak value increases.
Figure 4.
The relationship between the cycle counts and the range of the measured displacement.
Herein, the difference between the maximum and the minimum of the vibration portion, 30.3 mm (16 + 14.3 mm), is set as the boundary of the quasi-static portion and the vibration portion. The cycles with a peak-to-peak value bigger than 30.3 mm are regarded as quasi-static movement, and the other cycles are regarded as vibration movement. Obviously, this is a conservation boundary division criterion. The peak-to-peak value of the quasi-static portion will also be less than 30.3 mm. However, the cumulative longitudinal displacement statistics in this context are presented in Figure 5, and it can be seen that the quasi-static movement already contributes almost 80% of the cumulative longitudinal displacement.
Figure 5.
Statistical characteristics of the cumulative longitudinal displacement.
Consequently, the quasi-static movement in the longitudinal displacement history curve is the main target for controlling the excessive cumulative displacement at the girder ends of the long-span suspension bridge.
2.3. Formation Mechanism of the Quasi-Static Displacement
In order to mitigate the excessive cumulative displacement at the girder ends, it is necessary to investigate the formation mechanism of quasi-static movement. In this section, the formation mechanism is revealed based on the finite element method.
A finite element model of the suspension mentioned in Section 2.1 was established utilizing the software ANSYS to verify the formation mechanism of quasi-static movement at the girder ends of the long-span suspension bridge. The bridge finite element model is presented in Figure 6.
Figure 6.
Longitudinal displacement at the girder ends caused by the vertical force.
The spine beam model was used to simulate the steel box girder of the suspension bridge. The main tower and the girder were simplified into a two-node beam element and modeled by the BEAM4 element. For the purpose of achieving a high-level simulation accuracy, the girder was divided into 430 BEAM4 elements, whose length is less than or equal to 4.1 m. The main cables and the suspenders are simulated with the LINK10 element, which can reflect the elasticity property of the structure. Initial stress was set up to the main cables and suspenders to take into account their geometric stiffness under loads. The main cables were meshed at the suspension points. The entire structure is distributed into a number of elements and connected through the node on the boundary of adjacent elements. In total, 945 nodes and 948 elements were generated.
As the quasi-static movement is supposed to be induced by the vertical vehicle loading, a vertical loading of 2000 kN is assumed to be located at the right 1/4 span. According to Figure 7, significant longitudinal displacement occurs at the girder ends due to the deformation of the whole structural system of main cables, suspenders, and the stiffening girder. This formation mechanism of longitudinal displacement is often neglected when discussing the girder vibration problem of long-span suspension bridges.
Figure 7.
The influence lines of the left-end, mid-span, and right-end nodes.
One step further, the linkage between the formation mechanism of longitudinal displacement and quasi-static movement is illustrated. The longitudinal displacement influence lines are constructed when the vertical force moves from the left end node to the right end node. The influence lines of the left, mid-span, and right end nodes are plotted in Figure 7. The girder moves as a whole in the longitudinal direction. Moreover, the girder’s longitudinal displacement oscillation cycle can be observed when the vertical force moves from the left to the right.
According to Figure 7, the vertical force distribution variation on the girder will lead to longitudinal movement at the girder ends. When a vehicle drives through the bridge at 30 km/h (8.33 m/s), the longitudinal movement frequency is 0.014 Hz (8.33 m/s/1385 m = 0.006 Hz) based on the formation mechanism. This frequency matches well with the predominant frequency of the quasi-static movement 0.0059 Hz, compared with the predominant frequencies of the vibration portion, which is greater than 0.104 Hz.
In summary, the relationship between the vertical traffic load and the quasi-static movement is confirmed, and the formation mechanism is established. This formation mechanism can be employed to improve the computing efficiency of dynamic response analysis when employing different control methods.
2.4. Simplified Quasi-Static Displacement Response Analysis Method
Although the longitudinal quasi-static displacement response analysis can be conducted utilizing the random traffic flow load as the excitation, the simulation process is complicated and inefficient. In order to improve the calculation efficiency, we propose a novel quasi-static displacement response analysis method and simplify the random traffic flow load into a single point load based on the formation mechanism of quasi-static displacement.
The novel quasi-static displacement response analysis procedure flowchart is presented in Figure 8. It can be seen that the vital step is obtaining an equivalent force based on the quasi-static displacement history curve decomposed from the measured data. The foundation of obtaining an equivalent force is deriving the relation expression between the quasi-static displacement and the equivalent force.
Figure 8.
The novel quasi-static displacement response analysis procedure flowchart.
Therefore, assuming a vertical force is located at the right 1/4 span. The longitudinal displacement response can be obtained when the vertical force ranges from −3000 to 3000 kN, as shown in Figure 9. It can be seen that the longitudinal displacement is almost proportional to the vertical force. This way, the relationship between the equivalent vertical force and the longitudinal displacement is established.
Figure 9.
The relationship curve between the equivalent force and longitudinal displacement.
The relation expression between the equivalent vertical force and the longitudinal displacement can be obtained utilizing the polynomial fitting method as follows:
where is the longitudinal displacement at the left girder, and is the equivalent vertical force. The target curve and the fitted curve are plotted in Figure 10. The coefficient of determination of this curve fitting, namely, the R2 value, is calculated to be 0.999987. It can be seen that the two curves match very well.
Figure 10.
Curve fitting of the relationship between vertical force and longitudinal displacement.
Substitute the quasi-static displacement history curve shown in Figure 3d into the relation expression, and the equivalent force is easily obtained. Dynamic response analysis was conducted in ANSYS to illustrate the accuracy of the simplified quasi-static displacement response analysis method. The displacement response curve obtained from ANSYS and the quasi-static displacement curve decomposed from the measure data are plotted in Figure 11.
Figure 11.
Comparison of the FEM response result and the quasi-static displacement decomposed from the measure data.
The correlation coefficient was employed to assess the linear dependence of the two curves. The mean absolute percentage error (MAPE) value of the two curves is 7.5%. It indicates that the longitudinal displacement induced by the equivalent force matches well with the quasi-static displacement decomposed from measured data. The quasi-static displacement response analysis becomes much more efficient when the equivalent force is utilized.
In summary, the accuracy of the simplified quasi-static displacement response analysis method is validated. The calculation efficiency of the quasi-static displacement response is improved significantly.
3. Quasi-Static Displacement Control Performance Analysis
The control performance of the fluid viscous damper to the quasi-static displacement is investigated, and its low control efficiency is validated. Therefore, friction dampers are proposed to achieve a better control performance with respect to the quasi-static displacement. This section’s dynamic response analysis is conducted using the simplified method proposed in Section 2.4.
For the purpose of assessing the performance of dampers, the quasi-static displacement control ratio is defined as follows:
where is the quasi-static displacement control ratio, is the cumulative longitudinal displacement at the left girder end without dampers, and is the cumulative longitudinal displacement at the left girder with dampers. The higher the control ratio, the better the control performance. The schematic of the suspension bridge and dampers is plotted in Figure 12.
Figure 12.
The schematic of finite element model of suspension bridge and dampers.
3.1. Control Performance of the Fluid Viscous Dampers
The control performance of fluid viscous dampers is investigated utilizing the simplified quasi-static displacement response analysis method proposed in Section 2.4. The damping force of a nonlinear fluid viscous damper can be expressed as
where is the damping coefficient, is the relative velocity between the two ends of the damper, is the power parameter, and is the signum function. The damping coefficients were set to 900, 1200, 1500, and 1800 kN/(m/s). The power parameter was set to 0.3 and 0.4, which is the most common parameter in engineering practice.
The quasi-static displacement control ratio is calculated and presented in Figure 13. It can be seen that the control performance of the fluid viscous damper is not satisfactory, although the control ratio increases. The control ratio slightly increases when the damping coefficient increases from 900 to 1800 kN/(m/s), and the control ratio increases significantly when the power parameter decreases from 0.4 to 0.3.
Figure 13.
Control performance of fluid viscous damper to quasi-static displacement.
The control ratio only reaches 63.29% when the damping coefficient Is 1800 kN/(m/s) and the power parameter is 0.3. In this case, the maximum damping force is over 350 kN. However, this parameter optimization of fluid viscous damper will lead to a significant increase in costs. A more effective damping device is still required.
3.2. Control Performance of Friction Damper
In Section 3.1, it was observed that the decrease of the power parameter brings a noticeable improvement to the control ratio. Therefore, when setting the power parameter in Equation (3) to 0, the damping force becomes the Coulomb friction force, and the damping device becomes a friction damper.
The Coulomb friction damper model is used to model the tangential force between contact surfaces. This model is widely used in the engineering domain for its succinct expression formula. The frictional damping force is generally independent of the velocity and the frequency of the motion, which indicates that the frictional damping force is a constant. The damping force of the friction damper is defined as [31]:
where , is the frictional factor, is the normal contact force, is assumed to be constant in this paper, and is the signal function.
As can be seen in Equation (4), the magnitude of the friction force is constant, but its direction is always opposite to that of the sliding velocity. The sliding velocity direction often changes when considering the quasi-static displacement optimization problem. These frequent changes of the velocity direction will cause many discontinuities in the friction force and complicate the dynamic response analysis with the friction damper. The boundaries of sliding and non-sliding phases are identified by the zero crossing of the velocity. However, it is impossible to identify the exact times of zero crossing for the sliding velocity in a numerical analysis, no matter how small the integration steps.
In this context, a continuous function of the frictional damping model was taken into account in order to improve the efficiency of the response evaluation process. This continuous function eliminates the need for tracking the sliding and non-sliding phases and their transitions. The continuous function is given in Equation (5) [32].
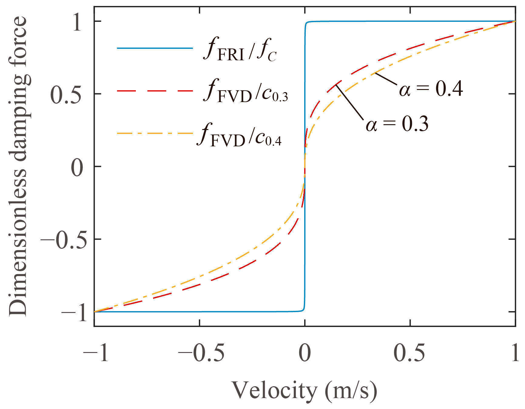
where is the continuous friction force, is the Coulomb friction, and is the constant controlling the curve shape. In this paper, the constant was set to be 10,000. The accuracy of this continuous function is verified by comparing the response of a single degree of freedom system obtained through numerical solutions. The comparison of the continuous function friction damping model and the viscous damping model is plotted in Figure 14.
Figure 14.
Comparison of the continuous function friction damping model and the viscous damping model.
It is noteworthy that the simulation of the continuous function model of the friction damper in ANSYS can be conducted by user-programmable features (UPFs) based on the Combin37 element.
The control performance calculation of the friction damper to quasi-static displacement is conducted. In this case, the Coulomb friction force ranges from 50 kN to 400 kN. The control ratio is presented in Figure 15. It can be seen that the friction damper is demonstrated to alleviate the excessive cumulative longitudinal displacement significantly. The control ratio increases to 86.59% when the Coulomb frictional force is set to 400 kN.
Figure 15.
Control performance of friction damper to quasi-static displacement.
However, it is noteworthy that the longitudinal dampers installed at the girder ends of the suspension bridge are usually designed to mitigate seismic responses. The seismic mitigation contribution of the friction damper to the suspension bridge must be investigated when utilizing it as the longitudinal damper installed between the girder end and tower.
The Coulomb friction force of the friction damper is a constant, which means that the damping force will not change with the increase of velocity. This is an obvious shortcoming compared with the viscous damper, which is speed dependent. For the purpose of controlling the seismic response, a relatively high friction force is needed. In this case, the excessive frictional damping force will lead to fatigue damage caused by high stress. Moreover, the floating system of the suspension bridge will be affected because the boundary condition has changed.
In this paper, a parallel scheme of a friction damper and a viscous damper is proposed to employ the outstanding control performance of the friction damper to quasi-static displacement under daily operation conditions, while taking advantage of the seismic control capacity of the viscous damper.
4. Parallel Scheme Control Performance Verification
The parallel scheme of a friction damper and a viscous damper, acting as the longitudinal damper installed on the suspension bridge, should not only alleviate the excessive cumulative longitudinal displacement, but also mitigate the seismic response at the girder ends. In this section, the control performance of the parallel scheme is validated.
4.1. Damping Performance to Quasi-Static Displacement
We can employ the multi-parametric sensitivity analysis method to assess the damping performance of the parallel scheme of a friction damper and a viscous damper to quasi-static displacement. The multi-parametric sensitivity analysis method can verify the damper parameters’ influence on the quasi-static displacement control ratio.
In this case, the damping coefficients were set to 0, 1000, 2000, and 3000 kN/(m/s), and the power parameter was set to 0.4. Moreover, the friction force was set to 0, 100, 200, 300, and 400 kN. The quasi-static control ratio response surface is obtained in Figure 16. It can be observed that the control ratio increases with the increment of the damping coefficient and friction force. Furthermore, the friction damper dominates in controlling quasi-static displacement.
Figure 16.
Control performance of parallel scheme to quasi-static displacement.
4.2. Damping Performance to Seismic Response
The seismic excitation is considered to be a zero-mean nonstationary Gaussian random process with the non-separable evolutionary power spectrum (EPS) [33]. In this study, it is taken as the generalized Kanai–Tajimi power spectrum as follows [34]:
where the time-dependent circular frequency of the site soil , the time-dependent damping ratio of the site soil , is the duration of the seismic excitation, which is set to 30 s, is the intensity modulation function with , is the time-varying intensity of the power spectrum in which the mean peak ground acceleration (PGA) , and its corresponding peak factor . Based on the non-separable EPS, a seismic excitation is generated and presented in Figure 17. The duration of the acceleration time history is 30 s, and the time step is 0.02 s.
Figure 17.
The generated seismic excitation sample.
Likewise, the seismic response control ratio is defined as Equation (9) to assess the mitigation performance to the earthquake:
where is the displacement response amplitude of the left girder end without dampers, and is the displacement response amplitude when the damper is installed.
The damping parameters of the parallel scheme are defined as the same as in the case in Section 4.1. The seismic response control ratios are obtained and plotted in Figure 18. It can be seen that the control ratio increases with the increment of the damping coefficient and friction force. The increment of friction force has a positive influence in controlling seismic response.
Figure 18.
Control performance of parallel scheme to the seismic response.
In this case, the control performance of the longitudinal dampers of a suspension bridge may be optimized with respect to three steps: Firstly, optimizing the Coulomb damping force of the friction damper to achieve the ideal control ratio to the excessive cumulative longitudinal displacement. The quasi-static displacement is much more sensitive to the friction force, compared with the fluid viscous damping force; Secondly, conducting the parametric optimal design of the fluid viscous damper to the seismic response. The seismic response at the girder ends is sensitive to the velocity-dependent damper, namely, the fluid viscous damper; Thirdly, verifying the response with respect to the parallel scheme of friction dampers and viscous dampers. In conclusion, the parallel scheme of friction dampers and viscous dampers can effectively reduce the excessive cumulative longitudinal displacement and achieve an effective control performance with respect to the seismic response.
5. Conclusions
In order to solve the excessive cumulative longitudinal displacement problem under operational conditions, and also achieve an efficient control performance with respect to the seismic response, an effective parallel scheme of friction dampers and fluid viscous dampers is proposed in the present study. The following conclusions may be drawn:
- (1)
- The signal decomposition and rain flow counting analysis of the measured data show that the quasi-static displacement portion contributes almost 80% of the cumulative longitudinal displacement. The quasi-static movement in the longitudinal displacement history curve is proven to be the main target for controlling the excessive cumulative displacement at the girder ends of the long-span suspension bridge;
- (2)
- A simplified evaluation method is proposed based on the formation mechanism of the quasi-static displacement, and an efficient quasi-static displacement control analysis is achieved. The accuracy was verified by comparing the response with the quasi-static displacement decomposed from the measured data. It is noteworthy that the prerequisite for utilizing this method is that the measured longitudinal displacement without damper has been obtained;
- (3)
- The friction damper is employed in this study to solve the excessive cumulative displacement problem. The results show that friction dampers possess a superior capacity in controlling the quasi-static displacement. The control ratio increases to 86.59% when the Coulomb frictional force is set to 400 kN in the case study;
- (4)
- A parallel scheme of friction dampers and fluid viscous dampers is proposed to control the quasi-static displacement and alleviate the seismic response. The effective control performance of the parallel scheme is validated under both operational and seismic conditions. In the case study, the control ratio to the quasi-static displacement reaches 94.16%, and the seismic response control ratio reaches 68.97% when the Coulomb friction force is set to 400 kN and the damping coefficient and velocity factor are set to 3000 kN/(m/s) and 0.4, respectively.
Author Contributions
Conceptualization, L.L. (Longteng Liang) and Z.F.; software, L.L. (Longteng Liang); validation, L.L. (Longteng Liang); investigation, Y.X. and L.L. (Linong Liang); writing—original draft preparation, L.L. (Longteng Liang); writing—review and editing, Z.F.; revising, Z.C. All authors have read and agreed to the published version of the manuscript.
Funding
This research was supported by the National Natural Science Foundation of China (No. 52178284 and 51708203), Natural Science Foundation of Hunan Province (No. 2021JJ30106), and The Opening Fund of Key Laboratory for Wind Engineering and Bridge Engineering of Hunan Province (No. 2022ZDK001).
Data Availability Statement
Not applicable.
Acknowledgments
The authors would like to thank Jiangsu Yangtze Highway Bridge Co., Ltd. for sharing the 24-h displacement monitoring data of girder end motion.
Conflicts of Interest
The authors declare no conflict of interest.
References
- Deng, L.; Wang, W.; Yu, Y. State-of-The-Art Review on the Causes and Mechanisms of Bridge Collapse. J. Perform. Constr. Facil. 2015, 30, 04015005. [Google Scholar] [CrossRef]
- Crespi, P.; Zucca, M.; Valente, M.; Longarini, N. Influence of Corrosion Effects on the Seismic Capacity of Existing RC Bridges. Eng. Fail. Anal. 2022, 140, 106546. [Google Scholar] [CrossRef]
- Zucca, M.; Crespi, P.; Stochino, F.; Puppio, M.L.; Coni, M. Maintenance Interventions Period of Existing RC Motorway Viaducts Located in Moderate/High Seismicity Zones. Structures 2023, 47, 976–990. [Google Scholar] [CrossRef]
- Miluccio, G.; Losanno, D.; Parisi, F.; Cosenza, E. Traffic-Load Fragility Models for Prestressed Concrete Girder Decks of Existing Italian Highway Bridges. Eng. Struct. 2021, 249, 113367. [Google Scholar] [CrossRef]
- Gao, D.; Deng, Z.; Yang, W.; Chen, W. Review of the Excitation Mechanism and Aerodynamic Flow Control of Vortex-Induced Vibration of the Main Girder for Long-Span Bridges: A Vortex-Dynamics Approach. J. Fluids Struct. 2021, 105, 103348. [Google Scholar] [CrossRef]
- Guo, T.; Liu, J.; Zhang, Y.; Pan, S. Displacement Monitoring and Analysis of Expansion Joints of Long-Span Steel Bridges with Viscous Dampers. J. Bridge Eng. 2015, 20, 04014099. [Google Scholar] [CrossRef]
- Hu, J.; Wang, L.; Song, X.; Sun, Z.; Cui, J.; Huang, G. Field Monitoring and Response Characteristics of Longitudinal Movements of Expansion Joints in Long-Span Suspension Bridges. Measurement 2020, 162, 107933. [Google Scholar] [CrossRef]
- Guo, T.; Liu, J.; Huang, L. Investigation and Control of Excessive Cumulative Girder Movements of Long-Span Steel Suspension Bridges. Eng. Struct. 2016, 125, 217–226. [Google Scholar] [CrossRef]
- Sun, Z.; Zhang, Y. Failure Mechanism of Expansion Joints in a Suspension Bridge. J. Bridge Eng. 2016, 21, 05016005. [Google Scholar] [CrossRef]
- Li, G.; Han, W.; Chen, X.; Guo, T.; Xie, Q.; Yuan, Y. Wear Evaluation on Slide Bearings in Expansion Joints Based on Cumulative Displacement for Long-Span Suspension Bridge under Monitored Traffic Flow. J. Perform. Constr. Facil. 2020, 34, 04019106. [Google Scholar] [CrossRef]
- Huang, G.; Hu, J.; Hua, X.; Feng, Z.; Chen, Z.; Wan, T. Analytic Solution to Longitudinal Deformation of Suspension Bridges under Live Loads. J. Bridge Eng. 2023, 28, 04022147. [Google Scholar] [CrossRef]
- Pan, S.; Wang, J.; Fan, S.; Tian, K.; Zhu, W. Comparative Analysis of Buffer and Damper Positions for Increasing the Seismic Performance of Suspension Bridge. Buildings 2023, 13, 81. [Google Scholar] [CrossRef]
- Feng, D.; Wang, J. Seismic Control of a Self-Anchored Suspension Bridge Using Fluid Viscous Dampers. Int. J. Struct. Stab. Dyn. 2021, 21, 2150025. [Google Scholar] [CrossRef]
- Xian, J.; Su, C. Stochastic Optimization of Uncertain Viscous Dampers for Energy-Dissipation Structures under Random Seismic Excitations. Mech. Syst. Signal Process. 2022, 164, 108208. [Google Scholar] [CrossRef]
- Zhao, Y.; Huang, P.; Long, G.; Yuan, Y.; Sun, Y. Influence of Fluid Viscous Damper on the Dynamic Response of Suspension Bridge under Random Traffic Load. Adv. Civ. Eng. 2020, 2020, 1857378. [Google Scholar] [CrossRef]
- Miguel, L.F.F.; Fadel Miguel, L.F.; Lopez, R.H. A Firefly Algorithm for the Design of Force and Placement of Friction Dampers for Control of Man-Induced Vibrations in Footbridges. Optim. Eng. 2015, 16, 633–661. [Google Scholar] [CrossRef]
- Weber, F.; Høgsberg, J.; Krenk, S. Optimal Tuning of Amplitude Proportional Coulomb Friction Damper for Maximum Cable Damping. J. Struct. Eng. 2010, 136, 123–134. [Google Scholar] [CrossRef]
- Jaisee, S.; Yue, F.; Ooi, Y.H. A State-of-the-Art Review on Passive Friction Dampers and Their Applications. Eng. Struct. 2021, 235, 112022. [Google Scholar] [CrossRef]
- Zhu, S.; Zhang, Y. Seismic Analysis of Concentrically Braced Frame Systems with Self-Centering Friction Damping Braces. J. Struct. Eng. 2008, 134, 121–131. [Google Scholar] [CrossRef]
- Amjadian, M.; Agrawal, A.K. A Passive Electromagnetic Eddy Current Friction Damper (PEMECFD): Theoretical and Analytical Modeling. Struct. Control Health Monit. 2017, 24, e1978. [Google Scholar] [CrossRef]
- Li, H.-N.; Ren, L.; Jia, Z.-G.; Yi, T.-H.; Li, D.-S. State-of-the-Art in Structural Health Monitoring of Large and Complex Civil Infrastructures. J. Civ. Struct. Health Monit. 2016, 6, 3–16. [Google Scholar] [CrossRef]
- Que, Y.; Dai, Y.; Ji, X.; Kwan Leung, A.; Chen, Z.; Jiang, Z.; Tang, Y. Automatic Classification of Asphalt Pavement Cracks Using a Novel Integrated Generative Adversarial Networks and Improved VGG Model. Eng. Struct. 2023, 277, 115406. [Google Scholar] [CrossRef]
- Tang, Y.; Huang, Z.; Chen, Z.; Chen, M.; Zhou, H.; Zhang, H.; Sun, J. Novel Visual Crack Width Measurement Based on Backbone Double-Scale Features for Improved Detection Automation. Eng. Struct. 2023, 274, 115158. [Google Scholar] [CrossRef]
- Sun, Z.; Zou, Z.; Zhang, Y. Utilization of Structural Health Monitoring in Long-Span Bridges: Case Studies. Struct. Control Health Monit. 2017, 24, e1979. [Google Scholar] [CrossRef]
- Zhang, Y.-M.; Wang, H.; Bai, Y.; Mao, J.-X.; Xu, Y.-C. Bayesian Dynamic Regression for Reconstructing Missing Data in Structural Health Monitoring. Struct. Health Monit. 2022, 21, 14759217211053780. [Google Scholar] [CrossRef]
- Ni, Y.Q.; Hua, X.G.; Wong, K.Y.; Ko, J.M. Assessment of Bridge Expansion Joints Using Long-Term Displacement and Temperature Measurement. J. Perform. Constr. Facil. 2007, 21, 143–151. [Google Scholar] [CrossRef]
- Yang, D.; Youliang, D.; Aiqun, L. Structural Condition Assessment of Long-Span Suspension Bridges Using Long-Term Monitoring Data. Earthq. Eng. Eng. Vib. 2010, 9, 123–131. [Google Scholar] [CrossRef]
- Huang, N.E.; Shen, Z.; Long, S.R.; Wu, M.C.; Shih, H.H.; Zheng, Q.; Yen, N.-C.; Tung, C.C.; Liu, H.H. The Empirical Mode Decomposition and the Hilbert Spectrum for Nonlinear and Non-Stationary Time Series Analysis. Proc. R. Soc. Lond. Ser. A 1998, 454, 903–998. [Google Scholar] [CrossRef]
- Chen, G.; Wang, Z. A Signal Decomposition Theorem with Hilbert Transform and Its Application to Narrowband Time Series with Closely Spaced Frequency Components. Mech. Syst. Signal Process. 2012, 28, 258–279. [Google Scholar] [CrossRef]
- Marsh, G.; Wignall, C.; Thies, P.R.; Barltrop, N.; Incecik, A.; Venugopal, V.; Johanning, L. Review and Application of Rainflow Residue Processing Techniques for Accurate Fatigue Damage Estimation. Int. J. Fatigue 2016, 82, 757–765. [Google Scholar] [CrossRef]
- Mostaghel, N.; Davis, T. Representations of Coulomb Friction for Dynamic Analysis. Earthq. Eng. Struct. Dyn. 1997, 26, 541–548. [Google Scholar] [CrossRef]
- Miguel, L.F.F.; Miguel, L.F.F.; Lopez, R.H. Robust Design Optimization of Friction Dampers for Structural Response Control. Struct. Control Health Monit. 2014, 21, 1240–1251. [Google Scholar] [CrossRef]
- Fan, F.-G.; Ahmadi, G. Nonstationary Kanai-Tajimi Models for El Centro 1940 and Mexico City 1985 Earthquakes. Probabilistic Eng. Mech. 1990, 5, 171–181. [Google Scholar] [CrossRef]
- Liu, Z.; Liu, Z.; Chen, D. Probability Density Evolution of a Nonlinear Concrete Gravity Dam Subjected to Nonstationary Seismic Ground Motion. J. Eng. Mech. 2018, 144, 04017157. [Google Scholar] [CrossRef]
Disclaimer/Publisher’s Note: The statements, opinions and data contained in all publications are solely those of the individual author(s) and contributor(s) and not of MDPI and/or the editor(s). MDPI and/or the editor(s) disclaim responsibility for any injury to people or property resulting from any ideas, methods, instructions or products referred to in the content. |
© 2023 by the authors. Licensee MDPI, Basel, Switzerland. This article is an open access article distributed under the terms and conditions of the Creative Commons Attribution (CC BY) license (https://creativecommons.org/licenses/by/4.0/).

















