Sign in to use this feature.

Years

Between: -

Subjects

remove_circle_outline
remove_circle_outline
remove_circle_outline
remove_circle_outline
remove_circle_outline
remove_circle_outline
remove_circle_outline
remove_circle_outline
remove_circle_outline

Journals

remove_circle_outline
remove_circle_outline
remove_circle_outline

Article Types

Countries / Regions

Search Results (267)

Search Parameters:
Keywords = cumulative displacement

Order results
Result details
Results per page
Select all
Export citation of selected articles as:
15 pages, 14032 KB  
Article
Preliminary Study on the Activity of the Rupture Zone in the Eastern Segment of the Ba Co Fault in Ngari Prefecture, Tibet
by Yunsheng Yao, Yanxiu Shao and Bo Zhang
Geosciences 2025, 15(10), 377; https://doi.org/10.3390/geosciences15100377 - 1 Oct 2025
Abstract
The lack of research on the slip behavior of the NW-trending faults in the central Tibetan Plateau constrains our understanding of the deformation models for this region. The Ba Co Fault, located in the central Tibetan Plateau, is a NW–SE-trending right-lateral strike-slip fault. [...] Read more.
The lack of research on the slip behavior of the NW-trending faults in the central Tibetan Plateau constrains our understanding of the deformation models for this region. The Ba Co Fault, located in the central Tibetan Plateau, is a NW–SE-trending right-lateral strike-slip fault. Its eastern section has been active in the Holocene and plays an important accommodating role in the northward compression and east–west extension of the Tibetan Plateau. This study presents a detailed analysis of the geomorphic features of the eastern section of the Ba Co Fault in the Ngari Prefecture of Tibet, precisely measuring the newly discovered surface rupture zone on its eastern side and preliminarily discussing the activity of the fault based on the optically stimulated luminescence (OSL) dating results. The results reveal that the eastern segment of the Ba Co Fault displays geomorphic evidence of offset, including displaced Holocene alluvial–fluvial fans at the mountain front and partially offset ridges. A series of pressure ridges, trenches, counter-slope scarps, and shutter ridge ponds have developed along the fault trace. Some gullies exhibit a cumulative dextral displacement of approximately 16–52 m. The newly discovered co-seismic surface rupture zone extends for a total length of ~21 km, with a width ranging from 30 to 102 m. Pressure ridges within the rupture zone reach heights of 0.3–5.5 m, while trenches exhibit depths of 0.6–15 m. Optically stimulated luminescence (OSL) dating constrains the timing of the surface-rupturing earthquake to after 5.73 ± 0.17 ka. The eastern segment of the Ba Co Fault experienced a NW-trending compressional deformation regime during the Holocene, manifesting as a transpressional dextral strike-slip fault. Magnitude estimation indicates that this segment possesses the potential to generate earthquakes of M ≥ 6. The regional tectonic analysis indicates that the activity of the eastern section of the Ba Co Fault is related to the shear model of the conjugate strike-slip fault zone in the central Tibetan Plateau and may play a boundary role between different shear zones. Full article
Show Figures

Figure 1

12 pages, 1583 KB  
Article
Evolution Mechanism of Permeability Characteristics of Shale Reservoirs During Supercritical Fluid Fracturing and Displacement
by Yaobai Sun, Kang Yang, Qiao Chen, Hong Yin and Yongchang Liang
Appl. Sci. 2025, 15(18), 10043; https://doi.org/10.3390/app151810043 - 14 Sep 2025
Viewed by 268
Abstract
Supercritical CO2 (ScCO2)-enhanced shale gas recovery technology offers dual advantages: improving shale gas recovery while reducing CO2 emissions. The permeability of shale reservoirs during CO2 displacement of CH4 is a crucial issue in evaluating the efficacy of [...] Read more.
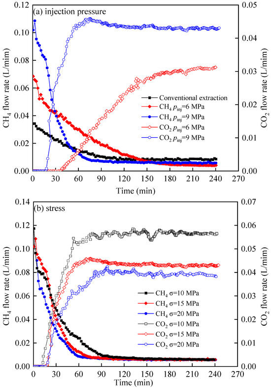
Supercritical CO2 (ScCO2)-enhanced shale gas recovery technology offers dual advantages: improving shale gas recovery while reducing CO2 emissions. The permeability of shale reservoirs during CO2 displacement of CH4 is a crucial issue in evaluating the efficacy of shale gas production and CO2 sequestration. In this study, ScCO2 fracturing and displacement experiments were carried out for shale samples, and the fracturing and permeability characteristics of shale were analyzed. The findings indicate that ScCO2 significantly enhances fracturing and permeability, with an overall increase in permeability by three orders of magnitude. Higher injection pressures and lower stress lead to an earlier breakthrough of CO2. The CH4 production rate after CO2 displacement is higher than that under conventional recovery conditions. The cumulative flow of CH4 initially rises with increasing pressure of injection, but subsequently declines throughout the later phases of displacement, leading to a reduced CO2 storage rate and CH4 generation rate. High stress can inhibit CO2 injection and CH4 outflow, reduce CH4 production rate, and promote shale to preferentially adsorb CO2, resulting in higher CO2 storage rate. Full article
(This article belongs to the Special Issue Supercritical Fluid in Industrial Applications)
Show Figures

Figure 1

22 pages, 2350 KB  
Article
Calculation of Ultimate Ductility Index Based on Hysteretic Energy Analysis of the Restoring Force Curve
by Huang-Bin Lin
Buildings 2025, 15(17), 3152; https://doi.org/10.3390/buildings15173152 - 2 Sep 2025
Viewed by 449
Abstract
This study proposes an energy-based framework for evaluating the seismic ductility of reinforced concrete (RC) structures using restoring force hysteresis curves. A custom-developed tool, the Damage Energy Calculation Program (DECP), is introduced to compute cumulative hysteretic energy and corresponding damage indices from experimental [...] Read more.
This study proposes an energy-based framework for evaluating the seismic ductility of reinforced concrete (RC) structures using restoring force hysteresis curves. A custom-developed tool, the Damage Energy Calculation Program (DECP), is introduced to compute cumulative hysteretic energy and corresponding damage indices from experimental data. Seven methods for identifying yield displacement and yield load are examined, encompassing stiffness-based and energy-based techniques, including the conditional yield method, secant stiffness method, and double energy equivalence method. These methods are applied to a series of experimental restoring force curves (SP01 to SP10). Among them, the double energy equivalence method demonstrates the highest accuracy in capturing the yield state. Additionally, a novel ductility index based on the maximum energy envelope is proposed. Comparative analysis shows that this new index exhibits trends consistent with the double energy equivalence approach, highlighting its potential as a reliable alternative. The DECP tool significantly improves the consistency and efficiency of ductility assessment and offers practical support for energy-based damage evaluation in structural performance analysis. Full article
(This article belongs to the Section Building Structures)
Show Figures

Figure 1

15 pages, 3325 KB  
Article
Model Test of Strip Footing Behavior on Embankment Reinforced with Geogrid with Strengthened Nodes Under Static and Dynamic Loadings
by Chengchun Qiu, Zhuyi Xu, Dan Zhang and Mengxi Zhang
Polymers 2025, 17(17), 2331; https://doi.org/10.3390/polym17172331 - 28 Aug 2025
Viewed by 646
Abstract
The rapid development of transportation infrastructure in mountainous terrains, soft-soil foundations, and high-fill embankments poses stability challenges for conventional embankments, driving the application of advanced three-dimensional reinforced soil technologies. Geogrid with Strengthened Nodes (GSN) is one such innovation, forming a three-dimensional structure by [...] Read more.
The rapid development of transportation infrastructure in mountainous terrains, soft-soil foundations, and high-fill embankments poses stability challenges for conventional embankments, driving the application of advanced three-dimensional reinforced soil technologies. Geogrid with Strengthened Nodes (GSN) is one such innovation, forming a three-dimensional structure by placing block-shaped nodes at geogrid rib intersections. Current research on GSN focuses mainly on pullout tests and numerical simulations, while model-scale studies of its load-bearing deformation behavior and soil pressure distribution remain scarce. This study presents laboratory model tests to assess the reinforcement performance of GSN-reinforced embankments under static and dynamic strip loads. Under static loading, the ultimate bearing capacity of GSN-reinforced embankments increased by 74.58% compared with unreinforced cases and by 26.2% compared with conventional geogrids. Under dynamic loading, cumulative settlement decreased by 32.82%, and lateral displacement at the slope crest was reduced by 64.34%. The strengthened node design improved soil shear strength and controlled lateral deformation via enhanced lateral resistance, creating a more stable “reinforced zone” that alleviated local stress concentrations. Overall, GSN significantly enhanced embankment bearing capacity and stability, outperforming traditional geogrid reinforcement under both static and dynamic conditions, and providing a promising solution for challenging geotechnical environments. Full article
(This article belongs to the Special Issue Mechanics of Polymer-Based Soft Materials)
Show Figures

Figure 1

33 pages, 22259 KB  
Article
Open-Pit Slope Stability Analysis Integrating Empirical Models and Multi-Source Monitoring Data
by Yuyin Cheng and Kepeng Hou
Appl. Sci. 2025, 15(17), 9278; https://doi.org/10.3390/app15179278 - 23 Aug 2025
Viewed by 730
Abstract
Slope stability monitoring in open-pit mining remains a critical challenge for geological hazard prevention, where conventional qualitative methods often fail to address dynamic risks. This study proposes an integrated framework combining empirical modeling (slope classification, hazard assessment, and safety ratings) with multi-source real-time [...] Read more.
Slope stability monitoring in open-pit mining remains a critical challenge for geological hazard prevention, where conventional qualitative methods often fail to address dynamic risks. This study proposes an integrated framework combining empirical modeling (slope classification, hazard assessment, and safety ratings) with multi-source real-time monitoring (synthetic aperture radar, machine vision, and Global Navigation Satellite System) to achieve quantitative stability analysis. The method establishes an initial stability baseline through mechanical modeling (Bishop/Morgenstern–Price methods, safety factors: 1.35–1.75 across five mine zones) and dynamically refines it via 3D terrain displacement tracking (0.02 m to 0.16 m average cumulative displacement, 1 h sampling). Key innovations include the following: (1) a convex hull-displacement dual-criterion algorithm for automated sensitive zone identification, reducing computational costs by ~40%; (2) Ku-band synthetic aperture radar subsurface imaging coupled with a Global Navigation Satellite System and vision for centimeter-scale 3D modeling; and (3) a closed-loop feedback mechanism between empirical and real-time data. Field validation at a 140 m high phosphate mine slope demonstrated robust performance under extreme conditions. The framework advances slope risk management by enabling proactive, data-driven decision-making while maintaining compliance with safety standards. Full article
(This article belongs to the Special Issue Novel Technologies in Intelligent Coal Mining)
Show Figures

Figure 1

21 pages, 6814 KB  
Article
Urban Land Subsidence Analyzed Through Time-Series InSAR Coupled with Refined Risk Modeling: A Wuhan Case Study
by Lv Zhou, Liqi Liang, Quanyu Chen, Haotian He, Hongming Li, Jie Qin, Fei Yang, Xinyi Li and Jie Bai
ISPRS Int. J. Geo-Inf. 2025, 14(9), 320; https://doi.org/10.3390/ijgi14090320 - 22 Aug 2025
Viewed by 785
Abstract
Due to extensive soft soil and high human activities, Wuhan is a hotspot for land subsidence. This study used the time-series InSAR to calculate the spatial and temporal distribution map of subsidence in Wuhan and analyze the causes of subsidence. An improved fuzzy [...] Read more.
Due to extensive soft soil and high human activities, Wuhan is a hotspot for land subsidence. This study used the time-series InSAR to calculate the spatial and temporal distribution map of subsidence in Wuhan and analyze the causes of subsidence. An improved fuzzy analytic hierarchy process (GD-FAHP) was proposed and integrated with the Entropy Weight Method (EWM) to assess the hazard and vulnerability of land subsidence using multiple evaluation factors, thereby deriving the spatial distribution characteristics of subsidence risk in Wuhan. Results indicated the following: (1) Maximum subsidence rates reached −49 mm/a, with the most severe deformation localized in Hongshan District, exhibiting a cumulative displacement of −135 mm. Comparative validation between InSAR results and leveling was conducted, demonstrating the reliability of InSAR monitoring. (2) Areas with frequent urban construction largely coincided with subsidence locations. In addition, the analysis indicated that rainfall and hydrogeological conditions were also correlated with land subsidence. (3) The proposed risk assessment model effectively identified high-risk areas concentrated in central urban zones, particularly the Hongshan and Wuchang Districts. This research establishes a methodological framework for urban hazard mitigation and provides actionable insights for subsidence risk reduction strategies. Full article
(This article belongs to the Topic Geotechnics for Hazard Mitigation, 2nd Edition)
Show Figures

Figure 1

32 pages, 32119 KB  
Article
Experimental Study on Improving the Strength and Ductility of Prefabricated Concrete Bridge Piers Using GFRP Tube Confinement
by Hanhui Ye, Haoyang Zhou, Hehui Peng, Jiahui Ye and Zhanyu Bu
Buildings 2025, 15(17), 2981; https://doi.org/10.3390/buildings15172981 - 22 Aug 2025
Viewed by 325
Abstract
The application of precast assembled pier systems in high-seismicity regions is often constrained by their seismic performance limitations. To validate the optimization effect of GFRP confinement on the hysteretic performance of bridge piers, this study first conducted axial compression tests on 54 glass [...] Read more.
The application of precast assembled pier systems in high-seismicity regions is often constrained by their seismic performance limitations. To validate the optimization effect of GFRP confinement on the hysteretic performance of bridge piers, this study first conducted axial compression tests on 54 glass fiber-reinforced polymer (GFRP)-confined concrete cylindrical specimens. The investigation focused on the effects of fiber layers (6 and 10), orientation angles (±45°, ±60°, ±80°), slenderness ratios (2 and 4), and compression section configurations (fully loaded vs. core concrete loading only) on confinement efficacy. The experimental results demonstrate that specimens with ±60° fiber angles achieved an optimal balance between strength and ductility, exhibiting an average strength enhancement of 298.0% and a maximum axial strain of 2.7% compared to unconfined concrete. Subsequently, two GFRP tube-confined concrete bridge piers with varying fiber layers (PRCG1: 6 layers; PRCG2: 10 layers) and one unconfined reference pier (PRC) were designed and fabricated. All specimens employed grout-filled sleeves to connect caps and piers. Pseudo-static tests revealed that GFRP confinement effectively mitigated damage in plastic hinge zones and enhanced seismic performance. Compared to the PRC, PRCG1 and PRCG2 exhibited increases in ultimate displacement by 19.50% and 28.57%, in ductility coefficients by 18.56% and 27.84%, and in cumulative hysteretic energy dissipation by 13.90% and 26.43%, respectively. At the 5% drift ratio, their load capacities increased by 26.74% and 23.25%, stiffnesses improved by 28.91% and 25.51%, and residual displacements decreased by 20.89% and 11.17%. The accuracy and applicability of the GFRP tube-confined bridge pier model, developed based on the Lam–Teng model, were validated through numerical simulations using the OpenSees fiber element approach. Full article
(This article belongs to the Section Building Materials, and Repair & Renovation)
Show Figures

Figure 1

22 pages, 2839 KB  
Article
Multi-Scale Image Defogging Network Based on Cauchy Inverse Cumulative Function Hybrid Distribution Deformation Convolution
by Lu Ji and Chao Chen
Sensors 2025, 25(16), 5088; https://doi.org/10.3390/s25165088 - 15 Aug 2025
Viewed by 445
Abstract
The aim of this study was to address the issue of significant performance degradation in existing defogging algorithms under extreme fog conditions. Traditional Taylor series-based deformable convolutions are limited by local approximation errors, while the heavy-tailed characteristics of the Cauchy distribution can more [...] Read more.
The aim of this study was to address the issue of significant performance degradation in existing defogging algorithms under extreme fog conditions. Traditional Taylor series-based deformable convolutions are limited by local approximation errors, while the heavy-tailed characteristics of the Cauchy distribution can more successfully model outliers in fog images. The following improvements are made: (1) A displacement generator based on the inverse cumulative distribution function (ICDF) of the Cauchy distribution is designed to transform uniform noise into sampling points with a long-tailed distribution. A novel double-peak Cauchy ICDF is proposed to dynamically balance the heavy-tailed characteristics of the Cauchy ICDF, enhancing the modeling capability for sudden changes in fog concentration. (2) An innovative Cauchy–Gaussian fusion module is proposed to dynamically learn and generate hybrid coefficients, combining the complementary advantages of the two distributions to dynamically balance the representation of smooth regions and edge details. (3) Tree-based multi-path and cross-resolution feature aggregation is introduced, achieving local–global feature adaptive fusion through adjustable window sizes (3/5/7/11) for parallel paths. Experiments on the RESIDE dataset demonstrate that the proposed method achieves a 2.26 dB improvement in the peak signal-to-noise ratio compared to that obtained with the TaylorV2 expansion attention mechanism, with an improvement of 0.88 dB in heavily hazy regions (fog concentration > 0.8). Ablation studies validate the effectiveness of Cauchy distribution convolution in handling dense fog and conventional lighting conditions. This study provides a new theoretical perspective for modeling in computer vision tasks, introducing a novel attention mechanism and multi-path encoding approach. Full article
Show Figures

Figure 1

19 pages, 3924 KB  
Article
Seismic Performance of Steel Structures with Base-Hinged Columns Under Rigidly and Flexibly Braced Systems
by Chenwei Shi, Chuntao Zhang, Renbing An and Yongxiang Cai
Buildings 2025, 15(16), 2881; https://doi.org/10.3390/buildings15162881 - 14 Aug 2025
Viewed by 464
Abstract
Steel structures with base-hinged columns are one of the typical forms adopted for rural housing in villages and towns due to their superior seismic resistance, energy efficiency, and environmental benefits. The lateral bracing system plays a crucial role in the ability of steel [...] Read more.
Steel structures with base-hinged columns are one of the typical forms adopted for rural housing in villages and towns due to their superior seismic resistance, energy efficiency, and environmental benefits. The lateral bracing system plays a crucial role in the ability of steel frames with base-hinged columns to resist horizontal forces. This study investigates the impact of rigid and flexible bracing on the seismic performance of such structures, emphasizing that enhanced ductility—particularly in flexibly braced frames—is essential for seismic resilience in earthquake-prone areas. Two full-scale steel frame models, one with rigid bracing and the other with flexible bracing, were fabricated based on typical rural housing designs and subjected to low-cycle reversed loading tests. The results indicate that the rigidly braced frame undergoes brittle failure, characterized by fractures and buckling at bracing intersections. In contrast, the flexibly braced frame exhibits ductile failure, identified by the bending deformation of tension rods. Despite the flexibly braced frame reaching a peak-load bearing capacity that is only 69.1% (positive direction) and 76.0% (negative direction) of the rigidly braced frame, it achieves ultimate displacements 2.7 times (positive direction) and 2.5 times (negative direction) greater. Additionally, the flexibly braced frame exhibits a stable energy dissipation capacity, with cumulative energy dissipation 1.49 times that of the rigidly braced frame. Numerical simulations were conducted to develop finite element models for both rigidly and flexibly braced frames. The resulting failure characteristics and bearing capacities of the frames were obtained, providing further validation of the experimental results. These findings provide data-supported evidence for promoting steel structures with base-hinged columns in rural housing applications. Full article
Show Figures

Figure 1

37 pages, 23165 KB  
Article
Leveraging High-Frequency UAV–LiDAR Surveys to Monitor Earthflow Dynamics—The Baldiola Landslide Case Study
by Francesco Lelli, Marco Mulas, Vincenzo Critelli, Cecilia Fabbiani, Melissa Tondo, Marco Aleotti and Alessandro Corsini
Remote Sens. 2025, 17(15), 2657; https://doi.org/10.3390/rs17152657 - 31 Jul 2025
Viewed by 844
Abstract
UAV platforms equipped with RTK positioning and LiDAR sensors are increasingly used for landslide monitoring, offering frequent, high-resolution surveys with broad spatial coverage. In this study, we applied high-frequency UAV-based monitoring to the active Baldiola earthflow (Northern Apennines, Italy), integrating 10 UAV–LiDAR and [...] Read more.
UAV platforms equipped with RTK positioning and LiDAR sensors are increasingly used for landslide monitoring, offering frequent, high-resolution surveys with broad spatial coverage. In this study, we applied high-frequency UAV-based monitoring to the active Baldiola earthflow (Northern Apennines, Italy), integrating 10 UAV–LiDAR and photogrammetric surveys, acquired at average intervals of 14 days over a four-month period. UAV-derived orthophotos and DEMs supported displacement analysis through homologous point tracking (HPT), with robotic total station measurements serving as ground-truth data for validation. DEMs were also used for multi-temporal DEM of Difference (DoD) analysis to assess elevation changes and identify depletion and accumulation patterns. Displacement trends derived from HPT showed strong agreement with RTS data in both horizontal (R2 = 0.98) and vertical (R2 = 0.94) components, with cumulative displacements ranging from 2 m to over 40 m between April and August 2024. DoD analysis further supported the interpretation of slope processes, revealing sector-specific reactivations and material redistribution. UAV-based monitoring provided accurate displacement measurements, operational flexibility, and spatially complete datasets, supporting its use as a reliable and scalable tool for landslide analysis. The results support its potential as a stand-alone solution for both monitoring and emergency response applications. Full article
Show Figures

Figure 1

21 pages, 5188 KB  
Article
Radar Monitoring and Numerical Simulation Reveal the Impact of Underground Blasting Disturbance on Slope Stability
by Chi Ma, Zhan He, Peitao Wang, Wenhui Tan, Qiangying Ma, Cong Wang, Meifeng Cai and Yichao Chen
Remote Sens. 2025, 17(15), 2649; https://doi.org/10.3390/rs17152649 - 30 Jul 2025
Viewed by 570
Abstract
Underground blasting vibrations are a critical factor influencing the stability of mine slopes. However, existing studies have yet to establish a quantitative relationship or clarify the underlying mechanisms linking blasting-induced vibrations and slope deformation. Taking the Shilu Iron Mine as a case study, [...] Read more.
Underground blasting vibrations are a critical factor influencing the stability of mine slopes. However, existing studies have yet to establish a quantitative relationship or clarify the underlying mechanisms linking blasting-induced vibrations and slope deformation. Taking the Shilu Iron Mine as a case study, this research develops a dynamic mechanical response model of slope stability that accounts for blasting loads. By integrating slope radar remote sensing data and applying the Pearson correlation coefficient, this study quantitatively evaluates—for the first time—the correlation between underground blasting activity and slope surface deformation. The results reveal that blasting vibrations are characterized by typical short-duration, high-amplitude pulse patterns, with horizontal shear stress identified as the primary trigger for slope shear failure. Both elevation and lithological conditions significantly influence the intensity of vibration responses: high-elevation areas and structurally loose rock masses exhibit greater dynamic sensitivity. A pronounced lag effect in slope deformation was observed following blasting, with cumulative displacements increasing by 10.13% and 34.06% at one and six hours post-blasting, respectively, showing a progressive intensification over time. Mechanistically, the impact of blasting on slope stability operates through three interrelated processes: abrupt perturbations in the stress environment, stress redistribution due to rock mass deformation, and the long-term accumulation of fatigue-induced damage. This integrated approach provides new insights into slope behavior under blasting disturbances and offers valuable guidance for slope stability assessment and hazard mitigation. Full article
Show Figures

Graphical abstract

22 pages, 9506 KB  
Article
The Influence of Plate Geometry on the Cyclic Bearing Behavior of Single Helical Piles in Silty Sand
by Faxiang Gong, Wenni Deng, Xueliang Zhao, Xiaolong Wang and Kanmin Shen
J. Mar. Sci. Eng. 2025, 13(8), 1416; https://doi.org/10.3390/jmse13081416 - 25 Jul 2025
Viewed by 389
Abstract
Helical piles are widely used in geotechnical engineering, and their rapid installation and service reliability have attracted significant interest from the offshore wind industry. These piles are frequently subjected to cyclic loading in complex marine environments. Although the cyclic bearing behavior of helical [...] Read more.
Helical piles are widely used in geotechnical engineering, and their rapid installation and service reliability have attracted significant interest from the offshore wind industry. These piles are frequently subjected to cyclic loading in complex marine environments. Although the cyclic bearing behavior of helical piles has been studied, most research has focused on soil properties and loading conditions, with a limited systematic analysis of plate parameters. Moreover, the selection of plate parameters is not explicitly defined. As a crucial preliminary step in the capacity calculation, it is vital for the design of helical piles. To address this gap, the present study combines physical modeling tests and finite element simulations to systematically evaluate the influence of plate parameters on their cyclic bearing behavior. The parameters investigated include the plate depth, the plate diameter, plate spacing, and the number of plates. The results indicate that, under the same embedment conditions, cumulative displacement increases with the plate depth, with a critical embedment depth ratio of Hcr/D = 6 under cyclic loading conditions, but decreases with the number of plates. Axial stiffness increases with the plate depth, diameter, and number of plates, with an increase ranging from 0.5 to 3.0. However, the normalized axial stiffness decreases with these parameters, reaching a minimum value of 1.63. The plate spacing has a minimal influence on cyclic bearing behavior. Additionally, this study examines the evolution of displacement and stiffness parameters over repeated cycles in numerical simulations, as well as the post-cyclic pullout capacity of the helical pile foundation, which varies between −5% and +12%. Full article
(This article belongs to the Section Coastal Engineering)
Show Figures

Figure 1

19 pages, 3698 KB  
Article
Aftershock Effect on Seismic Behavior of 3D Steel Moment-Resisting Frames
by Arezou Behrouz and Kadir Ozakgul
Buildings 2025, 15(15), 2614; https://doi.org/10.3390/buildings15152614 - 23 Jul 2025
Viewed by 475
Abstract
Aftershocks are inevitable phenomena following a mainshock, especially after a major earthquake. However, the cumulative damage caused by aftershocks and its impact on structural performance evaluation has only recently received significant attention. This study explores the effects of mainshock–aftershock (MS–AS) sequences, including multiple [...] Read more.
Aftershocks are inevitable phenomena following a mainshock, especially after a major earthquake. However, the cumulative damage caused by aftershocks and its impact on structural performance evaluation has only recently received significant attention. This study explores the effects of mainshock–aftershock (MS–AS) sequences, including multiple consecutive aftershocks, acting on 3D steel moment-resisting frame structures. Following nonlinear time history analysis, several fundamental variables such as residual interstory drift, maximum displacement, plastic hinge formation, and base shear are evaluated to examine cumulative damage. In this context, the findings depicted in terms of aftershocks play a significant role in exacerbating plastic deformations and damage accumulation in steel moment frames. Subsequently, to mitigate cumulative damage on steel moment frames, retrofitting strategies were implemented. Retrofitting strategies effectively reduce cumulative damage and improve seismic resilience under multiple earthquake events. This research highlights the limitations of single-event seismic assessments and the need to incorporate sequential earthquake effects in design and retrofit practices. Furthermore, it provides new insights into mitigating further damage by retrofitting existing structures under multiple earthquakes. Full article
(This article belongs to the Section Building Structures)
Show Figures

Figure 1

21 pages, 4847 KB  
Article
The Application of KNN-Optimized Hybrid Models in Landslide Displacement Prediction
by Hongwei Jiang, Jiayi Wu, Hao Zhou, Mengjie Liu, Shihao Li, Yuexu Wu and Yongfan Guo
Eng 2025, 6(8), 169; https://doi.org/10.3390/eng6080169 - 23 Jul 2025
Viewed by 425
Abstract
Early warning systems depend heavily on the accuracy of landslide displacement forecasts. This study focuses on the Bazimen landslide located in the Three Gorges Reservoir region and proposes a hybrid prediction approach combining support vector regression (SVR) and long short-term memory (LSTM) networks. [...] Read more.
Early warning systems depend heavily on the accuracy of landslide displacement forecasts. This study focuses on the Bazimen landslide located in the Three Gorges Reservoir region and proposes a hybrid prediction approach combining support vector regression (SVR) and long short-term memory (LSTM) networks. These models are optimized via the K-Nearest Neighbor (KNN) algorithm. Initially, cumulative displacement data were separated into trend and cyclic elements using a smoothing approach. SVR and LSTM were then used to predict the components, and KNN was introduced to optimize input factors and classify the results, improving accuracy. The final KNN-optimized SVR-LSTM model effectively integrates static and dynamic features, addressing limitations of traditional models. The results show that LSTM performs better than SVR, with an RMSE and MAPE of 24.73 mm and 1.87% at monitoring point ZG111, compared to 30.71 mm and 2.15% for SVR. The sequential hybrid model based on KNN-optimized SVR and LSTM achieved the best performance, with an RMSE and MAPE of 23.11 mm and 1.68%, respectively. This integrated model, which combines multiple algorithms, offers improved prediction of landslide displacement and practical value for disaster forecasting in the Three Gorges area. Full article
(This article belongs to the Section Chemical, Civil and Environmental Engineering)
Show Figures

Figure 1

18 pages, 3895 KB  
Article
Long-Term Mechanical Response of Jinping Ultra-Deep Tunnels Considering Pore Pressure and Engineering Disturbances
by Ersheng Zha, Mingbo Chi, Jianjun Hu, Yan Zhu, Jun Guo, Xinna Chen and Zhixin Liu
Appl. Sci. 2025, 15(15), 8166; https://doi.org/10.3390/app15158166 - 23 Jul 2025
Viewed by 362
Abstract
As the world’s deepest hydraulic tunnels, the Jinping ultra-deep tunnels provide world-class conditions for research on deep rock mechanics under extreme conditions. This study analyzed the time-dependent behavior of different tunneling sections in the Jinping tunnels using the Nishihara creep model implemented in [...] Read more.
As the world’s deepest hydraulic tunnels, the Jinping ultra-deep tunnels provide world-class conditions for research on deep rock mechanics under extreme conditions. This study analyzed the time-dependent behavior of different tunneling sections in the Jinping tunnels using the Nishihara creep model implemented in Abaqus. Validated numerical simulations of representative cross-sections at 1400 m and 2400 m depths in the diversion tunnel reveal that long-term creep deformations (over a 20-year period) substantially exceed instantaneous excavation-induced displacements. The stress concentrations and strain magnitudes exhibit significant depth dependence. The maximum principal stress at a 2400 m depth reaches 1.71 times that at 1400 m, while the vertical strain increases 1.46-fold. Based on this, the long-term mechanical behavior of the surrounding rock during the expansion of the Jinping auxiliary tunnel was further calculated and predicted. It was found that the stress concentration at the top and bottom of the left sidewall increases from 135 MPa to 203 MPa after expansion, identifying these as critical areas requiring focused monitoring and early warnings. The total deformation of the rock mass increases by approximately 5 mm after expansion, with the cumulative deformation reaching 14 mm. Post-expansion deformation converges within 180 days, with creep deformation of 2.5 mm–3.5 mm observed in both sidewalls, accounts for 51.0% of the total deformation during expansion. The surrounding rock reaches overall stability three years after the completion of expansion. These findings establish quantitative relationships between the excavation depth, time-dependent deformation, and stress redistribution and support the stability design, risk management, and infrastructure for ultra-deep tunnels in a stress state at a 2400 m depth. These insights are critical to ensuring the long-term stability of ultra-deep tunnels and operational safety assessments. Full article
Show Figures

Figure 1

Back to TopTop