Countermeasures for the Transformation of Migrant Workers to Industrial Workers in the Construction Industry Based on Evolutionary Game Theory
Abstract
:1. Introduction
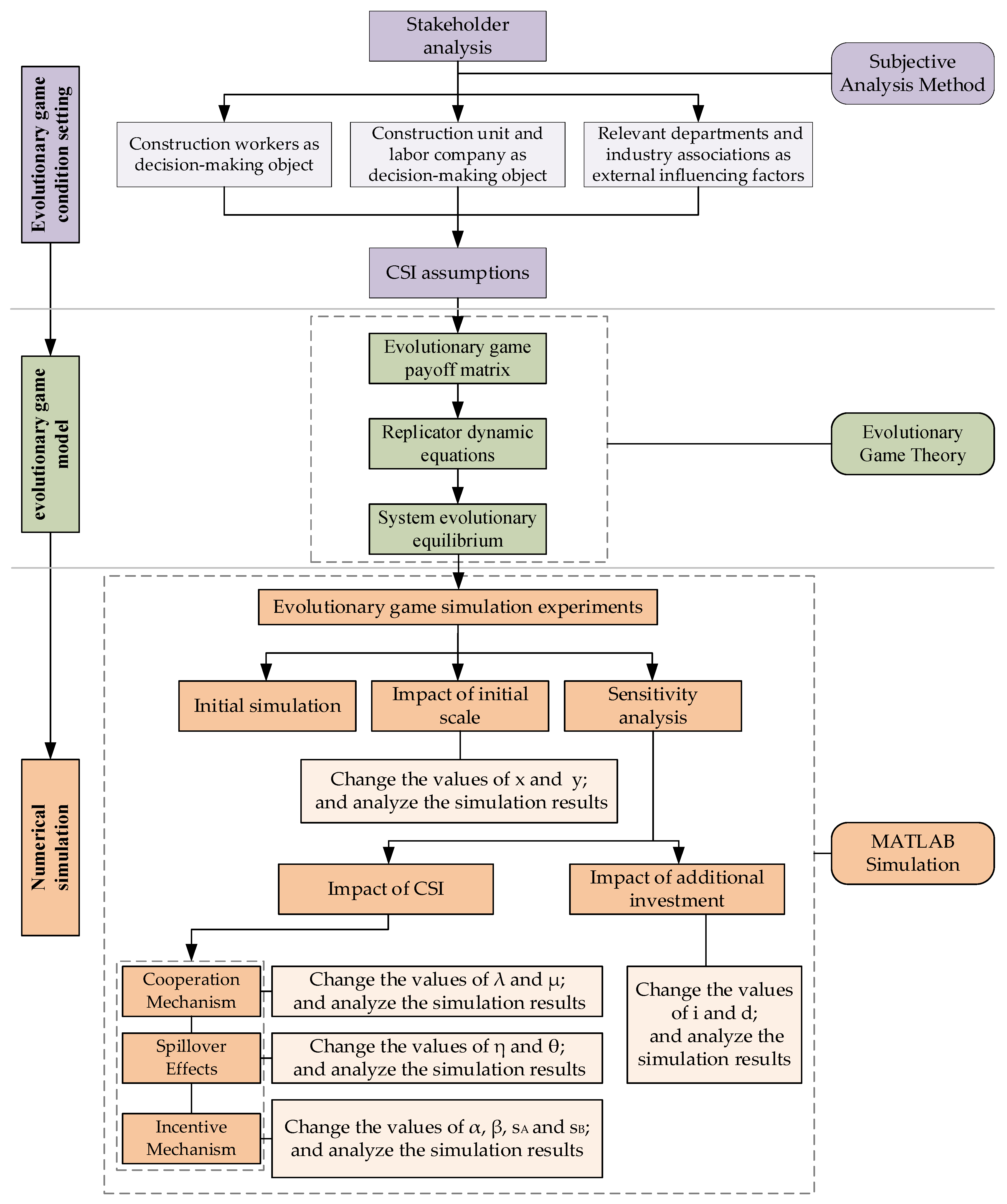
2. Methodology
2.1. Evolutionary Model
2.1.1. Stakeholder Analysis
- Decision-making object: construction workers. There are generally two types of construction workers: migrant workers and industrial workers. Migrant workers in the construction industry are a group of people whose household accounts are in rural areas, while their main source of income is through performing construction labor, technical work, or construction management at construction sites [59]. Compared with traditional construction migrant workers, industrial workers are able to master modern professional skills. Their wages, working conditions, and safety can be effectively guaranteed. They generally represent the advanced productivity of the construction industry [60].
- Decision-making subject: construction unit and labor company. Construction workers are generally dispatched by the labor company to the construction unit project site operations in the labor market circulation. Their wages are issued by the labor company, but the place of operation is at the project site of the construction unit. Therefore, they are dually constrained by the labor company and the construction unit’s on-site project department. The construction unit and the labor company need to make a decision between switching to using industrial workers and continuing to use migrant workers. The transformation of construction workers from less skilled migrant workers to skilled industrial workers requires training provided by the construction labor company, which generates an investment in training. Instead, the construction unit is responsible for hiring, and it incurs incremental labor costs. This makes it possible to guarantee the quality of the corresponding completion and to minimize potential risk losses.
- External influencing factors: relevant departments and industry associations. The relevant departments of the construction industry and industry associations encourage the transformation of the employment system from migrant workers to industrial workers. The measures they take include the promulgation of policies, standardization, and the development of norms. Moreover, certain incentives are given, such as the awarding of advanced enterprise awards in the industry, giving cash prizes, and tilting resources. Such incentives are not 100% covered. They are related to the probability of supervision by the relevant departments and industry associations. There is undeniably some influence on the decision-making subject (construction unit and labor company) to make strategic choices.
2.1.2. CSI Mechanism Assumptions and Parameters
- Assuming that the two parties of the evolutionary game are the construction unit (A) and the labor company (B), their strategy space is = (switching to using industrial workers, continuing to use the migrant workers). The strategy choice and dynamic adjustment of evolutionary game subjects follow the rule of finite rationality. In group A, the proportion of construction unit choosing transformed industrial workers is x. In group B, the proportion of labor companies choosing transformed industrial workers is y. The normal profit of the construction unit in using migrant workers along is . If the construction unit chooses to switch to industrial workers, it will spend on the transition hiring investment and will receive in transition benefit income ( > ). The labor company’s normal profit at the low standard is . If the labor firm chooses to switch to industrial workers, it will spend investment on transition training investments and will receive in transition benefit income ( > ).
- The cooperation mechanism is introduced into the evolutionary game model. The transformation of migrant workers into industrial workers is regarded as the cooperation process of “benefit sharing and investment sharing” between construction unit and labor company. If they choose to transform into industrial workers, the construction unit will transfer a certain proportion of the income gained from the transformation to labor company (). Correspondingly, the labor company will also bear a certain proportion of the investment in transformation training (). When the labor company chooses to switch to industrial workers but the construction unit does not, the labor company is unable to receive transition benefit cession from the construction unit, even if it pays for complete transition training investment. When the construction unit chooses to switch to industrial workers but the labor company does not, the construction unit will support the strategic choice through a series of measures. These measures may include increasing the wages of industrial workers, or implementing training activities for them to improve their skills and qualifications. These cost additional transformational investment .
- A spillover effect is introduced into the evolutionary game model. Certain externalities exist in the transformation of migrant workers into industrial workers, namely the “free-rider” effect. Strategy subjects can still earn transition income at some level, even if they do not choose to switch to industrial workers. For example, they suppress the wages of migrant workers and directly employ workers who have been trained at high salaries. However, this spillover effect is very unstable. Strategy subjects cannot obtain all the benefits with certainty. Therefore, the transformation revenue spillover factor of construction unit and labor company is assumed to and , which range from 0 to 1. In addition, when both the construction unit and labor company choose to use migrant workers, the labor company cannot get the income spillover.
- An incentive mechanism is introduced into the evolutionary game model. Relevant departments and industry associations regulate construction unit and labor company. If construction unit chooses to switch to industrial workers, it may be supported by incentives from relevant departments and industry associations, the amount of which is . If labor company chooses to switch to industrial workers, it may be supported by incentives from relevant departments and industry associations, the amount of which is . However, the intervention is uncertain due to the high cost of supervision, market uncertainty, and technical limitations. The regulation and rewards occur only with a certain probability. Therefore, the probability is assumed to be and accordingly that the relevant departments and industry associations intervene in the construction unit and labor company.
2.1.3. Payoff Matrix and Replicator Dynamic Equations
2.2. System Evolutionary Equilibrium
2.2.1. Determination of Value Range
- Under the condition of no spillovers and no incentives, it can be obtained that , . The amount of income is greater than investment for switching to industrial workers (), which is consistent with the basic assumption of this paper. Furthermore, the link indicates that the additional investment is greater than normal benefit to support transition strategy choice in a specific way for the construction unit.
- Conditional on spillovers and no incentives, it follows that , . The link indicates that spillover effect of the transition income is smaller than the normal transition benefit (). Moreover, it can also be initially judged that the spillover effect coefficient is a small value between 0 and 1.
- Conditional on spillovers and incentives, it follows that , . The link indicates that increase in the probability of regulation () and incentives can raise the relative returns of transition when the relevant departments and industrial association intervene.
2.2.2. Balanced Stability Analysis
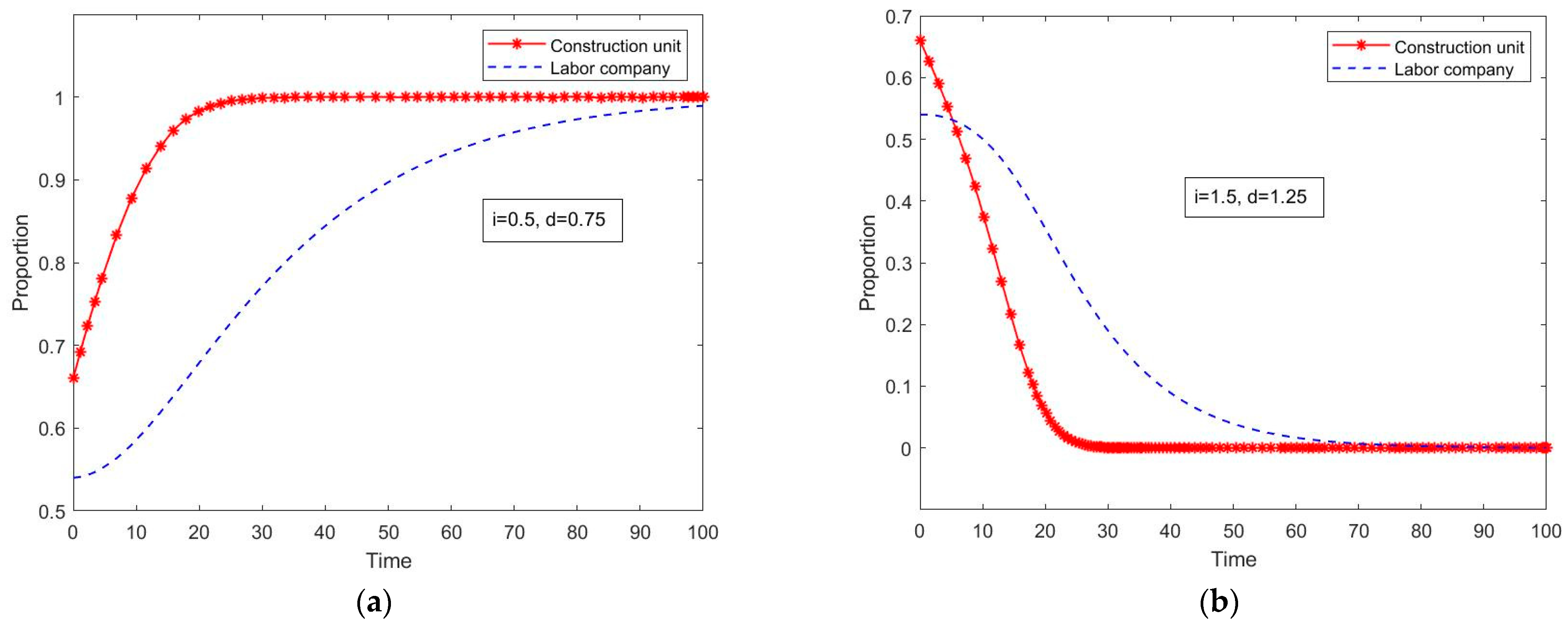
2.2.3. Effects of Parameter Changes
3. Results
3.1. Evolutionary Game Simulation Experiments
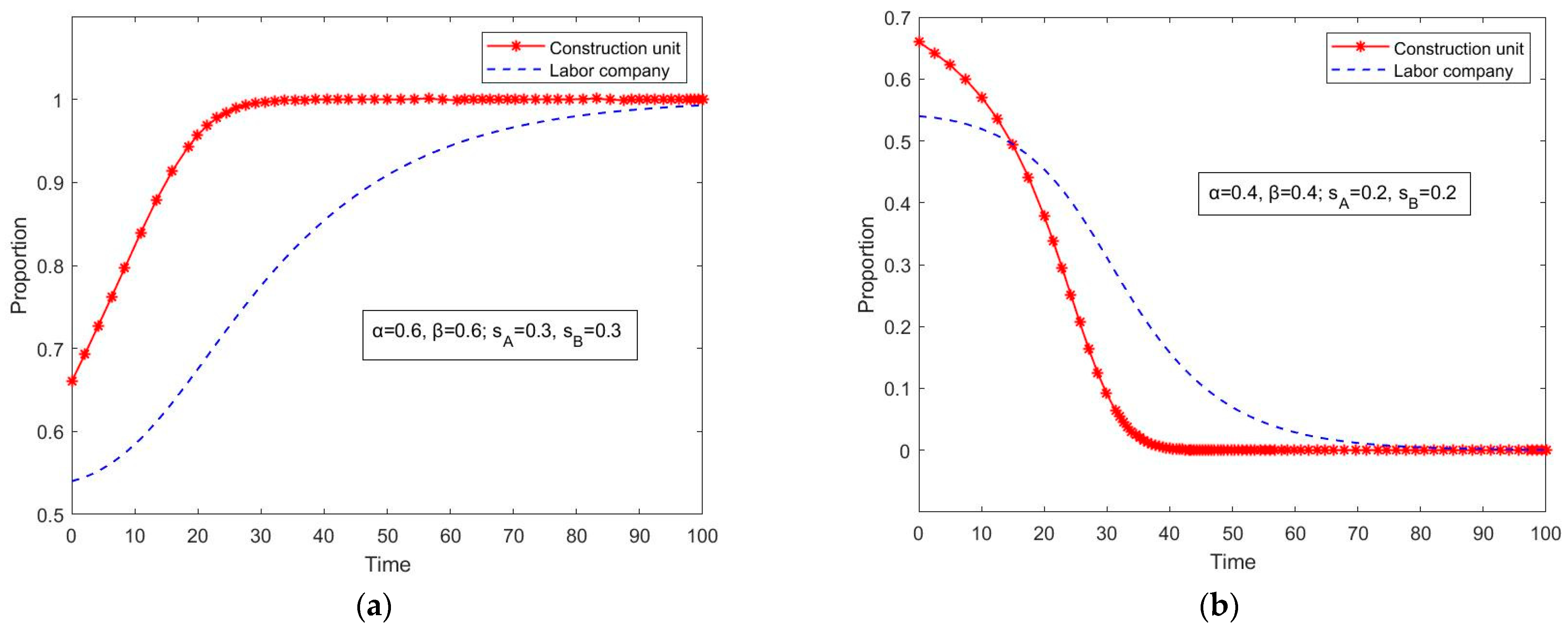
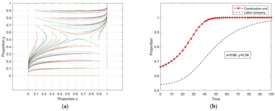
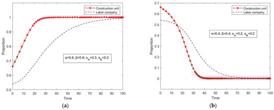
3.1.1. Initial Numerical Simulation
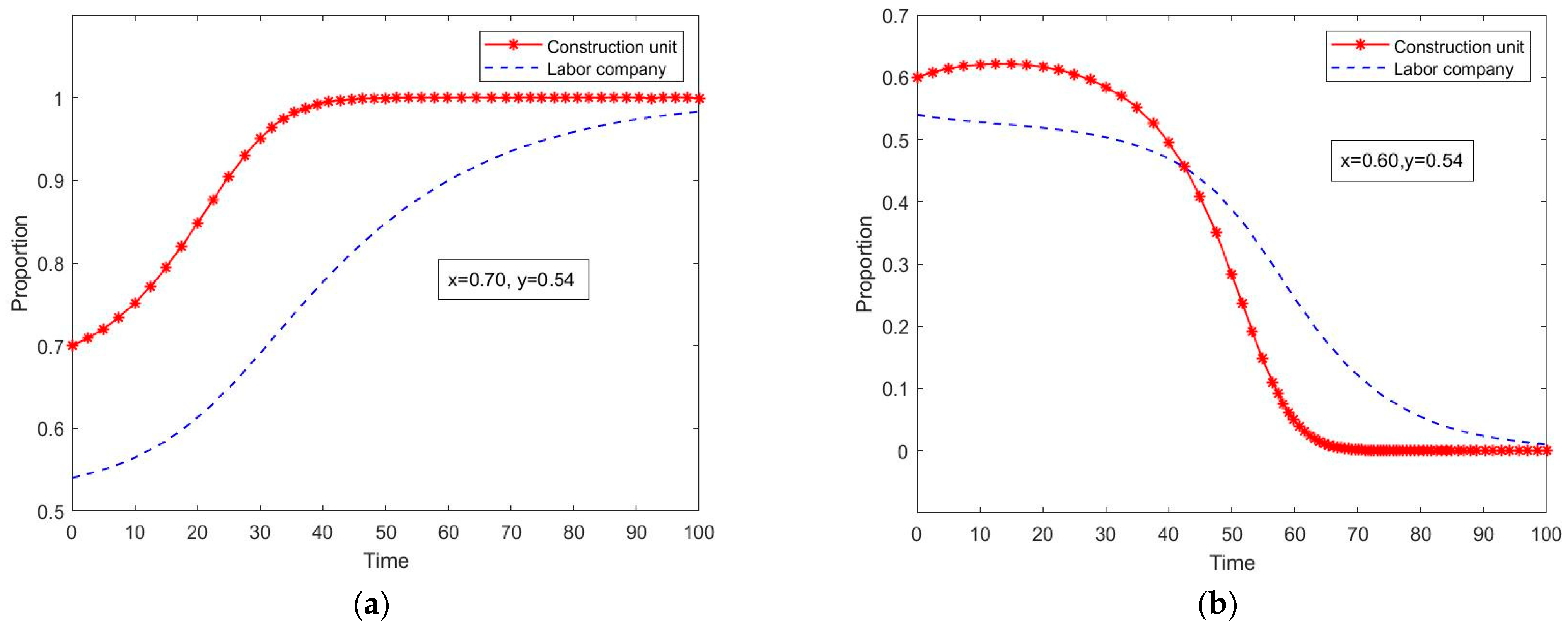
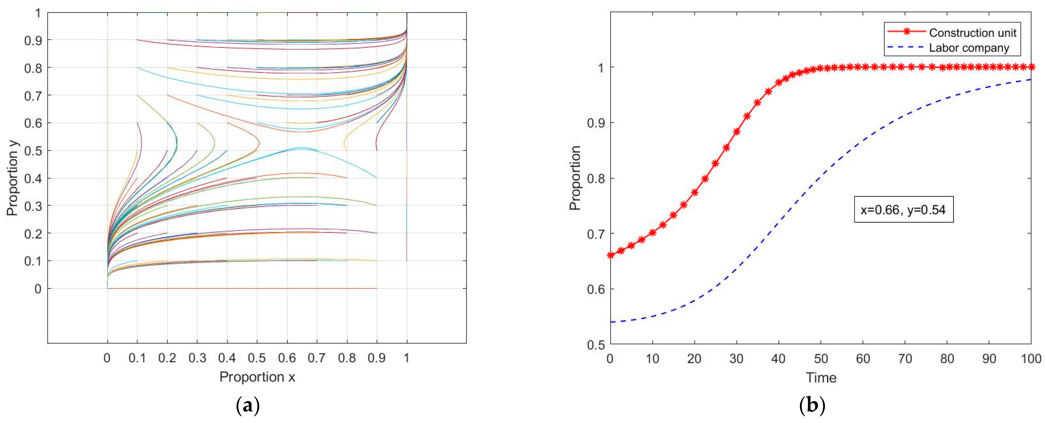
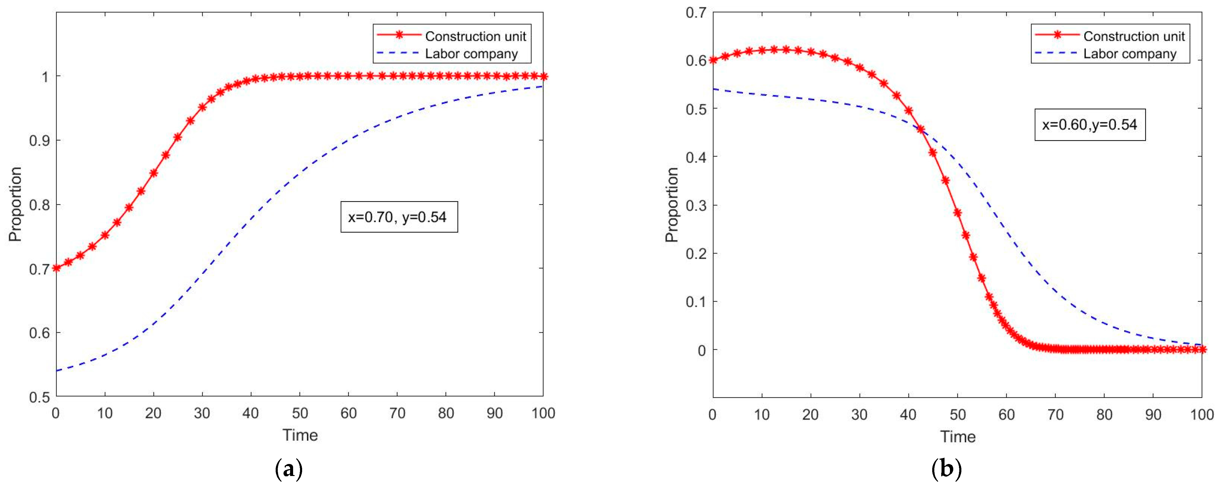
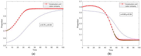
3.1.2. Impact of Initial Scale
3.2. Sensitivity Analysis
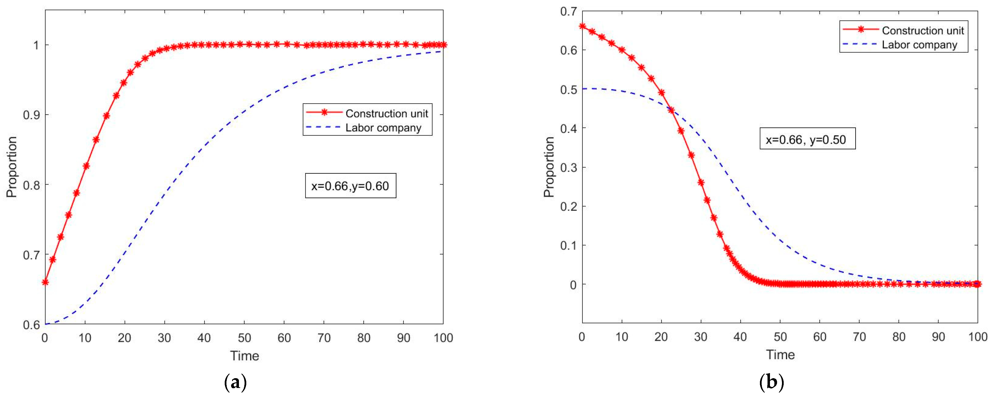
3.2.1. Impact of the Cooperation Mechanism
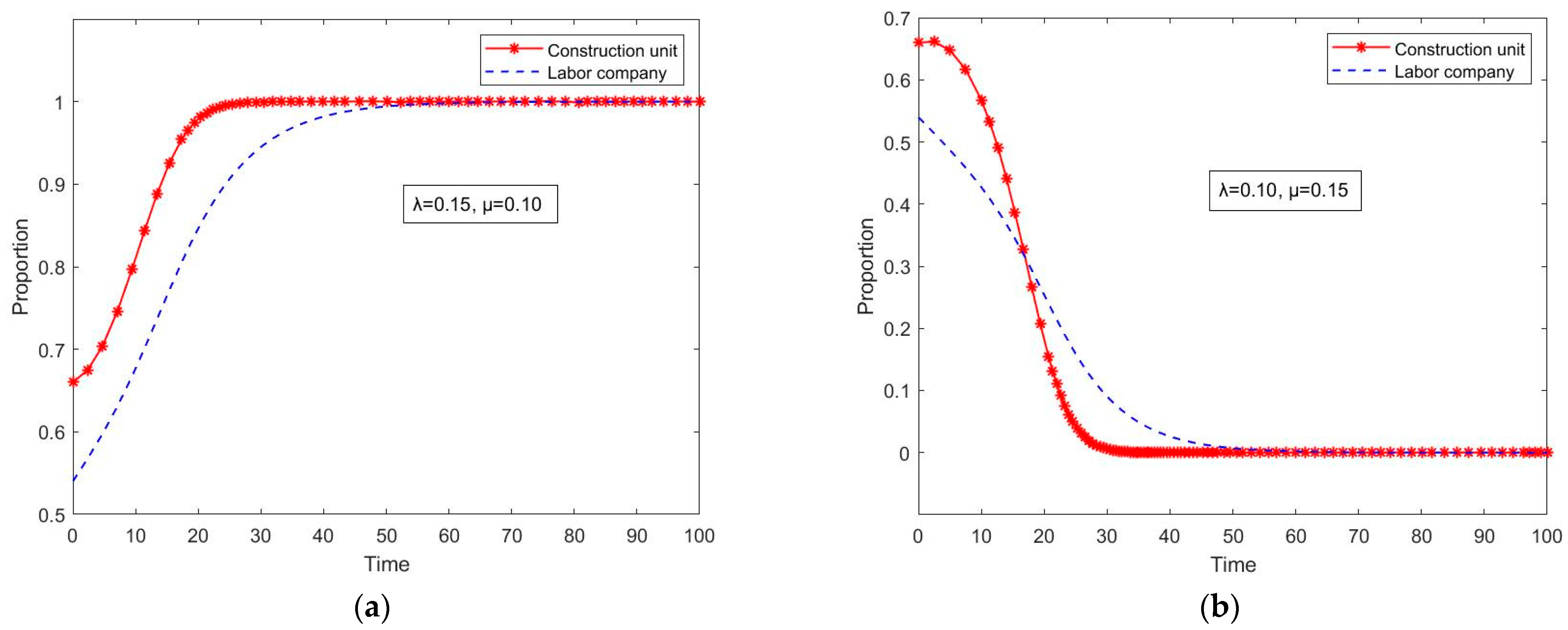
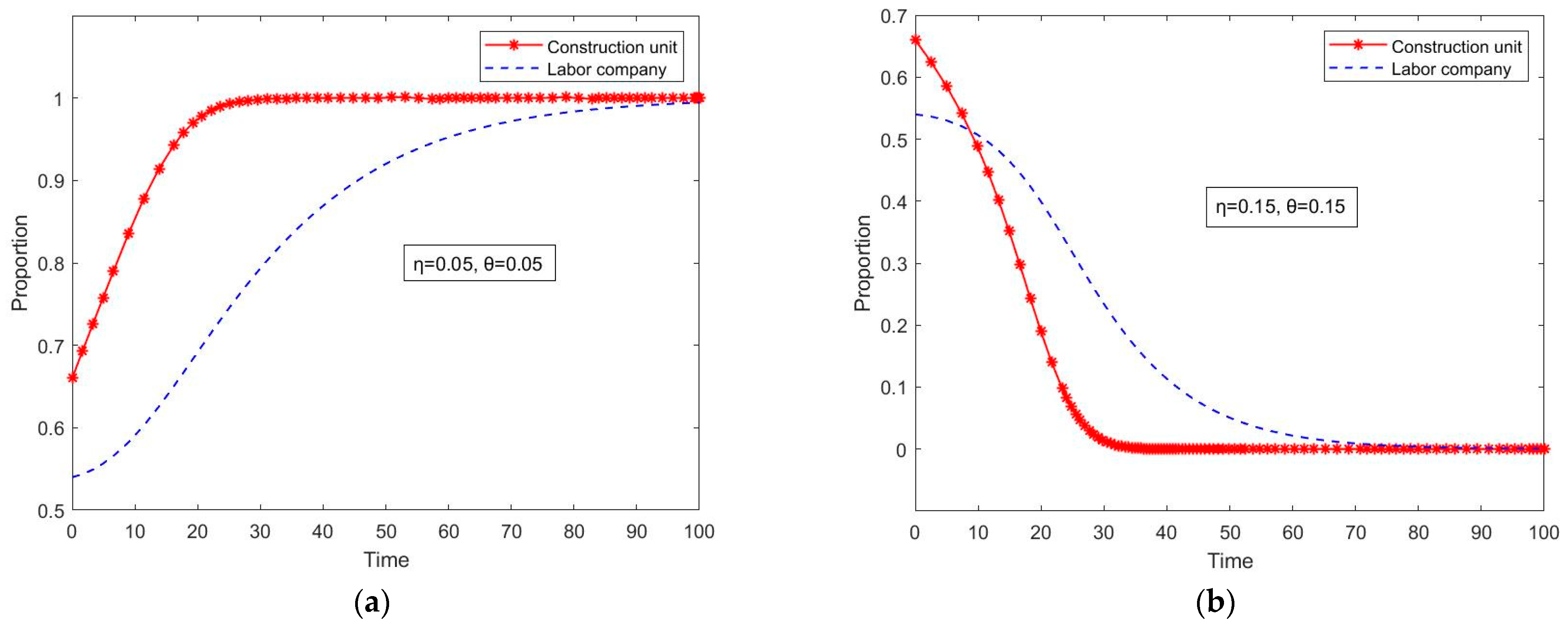
3.2.2. Impact of Spillover Effects
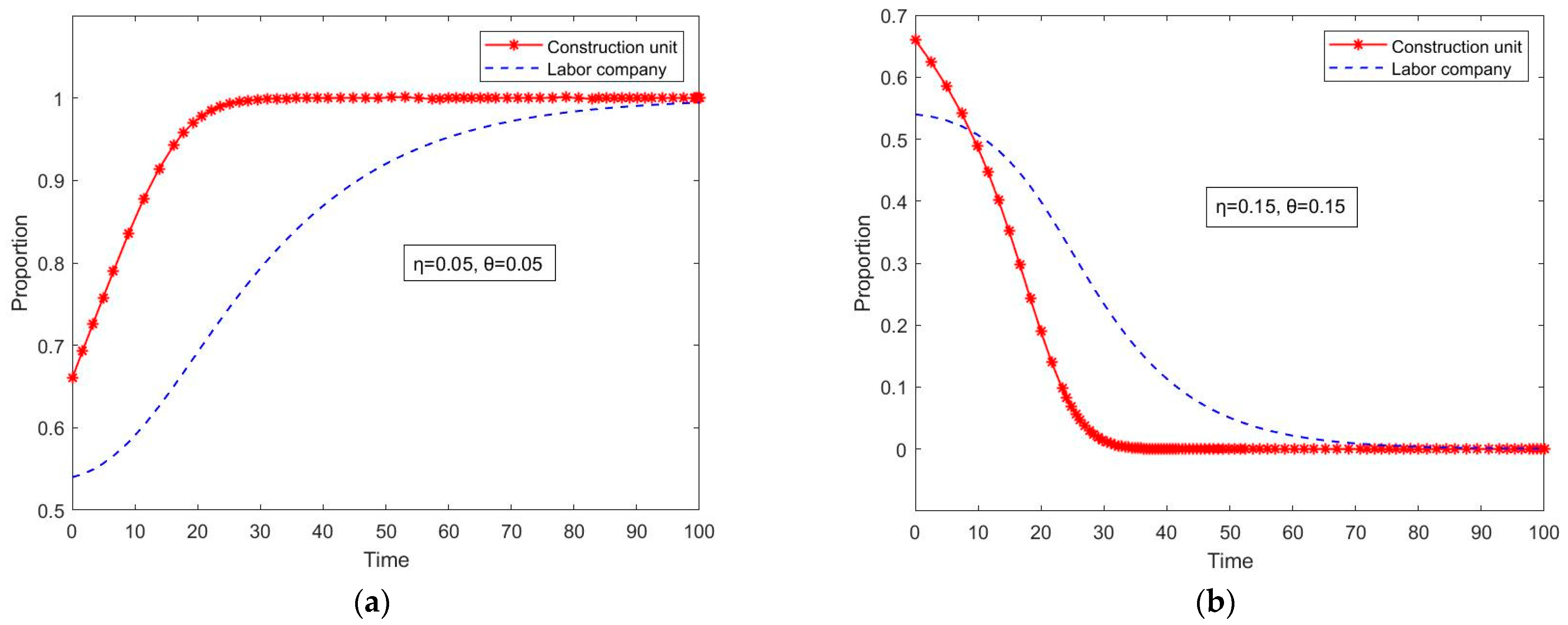
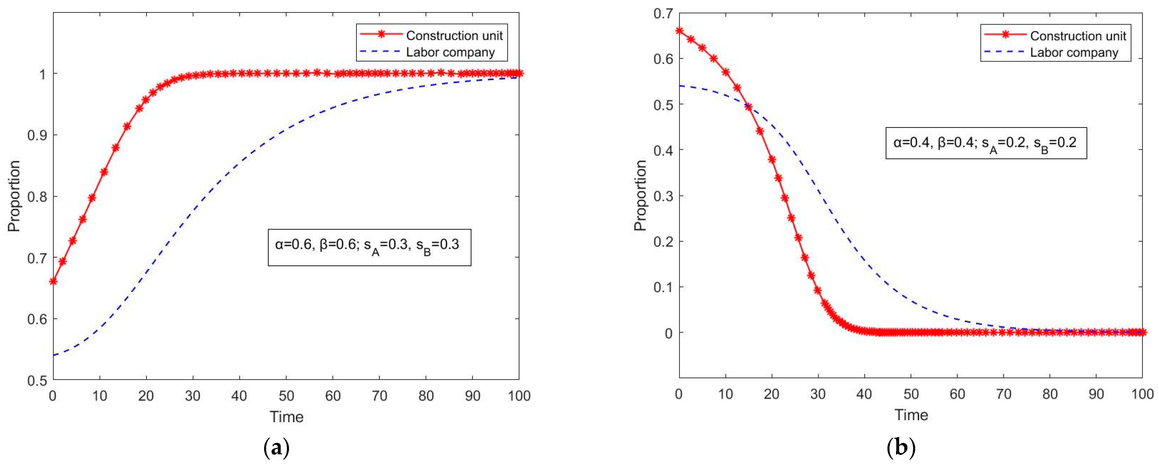
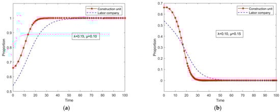
3.2.3. Impact of the Incentive Mechanism
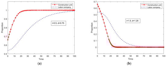
3.2.4. Impact of Additional Investment
4. Discussion and Implications
4.1. Analysis and Discussion of Results
4.2. Policy Implications
- On the basis of a sound training mechanism and employment standards, the construction unit and labor company should strengthen education on the employment system. Both sides should study in depth the government’s circulars and institutional documents on the transformation of industrial workers. Corporate executives carry out the communication of the employment method and management spirit in the context of intelligent construction and refined management. Ensuring the initial enthusiasm of the construction unit and labor company for the reform of the labor system is conducive to the desired equilibrium between two sides.
- Symbiotic cooperation between the construction unit and labor company should be strengthened. Through a fair benefit distribution and investment sharing mechanism, a benign cooperation between the two can be reached. The willingness of the labor company and construction unit to train and employ industrial workers is also upheld. An informatization platform should be established with the circulation of construction workers as a link between the construction unit and labor company. Moreover, the integrated chain for the training, hiring, management, assessment, and circulation of construction workers can effectively promote both sides to achieve the ideal balance.
- The main role of the construction unit and labor company in the organization and skills training of construction workers should be exploited. More specifically, the vocational skills education and training system for construction workers should be established, in which the government, industry, enterprises, and universities jointly participate. Relying on large- and medium-sized projects, the actual engineering production and skills assessment should be closely linked. When both sides of decision making are involved in the transformation of the industrial workers, it becomes more difficult for them to “reap without sowing”.
- Relevant local government departments and industry associations should accelerate the transformation of functions. They should encourage reform of the labor system, strengthen incentives, and improve regulatory measures. As a result, the opportunity cost of continuing to use migrant workers by both sides increases. In concrete terms, government departments and industry associations should conduct regular surveys to reward companies for good transformation of industrial workers. If necessary, they should criticize and penalize enterprises for undesirable employment practices. Furthermore, they should open up public mailboxes to listen to the suggestions of construction workers and the general public. Thus, the situation should be verified and dealt with in a timely manner.
- When labor company unilaterally choose to continue to use migrant workers, measures should be taken to increase construction unit’s willingness to switch. This means that the additional investment of construction unit should be effectively reduced. The effectiveness of public services in the training, hiring and distributing of construction workers should be enhanced. Through introducing targeted enterprise relief policies, the relevant government departments should strengthen precise financial support for the transformation of construction unit. Therefore, business transformation clusters are nurtured. Over the long term, they can effectively reduce the additional investment in relative returns.
5. Conclusions and Recommendations
5.1. Conclusions
5.2. Recommendations
Author Contributions
Funding
Data Availability Statement
Conflicts of Interest
References
- Siwei, L. Offerings of labor management system reform in the construction industry—Based on the practice of labor management reform in the Japanese construction industry. Build. Constr. 2021, 43, 1180–1182. [Google Scholar] [CrossRef]
- What Are Migrant Workers? Available online: http://www.stats.gov.cn/zt_18555/zdtjgz/yblh/dczsc/202302/t20230215_1904740.html (accessed on 10 October 2023).
- 2022 Migrant Workers Monitoring Survey Report. Available online: http://www.stats.gov.cn/sj/zxfb/202304/t20230427_1939124.html (accessed on 28 April 2023).
- Chen, D. Research on the Transformation of Migrant Workers in the Construction Industry under the Assembly Building System. Master’s Thesis, Hubei University of Technology, Wuhan, China, 2020. [Google Scholar]
- High Quality Development of the Construction Industry: A New Way to Strengthen the Foundation and Benefit People’s Livelihoods. Available online: https://www.gov.cn/xinwen/2022-09/19/content_5710837.htm (accessed on 19 September 2023).
- From “Dusty Face” to Three Levels of Digital Construction—An Overview of the Achievements of China’s Construction Industry. Available online: https://www.gov.cn/xinwen/2021-06/07/content_5616059.htm (accessed on 7 June 2023).
- Editorial Board of the Journal. Suggestions on Accelerating the Transformation and Development of Construction Migrant Workers to New Construction Industrial Workers. China Constr. Informatiz. 2023, 6, 18. [Google Scholar]
- Zhu, M.; Sun, H. Ways to realize the participation of all staff in fine management. Shandong Coal Sci. Technol. 2009, 4, 197–198. [Google Scholar]
- Zhou, Y. Suggestions for Cultivating the Construction Industry Workforce. Construction 2015, 5, 35–36. [Google Scholar]
- Zhang, X. Reflections on the industrialization of “migrant workers” in the construction industry. Architecture 2021, 17, 31–35. [Google Scholar]
- Xu, Y.; Wen, X. Analysis of Influential Factors on the Transformation of Industrialization of Migrant Workers in Construction Industry. J. Shaanxi Univ. Technol. (Nat. Sci. Ed.) 2023, 39, 79–87. [Google Scholar]
- Reform Program for the Construction of Industrial Workforce in the New Period. Available online: https://www.gov.cn/zhengce/2017-06/19/content_5203750.htm (accessed on 19 June 2023).
- Guiding Opinions on Accelerating the Cultivation of Construction Workforce in the New Era. Available online: https://www.gov.cn/zhengce/zhengceku/2021-01/19/content_5580999.htm (accessed on 18 December 2022).
- Jiang, J. The predicament and countermeasures of construction industry workers’ team construction. Construction 2014, 21, 31–33. [Google Scholar]
- Yan, X.; Chang, L.; Lan, T.; Dong, C. Investigation and research on the pathway of industrialization of laborers in the construction industry. Constr. Econ. 2015, 36, 9–12. [Google Scholar] [CrossRef]
- Chen, H. Research on the evolution path of labor system in China’s construction industry. Constr. Econ. 2022, 43, 5–10. [Google Scholar] [CrossRef]
- Liu, Z. Deepening the reform of the construction labor system and making every effort to break through the bottleneck in the construction of the industrial workforce. Construction 2016, 4, 32–35. [Google Scholar]
- Wang, J. Discussion on Effective Measures to Strengthen the Cultivation and Management of Construction Industry Workforce in the New Era. Enterp. Reform Manag. 2021, 9, 72–73. [Google Scholar] [CrossRef]
- Liu, X.; Qian, J. The construction of industrial workers and the mission of vocational education in a skill-based society. China Vocat. Tech. Educ. 2021, 33, 5–10. [Google Scholar]
- Zhang, J.; Li, X. Analysis of Construction Industry Worker Cultivation Policies Based on Text Mining. Ind. Technol. Forum 2022, 21, 57–59. [Google Scholar]
- Zhu, J.; Zhang, J.; Li, X.; Meng, D.; Yang, H. Willingness to Citizenship and Influencing Factors of Migrant Workers in China. Econ. Geogr. 2020, 40, 145–152. [Google Scholar] [CrossRef]
- Wang, X.; Wang, M. Micro-influential factors and their structure of new-generation rural migrant workers’ citizenship--an analysis of the mediating effect based on human capital factors. Popul. Econ. 2020, 1, 113–126. [Google Scholar]
- Li, Z.; Peng, H.; Cai, J. Research on the constraints of industrialization of migrant workers in the context of construction industrialization. Constr. Econ. 2021, 42, 84–88. [Google Scholar] [CrossRef]
- Zhu, X. A Study on the Obstacles to the Transformation of Migrant Workers into Industrial Workers in the Construction Industry Based on the Rooting Theory. Master’s Thesis, Beijing Architecture University, Beijing, China, 2022. [Google Scholar]
- Ren, H.; Gao, J.X.; Cai, W.G.; Du, Y.J.; Ma, X. Power mechanism of transforming migrant workers into industrial workers in the construction industry. J. Civ. Eng. Manag. 2018, 35, 16–23+31. [Google Scholar] [CrossRef]
- Zhu, M. Research on the Mechanism and Countermeasures of Industrialization of Migrant Workers in China’s Construction Industry. Ph.D. Thesis, Chongqing University, Chongqing, China, 2019. [Google Scholar]
- Du, Y.J. Research on the Dynamic Mechanism of Transforming Migrant Workers into Industrial Workers in China’s Construction Industry. Ph.D. Thesis, Chongqing University, Chongqing, China, 2017. [Google Scholar]
- Ke, Y. Analysis of Industrialization of Migrant Workers in Construction Industry under CAS Theory Perspective. Constr. Econ. 2018, 39, 22–26. [Google Scholar] [CrossRef]
- Su, Y.; Xing, Q. A Study on Decision-making Behavior of Cultivating Industrial Workers in Construction Labor Enterprises Considering Government Incentives. J. Eng. Manag. 2022, 36, 141–146. [Google Scholar] [CrossRef]
- Rahat, H.; Akeem, P.; Yeop, L.D.; Chien, P.H.; Sik, P.C. Impact of safety training and interventions on training-transfer: Targeting migrant construction workers. Int. J. Occup. Saf. Ergon. JOSE 2020, 26, 272–284. [Google Scholar]
- Abraham, V. The Slow Emergence of Rural Non-farm Sector Employment in India: Shift or Diversification? Indian J. Labour Econ. 2023, 66, 661–685. [Google Scholar] [CrossRef]
- Ty, K.S.; Aung, L.M.; Saw, L.; Hein, N.Y.; Phyo, Y.; Neeraj, K.; Taylor, P. Malaria Case Detection Among Mobile Populations and Migrant Workers in Myanmar: Comparison of 3 Service Delivery Approaches. Glob. Health Sci. Pract. 2018, 6, 384–389. [Google Scholar]
- Pham, T.T.; Lingard, H.; Zhang, R.P. Factors influencing construction workers’ intention to transfer occupational health and safety training. Saf. Sci. 2023, 167, 106288. [Google Scholar] [CrossRef]
- Amick, B.C., III; Hogg-Johnson, S.; Latour-Villamil, D.; Saunders, R. Protecting Construction Worker Health and Safety in Ontario, Canada: Identifying a Union Safety Effect. J. Occup. Environ. Med. 2015, 57, 1337–1342. [Google Scholar] [CrossRef] [PubMed]
- Wan, C.X. Rational Thoughts about Interest Protection of Peasant Workers. Master’s Thesis, Liaoning University, Liaoning, China, 2009. [Google Scholar]
- Jin, J. Primary Studies on Mechanisms of Migrant Workers Protection. Master’s Thesis, South China Agricultural University, Guangzhou, China, 2011. [Google Scholar]
- Zhang, L.L. Research on Protection of Rights and Interests of the Migrant Workers in the Construction Industry. Master’s Thesis, Tsinghua University, Beijing, China, 2011. [Google Scholar]
- Kazaz, A.; Ulubeyli, S. Drivers of productivity among construction workers: A study in a developing country. Build. Environ. 2007, 42, 2132–2140. [Google Scholar] [CrossRef]
- Brunette, M.J. Construction safety research in the United States: Targeting the Hispanic workforce. Inj. Prev. 2004, 10, 244–248. [Google Scholar] [CrossRef]
- Cheng, T.; Migliaccio, G.C.; Teizer, J.; Gatti, U.C. Data fusion of real-time location sensing and physiological status monitoring for ergonomics analysis of construction workers. J. Comput. Civ. Eng. 2013, 27, 320–335. [Google Scholar] [CrossRef]
- Gatti, U.C.; Migliaccio, G.C.; Bogus, S.M.; Schneider, S. An exploratory study of the relationship between construction workforce physical strain and task level productivity. Constr. Manag. Econ. 2014, 32, 548–564. [Google Scholar] [CrossRef]
- Gatti, U.C.; Schneider, S.; Migliaccio, G.C. Physiological condition monitoring of construction workers. Autom. Constr. 2014, 44, 227–233. [Google Scholar] [CrossRef]
- Taylor, J.E. Agricultural Labor and Migration Policy. Annu. Rev. Resour. Econ. 2010, 2, 369–393. [Google Scholar] [CrossRef]
- Barbier, E.B.; Rauscher, M. Trade and Development in a Labor Surplus Economy. B.E. J. Econ. Anal. Policy 2011, 7. [Google Scholar] [CrossRef]
- Lopes, M.; Nesbitt, H.; Spyckerelle, L.; Pauli, N.; Clifton, J.; Erskine, W. Harnessing social capital for maize seed diffusion in Timor-Leste. Agron. Sustain. Dev. 2015, 35, 847–855. [Google Scholar] [CrossRef]
- Guang, C. Development of migrant workers in construction based on machine learning and artificial intelligence technology. J. Intell. Fuzzy Syst. 2021, 40, 6629–6640. [Google Scholar] [CrossRef]
- Bover, O.; Jimeno, J.F. House prices and employment reallocation: International evidence. In Banco de España Research Paper No. WP-0705, IZA Discussion Paper; Elsevier: Amsterdam, The Netherlands, 2007. [Google Scholar]
- Wang, S. The architecture design of migrant labors training employment information platform. In Proceedings of the 2011 International Conference on Computer Science and Service System (CSSS), Nanjing, China, 27–29 June 2011; pp. 2677–2679. [Google Scholar]
- Buckley, M. On the work of urbanization: Migration, construction labor, and the commodity moment. Ann. Assoc. Am. Geogr. 2014, 104, 338–347. [Google Scholar] [CrossRef]
- Najib, I.Z.M.; Nordin, R.M.; Ismail, Z. Analyzing the participation factors of local labor in the malaysian construction industry. Int. J. Sustain. Constr. Eng. Technol. 2020, 11, 234–241. [Google Scholar]
- Baral, A.; Liang, Y.; Li, M.; Gonzalez, M.; Shahandashti, M.; Ashuri, B. Impact of COVID-19 on the Diversity of the Construction Workforce. Nat. Hazards Rev. 2022, 23, 04022015. [Google Scholar] [CrossRef]
- Ke, Y. Research on the Chinese industrialized construction migrant workers from the perspective of complex adaptive system: Combining the application of SWARM computer simulation technology. Wirel. Pers. Commun. 2018, 102, 2469–2481. [Google Scholar] [CrossRef]
- Yang, S.; Tang, T.; Li, H.; Zhu, L.; Huang, J. Function Mechanism of Psychological Driving Factors and Professional Transformation: Migrant Workers to Industrial Workers. J. Environ. Public Health 2022, 2022, 9686998. [Google Scholar] [CrossRef]
- Ke, Y.; Bian, J. Systematic Training to Improve the Transformation of Migrant Workers into Industrial Workers within the Construction Sector in China. China. Buildings 2023, 13, 1948. [Google Scholar] [CrossRef]
- Yuan, M.; Li, Z.; Li, X.; Li, L.; Zhang, S.; Luo, X. How to promote the sustainable development of prefabricated residential buildings in China: A tripartite evolutionary game analysis. J. Clean. Prod. 2022, 349, 131423. [Google Scholar] [CrossRef]
- Dou, Y.; Xue, X.; Zhao, Z.; Jiang, Y. Measuring the Factors that Influence the Diffusion of Prefabricated Construction Technology Innovation. Ksce J. Civ. Eng. 2019, 23, 3737–3752. [Google Scholar] [CrossRef]
- Shi, Q.; Zhu, J.; Li, Q. Cooperative Evolutionary Game and Applications in Construction Supplier Tendency. Complexity 2018, 2018, 8401813. [Google Scholar] [CrossRef]
- Li, L.; Li, Z.; Jiang, L.; Wu, G.; Cheng, D. Enhanced Cooperation among Stakeholders in PPP Mega-Infrastructure Projects: A China Study. Sustainability 2018, 10, 2791. [Google Scholar] [CrossRef]
- Liao, H. Research on the Impact of Training on Industrialization of Migrant Workers in Construction Industry. Master’s Thesis, Chongqing University, Chongqing, China, 2018. [Google Scholar]
- Zeng, D.H.; Chen, C.; Du, Y.J. Research on the power mechanism and transmission path of transition from migrant workers to industrial workers in China’s construction industry. J. Chongqing Univ. (Soc. Sci. Ed.) 2021, 27, 288–299. [Google Scholar]
- Zhao, X.; Li, C. Stability of agricultural product channel relationship between farmers and dragon-head enterprises—An analysis based on the perspective of evolutionary game. Financ. Trade Econ. 2008, 2, 92–97. [Google Scholar] [CrossRef]
- Gilli, M. Evolutionary Game Theory. JSTOR 1996, 55, 444–445. [Google Scholar]
- Friedman, D. On economic applications of evolutionary game theory. J. Evol. Econ. 1998, 8, 15–43. [Google Scholar] [CrossRef]
- Dai, Y.; Mei, Q. Research on the choice of technological innovation mode of China’s high-tech enterprises based on the perspective of evolutionary game. Res. Manag. 2013, 34, 2–10. [Google Scholar] [CrossRef]
- Cao, X.; Xing, Z.; Zhang, L. Study on the evolution game of cooperative innovation in new energy automobile industry based on government-driven. Oper. Res. Manag. 2018, 27, 21–30. [Google Scholar]
- Li, G. Game analysis of the evolution of cooperation mechanism between two parties in PPP projects. Master’s Thesis, Hebei University of Geology, Wuhan, China, 2023. [Google Scholar]
- Liu, T.; Zhang, L.; Xu, H.; Tan, X.; Zhang, X.; Zhang, J. A study on the dynamics of industrialized training for construction workers—A case study of Chongqing Municipality. Constr. Econ. 2022, 43, 48–53. [Google Scholar] [CrossRef]
- Han, X.; Liu, Y.; Yang, X.; Hu, G.; Xu, D.; Feng, Y. Research on the training of industrialized workers for major railroad projects in complex and arduous areas based on the rooting theory. J. Eng. Manag. 2022, 36, 115–120. [Google Scholar] [CrossRef]










| Strategic Choice | Labor Company B | ||
|---|---|---|---|
| Switching to Using Industrial Workers (y) | Continuing to Use Migrant Workers (1 − y) | ||
| Construction Unit A | Switching to using industrial workers (x) | ||
| Continuing to use migrant workers (1 − x) | |||
| State | p | ||||||||||
|---|---|---|---|---|---|---|---|---|---|---|---|
| 0 | 0 | 0 | 0 | + | − | ESS | O | ||||
| 0 | 1 | 0 | 0 | + | + | UNS | U | ||||
| 1 | 0 | 0 | 0 | + | + | UNS | V | ||||
| 1 | 1 | 0 | 0 | + | − | ESS | W | ||||
| x* | y* | 0 | H | L | 0 | −H* × L | − | 0 | SAD | S |
| Name | Initial Value | Parameter Meaning | Name | Initial Value | Parameter Meaning |
|---|---|---|---|---|---|
| 0.50 | Transformational ROI for construction unit | 0.50 | Probability of regulation for construction unit | ||
| 0.50 | Transformational ROI for labor company | 0.50 | Probability of regulation for labor company | ||
| 0.10 | Proportion of income ceded | 0.25 | Incentive strength for construction unit | ||
| 0.10 | Proportion of investment sharing | 0.25 | Incentive strength for labor company | ||
| 0.10 | Transformation revenue spillover factor for construction unit | 1.00 | Additional investment factor for relative rates of return | ||
| 0.10 | Transformation revenue spillover factor for labor company | 1.00 | Additional investment factor relative for relative investment |
Disclaimer/Publisher’s Note: The statements, opinions and data contained in all publications are solely those of the individual author(s) and contributor(s) and not of MDPI and/or the editor(s). MDPI and/or the editor(s) disclaim responsibility for any injury to people or property resulting from any ideas, methods, instructions or products referred to in the content. |
© 2023 by the authors. Licensee MDPI, Basel, Switzerland. This article is an open access article distributed under the terms and conditions of the Creative Commons Attribution (CC BY) license (https://creativecommons.org/licenses/by/4.0/).
Share and Cite
Guo, F.; Guo, M.; Li, Y.; Gu, J. Countermeasures for the Transformation of Migrant Workers to Industrial Workers in the Construction Industry Based on Evolutionary Game Theory. Buildings 2023, 13, 2985. https://doi.org/10.3390/buildings13122985
Guo F, Guo M, Li Y, Gu J. Countermeasures for the Transformation of Migrant Workers to Industrial Workers in the Construction Industry Based on Evolutionary Game Theory. Buildings. 2023; 13(12):2985. https://doi.org/10.3390/buildings13122985
Chicago/Turabian StyleGuo, Feng, Meiting Guo, Yuanyuan Li, and Jianglin Gu. 2023. "Countermeasures for the Transformation of Migrant Workers to Industrial Workers in the Construction Industry Based on Evolutionary Game Theory" Buildings 13, no. 12: 2985. https://doi.org/10.3390/buildings13122985
APA StyleGuo, F., Guo, M., Li, Y., & Gu, J. (2023). Countermeasures for the Transformation of Migrant Workers to Industrial Workers in the Construction Industry Based on Evolutionary Game Theory. Buildings, 13(12), 2985. https://doi.org/10.3390/buildings13122985

