Crack Analysis of Textile Reinforced Concrete Using Automated Crack Evaluation via Digital Image Correlation
Abstract
:1. Introduction
2. Materials
3. Methods
3.1. Experimental Setup and Testing Procedure
3.1.1. Tensile Strength Test on CTRC
3.1.2. Tensile Test with Defined Crack Width
3.1.3. Optical 3D Deformation Analysis
3.2. Automated Crack Evaluation Tool for Optical 3D-Deformation Analysis
- Importing measurement data as facet points from the DIC software;
- Processing the point coordinates of facet points in relation to the x and y axes within a coordinate system positioned on the test specimen;
- Storing the measured strains for each facet point and other data such as force, crosshead displacement, and LVDTs;
- Automatically identifying the positions of cracks and describing them using the point coordinates within the finalized crack image;
- Calculating the crack width during the test.
3.2.1. Algorithms of ACE
- Facet points belong to the same subregion;
- The next facet point can be assigned to the same group in terms of the beginning or end of a row. Typically, facet points on the right crack boarder are at the beginning of a row, while facet points on the left crack boarder are at the end of a row. Points located in a row with only one point may belong to the right and left crack boarders of two different cracks;
- Since the chain is traversed from higher to smaller y-coordinates, the subsequent point has a smaller y-coordinate than the starting point or the previous point;
- Regarding the y-coordinate, the facet point must be a maximum of 2 times and a minimum of 0.5 times the facet spacing away from the starting point or the previous point;
- In terms of the x-coordinate, the facet point must be a maximum of 4 facet points away from the starting point or the previous point.
- The sought BPs do not exceed the limit value of major strain;
- The y-coordinate of the sought BPs deviates by a maximum of 0.5 times the facet spacing from the y-coordinate of the mean value;
- A point with a greater x-coordinate and a point with a smaller x-coordinate than the mean value is sought.
- Facet points (with and without color representation of the major strain);
- Placement of virtual extensometer;
- Facet points with highlighted BPs, crack boarders, and BP couple;
- Stress and crosshead displacement across the evaluation stages;
- Crack distribution and average crack width;
- Average strain of virtual displacement sensors;
- Combinations of the mentioned individual data.
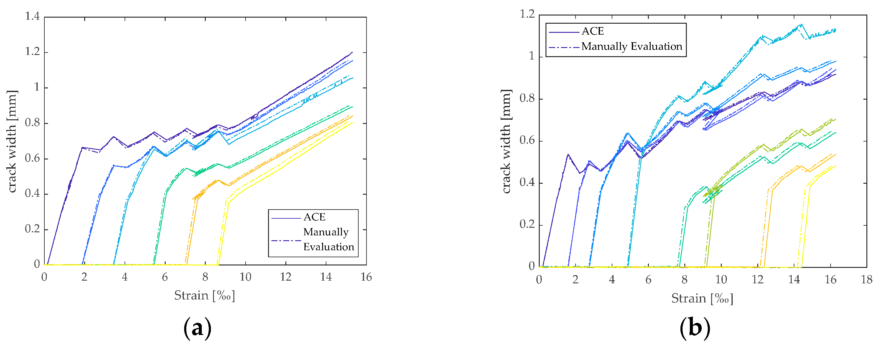
3.2.2. Validation of ACE
4. Results
4.1. Scaling Factor for Major Strain in Crack Analysis
4.2. Facet Size
4.3. Facet Overlap
5. Conclusions and Outlook
- ACE, as a novel tool, has been developed based on object-oriented programming. ACE enables the import of measurement data from the DIC software, facilitates facet point processing, and automates crack positions’ identification and crack width calculation for evaluation. In this process, the average crack width is calculated in terms of the entire cross-section. ACE was successfully validated for crack width analysis with manual evaluations using the DIC software;
- Strain bands formed during the laboratory experiments, which subsequently gave rise to individual cracks. The abrupt initiation of cracks led to the formation of strain bands, followed by a continuous increase in the major strain of facet points. The evaluation of these strain bands revealed that the presence of multiple small cracks results in a lower maximum major strain of the facet points in strain bands;
- Variations in the major strain scaling factor have a significant impact on crack width. An increase in this value leads to a smaller average crack width at the same strain stage. However, beyond a crack width threshold of 0.4 mm, the influence of the scaling factor becomes less pronounced. To achieve optimal crack width analysis, a scaling factor of 0.5% is recommended;
- The choice of facet size in the analysis of crack widths was proven to be a decisive factor in the evaluation of measurement data. Thereby, the facet size influences the number of data points available for analysis. The selected facet size should achieve a compromise between the detection of even minor cracks and the maintenance of manageable computational demands. In this context, based on the optical criteria, a facet size of 15 × 15 pixels or smaller is recommended;
- This parameter study on facet overlap in relation to crack width evaluation has demonstrated that for overlaps of three pixel or more, there was no detectable influence. Consequently, it is advisable to adopt a three-pixel overlap parameter to ensure optimal results. This selection ensures efficiency and precision in crack width evaluation within DIC measurements.
Author Contributions
Funding
Data Availability Statement
Conflicts of Interest
References
- Nyathi, M.A.; Bai, J.; Wilson, I.D. Concrete Crack Width Measurement Using a Laser Beam and Image Processing Algorithms. Appl. Sci. 2023, 13, 4981. [Google Scholar] [CrossRef]
- Yang, X.; Li, H.; Yu, Y.; Luo, X.; Huang, T.; Yang, X. Automatic pixel-level crack detection and measurement using fully convolutional network. Comput.-Aided Civ. Infrastruct. Eng. 2018, 33, 1090–1109. [Google Scholar] [CrossRef]
- Morales Cruz, C. Crack-Distributing Carbon Textile Reinforced Concrete Protection Layers. Ph.D. Thesis, RWTH Aachen University, Aachen, Germany, 2020. [Google Scholar]
- Morales Cruz, C.; Raupach, M. Influence of the surface modification by sanding of carbon textile reinforcements on the bond and load-bearing behavior of textile reinforced concrete. In Proceedings of the MATEC Web of Conferences: Concrete Solutions 2019—7th International Conference on Concrete Repair, Cluj, Romania, 30 September–2 October 2019; p. 10. [Google Scholar]
- Ortlepp, R.; Hampel, U.; Curbach, M. A new approach for evaluating bond capacity of TRC strengthening. Cem. Concr. Compos. 2006, 28, 589–597. [Google Scholar] [CrossRef]
- Hampel, U.; Maas, H.-G. Cascaded image analysis for dynamic crack detection in material testing. ISPRS J. Photogramm. Remote Sens. 2009, 64, 345–350. [Google Scholar] [CrossRef]
- Munawar, H.S.; Hammad, A.W.; Haddad, A.; Soares, C.A.P.; Waller, S.T. Image-based crack detection methods: A review. Infrastructures 2021, 6, 115. [Google Scholar] [CrossRef]
- Golding, V.P.; Gharineiat, Z.; Munawar, H.S.; Ullah, F. Crack detection in concrete structures using Deep Learning. Sustainability 2022, 14, 8117. [Google Scholar] [CrossRef]
- Scislo, L. Quality assurance and control of steel blade production using full non-contact frequency response analysis and 3D laser doppler scanning vibrometry system. In Proceedings of the 11th IEEE International Conference on Intelligent Data Acquisition and Advanced Computing Systems: Technology and Applications (IDAACS), Cracow, Poland, 22–25 September 2021; pp. 419–423. [Google Scholar]
- Longo, R.; Vanlanduit, S.; Vanherzeele, J.; Guillaume, P. A method for crack sizing using Laser Doppler Vibrometer measurements of Surface Acoustic Waves. Ultrasonics 2010, 50, 76–80. [Google Scholar] [CrossRef] [PubMed]
- Maas, H.G. On the potential of photogrammetric techniques in civil engineering material testing. Bautechnik 2012, 89, 786–793. [Google Scholar] [CrossRef]
- Sohn, H.G.; Lim, Y.M.; Yun, K.H.; Kim, G.H. Monitoring crack changes in concrete structures. Comput.-Aided Civ. Infrastruct. Eng. 2005, 20, 52–61. [Google Scholar] [CrossRef]
- Kim, H.; Ahn, E.; Cho, S.; Shin, M.; Sim, S.-H. Comparative analysis of image binarization methods for crack identification in concrete structures. Cem. Concr. Res. 2017, 99, 53–61. [Google Scholar] [CrossRef]
- Wang, P.; Huang, H. Comparison analysis on present image-based crack detection methods in concrete structures. In Proceedings of the 3rd International Congress on Image and Signal Processing, Yantai, China, 16–18 October 2010; pp. 2530–2533. [Google Scholar]
- Barazzetti, L.; Scaioni, M. Crack measurement: Development, testing and applications of an automatic image-based algorithm. ISPRS J. Photogramm. Remote Sens. 2009, 64, 285–296. [Google Scholar] [CrossRef]
- Godek, E.; Felekoglu, K.T. Effect of camera resolution on the determination of mechanical and multiple crack properties of Engineered Cementitious Composites via Digital Image Correlation. Hittite J. Sci. Eng. 2023, 10, 117–124. [Google Scholar] [CrossRef]
- Morales Cruz, C.; Kriescher, K.; Raupach, M. Instandsetzung des östlichen Umlaufkanals der Westkammer der Schleuse Anderten in Anlehnung an das BAW-Merkblatt MITEX. In Proceedings of the 8. Kolloquium Erhaltung von Bauwerken, Esslingen, Germany, 14–15 February 2023. [Google Scholar]
- Ohno, M.; Li, V.C. A feasibility study of strain hardening fiber reinforced fly ash-based geopolymer composites. Constr. Build. Mater. 2014, 57, 163–168. [Google Scholar] [CrossRef]
- Zhu, D.; Liu, S.; Yao, Y.; Li, G.; Du, Y.; Shi, C. Effects of short fiber and pre-tension on the tensile behavior of basalt textile reinforced concrete. Cem. Concr. Compos. 2019, 96, 33–45. [Google Scholar] [CrossRef]
- Wilhelm, T. Ein Experimentell Begründetes Mikromechanisches Modell zur Beschreibung von Bruchvorgängen in Beton bei Äußerer Krafteinwirkung. Ph.D. Thesis, Technische Universität Darmstadt, Darmstadt, Germany, 2006. [Google Scholar]
- Domski, J.; Katzer, J. Validation of aramis digital image correlation system for tests of fibre concrete based on waste aggregate. Key Eng. Mater. 2018, 761, 103–110. [Google Scholar] [CrossRef]
- Jesse, F.; Kutzner, T. Digital photogrammetry in construction engineering—Influence of major system parameters and accuracy potential in applications. Bautechnik 2013, 90, 703–714. [Google Scholar] [CrossRef]
- Hampel, U. Application of Photogrammetry for Measuring Deformations and Cracks during Load Tests in Civil Engineering Material Testing. Ph.D. Thesis, Technische Universität Dresden, Dresden, Germany, 2008. [Google Scholar]
- TR IH: Technische Regel—Instandhaltung von Betonbauwerken (TR Instandhaltung)—Teil 1: Anwendungsbereich und Planung der Instandhaltung; Deutsches Institut für Bautechnik (DIBt): Berlin, Germany, 2020.
- TR IH: Technische Regel—Instandhaltung von Betonbauwerken (TR Instandhaltung)—Teil 2: Merkmale von Produkten oder Systemen für die Instand-Setzung und Regelungen für deren Verwendung; Deutsches Institut für Bautechnik (DIBt): Berlin, Germany, 2020.
- Technical Product Data Sheet—Solidian. Available online: https://solidian.com/downloads/ (accessed on 12 October 2023).
- DIN EN 1015-3; Methods of Test for Mortar for Masonry—Part 3: Determination of Consistence of Fresh Mortar (By Flow Table). DIN Deutsches Institut für Normung e.V: Berlin, Germany, 2007; German Version.
- DIN EN 1015-6; Methods of Test for Mortar for Masonry—Part 6: Determination of Bulk Density of Fresh Mortar. DIN Deutsches Institut für Normung e.V: Berlin, Germany, 2007; German Version.
- DIN EN 1015-7; Methods of Test for Mortar for Masonry—Part 7: Determination of Air Content of Fresh Mortar. DIN Deutsches Institut für Normung e.V: Berlin, Germany, 1998; German Version.
- DIN EN 1015-11; Prüfverfahren für Mörtel für Mauerwerk—Teil 11: Bestimmung der Biegezug- und Druckfestigkeit von Festmörtel. DIN Deutsches Institut für Normung e.V: Berlin, Germany, 2020.
- GOM mbH. GOM Correlate Professional. V8 SR1 Manual Basic; GOM mbH: Braunschweig, Germany, 2015. [Google Scholar]
- Register, A.H. A Guide to MATLAB Object-Oriented Programming; Chapman & Hall/CRC: Boca Raton, FL, USA, 2007. [Google Scholar]
- Stein, U. Objektorientierte Programmierung Mit MATLAB: Klassen, Vererbung, Polymorphie; Carl Hanser Verlag GmbH Co. KG: Munich, Germany, 2015. [Google Scholar]
- Jesse, F. Bearing Behavior of Filament Yarns in a Cementitious Matrix. Ph.D. Thesis, Technische Universität Dresden, Dresden, Germany, 2005. [Google Scholar]
- Lange, J. Techniques for Measurement and Analysis in Crack and Fibre Detection at Concrete Elements. Ph.D. Thesis, RWTH Aachen University, Aachen, Germany, 2010. [Google Scholar]




















| Reinforcement | Roving | Roving | Textile | Titer | Average Tensile Strength |
|---|---|---|---|---|---|
| Axis Distance | Cross-Section | Cross-Section | (Wrap Direction) | ||
| (-) | (mm) | (mm²) | (mm²/m) | (tex) | (MPa) |
| CTR-EP-Sand | 21/21 | 0.90/0.90 | 43/43 | 1600 | 4200 ± 215 (1) |
| Mortar | Compressive Strength (1) | Bending Strength (1) |
|---|---|---|
| (-) | (MPa) | (MPa) |
| RM-A4 | 75 ± 4 | 11 ± 1.5 |
| SRM-A4 | 72 ± 3 | 4 ± 0.5 |
| Objective | Material Combination | Laboratory Experiments | |
|---|---|---|---|
| Development and validation of the automated crack evaluation tool (ACE) | RM (1) | Uniaxial tensile strength tests on CTRC expansion specimens | |
| Parameters for analyzing crack distribution with ACE based on measurements using DIC | Major strain (0.5/1.5/2/5/10/12/14%) | Steel | Tensile test with defined crack width |
| RM (1), SRM (2) | Uniaxial tensile strength tests on CTRC expansion specimens | ||
| Facet size (11 × 11/13 × 13/15 × 15/ 17 × 17/19 × 19/21 × 21/23 × 23 Pixel) | SRM (2) | ||
| Facet overlap (1/3/5/7 Pixel) | SRM (2) | ||
| Material | Calibrated 3D-Space (Measuring Volume) | Calibration Deviation (1) | Scale Deviation (1) |
|---|---|---|---|
| (mm³) | (Pixel) | ||
| RM | 435/370/370 | 0.024 | 0.001 |
| SRM | 210/180/175 | 0.099 | 0.001 |
| Facet Size | Facet Overlap | Number of Facet Points on Measurement Area CTRC |
|---|---|---|
| (Pixel) | (-) | |
| 11 × 11 | 3 | 21,023 |
| 13 × 13 | 13,478 | |
| 15 × 15 | 9379 | |
| 17 × 17 | 6894 | |
| 19 × 19 | 5290 | |
| 21 × 21 | 4168 | |
| 23 × 23 | 3403 | |
Disclaimer/Publisher’s Note: The statements, opinions and data contained in all publications are solely those of the individual author(s) and contributor(s) and not of MDPI and/or the editor(s). MDPI and/or the editor(s) disclaim responsibility for any injury to people or property resulting from any ideas, methods, instructions or products referred to in the content. |
© 2023 by the authors. Licensee MDPI, Basel, Switzerland. This article is an open access article distributed under the terms and conditions of the Creative Commons Attribution (CC BY) license (https://creativecommons.org/licenses/by/4.0/).
Share and Cite
Dahlhoff, A.; Raupach, M. Crack Analysis of Textile Reinforced Concrete Using Automated Crack Evaluation via Digital Image Correlation. Buildings 2023, 13, 2984. https://doi.org/10.3390/buildings13122984
Dahlhoff A, Raupach M. Crack Analysis of Textile Reinforced Concrete Using Automated Crack Evaluation via Digital Image Correlation. Buildings. 2023; 13(12):2984. https://doi.org/10.3390/buildings13122984
Chicago/Turabian StyleDahlhoff, Annette, and Michael Raupach. 2023. "Crack Analysis of Textile Reinforced Concrete Using Automated Crack Evaluation via Digital Image Correlation" Buildings 13, no. 12: 2984. https://doi.org/10.3390/buildings13122984
APA StyleDahlhoff, A., & Raupach, M. (2023). Crack Analysis of Textile Reinforced Concrete Using Automated Crack Evaluation via Digital Image Correlation. Buildings, 13(12), 2984. https://doi.org/10.3390/buildings13122984

