Dynamic Response Analysis of a Fiber-Reinforced Polymer Reinforced Viaduct under Full Scale Moving Maglev Train Load
Abstract
:1. Introduction
2. Modeling of the Maglev Train Carriages System
2.1. Maglev Train System Constitution
2.2. Establishment of the Maglev Train Model
2.3. Equations of Motion for Maglev Train Vehicles
3. The Maglev Viaduct System Modeling
3.1. The Maglev Viaduct System Constitution
3.2. The 3D-Finite Element Model of the Maglev Viaduct System
3.3. Material Characterization and Viaduct Damping in Dynamic Analysis
4. Modelling Interaction of Maglev Train and Viaduct Contact Area
4.1. Interactive Model of Air Gap-Electromagnet Force
4.2. Motion Equations of Coupled Maglev Train-Viaduct System
5. Validation of the Numerical Model
5.1. Comparative Analysis between Field Measurements and the 3D-FEM Result
- Stage 1
- Stage 2
- (1)
- The targeted speed fluctuated since it was impossible to keep the maglev train’s speed consistent during operation.
- (2)
- When the maglev train approaches, the sensors are subjected to vibrations, which continue even after the magnet passes. As a result, the sensors’ reaction is compromised. The disparity between the inclination of the spikes in the 3D-FE model result and the vibrations in the field measurement is seen here.
- (3)
- Rayleigh damping parameters are based on a modal study of the entire system, although in practice, each material responds differently depending on its damping.
- (4)
- The possible external traffic impact on the collected data, whereas the ground effect, is not taken into account in this investigation.
5.2. Correlation Analysis between the 3D-FEM Results and Field Data Test
6. Pultruded FRP Rod Performance Analysis in a Maglev Viaduct in Operation
6.1. Pultruded FRP Characterization and Modelling
6.2. Dynamic Response of the Maglev Viaduct System
6.3. Extreme Response Analysis of the Girder Subject to a Maglev Train Carriage
- The mass (m) of the entire system is considered to be lumped in the middle of the reinforced concrete beam.
- No energy-consuming elements are present in the system.
- The reinforced concrete is considered a composite material whose mechanical properties can be determined using Voigt’s method.
- The governing equation of such a system (mass-spring system without damping in free vibration) using a mass matrix approach is the following:
7. Conclusions
- The comparison of the calculated acceleration and displacement histories with those measured at the girder’s mid-span reveals a good correlation with a slight error rate, defining the model’s reliability to accurately simulate the dynamic behavior of the girder during maglev train operation on a viaduct. This leads to a first observation about the direct dissipation of the load carried by rails on the ground by the girder-piers transmission system because the maximum dynamic strain in the middle of the girder at mid-span is not as great as that at the girder’s edge (rail position) at mid-span, thus justifying the importance of taking the hybrid-guideway girder into account in the development of the Shanghai maglev viaduct 3D-FE model for more realistic results.
- The analysis of the girder’s dynamic response at midspan reveals a time-history evolution of dynamic pressure in three phases (pre-load, full-load, and post-load), dominated by the compressive component in the full-load period, then stabilizing at the end of the load to be dominated by the tensile component in the third period. A similar phenomenon of phase change over time is observed in the case of the vertical displacement of the girder at mid-span, the amplitude of which increases with maglev train speed, with the detection of dynamic amplification at certain speeds.
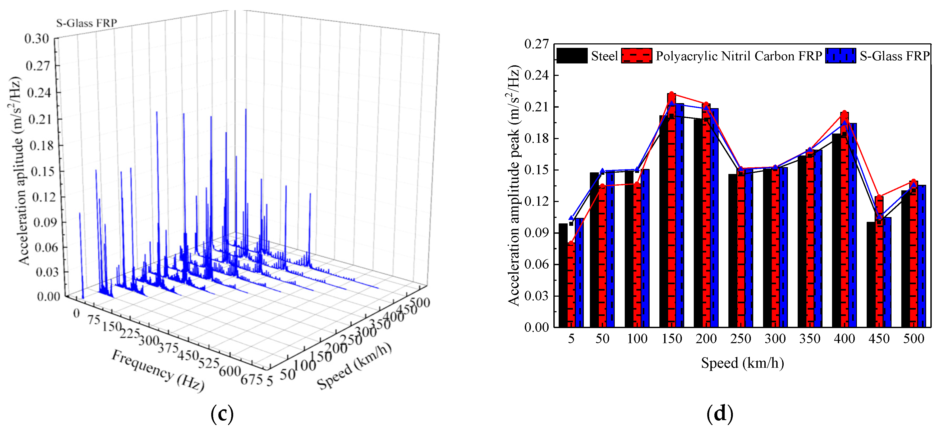
- The study of the influence of FRPs (polyacrylic nitrile carbon and S-glass) used to replace steel in reinforced concrete reveals that the stiffness of the materials utilized governs the vertical displacement of the structure. Indeed, at all study speeds, the structure reinforced with polyacrylic nitrile carbon FRP (high elasticity) has minimal displacement, but the structure reinforced with S-Glass (low elasticity) experiences significant displacement. The use of high-rigidity fibers thus contributes significantly to the viaduct’s ability to withstand the displacements generated by maglev train operation.
- An examination of the acceleration amplitude spectrum indicates an irregularity in the efficiency of FRPs in replacing steel to reinforce the viaduct girder’s concrete. The impact of FRPs varies depending on the speed studied; that is, there are train operating speeds for which the structure is governed by the stiffness of the materials, while for other train operating speeds, the structure is governed by the weight of the structure. As a result, the impact of reinforcing the concrete girder of the viaduct with FRPs is significantly dependent on the frequency of the moving load.
- The use of high-stiffness FRPs is effective for bridges subjected to very low dynamic load frequencies due to the quasi-static behavior of the structure. Thus, the acceleration of the structure governed by the stiffness of the materials is minimal for high-stiffness FRPs.
- As operating speed increases beyond the quasi-static period of bridge behavior, resonance phenomena dependent on the natural frequency of the structure begin to occur. As such, a structure with a high natural frequency experiences dynamic amplification later on; this results in a lack of constancy in the effectiveness of high-rigidity FRPs in replacing steel, as (1) an FRP-reinforced bridge may experience resonance phenomena before or after the steel-reinforced bridge during train operation, (2) the period when the acceleration amplitude of the FRP-reinforced structure falls after reaching its peak may coincide with the period when the acceleration amplitude of the steel-reinforced structure rises. This means that particular attention must be paid to the frequency of dynamic loading to which the bridge is subjected in order to take advantage of the periods when FRP is effective.
- The amplitude of acceleration in the resonance zone is strongly dependent on the bridge weight. In other words, the lighter the bridge, the greater the acceleration amplitude in the resonance zone. Consequently, the use of lightweight fibers to replace steel in the bridge girder concrete must be channeled in such a way as to avoid resonance speeds during train operation or to increase the concrete volume to compensate for the weight deficit in the event that the frequency of the dynamic load cannot be controlled.
8. Work Limitation
- (1)
- The rigid body hypothesis is employed to model the primary components of the train system, implying that the elastic deformation of these components is ignored.
- (2)
- Linear spring elements are employed to model the train subsystem’s rigid body connections.
- (3)
- Throughout the dynamic analysis, rigid body displacements and rotations are considered to be low.
- (4)
- Due to the intricacy of the girder’s constitution, the analytical model of the Hybrid-Guideway Girder was simplified in a simple supported beam of trapezoidal shape.
Author Contributions
Funding
Data Availability Statement
Conflicts of Interest
Nomenclature
| Mass matrix of the maglev train carriage subsystem | Stiffness matrix of the maglev train carriage subsystem | ||
| Damping matrix of the maglev train carriage subsystem | Acceleration vectors of the carriage subsystem | ||
| Velocity vectors of the carriage subsystem | Displacement vectors of the carriage subsystem | ||
| Interaction force vector between the maglev train carriage and guideway | External forces | ||
| Motion displacement matrice of the train system | Rockers displacement matrice of the jth maglev train carriage | ||
| Bogies displacement matrice of the jth maglev train carriage | Mass matrice of the train system | ||
| Rockers mass matrice of the jth maglev train carriage | Bogies mass matrice of the jth maglev train carriage | ||
| ξ | Damping ratio | ω | Natural angular frequency |
| α | β | ||
| t | Current time step | Current-controlled electromagnetic force between the wth maglev pole and the rail | |
| Electrical intensity | Magnetic air gap | ||
| K0 | Coupling factor related to the cross-sectional area of the core | Nm | Number of turns in the magnet winding |
| Aw | Area of the pole face | μ0 | Air permeability |
| uw | Displacement of the wth magnetic pole | uG | Track deflection at the wth magnetic pole |
| Location of the wth maglev pole in the global X-coordinate | Track irregularity | ||
| Initial inductance of the coil winding of the magnet | R0 | Coil resistance of the electronic circuit | |
| Static voltage | Control voltage of the wth maglev pole | ||
| Electromagnetic forces vector acting on the maglev train carriage | Electromagnetic forces vector acting on the viaduct | ||
| Vertical displacement of the girder at a position x and time t | Moving carriage load at a position x of the girder and time t | ||
| Distance between the ith moving concentrated force and the first concentrated force | Time when the ith moving concentrated force reaches the end of the girder | ||
| Dirac function | Heaviside function | ||
| Generalized coordinate | Mode function | ||
| nth mode damping ratio | Circular frequency | ||
| nth-order mode load of the moving vehicle forces | Transfer function | ||
| Spectrum of the moving load | Girder acceleration response spectrum |
Appendix A

References
- Van Den Einde, L.; Zhao, L.; Seible, F. Use of FRP composites in civil structural applications. Constr. Build. Mater. 2003, 17, 389–403. [Google Scholar] [CrossRef]
- Karbhari, V.; Seible, F.; Burgueno, R.; Davol, A.; Wernli, M.; Zhao, L. Structural characterization of fiber-reinforced composite short-and medium-span bridge systems. Appl. Compos. Mater. 2000, 7, 151–182. [Google Scholar] [CrossRef]
- Mirmiran, A.; Naguib, W.; Shahawy, M. Principles and analysis of concrete-filled composite tubes. J. Adv. Mater. 2000, 32, 16–23. [Google Scholar]
- Dagher, H.J.; Schmidt, A.L.; Abdel-Magid, B.; Iyer, S. FRP post-tensioning of laminated timber bridges. In Evolving Technologies for the Competitive Edge, Proceedings of the 42nd International Sampe Symposium and Exhibition, Anaheim, CA, USA, 4–8 May 1997; Society for the Advancement of Material and Process Engineering: Covina, CA, USA, 1997; pp. 933–938. [Google Scholar]
- Alampalli, S.; O’Connor, J.; Yannotti, A.P.; Luu, K.T. Fiber-reinforced plastics for bridge construction and rehabilitation in New York. In Materials and Construction: Exploring the Connection; ASCE: Reston, VA, USA, 1999; pp. 344–350. [Google Scholar]
- Bakis, C.E.; Bank, L.C.; Brown, V.; Cosenza, E.; Davalos, J.; Lesko, J.; Machida, A.; Rizkalla, S.; Triantafillou, T. Fiber-reinforced polymer composites for construction—State-of-the-art review. J. Compos. Constr. 2002, 6, 73–87. [Google Scholar] [CrossRef]
- Al-Rousan, R.Z. Impact of sulfate damage on the behavior of full-scale concrete bridge deck slabs reinforced with FRP bars. Case Stud. Constr. Mater. 2022, 16, e01030. [Google Scholar] [CrossRef]
- Meier, U.; Triantafillou, T.; Deskovic, N. Innovative design of FRP combined with concrete: Short-term behaviour. J. Struct. Eng. 1995, 121, 1069–1078. [Google Scholar]
- Correia, J.R.; Branco, F.A.; Ferreira, J.G. Flexural behaviour of GFRP–concrete hybrid beams with interconnection slip. Compos. Struct. 2007, 77, 66–78. [Google Scholar] [CrossRef]
- Kitane, Y.; Aref, A.J.; Lee, G.C. Static and fatigue testing of hybrid fiber-reinforced polymer-concrete bridge superstructure. J. Compos. Constr. 2004, 8, 182–190. [Google Scholar] [CrossRef]
- Manalo, A.; Aravinthan, T.; Mutsuyoshi, H.; Matsui, T. Composite behaviour of a hybrid FRP bridge girder and concrete deck. Adv. Struct. Eng. 2012, 15, 589–600. [Google Scholar] [CrossRef]
- El-Hacha, R.; Chen, D. Behaviour of hybrid FRP–UHPC beams subjected to static flexural loading. Compos. Part B Eng. 2012, 43, 582–593. [Google Scholar] [CrossRef]
- Gutiérrez, E.; Primi, S.; Mieres, J.M.; Calvo, I. Structural testing of a vehicular carbon fiber bridge: Quasi-static and short-term behavior. J. Bridge Eng. 2008, 13, 271–281. [Google Scholar] [CrossRef]
- Ziehl, P.H.; Engelhardt, M.D.; Fowler, T.J.; Ulloa, F.V.; Medlock, R.D.; Schell, E. Design and field evaluation of hybrid FRP/reinforced concrete superstructure system. J. Bridge Eng. 2009, 14, 309–318. [Google Scholar] [CrossRef]
- Cheung, M. CSA standard S806-Design and construction of building components with fibre reinforced polymers—A current overview. In Fourth Canada-Japan Workshop on Composites; CRC Press: Boca Raton, FL, USA, 2020; pp. 375–384. [Google Scholar]
- ACI Committee. Building Code Requirements for Structural Concrete (ACI 318-08) and Commentary; American Concrete Institute: Farmington Hills, MI, USA, 2008. [Google Scholar]
- Newhook, J.; Svecova, D. Reinforcing Concrete Structures with Fibre Reinforced Polymers: Design manual no. 3. Can. ISIS Can. Corp 2007, 151, 449–458. [Google Scholar]
- Pecce, M.; Manfredi, G.; Cosenza, E. Experimental response and code Modelsof GFRP RC beams in bending. J. Compos. Constr. 2000, 4, 182–190. [Google Scholar] [CrossRef]
- Yost, J.R.; Gross, S.P.; Dinehart, D.W. Effective moment of inertia for glass fiber-reinforced polymer-reinforced concrete beams. Struct. J. 2003, 100, 732–739. [Google Scholar]
- Bischoff, P.H. Reevaluation of deflection prediction for concrete beams reinforced with steel and fiber reinforced polymer bars. J. Struct. Eng. 2005, 131, 752–767. [Google Scholar] [CrossRef]
- Bischoff, P.H.; Scanlon, A. Effective moment of inertia for calculating deflections of concrete members containing steel reinforcement and fiber-reinforced polymer reinforcement. ACI Struct. J. 2007, 104, 68. [Google Scholar]
- du Béton, F.I. FRP reinforcement in RC structures. Task Group 2007, 9, 151. [Google Scholar]
- Higgins, I.C. Impact of Changes in the Design Methodology between the American Concrete Institute’s Draft Code Provisions for GFRP-Reinforced Concrete and the ACI 440.1 R-15 Guide for the Design and Construction of Structural Concrete Reinforced with FRP Bars; Widener University: Chester, PA, USA, 2020. [Google Scholar]
- Feo, L. Guide for the Design and Construction of Concrete Structures Reinforced with Fiber-Reinforced Polymer Bars; CNR: Rome, Italy, 2007; pp. 1–39.
- Russell, J.; Wei, X.; Živanović, S.; Kruger, C. Dynamic response of an FRP footbridge due to pedestrians and train buffeting. Procedia Eng. 2017, 199, 3059–3064. [Google Scholar] [CrossRef]
- Gunaydin, M.; Adanur, S.; Altunisik, A.; Sevim, B. Static and dynamic responses of Halgavor Footbridge using steel and FRP materials. Steel Compos. Struct. 2015, 18, 51–69. [Google Scholar] [CrossRef]
- Adanur, S.; Mosallam, A.S.; Shinozuka, M.; Gumusel, L. A comparative study on static and dynamic responses of FRP composite and steel suspension bridges. J. Reinf. Plast. Compos. 2011, 30, 1265–1279. [Google Scholar] [CrossRef]
- Zhang, Y.; Cai, C.; Shi, X.; Wang, C. Vehicle-induced dynamic performance of FRP versus concrete slab bridge. J. Bridge Eng. 2006, 11, 410–419. [Google Scholar] [CrossRef]
- Haw Shin, Y.; Yee Yoong, Y.; Hejazi, F.; Raizal Saifulnaz, M. Review on pultruded FRP structural design for building construction. In IOP Conference Series: Earth and Environmental Science; IOP Publishing: Bristol, UK, 2019; p. 012006. [Google Scholar]
- Živanović, S.; Feltrin, G.; Mottram, J.; Brownjohn, J. Vibration performance of bridges made of fibre reinforced polymer. In Dynamics of Civil Structures, Volume 4: Proceedings of the 32nd IMAC, A Conference and Exposition on Structural Dynamics, 2014; Springer: Berlin/Heidelberg, Germany, 2014; pp. 155–162. [Google Scholar]
- Shi, J.; Wei, Q.; Zhao, Y. Analysis of dynamic response of the high-speed EMS maglev vehicle/guideway coupling system with random irregularity. Veh. Syst. Dyn. 2007, 45, 1077–1095. [Google Scholar] [CrossRef]
- Cai, Y.; Chen, S.; Rote, D.; Coffey, H. Vehicle/guideway dynamic interaction in maglev systems. J. Dyn. Sys. Meas. Control 1996, 118, 526–530. [Google Scholar] [CrossRef]
- Ren, S. Dynamic Simulation of the Maglev Guideway Design; Delft University of Technology: Delft, The Netherlands, 2008. [Google Scholar]
- Ren, S.; Romeijn, A.; Klap, K. Dynamic simulation of the maglev vehicle/guideway system. J. Bridge Eng. 2010, 15, 269–278. [Google Scholar] [CrossRef]
- Wu, X. Maglev Train; Shanghai Science and Technology Press: Shanghai, China, 2003. [Google Scholar]
- Malveiro, J.; Ribeiro, D.; Calçada, R.; Delgado, R. Updating and validation of the dynamic model of a railway viaduct with precast deck. Struct. Infrastruct. Eng. 2014, 10, 1484–1509. [Google Scholar] [CrossRef]
- Gemi, L.; Madenci, E.; Özkılıç, Y.O. Experimental, analytical and numerical investigation of pultruded GFRP composite beams infilled with hybrid FRP reinforced concrete. Eng. Struct. 2021, 244, 112790. [Google Scholar] [CrossRef]
- Chango, I.V.L.; Chen, J. Numerical and Statistical Evaluation of the Performance of Carbon Fiber-Reinforced Polymers as Tunnel Lining Reinforcement during Subway Operation. Buildings 2022, 12, 1913. [Google Scholar] [CrossRef]
- Zeng, G.Y.F. Witness the Milestone of China’s High-Speed Maglev System Technology Application; Shanghai Science and Technology Press: Shanghai, China, 2023. (In Chinese) [Google Scholar]
- Li, P.-F.; Wang, Y.-F.; Liu, B.-D.; Su, L. Damping properties of highway bridges in China. J. Bridge Eng. 2014, 19, 04014005. [Google Scholar] [CrossRef]
- Sinha, P. Electromagnetic Suspension: Dynamics and Control STEVENAGE; UK Peregrinus: London, UK, 1987. [Google Scholar]
- Ju, S.; Ho, Y.; Leong, C. A finite element method for analysis of vibration induced by maglev trains. J. Sound Vib. 2012, 331, 3751–3761. [Google Scholar] [CrossRef]
- Yang, Y.; Yau, J. An iterative interacting method for dynamic analysis of the maglev train–guideway/foundation–soil system. Eng. Struct. 2011, 33, 1013–1024. [Google Scholar] [CrossRef]
- Wang, Z.; Xu, Y.; Li, G.; Yang, Y.; Chen, S.W.; Zhang, X. Modelling and validation of coupled high-speed maglev train-and-viaduct systems considering support flexibility. Veh. Syst. Dyn. 2019, 57, 161–191. [Google Scholar] [CrossRef]
- Yau, J. Aerodynamic response of an EMS-type maglev vehicle running on flexible guideways. In Proceedings of the 10th International Conference on Flud Control, Measurements, and Visualization, Moscow, Russia, 17–21 August 2009. [Google Scholar]
- Jun, S.; Liao, J.; Ye, Y. Behavior of ground vibrations induced by trains moving on embankments with rail roughness. Soil Dyn. Earthq. Eng. 2010, 30, 1237–1249. [Google Scholar]
- Morales, C.N.; Claure, G.; Álvarez, J.; Nanni, A. Evaluation of fiber content in GFRP bars using digital image processing. Compos. Part B Eng. 2020, 200, 108307. [Google Scholar] [CrossRef]
- Hu, J.; Bian, X.-C. Analysis of dynamic stresses in ballasted railway track due to train passages at high speeds. J. Zhejiang Univ.-Sci. A 2022, 23, 443–457. [Google Scholar] [CrossRef]
- Guo, J.; Xu, L.; Xu, C.; Chen, R.; Lin, J. Dynamic response analysis on stress and displacement of the shield tunnel structure and soil layer under train-induced vibration in Xiamen Metro Line 6. Sustainability 2022, 14, 11962. [Google Scholar] [CrossRef]
- Cheng, Z.; Zhang, N.; Gao, C.; Du, X.; Zhou, S. Amplification factor analysis of a simply supported beam under moving loads. Adv. Mech. Eng. 2022, 14, 16878132221108621. [Google Scholar] [CrossRef]
- Yang, Y.-B.; Yau, J.-D. Vehicle-bridge interaction element for dynamic analysis. J. Struct. Eng. 1997, 123, 1512–1518. [Google Scholar] [CrossRef]


















| Identification | Value |
|---|---|
| Carriage body mass (kg) | 39.0 × 103 |
| Carriage body inertial moment, Ixx (kg·m2) | 64.6 × 103 |
| Carriage body inertial moment, Iyy (kg·m2) | 17.5 × 105 |
| Carriage body inertial moment, Izz (kg·m2) | 17.6 × 105 |
| Bogie mass (kg) | 13.2 × 102 |
| Bogie inertial moment, Ixx (kg·m2) | 58.0 × 101 |
| Bogie inertial moment, Iyy (kg·m2) | 22.0 × 101 |
| Bogie inertial moment, Izz (kg·m2) | 11.0 × 102 |
| Levitation magnet mass (kg) | 60.3 × 101 |
| Guidance magnet mass (kg) | 38.7 × 101 |
| FEM | |||||
|---|---|---|---|---|---|
| Vibration Acceleration at Midspan under Girder | Acceleration Spectrum at Midspan under Girder | Vertical Displacement at Girder Midspan | Sig (2-Tailed) | ||
| Field Test | Vibration acceleration at midspan under girder | 0.954 ** | 0.000 | ||
| Acceleration spectrum at midspan under girder | 0.932 ** | 0.000 | |||
| Vertical displacement at girder midspan | 0.988 ** | 0.000 | |||
| Shi Model | Vibration acceleration at point R | 0.907 ** | 0.000 | ||
| Material Type | Density (kg/m3) | Tensile Strength (Pa) | Young’s Modulus (Pa) | Elongation (%) | Poisson’s Ratio |
|---|---|---|---|---|---|
| Polyacrylic nitrile carbon high modulus | 1900 | 3.10 × 1009 | 6.24 × 1011 | 0.7 | 0.23 |
| S-glass | 2500 | 4.58 × 1009 | 8.55 × 1010 | 3.3 | 0.22 |
| Matrix (Polyester-Thermoset resin) | 1240 | 7.7 × 1007 | 6.00 × 1009 | - | 0.38 |
| Filler (CaCO3) | 2700 | - | 5.66 × 1010 | - | 0.3 |
| Analytical Model | |||||
|---|---|---|---|---|---|
| Numerical model | Speed (km/h) | 50 | 150 | 250 | |
| Speed (km/h) | Amplitude acceleration (m·s−2/Hz) | 0.38255 | 1.11007 | 0.97513 | |
| 50 | 0.413 | 7.37% | |||
| 150 | 1.212 | 8.41% | |||
| 250 | 1.058 | 7.83% | |||
Disclaimer/Publisher’s Note: The statements, opinions and data contained in all publications are solely those of the individual author(s) and contributor(s) and not of MDPI and/or the editor(s). MDPI and/or the editor(s) disclaim responsibility for any injury to people or property resulting from any ideas, methods, instructions or products referred to in the content. |
© 2023 by the authors. Licensee MDPI, Basel, Switzerland. This article is an open access article distributed under the terms and conditions of the Creative Commons Attribution (CC BY) license (https://creativecommons.org/licenses/by/4.0/).
Share and Cite
Chango, I.V.L.; Chen, J.; Han, Z. Dynamic Response Analysis of a Fiber-Reinforced Polymer Reinforced Viaduct under Full Scale Moving Maglev Train Load. Buildings 2023, 13, 2899. https://doi.org/10.3390/buildings13122899
Chango IVL, Chen J, Han Z. Dynamic Response Analysis of a Fiber-Reinforced Polymer Reinforced Viaduct under Full Scale Moving Maglev Train Load. Buildings. 2023; 13(12):2899. https://doi.org/10.3390/buildings13122899
Chicago/Turabian StyleChango, Ishola Valere Loic, Jun Chen, and Ziping Han. 2023. "Dynamic Response Analysis of a Fiber-Reinforced Polymer Reinforced Viaduct under Full Scale Moving Maglev Train Load" Buildings 13, no. 12: 2899. https://doi.org/10.3390/buildings13122899
APA StyleChango, I. V. L., Chen, J., & Han, Z. (2023). Dynamic Response Analysis of a Fiber-Reinforced Polymer Reinforced Viaduct under Full Scale Moving Maglev Train Load. Buildings, 13(12), 2899. https://doi.org/10.3390/buildings13122899

