Finite Element Analysis and Calculation Method of Concrete-Filled Stainless Steel Tubes under Eccentric Tension
Abstract
:1. Introduction
2. Numerical Modeling
2.1. General Information
2.1.1. Mesh Setting
2.1.2. Interfacial Behavior
2.1.3. Boundary Conditions
2.2. Material Properties
2.2.1. Concrete
2.2.2. Stainless Steel
2.3. Model Validation
3. Analytical Behavior and Discussion
3.1. Deformation Response under Loading
3.2. Force Distribution between Steel Tube and Concrete
3.3. Contact Stress of Stainless Steel Tube-Concrete Core Interface
3.4. Stainless Steel Tube Stress
3.5. Concrete Stress
4. Parametric Investigate
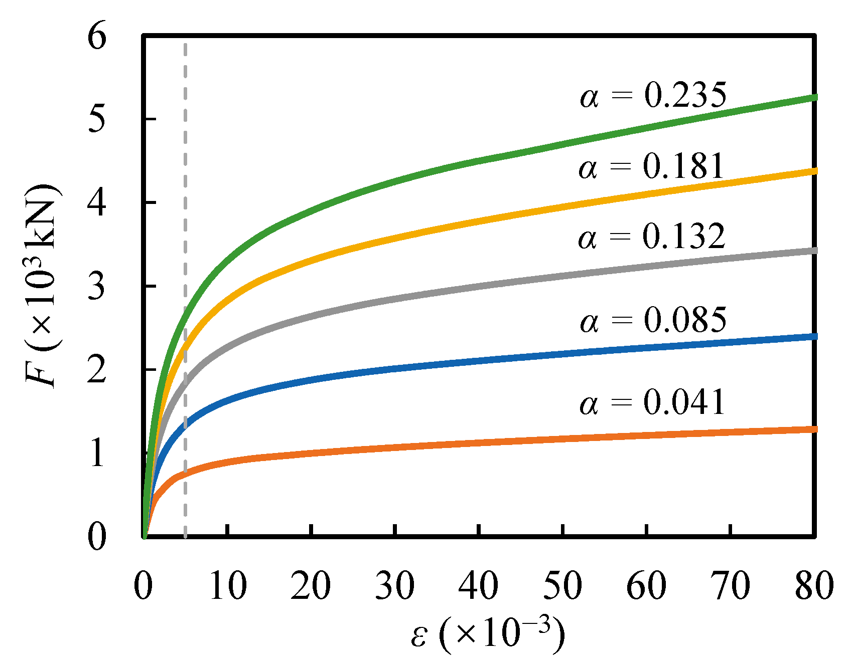
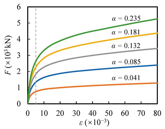
4.1. Effect of Stainless Steel Ratio
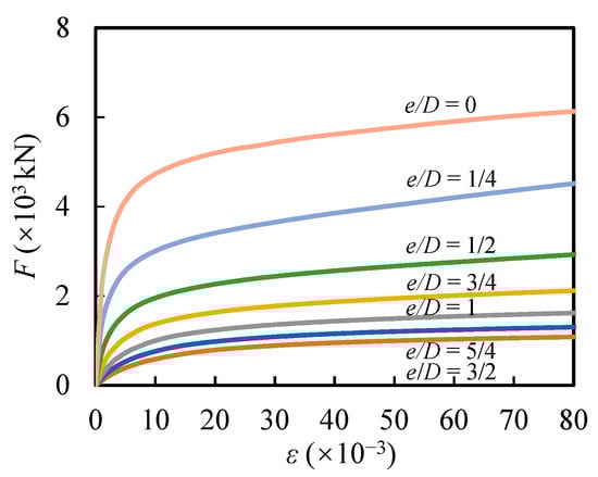
4.2. Effect of Load Eccentricity
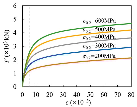
4.3. Effect of Stainless Steel Strength
4.4. Effect of Concrete Strength
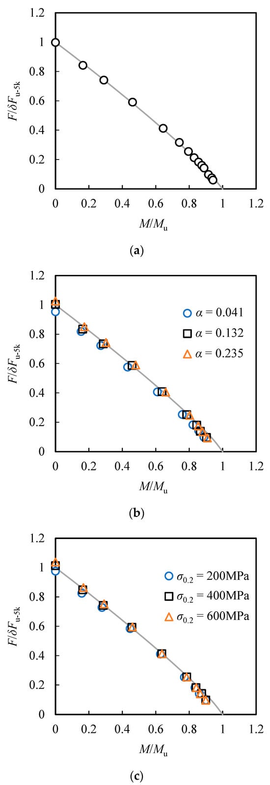
5. Calculation Model
6. Conclusions
- Considerable accuracy has been achieved in calculating the mechanical property of CFSST eccentrically tensile members using the established FEA three-dimensional model;
- The analysis confirms the combined actions of the stainless steel tube and core concrete are necessary when calculating the ultimate strength of CFSST eccentrically tensile members;
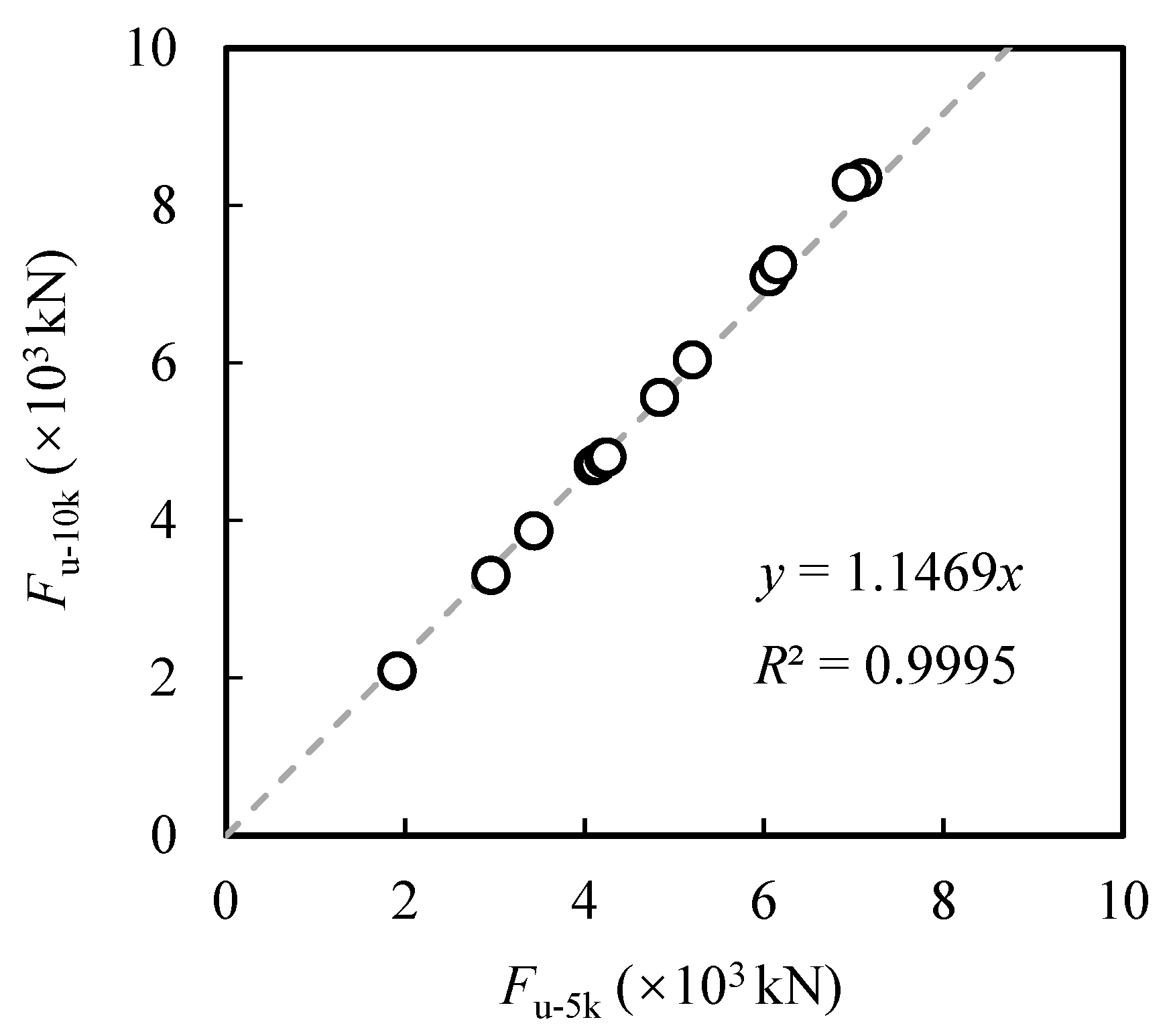
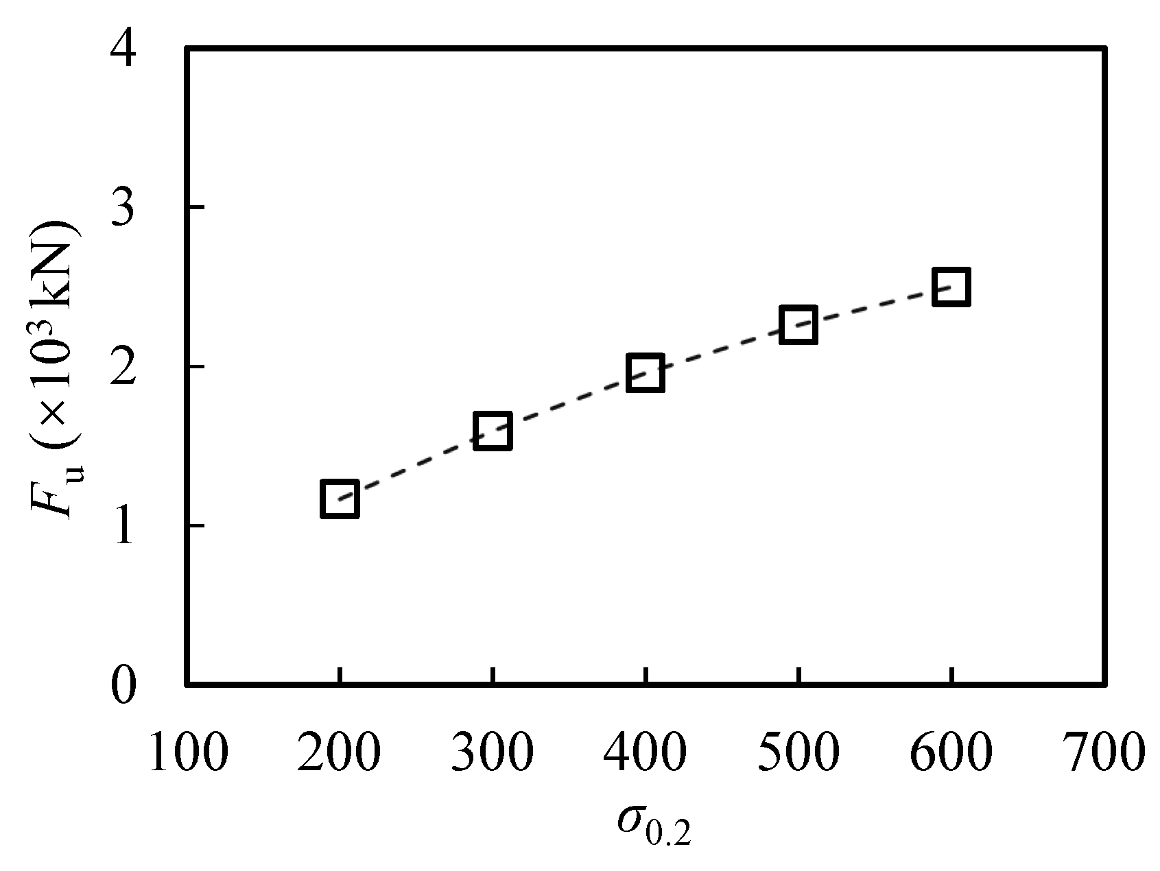
- The steel ratio, 0.2% proof stress of stainless steel (σ0.2), and load eccentricity play the key role in the ultimate load-carrying capacity of CFSST tensile members. While the influence of concrete strength is inappreciable in the range of concrete strength parameters considered;
- This study presents a reliable model for the prediction of the ultimate load-carrying capacity of CFSST members under eccentric tension, and acceptable conformance is accomplished between the formula-predicted and FEA-calculated results with minor error and scatter.
Author Contributions
Funding
Data Availability Statement
Acknowledgments
Conflicts of Interest
References
- Han, L.H.; Xu, C.Y.; Tao, Z. Performance of concrete filled stainless steel tubular (CFSST) columns and joints: Summary of recent research. J. Constr. Steel Res. 2019, 152, 117–131. [Google Scholar] [CrossRef]
- Young, B.; Ellobody, E. Experimental investigation of concrete-filled cold-formed high strength stainless steel tube columns. J. Constr. Steel Res. 2006, 62, 484–492. [Google Scholar] [CrossRef]
- Ellobody, E.; Young, B. Design and behaviour of concrete-filled cold-formed stainless steel tube columns. Eng. Struct. 2006, 28, 716–728. [Google Scholar] [CrossRef]
- Lam, D.; Gardner, L. Structural design of stainless steel concrete filled columns. J. Constr. Steel Res. 2008, 64, 1275–1282. [Google Scholar] [CrossRef]
- Hassanein, M.F. Numerical modelling of concrete-filled lean duplex slender stainless steel tubular stub columns. J. Constr. Steel Res. 2010, 66, 1057–1068. [Google Scholar] [CrossRef]
- An, H.; Wang, F.; Zhao, O. Experimental and numerical studies of concrete-filled high-chromium stainless steel tube (CFHSST) stub columns. Thin-Walled Struct. 2019, 2019, 106273. [Google Scholar]
- Dabaon, M.A.; El-Boghdadi, M.H.; Hassanein, M.F. Experimental investigation on concrete-filled stainless steel stiffened tubular stub columns. Eng. Struct. 2009, 31, 300–307. [Google Scholar] [CrossRef]
- Dabaon, M.; El-Khoriby, S.; El-Boghdadi, M.; Hassanein, M.F. Confinement effect of stiffened and unstiffened concrete-filled stainless steel tubular stub columns. J. Constr. Steel Res. 2009, 65, 1846–1854. [Google Scholar] [CrossRef]
- Ellobody, E. Nonlinear behavior of concrete-filled stainless steel stiffened slender tube columns. Thin-Walled Struct. 2007, 45, 259–273. [Google Scholar] [CrossRef]
- Uy, B.; Tao, Z.; Han, L.H. Behaviour of short and slender concrete-filled stainless steel tubular columns. J. Constr. Steel Res. 2011, 67, 360–378. [Google Scholar] [CrossRef]
- Lam, D.; Gardner, L.; Burdett, M. Behaviour of axially loaded concrete filled stainless steel elliptical stub columns. Adv. Struct. Eng. 2010, 13, 493–500. [Google Scholar] [CrossRef]
- Dai, X.; Lam, D. Axial compressive behaviour of stub concrete-filled columns with elliptical stainless steel hollow sections. Steel Compos. Struct. Int. J. 2010, 10, 517–539. [Google Scholar] [CrossRef]
- Tao, Z.; Uy, B.; Liao, F.Y.; Han, L.H. Nonlinear analysis of concrete-filled square stainless steel stub columns under axial compression. J. Constr. Steel Res. 2011, 67, 1719–1732. [Google Scholar] [CrossRef]
- Gunawardena, Y.; Aslani, F. Static flexural behaviour of concrete-filled spiral-welded stainless-steel tubes. Thin-Walled Struct. 2020, 151, 106731. [Google Scholar] [CrossRef]
- He, A.; Liang, Y.; Zhao, O. Flexural buckling behaviour and resistances of circular high strength concrete-filled stainless steel tube columns. Eng. Struct. 2020, 219, 110893. [Google Scholar] [CrossRef]
- Hassanein, M.F.; Shao, Y.B.; Elchalakani, M.; El Hadidy, A.M. Flexural buckling of circular concrete-filled stainless steel tubular columns. Mar. Struct. 2020, 71, 102722. [Google Scholar] [CrossRef]
- Patel, V.I.; Liang, Q.Q.; Hadi, M.N.S. Nonlinear analysis of circular high strength concrete-filled stainless steel tubular slender beam-columns. Eng. Struct. 2017, 130, 1–13. [Google Scholar] [CrossRef]
- Patel, V.I.; Liang, Q.Q.; Hadi, M.N.S. Nonlinear analysis of biaxially loaded rectangular concrete-filled stainless steel tubular slender beam-columns. Eng. Struct. 2017, 140, 120–133. [Google Scholar] [CrossRef]
- Gunawardena, Y.; Aslani, F. Behaviour and design of concrete-filled spiral-welded stainless-steel tube short columns under concentric and eccentric axial compression loading. J. Constr. Steel Res. 2019, 158, 522–546. [Google Scholar] [CrossRef]
- Zhong, Y.K.; Zhao, O. Behaviour of eccentrically loaded circular recycled aggregate concrete-filled stainless steel tube stub columns. J. Constr. Steel Res. 2022, 198, 107568. [Google Scholar] [CrossRef]
- Tang, H.Y.; Hou, L.J.; Yuan, Z.Y.; Wang, Y.Z. Eccentric compressive behavior of square concrete-filled stainless steel tube (CFSST) stub columns. Structures 2023, 55, 1920–1935. [Google Scholar] [CrossRef]
- Yousuf, M.; Uy, B.; Tao, Z.; Remennikov, A.; Liew, J.R. Transverse impact resistance of hollow and concrete filled stainless steel columns. J. Constr. Steel Res. 2013, 82, 177–189. [Google Scholar] [CrossRef]
- Zheng, Y.; He, C.; Zheng, L. Experimental and numerical investigation of circular double-tube concrete-filled stainless steel tubular columns under cyclic loading. Thin-Walled Struct. 2018, 132, 151–166. [Google Scholar] [CrossRef]
- Han, L.H.; He, S.H.; Liao, F.Y. Performance and calculations of concrete filled steel tubes (CFST) under axial tension. J. Constr. Steel Res. 2011, 67, 1699–1709. [Google Scholar] [CrossRef]
- Li, W.; Han, L.H.; Chan, T.M. Performance of concrete-filled steel tubes subjected to eccentric tension. J. Struct. Eng. 2015, 141, 04015049. [Google Scholar] [CrossRef]
- Zhou, M.; Fan, J.S.; Tao, M.X.; Nie, J.G. Experimental study on the tensile behavior of square concrete-filled steel tubes. J. Constr. Steel Res. 2016, 121, 202–215. [Google Scholar] [CrossRef]
- Li, W.; Han, L.H.; Chan, T.M. Tensile behaviour of concrete-filled double-skin steel tubular members. J. Constr. Steel Res. 2014, 99, 35–46. [Google Scholar] [CrossRef]
- Li, W.; Han, L.H.; Chan, T.M. Numerical investigation on the performance of concrete-filled double-skin steel tubular members under tension. Thin-Walled Struct. 2014, 79, 108–118. [Google Scholar] [CrossRef]
- Wang, Z.B.; Yu, Q.; Tao, Z. Behaviour of CFRP externally-reinforced circular CFST members under combined tension and bending. J. Constr. Steel Res. 2015, 106, 122–137. [Google Scholar] [CrossRef]
- Han, L.H.; Wang, Z.B.; Xu, W.; Tao, Z. Behavior of concrete-encased CFST members under axial tension. J. Struct. Eng. 2016, 142, 04015149. [Google Scholar] [CrossRef]
- Chen, J.; Wang, J.; Jin, W. Concrete-filled steel tubes with reinforcing bars or angles under axial tension. J. Constr. Steel Res. 2017, 133, 374–382. [Google Scholar] [CrossRef]
- Xu, L.Y.; Tao, M.X.; Zhou, M. Analytical model and design formulae of circular CFSTs under axial tension. J. Constr. Steel Res. 2017, 133, 214–230. [Google Scholar] [CrossRef]
- Ye, Y.; Li, W.; Liu, X.J.; Guo, Z.X. Behaviour of concrete-filled steel tubes with concrete imperfection under axial tension. Mag. Concr. Res. 2021, 73, 743–756. [Google Scholar] [CrossRef]
- Xie, W.C.; Ye, Y.; Jiang, H.; Chen, Y.W. Numerical investigation and calculation method of concrete-filled bimetallic tubes subjected to concentric tension. Structures 2023, 56, 104910. [Google Scholar] [CrossRef]
- Ye, Y.; Li, W.; Guo, Z.X. Performance of concrete-filled stainless steel tubes subjected to tension: Experimental investigation. Thin-Walled Struct. 2020, 148, 106602. [Google Scholar] [CrossRef]
- Ye, Y.; Yao, X.H.; Guo, Z.X. Performance of concrete-filled stainless steel tubes subjected to concentric tension: Numerical investigation and parametric study. Structures 2021, 32, 2222–2231. [Google Scholar] [CrossRef]
- Feng, R.; Chen, Y.; He, K.; Wei, J.; Chen, B.; Zhang, X. Push-out tests of concrete-filled stainless steel SHS tubes. J. Constr. Steel Res. 2018, 145, 58–69. [Google Scholar] [CrossRef]
- Han, L.H.; Yao, G.H.; Tao, Z. Performance of concrete-filled thin-walled steel tubes under pure torsion. Thin-Walled Struct. 2007, 45, 24–36. [Google Scholar] [CrossRef]
- ACI 318-11; Building Code Requirements for Structural Concrete (ACI 318-11) and Commentary. American Concrete Institute: Indianapolis, IN, USA, 2011.
- Hibbitt, Karlsson, & Sorensen, Inc. ABAQUSPStandard User’s Manual, version 6.5; Hibbitt, Karlsson, & Sorensen, Inc.: Johnston, RI, USA, 2005. [Google Scholar]
- Hillerborg, A.; Modéer, M.; Petersson, P.E. Analysis of crack formation and crack growth in concrete by means of fracture mechanics and finite elements. Cem. Concr. Res. 1976, 6, 773–781. [Google Scholar] [CrossRef]
- Shen, J.M.; Wang, C.Z.; Jiang, J.J. Finite Element Method of Reinforced Concrete and Limited Analysis of Plates and Shells; Tsinghua University Press: Beijing, China, 1993. (In Chinese) [Google Scholar]
- Rasmussen, K.J.R. Full-range stress–strain curves for stainless steel alloys. J. Constr. Steel Res. 2003, 59, 47–61. [Google Scholar] [CrossRef]
- Ashraf, M.; Gardner, L.; David, A. Nethercot. Finite element modelling of structural stainless steel cross-sections. Thin-Walled Struct. 2006, 44, 1048–1062. [Google Scholar] [CrossRef]
- DBJ/T13-51-2010; Technical Specifications for Concrete-Filled Steel Tubular Structures (Revised Version). Housing and Urban-Rural Development Department of Fujian Province: Fuzhou, China, 2010. (In Chinese)























| Number | Specimen | t (mm) | e (mm) | Nu,e (kN) | Mu,e (kN·m) | Nu,FEA (kN) | Mu,FEA (kN·m) | Nu,FEA/Nu,e | Mu,FEA/Mu,e |
|---|---|---|---|---|---|---|---|---|---|
| 1 | t2-e50 | 2.0 | 50 | 98.1 | 5.0 | 96.4 | 4.8 | 0.97 | 0.96 |
| 2 | t2-C50-e25-1 | 2.0 | 25 | 135.6 | 3.4 | 145.2 | 3.6 | 1.07 | 1.05 |
| 3 | t2-C50-e25-2 | 2.0 | 25 | 134.7 | 3.3 | 145.2 | 3.6 | 1.08 | 1.09 |
| 4 | t2-C50-e50-1 | 2.0 | 50 | 130.0 | 6.5 | 102.4 | 5.1 | 0.78 | 0.78 |
| 5 | t2-C50-e50-2 | 2.0 | 50 | 99.0 | 5.0 | 102.4 | 5.1 | 1.03 | 1.02 |
| 6 | t2-C50-e75-1 | 2.0 | 75 | 95.5 | 7.2 | 96.7 | 7.3 | 1.01 | 1.01 |
| 7 | t2-C50-e75-2 | 2.0 | 75 | 91.2 | 6.8 | 96.7 | 7.3 | 1.06 | 1.07 |
| 8 | t3-e50 | 3.0 | 50 | 155.5 | 7.8 | 149.4 | 7.5 | 0.96 | 0.96 |
| 9 | t3-C50-e25 | 3.0 | 25 | 173.4 | 4.3 | 176.8 | 4.4 | 1.02 | 1.02 |
| 10 | t3-C50-e50 | 3.0 | 50 | 164.6 | 8.2 | 169.8 | 8.5 | 1.03 | 1.04 |
| 11 | t3-C50-e75 | 3.0 | 75 | 126.3 | 9.5 | 129.6 | 9.7 | 1.03 | 1.02 |
Disclaimer/Publisher’s Note: The statements, opinions and data contained in all publications are solely those of the individual author(s) and contributor(s) and not of MDPI and/or the editor(s). MDPI and/or the editor(s) disclaim responsibility for any injury to people or property resulting from any ideas, methods, instructions or products referred to in the content. |
© 2023 by the authors. Licensee MDPI, Basel, Switzerland. This article is an open access article distributed under the terms and conditions of the Creative Commons Attribution (CC BY) license (https://creativecommons.org/licenses/by/4.0/).
Share and Cite
Xie, W.-C.; Ye, Y. Finite Element Analysis and Calculation Method of Concrete-Filled Stainless Steel Tubes under Eccentric Tension. Buildings 2023, 13, 2757. https://doi.org/10.3390/buildings13112757
Xie W-C, Ye Y. Finite Element Analysis and Calculation Method of Concrete-Filled Stainless Steel Tubes under Eccentric Tension. Buildings. 2023; 13(11):2757. https://doi.org/10.3390/buildings13112757
Chicago/Turabian StyleXie, Wen-Chao, and Yong Ye. 2023. "Finite Element Analysis and Calculation Method of Concrete-Filled Stainless Steel Tubes under Eccentric Tension" Buildings 13, no. 11: 2757. https://doi.org/10.3390/buildings13112757
APA StyleXie, W.-C., & Ye, Y. (2023). Finite Element Analysis and Calculation Method of Concrete-Filled Stainless Steel Tubes under Eccentric Tension. Buildings, 13(11), 2757. https://doi.org/10.3390/buildings13112757
