Abstract
Precast, prestressed hollow core slabs (HCS) are commonly used by the construction industry for floor and roof systems worldwide. Generally, the web shear strength governs the shear design of such members. This is because the web width resisting shear stresses is relatively small and the prestressing force at the bottom of the slabs restrains flexural cracking. Although most of the available design codes follow Mohr’s circle of stress for estimating the web shear cracking capacity of HCS, they produce different and scattered predictions. This paper gives more insight into the web shear design provisions of prestressed HCS in five of the available design codes. These codes include ACI 318, Eurocode 2, European standard EN 1168, CSA-A23.3, and AASHTO LRFD design specifications. A set of 229 data points was established from experimental investigations available in the literature on prestressed HCS that failed in the web shear. The dataset was used for evaluating the web shear design methods in the five codes. The results of the analysis indicated that both the simplified method of AASHTO and the ACI 318-19 method produced very conservative predictions. In contrast, the Eurocode 2 method produced unconservative predictions for most of the specimens in the dataset, whereas the ACI 318-05 method gave unconservative predictions for deeper sections. On the other hand, reasonable predictions were obtained by the EN 1168 method while the CSA-A23.3 method provided better predictions. Proposed modifications were presented for improving the predictions of the ACI 318, Eurocode 2, and EN 1168 web shear design methods for prestressed HCS.
1. Introduction
Hollow core slabs (HCS) were developed in the 1930s in Germany. At that time, HCS were precast non-prestressed members while precast prestressed HCS were developed later in the 1950s, in Germany and United States [1]. HCS units are concrete members with continuous voids provided to reduce the self-weight and fabrication cost of the units. Figure 1 shows typical slab cross-sections of different depths. They are primarily used for floor and roof systems of buildings and warehouses. Additionally, they can be used as wall panels, spandrel members, and bridge deck units [2].
Figure 1.
Typical HCS cross sections (all dimensions are in mm).
HCS are efficient precast structural elements as they combine the benefits of prestressing and light self-weight. They have high mechanical concrete properties as they are fabricated under controlled conditions in precast plants. HCS are reinforced in the longitudinal direction only using prestressed strands. Therefore, the prestressed strands serve as the primary reinforcement and are installed and pulled prior to placing the concrete. The units are produced on casting tensioning beds by means of either dry (extrusion) casting or wet casting. In the dry method, a very low slump concrete is extruded through a machine. The voids are created by augers or tubes and the concrete is compacted around the cores [2]. Figure 2 shows an extruding machine associated with tubes for creating the voids. On the other hand, the wet method uses normal slump concrete. Stationary, fixed forms, or slip forms that move with the machine create the sides of the slabs. In this method, pneumatic tubes are typically used for creating voids. After hardening the concrete, the ends of the strands are released and the long slab is saw-cut into units of the desired length. The extrusion method is the commonly used manufacturing technique of HCS. That technique prevents any other reinforcing steel to be added either in the longitudinal or lateral direction. Therefore, the shear strength of the units is contributed by concrete only. For this reason, concrete quality must be constant, controlled, and certified at all stages of production [1].
Figure 2.
An extruding machine for manufacturing HCS.
Prestressed HCS were first produced with a total thickness varying from 150 mm to 250 mm. This relatively small thickness did not allow using such slabs in longer spans. However, with the successful use of the units in different applications, thicker HCS sections of an overall depth of 400 to 500 mm were developed to resist higher loads and to be used for longer spans. Circular voids are commonly used in HCS of smaller sections, whereas noncircular voids were commonly associated with deeper sections, as can be seen in Figure 1.
Because web shear failure is the predominant mode of failure in HCS, several studies have been carried out over the years to investigate such a mode of failure [3,4,5,6,7,8]. Recently, with the introduction of deeper HCS of a thickness greater than 300 mm, one major disadvantage became apparent. Tests of extruded HCS units by several U.S. manufacturers [9] have shown that for deeper sections, some of the tested HCS units failed in a web shear at 60% or less of the load predicted by the ACI 318-05 [10]. As a consequence, the ACI 318-08 design provisions [11] require the use of minimum shear reinforcement in hollow core units of overall depths greater than 315 mm in case the factored shear force is greater than 50% of the calculated design shear strength of the concrete. The code also requires that the web shear capacity must be reduced by 50% if no minimum shear reinforcement is provided. Adding stirrups in hollow core units is not possible due to the special manufacturing technique used. This means that the alternative of a 50% reduction in shear capacity is used for the design of hollow core units thicker than 315 mm which, in turn, reduces the cost efficiency of such units. Recently, several investigations have been conducted attempting to explore the causes of the reduced shear capacity of thicker HCS sections [12,13,14,15,16,17,18].
The aim of this paper is to examine the validity of the web shear design provisions prescribed in different design codes for prestressed HCS. The selected design codes and standards included in this study are the ACI 318 [10,19], Eurocode 2 [20], European standard EN 1168 [21], CSA-A23.3 [22], and AASHTO LRFD bridge design specifications [23]. These codes are selected because they cover the different approaches available for determining the web shear strength of HCS. The predictions of these design codes are compared with experimental data of 229 HCS tested in previously published studies. This relatively large database has a wide range of parameters known to influence the web shear capacity of prestressed HCS.
2. Theoretical Background
The failure due to web shear cracking generally occurs in prestressed HCS near the support where the slab is uncracked in bending. Therefore, flexural stresses, shear stresses, and principal stresses resulting from their combined action can be determined from the principles of classical mechanics and Mohr’s circle of stress. With reference to Figure 3a, a small element located at the centroidal axis at a section located near the support will be subjected to shear stresses v acting on the vertical faces. These shear stresses will be counteracted by shear stresses of the same magnitude on the horizontal faces to satisfy the equilibrium of the element. The element will also be subjected to horizontal compressive stress fpc due to the prestressing force, as shown in Figure 3b. Then, Mohr’s circle can be constructed to find the principal stresses, as shown in Figure 3c,d. The principal tensile stress f1 can be represented as follows:
Figure 3.
Stress state in an element near the support. (a) HCS elevation, (b) element stresses; (c) Mohr’s stress circle, and (d) element principal stresses.
When the principal tensile stress f1 reaches the concrete tensile strength ft, web shear cracking occurs and the corresponding shear stress can be called web shear stress, vcw. By replacing f1 with ft and v with vcw in Equation (1) and solving for vcw, we obtain the following:
The concrete web shear stress vcw can be given by:
where Vcw is the web shear force, Q is the first moment of the area above and about the centroidal axis, I is the moment of inertia of the cross-section, and bw is the web width of the cross-section. By substituting vcw in Equation (3) into Equation (2), the web shear strength Vcw can be written as follows:
Thus, at a specified section and by knowing the geometric properties of the cross-section of HCS, the tensile strength of concrete, and the compressive stress at the centroidal axis of the cross-section due to prestressing force, the web shear strength can be evaluated. Equation (4) is integrated into many design codes for determining the web shear capacity of HCS. The compressive stress fpc at the centroidal axis of the cross section due to prestressing force can be calculated as follows:
where fpe is the effective prestress stress, Ap is the cross-sectional area of prestressing strands, Ac is the cross-sectional area of the concrete HCS, and α is the ratio of the prestress at the critical section to the fully effective prestress of the strands.
3. Overview of the Web Shear Design Equations for Prestressed HCS
The web shear design provisions for prestressed HCS specified by the ACI 318 code [10,19], Eurocode 2 [20], European standard EN 1168 [21], CSA-A23.3 standard [22], and AASHTO LRFD specifications [23] are briefly presented in the following subsections. All of these codes use Mohr’s circle of stress for calculating the web shear capacity of HCS, except the CSA-A23.3 method [22]. It should be pointed out that the fib model code [24] has almost the same provisions of the web shear design of HCS as EN 1168 [21] and, consequently, is not presented here.
3.1. The ACI 318 Code
Equation (2) represents the basis of the ACI 318 equation for determining the web shear capacity of prestressed members. Although the ACI 318 assumes that ft is approximately at the occurrence of web shear cracking, the code uses a conservative value of in its equation with a 12% reduction from that of the assumed value. Thus, Equation (2) can be rewritten as follows:
Equation (6) is a quadratic equation and can be simply approximated by the following equation:
Thus, the shear force will be:
where is the specified compressive strength of concrete, bw is the web width, dp is the depth of prestressing steel and need not be taken less than 0.8 h, and h is the overall depth of the member. The ACI 318 equation for the web shear is the same as Equation (8), with the addition of the term Vp, which is the vertical component of the effective prestress. For HCS, Vp generally equals zero because horizontal strands are used. Therefore, Equation (8) represents the ACI 318 equation of the web shear resistance of HCS. It is presented in the ACI 318-05 [10] and earlier versions of the code and, because of the concern regarding the web shear resistance of deeper sections of HCS, the ACI 318-08 [11] and later versions of the code require a minimum amount of shear reinforcement to be provided in HCS for thickness that is greater than 315 mm. This is in the case that the factored shear force is greater than 50% of the design shear strength of the concrete. Otherwise, the web shear capacity must be reduced by 50%. Providing stirrups in hollow core units is not possible due to the special manufacturing technique used. This means that the alternative of a 50% reduction in shear capacity is used in the design of hollow core units deeper than 315 mm. To account for this concern, Equation (8) is modified to be as follows:
The ACI 318 code [10,11,19] assumes that the location of the critical section of web shear failure is at h/2 from the inner face of the support, as shown in Figure 3a, where h is the total depth of the slab. Therefore, the stress fpc in Equations (8) and (9) is calculated at the critical section which is generally located within the transfer length where the shear force is at a maximum and the prestress force is less than the full amount. The code permits the transfer length to be taken as 50db for prestressing strands, where db is the nominal diameter of strands. The code also indicates that the value of for calculating Vcw in Equations (8) and (9) has not to be taken to be greater than 8.3 MPa.
3.2. Eurocode 2
The Eurocode 2 [20] design equation for the web shear strength of HCS is based on Equation (4), where the shear strength is limited by the tensile strength of the concrete, as follows:
where fctd is the design tensile strength of concrete, which is defined as:
where γc is a partial safety factor for concrete and the characteristic tensile strength fctk,0.05 is calculated as:
The mean value of the tensile strength of the concrete fctm is given as:
where fck is the characteristic compressive cylinder strength of the concrete and fcm is the mean value of the concrete cylinder compressive strength. The code indicates the relationship between fck and fcm as follows:
The factor αl in Equation (10) is the ratio of lx/lpt2, where lx is the distance of the section considered from the starting point of the transfer length and lpt2 is the upper bound value of the transfer length, which is defined as:
where α1 = 1.0 for a gradual release, =1.25 for a sudden release; α2 = 0.25 for tendons with a circular cross-section, =0.19 for 3- and 7-wire strands; is the nominal diameter of tendons; σpm0 is the tendon stress just after release; ηp1 = 2.7 for indented wires, =3.2 for 3- and 7-wire strands; η1 = 1.0 for good bond conditions and 0.7 otherwise; and is the design value of tensile concrete strength at the time of release.
In Equation (10), the concrete compressive stress σcp is calculated at the centroidal axis due to the effective prestressing force. Similar to the ACI 318 method [10,11,19], the calculation of the web shear capacity according to Equation (10) is specified to be at a section of a distance of h/2 from the inner edge of the support.
3.3. European Standard EN 1168
The European standard EN 1168 [21] provides two methods for determining the web shear strength of HCS: the simplified method and the general method. The standard indicates that the simplified method can be used as an alternative to the general method. It is similar to the Eurocode 2 method [20] in Equation (10) with a few modifications, which is presented as follows:
in which, φ and β are reduction factors of 0.8 and 0.9, respectively.
The general method specified by the standard accounts for the main findings and recommendations of Yang [7], which is presented as follows:
where:
where bw(y) is the web width at height y; Yc is the height of the centroidal axis; Qc(y) is the first moment of the area above height y and about the centroidal axis; y is the height of the critical point on the line of failure; lx is the distance of the considered point on the line of failure from the starting point of the transmission length; σcp(y) is the concrete compressive stress at height y and distance lx; n is the number of tendon layers, A is the area of concrete cross-section; Pt(lx) is the prestressing force in the considered tendon layer at distance lx; MEd is the bending moment due to the vertical load; τcp (y) is the concrete shear stress due to the transmission of prestress at height y and distance lx; Ac(y) is the concrete area above height y; Cpt (y) is a factor taking into account the position of the considered tendon layer and its value equals −1 when y ≤ Ypt and 0 when y > Ypt; and Ypt is the height of the position of the considered tendon layer.
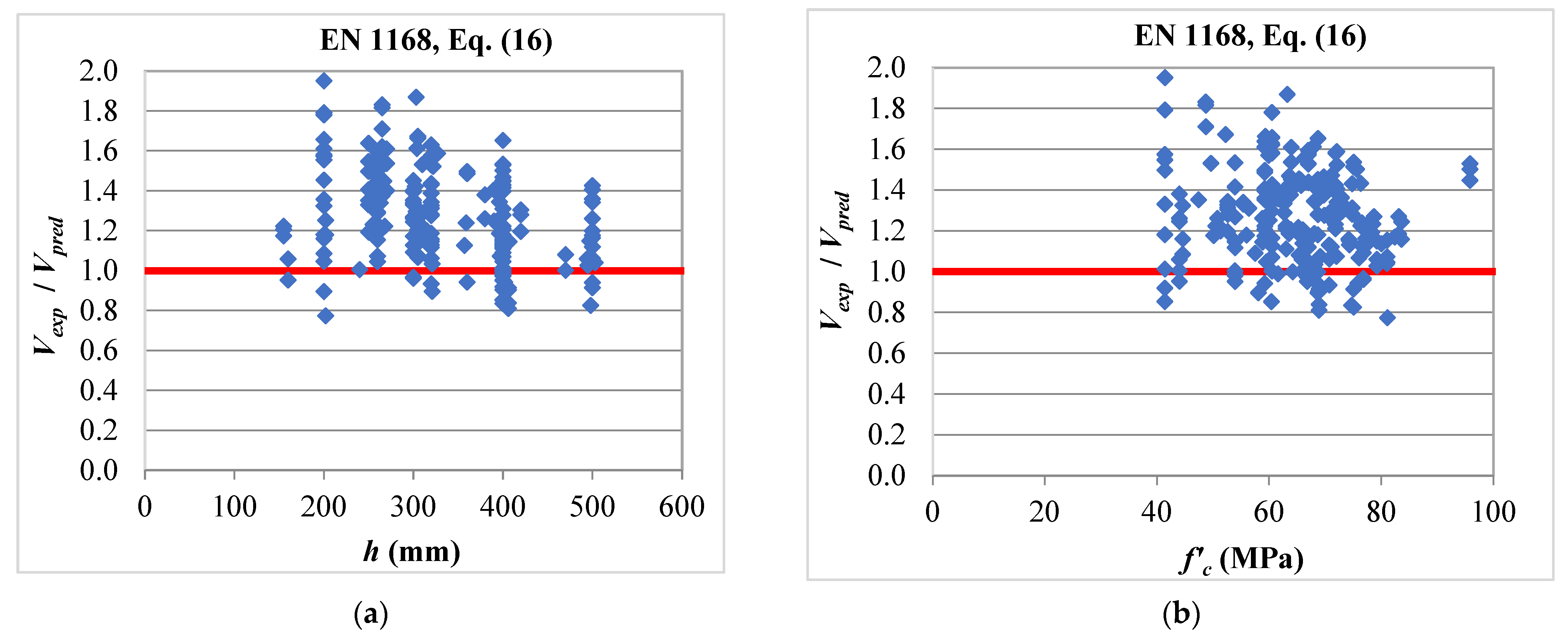
The standard specifies that Equation (17) is applied with reference to the critical points of a straight line of failure rising from the edge of the support with an angle of 35o with respect to the horizontal axis. The critical point is the point on the failure line where Vcw according to Equation (17) is the lowest. Unlike the ACI 318 [19] and Eurocode 2 [20] methods, the EN 1168 standard [21] accounts for the flexural stresses resulting from the eccentricity of the prestressing force and bending moment due to vertical load, as seen in Equation (18). Additionally, the standard accounts for the internal shear stress developed after transferring the prestressing force to the concrete, as given by Equation (19). For HCS deeper than 450 mm, the standard recommends the shear strength calculated by either Equation (16) or (17) to be reduced by 10%.
3.4. Canadian Standard CSA-A23.3
The Canadian standard CSA-A23.3 [22] specifies a unified method for evaluating the shear capacity of reinforced and prestressed concrete members. The method is recommended for determining both the flexural shear and the web shear capacities of concrete members. The method is based on the simplified modified compression field theory [25,26].
In this method, the web shear strength of HCS can be determined according to the following equation:
where dv is the effective shear depth taken as the greater of 0.9d or 0.72h, and sze is the equivalent crack spacing parameter which accounts for the influence of coarse aggregate nominal maximum size ag, where:
The crack spacing parameter sz can be taken as dv. The term εx in Equation (20) is the longitudinal strain at mid-height of the cross-section and is calculated as:
where Mf and Vf are the factored moment and shear occur simultaneously at the section of interest, Vp is the component of the effective prestressing force in the direction of the applied shear force, Nf is the factored axial load, As is the area of reinforcing steel in the flexural tension zone of the section, Es is the modulus of elasticity of the reinforcing steel, Ap is the area of prestressing tendons in the flexural tension zone of the section, fpo is the stress in the prestressing steel when the stress in the surrounding concrete is zero, and Ep is the modulus of elasticity of prestressing tendons. For HCS, there is no reinforcement except prestressing strands, so As = 0. Additionally, Vp = 0 because the strands are horizontal and Nf = 0 because there is no axial load. Therefore, Equation (22) becomes:
The code specifies that the term in Equation (20) is not to be taken greater than 8.0 MPa.
3.5. AASHTO LRFD Design Specifications
The AASHTO LRFD specifications [23] provide a broadly applicable general shear design procedure based on the simplified modified compression field theory [26] similar to the Canadian standard CSA-A23.3 [22]. Alternatively, the specifications provide a simplified procedure for calculating the web shear cracking resistance Vcw. Since the general method is similar to that of the CSA-A23.3 [22] presented in the preceding section, it will not be presented here. The simplified procedure prescribed by the specifications represents a lower bound estimate of Vcw for prestressed HCS. This is because it considers the tensile strength of concrete ft as 0.16, corresponding to that of shear cracking in reinforced concrete members or prestressed members with a low level of prestressing [27].
Equation (24) is similar to Equation (8) regarding the ACI 318 method [10], except that the tensile strength of concrete at the occurrence of the web shear cracking is reduced from 0.29 to 0.16. Another difference between the two methods is that the AASHTO LRFD specifications [23] permit the transfer length to be taken as 60db for the prestressing strands instead of 50db specified by the ACI 318 [10,11,19].
4. Experimental Database
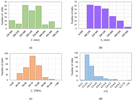
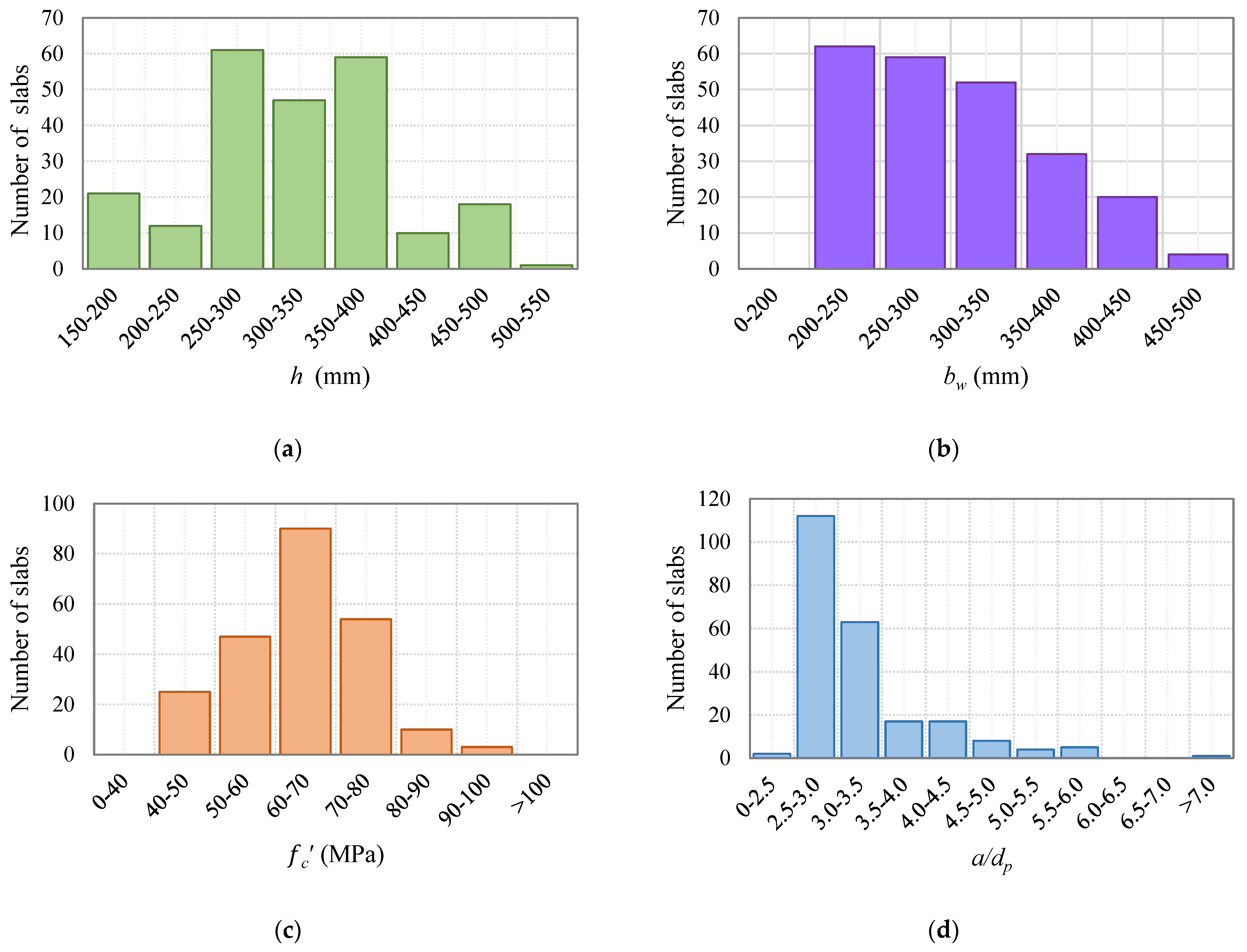
A relatively large database was collected from previous investigations as part of this study for the purpose of assessing the validity of the above design procedures. The database included 229 prestressed HCS test results from 19 different studies [4,5,8,9,13,17,18,28,29,30,31,32,33,34,35,36,37,38,39]. The criteria adopted during collecting the database are (1) no issues or problems reported during testing the HCS; (2) no excessive initial end slip of prestressing strands reported for the slab; (3) all slabs failed explicitly in the web shear; (4) all slabs were simply supported and were tested under the line loading system over the entire width of the slab; and (5) the shear span to depth ratio, a/dp, for all slabs was larger than 2.5. The database had a broad range of design parameters. The thickness of the slabs, h, ranged from 155 to 503 mm while the web width, bw, of the slabs ranged from 215 to 495 mm. The concrete compressive strength, , ranged from 41.4 to 95.8 Mpa, the shear span to depth ratio, a/dp, ranged from 2.5 to 7.1, and the compressive stress fpc at the centroidal axis of the cross section due to fully effective prestressing force ranged from 1.84 to 8.83 MPa. These material and geometrical properties of the slabs represent the mean and nominal values, respectively. The distributions of these key design parameters of the HCS in the database are presented in Figure 4, whereas Table 1 gives relevant details of the slabs in the database. For each range in the figure, the number of specimens is that of specimens greater than the lower limit of the range up to and including the upper limit of the range. It should be pointed out that the details of the HCS of Hawkins and Ghosh [9] are reported in the study by Palmer and Schultz [12]. Additionally, the details of the HCS of TNO [37], Masini [38], and the University of L’Aquila [39] are reported in the study by Bertagnoli and Mancini [40].

Figure 4.
Ranges of design parameters of HCS. (a) Total thickness, (b) web width, (c) concrete compressive strength, (d) shear span to depth ratio, and (e) compressive stress due to full effective prestressing force.
Table 1.
Experimental database of prestressed HCS.
5. Evaluation of the Design Procedures Using the Experimental Database
The compiled database was used for evaluating the performance of the web shear design equations presented previously for HCS. The web shear capacity was calculated assuming prestressing losses of 15%. No strength or material reduction factors were used in the calculations. It should be noted that the general method of the European standard EN 1168 [21] was not included in this evaluation because it requires knowing specific geometrical information about the cross-sections of the slabs, which is not provided for the majority of the slabs in the database. Additionally, it should be noted that the partial safety factor γc of the Eurocode 2 method [20] is set equal to 1.0 for comparison. Statistical measures were used for evaluating the performance of each design method, as given in Table 2. The ratio of the experimental web shear strength to the predicted one Vexp/Vpred was calculated for each slab in the database. For each design method, Table 2 gives the average ratio Vexp/Vpred, coefficient of variation (COV), minimum and maximum values, and percentage of unconservative predictions with Vexp/Vpred less than 1.0. The evaluation of the design methods is also presented in Figure 5, Figure 6, Figure 7, Figure 8, Figure 9 and Figure 10 by plotting the ratio Vexp/Vpred against one of the parameters known to affect the web shear of HCS: h,, a/dp, and fpc.
Table 2.
Statistical analysis of design equations.
Figure 5.
Predictions of the ACI 318-05 design equation against (a) total thickness, (b) concrete compressive strength, (c) shear span to depth ratio, and (d) compressive stress due to the fully effective prestressing force.
Figure 6.
Predictions of the ACI 318-19 design equation against (a) total thickness, (b) concrete compressive strength, (c) shear span to depth ratio, and (d) compressive stress due to the fully effective prestressing force.

Figure 7.
Predictions of the Eurocode 2 design equation against (a) total thickness, (b) concrete compressive strength, (c) shear span to depth ratio, and (d) compressive stress due to the fully effective prestressing force.

Figure 8.
Predictions of the EN 1168 design equation against (a) total thickness, (b) concrete compressive strength, (c) shear span to depth ratio, and (d) compressive stress due to the fully effective prestressing force.
Figure 9.
Predictions of the CSA-A23.3 design equation against (a) total thickness, (b) concrete compressive strength, (c) shear span to depth ratio, and (d) compressive stress due to the fully effective prestressing force.
Figure 10.
Predictions of the AASHTO design equation against (a) total thickness, (b) concrete compressive strength, (c) shear span to depth ratio, and (d) compressive stress due to the fully effective prestressing force.
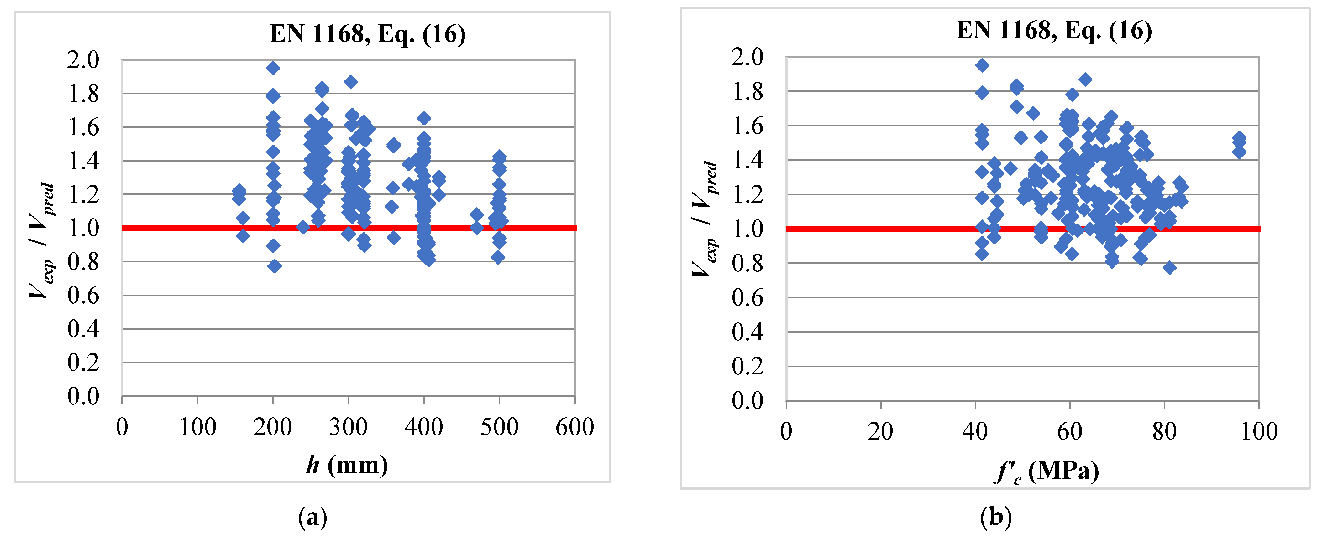
Table 2 indicates reasonable predictions for the 2005 version of the ACI 318 code [10], Equation (8), as the average ratio of Vexp/Vpred being 1.2 with a COV of 18%. However, the method provided 20% of the predictions on the unconservative side. Figure 5 presents the performance of the method against the design variables. Figure 5a indicates that the predictions of Equation (8) are affected by the thickness, h, of the HCS. It can be seen that there is a general trend of the decrease in Vexp/Vpred with the increase in h. The figure also shows that most of the unconservative predictions are for slabs of 400 and 500 mm total thickness. This explains why the the ACI 318 committee introduced a reduction factor of 0.5 (Equation (9)) for deeper sections into the 2008 and the following versions of the codes [11,19]. This factor is responsible for the very conservative scatter predictions of the 2019 version of the ACI 318 code [19], as given by Equation (9), as can be seen in Table 2 and Figure 6. The average ratio of Vexp/Vpred for this method was 1.73 with a COV of 33%. Additionally, Figure 6a indicates that the predictions of Equation (9) are affected by h in an opposite way to that of Equation (8). The figure shows the increase in Vexp/Vpred with the increase in h with all predictions of the deeper sections on the conservative side. More conservative predictions were even obtained by the simplified method of the AASHTO specifications [23], as given by Equation (24). Table 2 and Figure 10 indicate that the equation provided conservative predictions for all HCS in the database, as the average ratio of Vexp/Vpred was 1.96. The method showed less scatter predictions compared with the ACI 318 method, as given by Equation (9), where it provided a COV of 19%. This level of conservatism is expected considering that this method is intended to represent a lower bound of the web shear strength of prestressed members [27], as well as a unified method for the shear design of reinforced and prestressed concrete members. It can be seen in Equation (24) that the tensile strength of concrete ft at the occurrence of web shear cracking is expressed as 0.16. This tensile strength level is corresponding to flexural shear cracking in reinforced concrete members, not 0.33 corresponding to web shear cracking in prestressed members. On the other hand, Table 2 shows that the Eurocode 2 [20] method, as given by Equation (10), gave the most accurate predictions, as the average ratio of Vexp/Vpred was 0.99 with a COV of 18%. Nevertheless, more than one-half of its predictions were on the unconservative side with a percentage of 56%, as given in Table 2 and shown in Figure 7. This large percentage of unconservative predictions is not acceptable from a design perspective. This also explains why the European standard EN 1168 [21] introduced the reduction factors φ and β into Equation (16) for the purpose of providing an improved version of Equation (10). These modifications resulted in improved predictions of the web shear capacity of HCS, as can be seen in Equation (16) in Table 2 and Figure 8. The percentage of unconservative predictions was reduced from 56% to 14% with an average ratio of Vexp/Vpred of 1.26 and a COV of 17%. Table 2 indicates that better predictions were obtained by the Canadian standard CSA-A23.3 [22], as given by Equation (20), which can be also shown in Figure 9. This method gave the best combination of the average ratio of Vexp/Vpred and the percentage of unconservative predictions, where their values were 1.27 and 8%, respectively.
6. Proposed Modifications to Design Procedures
The results of this evaluation indicated a wide band of variation between the predictions of the different design methods included in this study. This variation reached about 100% between the largest and lowest average ratio of Vexp/Vpred, as can be observed in Table 2. This happened even though most of the presented methods follow Mohr’s circle of stress for estimating the web shear cracking capacity of prestressed HCS. In fact, this is attributed to different causes, which will be discussed in the following subsections, during proposing modifications to the design methods. The modifications are proposed for the design methods of the ACI 318 code [10,19], Eurocode 2 [20], and European standard EN 1168 [21]. No modifications are suggested to the design methods of both the CSA-A23.3 standard [22] and AASHTO specifications [23]. This is because the CSA-A23.3 method showed good and reliable predictions for the web shear resistance of prestressed HCS. On the other hand, the level of conservatism of the predictions of the AASHTO method [23] may be argued since the method is intended to give a lower bound estimate of the web shear capacity of prestressed HCS, as discussed previously.
6.1. Proposed Modifications to the ACI 318
The results of this study showed that the web shear capacity calculations of the ACI 318 [10], as given by Equation (8), for HCS were unconservative for deeper sections. In contrast, the calculations of the ACI 318 [19], as given by Equation (9), appeared to be uneconomically conservative for deeper sections due to the reduction factor introduced in Equation (9). In a previous study [18], the authors explained the cause of unconservative predictions resulting from Equation (8) for deeper sections of HCS. This is because Equation (8) uses the term bwdp, representing the sheared area of the cross-section of the slab, instead of the term Ibw/Q. Web shear cracking generally occurs at the end regions of HCS where the slab is still uncracked in flexure. Therefore, the use of the term bwdp is not accurate. To show the difference between the two terms, the ratio of (I/Q)/dp was plotted in Figure 11 against the thickness, h, of the slabs in the database. The figure shows that the ratio of (I/Q)/dp decreased with the increase in h. This ratio for shallow sections was around 0.9, while it decreased up to 0.75 for deeper sections. This means that Equation (8) overestimates the web shear capacity by up to 33% for deeper sections. To account for this finding, Equation (8) is proposed to be modified by introducing a size effect factor k [18], as follows:
where k is determined as:
Figure 11.
Variation of the (I/Q)/dp ratio with slab thickness.
It is intended by this factor to gradually reduce the web shear capacity of HCS while h increases.
To verify this modification, Equation (25) was used to predict the web shear strength of the HCS in the database. A comparison between the predicted shear strength and experimental ones is given in Table 3 and presented in Figure 12. It can be seen in Figure 12a that the predictions for deeper sections improved and their accuracy became independent of h. The average ratio of Vexp/Vpred was 1.27 with a COV of 17% and the percentage of unconservative predictions was 10%. It may be argued that this percentage of unconservative predictions is larger than the percentage of 5% known to be accepted as an upper limit for design equations. To further modify the ACI 318 method [10,19], the term (vexp—0.3fpc)/(f’c)0.5 was plotted in Figure 13 against f’c for the HCS in the database, where vexp is the experimental shear stress at failure calculated as VexpQ/(bwI). Figure 13 shows that the tensile strength of concrete at the occurrence of web shear cracking for slabs of unconservative predictions by Equation (25) ranged between and . Therefore, Equation (25) can be further modified by replacing the tensile strength of the concrete value of with as an average value for the values of slabs with unconservative predictions, as follows:
Table 3.
Statistical analysis of proposed design equations.
Figure 12.
Predictions of Equation (25) against (a) total thickness, (b) concrete compressive strength, (c) shear span to depth ratio, and (d) compressive stress due to the fully effective prestressing force.
Figure 13.
Concrete tensile strength at the occurrence of web shear cracking.
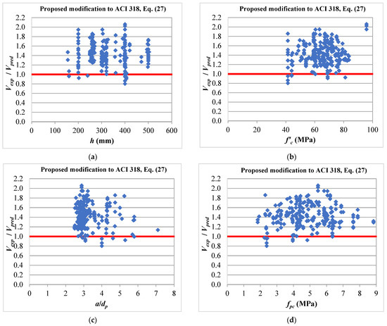
Equation (27) was used for calculating the web shear capacity of the slabs in the database and was compared with the experimental ones. The results of the comparison are given in Table 3 and presented in Figure 14. It is evident that the percentage of unconservative predictions was reduced to 4%, while the average ratio of Vexp/Vpred increased to 1.42, showing a more conservative performance compared with Equation (25), as expected from this modification.
Figure 14.
Predictions of Equation (27) against (a) total thickness, (b) concrete compressive strength, (c) shear span to depth ratio, and (d) compressive stress due to the fully effective prestressing force.
6.2. Proposed Modifications to Eurocode 2
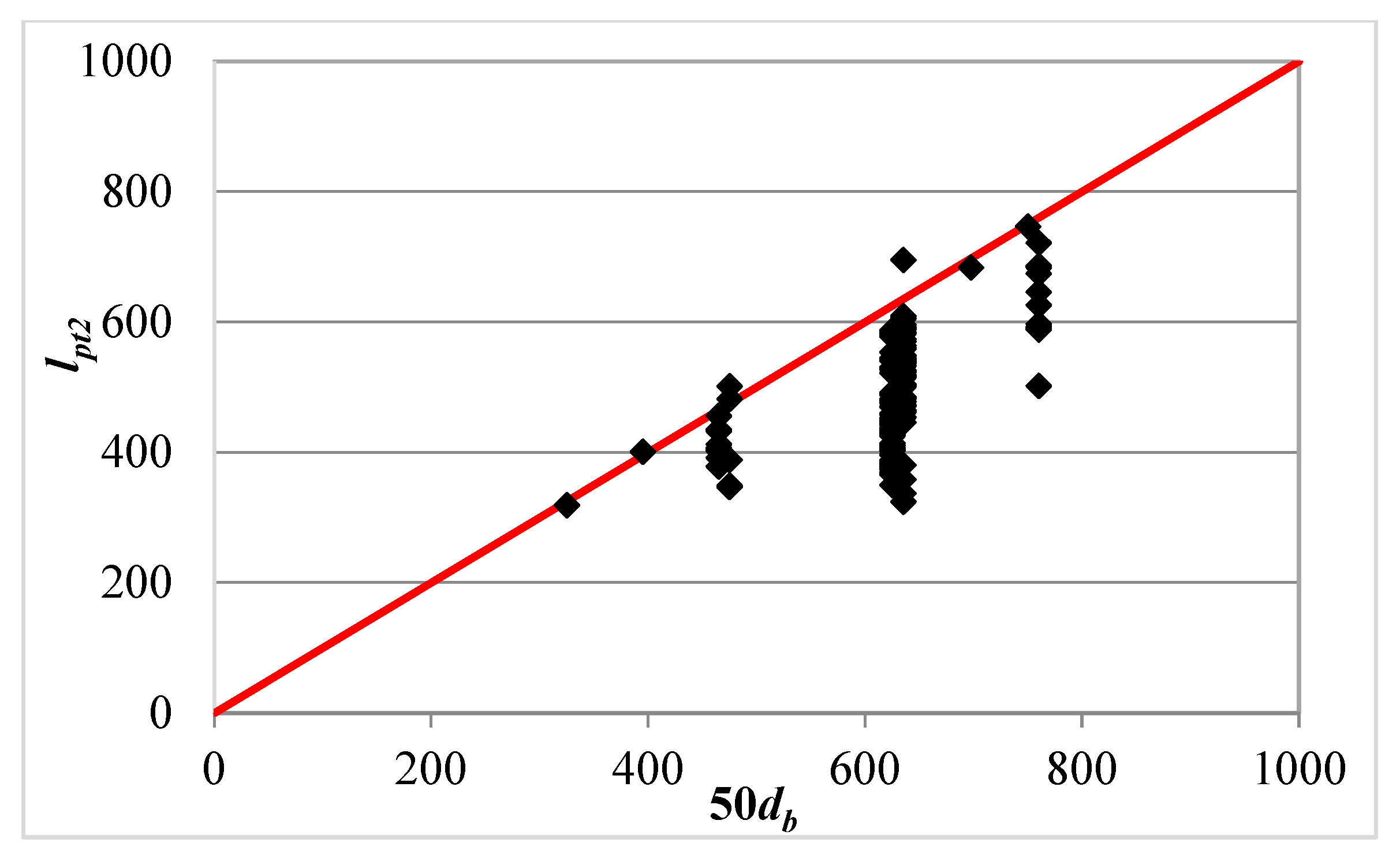
The results of this evaluation indicated that the Eurocode 2 [20] method provided unconservative predictions for the web shear resistance of 56% of the slabs in the database. Unlike the ACI 318 method [10,19], the Eurocode 2 [20] design equation, Equation (10), uses the right term Ibw/Q for the sheared area of the cross-section of HCS. Therefore, the poor performance of Equation (10) may be related to the way that the concrete tensile strength, as well as the transfer length, are calculated. To investigate these possible causes, the design tensile strength of the concrete fctd used in Equation (10) was calculated for the slabs in the database and plotted in Figure 15 against the lower bound tensile strength of the concrete determined in the preceding section. It should be confirmed again that the partial safety factor γc in Equation (11) was set equal to 1.0 and fctd was turned to be fctk. Figure 15 clearly shows that the calculated fctk was higher than for all slabs. The average ratio of was calculated for all slabs and found to be 1.46. This suggests that a reduction factor of 1/1.46 = 0.68 is to be introduced with fctd into Equation (10). Similarly, the transfer length of prestressing strands, lpt2, used for calculating the factor αl in Equation (10) was calculated for all slabs and plotted in Figure 16 against the transfer length corresponding to 50db. This value of transfer length was chosen as it represents an average value between two different studies [4,12] for measuring the transfer length of prestressing strands in HCS. The experimental measurements of Walraven and Mercx [4] indicated that the transfer length of prestressing strands was less than 50db, while the opposite was obtained by Palmer and Schultz [12]. Figure 16 shows that the calculated transfer length lpt2 of Equation (15) is less than 50db. The average ratio of lpt2/50db was calculated for all slabs and was found to be 0.8. This reduction factor is also introduced into Equation (10) with the factor αl. The proposed modification of Equation (10) is given as follows:
Figure 15.
Calculated tensile strength of the concrete fctk versus .
Figure 16.
Calculated transfer length lpt2 versus 50db.
To verify these modifications, Equation (28) was used for calculating the web shear strength of the slabs in the database and compared with the experimental ones. Table 3 and Figure 17 show the performance of Equation (28). The percentage of unconservative predictions showed significant improvement, where it was reduced from 56% to 4% at the expense of the increase in the average ratio of Vexp/Vpred to 1.4.
Figure 17.
Predictions of Equation (28) against (a) total thickness, (b) concrete compressive strength, (c) shear span to depth ratio, and (d) compressive stress due to the fully effective prestressing force.
6.3. Proposed Modifications to EN 1168
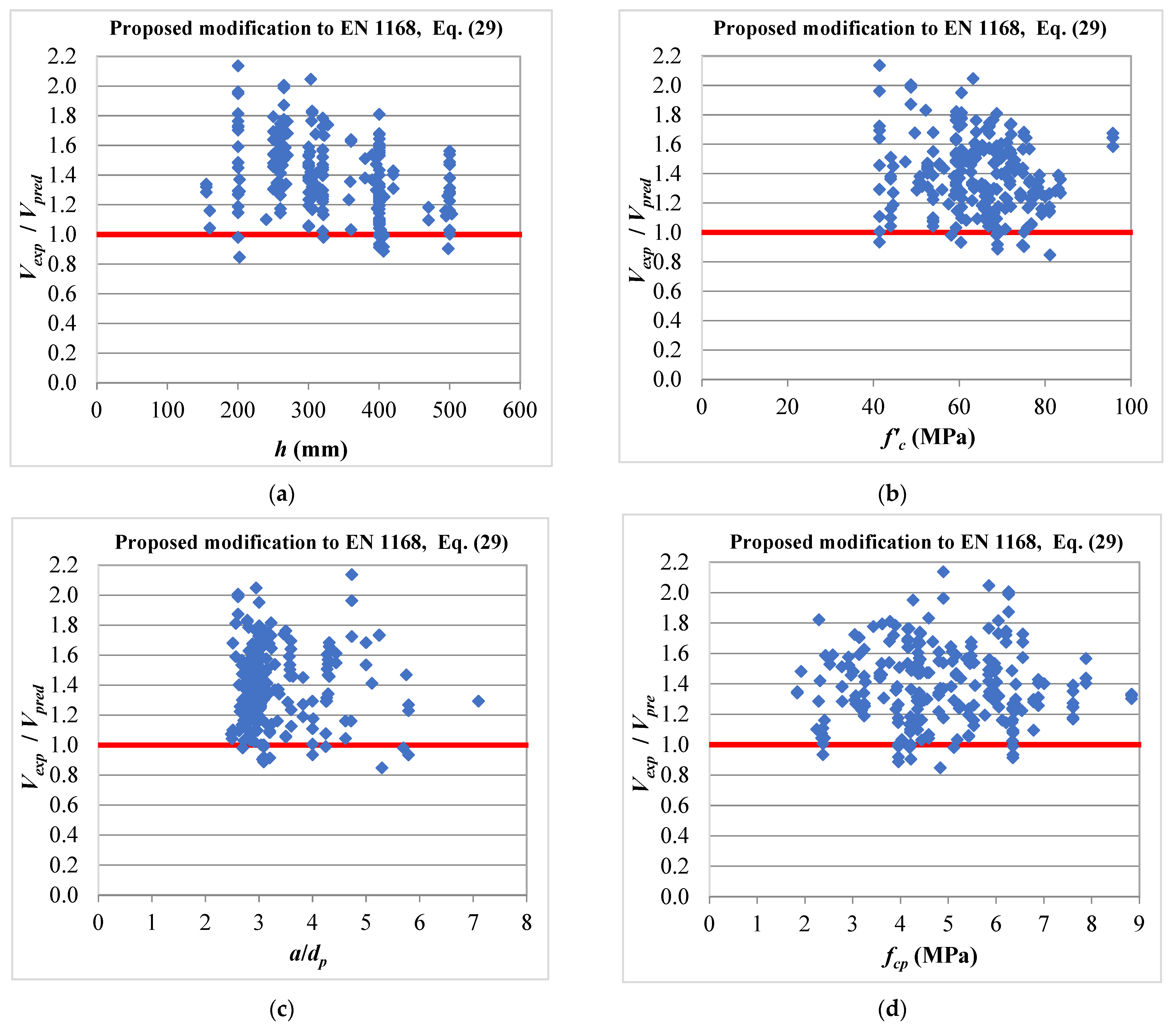
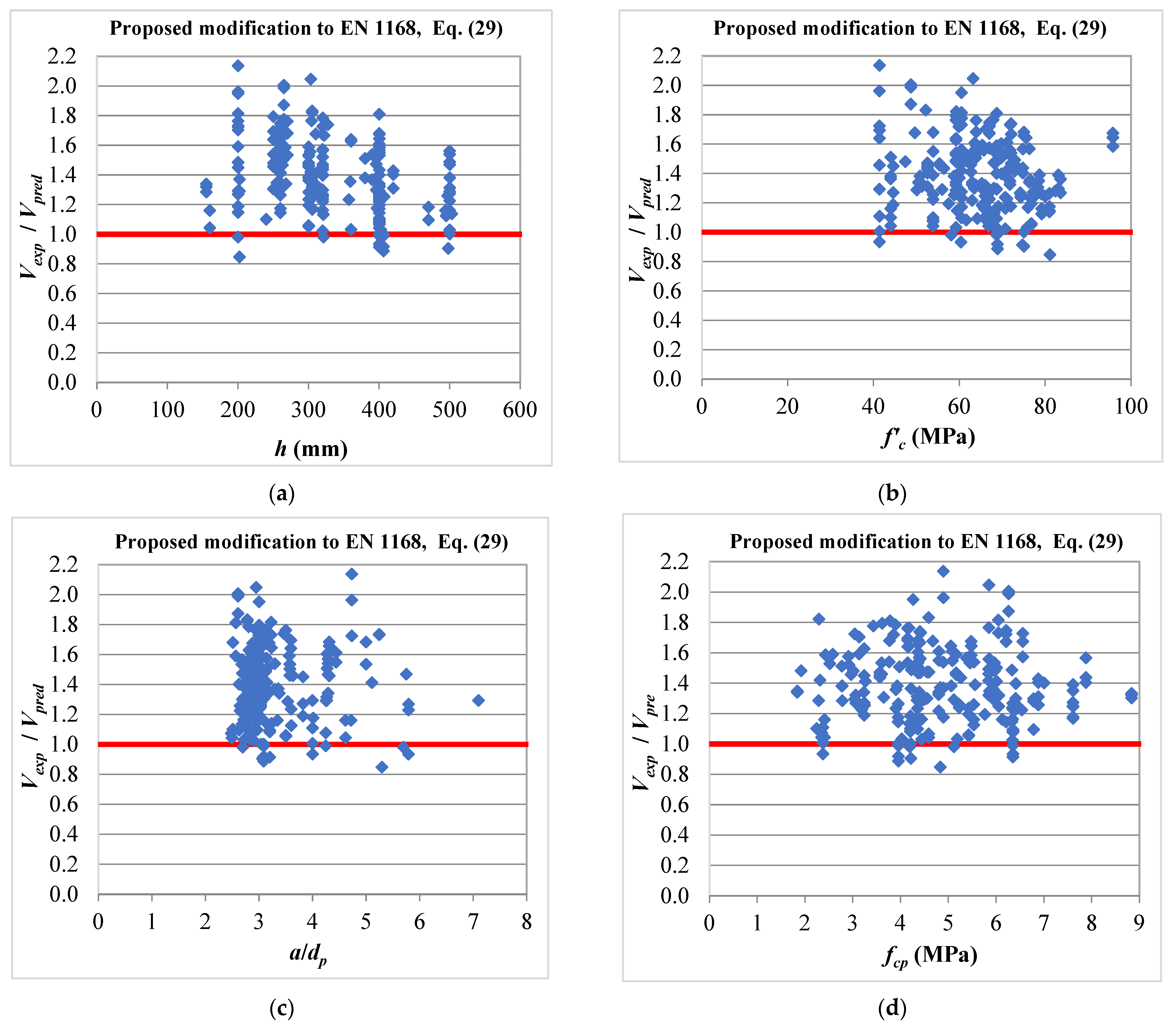
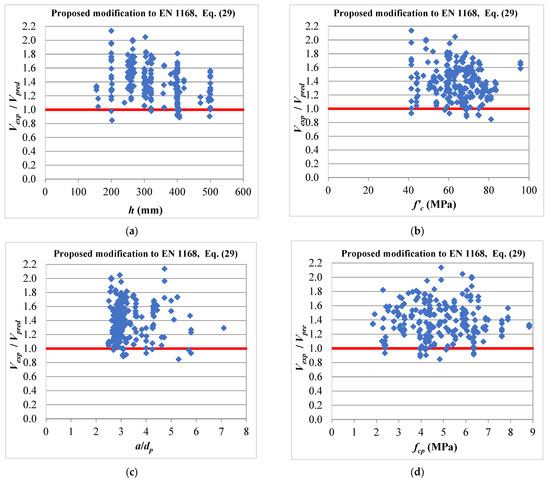
The European standard EN 1168 [21], Equation (16), provided better performance compared with the original equation of the Eurocode 2 [20], Equation (10). However, the percentage of unconservative predictions was 14%. In order to have this percentage within the acceptable limit, Equation (16) is proposed to be modified by reducing the factor φ from 0.8 to 0.73.
This modification was verified by calculating the web shear strength of the slabs in the database using Equation (29). The calculated values were compared with the experimental ones, as given in Table 3 and presented in Figure 18. It can be seen that the modification resulted in a decrease in the percentage of unconservative predictions from 14% to 5%, while the average ratio of Vexp/Vpred increased to 1.39.
Figure 18.
Predictions of Equation (29) against (a) total thickness, (b) concrete compressive strength, (c) shear span to depth ratio, and (d) compressive stress due to the fully effective prestressing force.
7. Conclusions
A database of 229 shear test results was collected from the literature to evaluate the web shear design procedures of prestressed HCS. The design procedures included in this study were the ACI 318 code, Eurocode 2, European standard EN 1168, CSA-A23.3, and AASHTO LRFD design specifications. The main findings of this study can be summarized as follows.
- -
- Both the simplified method of the AASHTO and the ACI 318-19 method produced very conservative predictions for the web shear resistance of prestressed HCS. In contrast, the Eurocode 2 method produced unconservative predictions for 56% of the slabs in the database. On the other hand, the ACI 318-05 method showed unconservative predictions for HCS of deeper sections. Reasonable predictions were obtained by the simplified method of the EN 1168 standard, whereas better predictions were obtained by the CSA-A23.3 method.
- -
- Proposed modifications to the design equations of the ACI 318, Eurocode 2, and EN 1168 were presented. Furthermore, the proposed modified equations were verified against the HCS in the database and more reliable predictions were obtained.
Author Contributions
Conceptualization, A.K.E.-S. and A.I.A.-N.; methodology, A.K.E.-S., A.I.A.-N. and A.M.A.; validation, A.K.E.-S. and M.A.A.-S.; formal analysis, A.K.E.-S., A.I.A.-N. and M.A.A.-S.; investigation, A.K.E.-S., A.I.A.-N. and A.M.A.; resources, A.I.A.-N. and A.M.A.; writing—original draft preparation, A.K.E.-S. and M.A.A.-S.; writing—review and editing, A.I.A.-N. and A.M.A.; visualization, A.I.A.-N. and A.M.A.; supervision, A.K.E.-S. and A.I.A.-N.; project administration, A.M.A. and A.I.A.-N.; funding acquisition, A.K.E.-S., A.M.A. and A.I.A.-N. All authors have read and agreed to the published version of the manuscript.
Funding
This research was funded by the Deputyship for Research and Innovation, the Ministry of Education in Saudi Arabia, through project No. (IFKSURG-2-275).
Data Availability Statement
Data from this study can be made available upon request.
Acknowledgments
The authors extend their appreciation to the Deputyship for Research and Innovation, the Ministry of Education in Saudi Arabia, for funding this research work through project No. (IFKSURG-2-275).
Conflicts of Interest
The authors declare no conflict of interest.
References
- ASSAP. The Hollow Core Floor Design and Applications; Association of Manufacturers of Prestressed Hollow Core Floors: Verona, Italy, 2002. [Google Scholar]
- Buettner, D.R.; Becker, R.J. PCI Manual for the Design of Hollow Core Slabs, 2nd ed.; Precast/Prestressed Concrete Institute: Chicago, IL, USA, 1998. [Google Scholar]
- Anderson, A.R. Shear Strength of Hollow Core Members; Technical Bulletin 78-B1; Concrete Technology Association: Tacoma, WA, USA, 1978. [Google Scholar]
- Walraven, J.C.; Mercx, W.P. The bearing capacity of prestressed hollow core slabs. Heron 1983, 28, 1–46. [Google Scholar]
- Becker, R.J.; Buettner, D.R. Shear tests of extruded hollow core slabs. PCI J. 1985, 30, 40–54. [Google Scholar] [CrossRef]
- Pisanty, A. The shear strength of extruded hollow-core slabs. Mater. Struct. 1992, 25, 224–230. [Google Scholar] [CrossRef]
- Yang, L. Design of prestressed hollow core slabs with reference to web shear failure. J. Struct. Eng. 1994, 120, 2675–2696. [Google Scholar] [CrossRef]
- Pajari, M. Resistance of Prestressed Hollow Core Slabs against Web Shear Failure; Research Notes 1292; VTT Building and Transport: Espoo, Finland, 2005. [Google Scholar]
- Hawkins, N.M.; Ghosh, S.K. Shear strength of hollow-core slabs. PCI J. 2006, 51, 110–114. [Google Scholar]
- ACI Committee 318. Building Code Requirements for Structural Concrete (ACI 318-05) and Commentary (ACI 318R-05); American Concrete Institute: Farmington Hills, MI, USA, 2005. [Google Scholar]
- ACI Committee 318. Building Code Requirements for Structural Concrete (ACI 318-08) and Commentary (ACI 318R-08); American Concrete Institute: Farmington Hills, MI, USA, 2008. [Google Scholar]
- Palmer, K.D.; Schultz, A.E. Factors affecting web-shear capacity of deep hollow-core units. PCI J. 2010, 55, 123–146. [Google Scholar] [CrossRef]
- Palmer, K.D.; Schultz, A.E. Experimental investigation of the web-shear strength of deep hollow-core units. PCI J. 2011, 56, 83–104. [Google Scholar] [CrossRef]
- Wijesundara, K.K.; Bolognini, D.; Nascimbene, R. Shear strength of precast prestressed concrete hollow core slabs. In Proceedings of the ICSBE-2010, Yogyakarta, Indonesia, 27–29 May 2010. [Google Scholar]
- Brunesi, E.; Nascimbene, R. Numerical web-shear strength assessment of precast hollow core slab units. Eng. Struct. 2015, 102, 13–30. [Google Scholar] [CrossRef]
- Brunesi, E.; Bolognini, D.; Nascimbene, R. Evaluation of the shear capacity of precast-prestressed hollow core slabs: Numerical and experimental comparisons. Mater. Struct. 2015, 48, 1503–1521. [Google Scholar] [CrossRef]
- Tawadrous, R.; Morcous, G. Shear strength of deep hollow-core slabs. ACI Struct. J. 2018, 115, 699–709. [Google Scholar] [CrossRef]
- El-Sayed, A.K.; Al-Negheimish, A.I.; Alhozaimy, A.M. Web shear resistance of prestressed precast deep hollow-core slabs. ACI Struct. J. 2019, 116, 139–150. [Google Scholar]
- ACI Committee 318. Building Code Requirements for Structural Concrete (ACI 318-19) and Commentary (ACI 318R-19); American Concrete Institute: Farmington Hills, MI, USA, 2019. [Google Scholar]
- EN 1992-1-1; Eurocode 2: Design of Concrete Structures, Part 1: General Rules and Rules for Buildings. European Committee for Standardization: Brussels, Belgium, 2004.
- EN 1168; Precast Concrete Products–Hollow Core Slabs. European Committee for Standardization: Brussels, Belgium, 2011.
- CAN/CSA-A23.3-14; Design of Concrete Structures. Canadian Standards Association: Mississauga, ON, Canada, 2014.
- AASHTO. AASHTO LRFD Bridge Design Specifications, 3rd ed.; AASHTO: Washington, DC, USA, 2004. [Google Scholar]
- Fédération International du Béton (fib). Fib Model Code for Concrete Structures 2010; Bulletin 56, V. 2; Fédération International du Béton: Lausanne, Switzerland, 2010. [Google Scholar]
- Bentz, E.C.; Collins, M.P. Development of the 2004 Canadian Standards Association (CSA) A23.3 shear provisions for reinforced concrete. Can. J. Civ. Eng. 2006, 33, 521–534. [Google Scholar] [CrossRef]
- Bentz, E.C.; Vecchio, F.J.; Collins, M.P. Simplified modified compression field theory for calculating shear strength of reinforced concrete elements. ACI Struct. J. 2006, 103, 614–624. [Google Scholar]
- Kuchma, D.A.; Hawkins, N.M.; Kim, S.H.; Sun, S.; Kim, K.S. Simplified shear provisions of the AASHTO LRFD bridge design specifications. PCI J. 2008, 53, 53–73. [Google Scholar] [CrossRef]
- Sarkis, A.I.; Buker, F.; Sullivan, T.J.; Elwood, K.J.; Brunesi, E.; Hogan, L. Aspects affecting the nonlinear behavior of precast prestressed hollow-core units failing in shear. Struct. Concr. 2022, 23, 3021–3038. [Google Scholar] [CrossRef]
- Asperheim, S.A.; Dymond, B.Z. Factors affecting web-shear capacity of hollow-core slabs with filled cores. PCI J. 2021, 66, 43–65. [Google Scholar] [CrossRef]
- Joo, H.E.; Han, S.J.; Park, M.K.; Kim, K.S. Shear tests of deep hollow core slabs strengthened by core-filling. Appl. Sci. 2020, 10, 1709. [Google Scholar] [CrossRef]
- Lee, Y.J.; Kim, H.G.; Kim, M.J.; Kim, D.H.; Kim, K.H. Shear performance for presressed concrete hollow core slabs. Appl. Sci. 2020, 10, 1636. [Google Scholar] [CrossRef]
- Nguyen, H.T.N.; Tan, K.H.; Kanda, T. Effect of polypropylene and steel fibers on web-shear resistance of deep concrete hollow-core slabs. Eng. Struct. 2020, 210, 110273. [Google Scholar] [CrossRef]
- Meng, X.; Cheng, S.; El Ragaby, A. Shear strengthening of prestressed concrete hollow-core slabs using externally bonded carbon-fiber-reinforced polymer sheets. PCI J. 2019, 64, 77–94. [Google Scholar] [CrossRef]
- Truderung, K.A.; El-Ragaby, A.; Mady, M.; El-Salakawy, E. Shear capacity of dry-cast extruded precast, prestressed concrete hollow-core slabs. PCI J. 2019, 64, 71–83. [Google Scholar] [CrossRef]
- Park, M.K.; Lee, D.H.; Han, S.J.; Kim, K.S. Web-shear capacity of thick precast prestressed hollow-core slab units produced by extrusion method. Int. J. Concr. Struct. Mater. 2019, 13, 7. [Google Scholar] [CrossRef]
- Dudnik, V.S.; Milliman, L.R.; Parra-Montesinos, G.J. Shear behavior of prestressed steel-fiber-reinforced concrete hollow-core slabs. PCI J. 2017, 62, 58–72. [Google Scholar] [CrossRef]
- TNO Building and Constructions Research. TNO Report. Standard Shear Tests on Prestressed Hollow Core Slabs according to EN 1168; TNO: The Hague, The Netherlands, 2005. [Google Scholar]
- Instituto di Ricerche e Coollaudi, M. Masini. Rapporto di Prova no. 5386, July 1995, Rapporto di Prova 1471-2005; Instituto di Ricerche e Coollaudi M. Masini: Milan, Italy, 2005. [Google Scholar]
- Dipartimento di Ingegneria delle Strutture delle Acque e del Terreno, Universi degli Studi di L’Aquila. Prove di Carico Static su Solai Lveolari Spiroll; Report of Generale Prefabbricati, December 1998, June 2003, and December 2003; Universi degli Studi di L’Aquila: L’Aquila, Italy, 2003. [Google Scholar]
- Bertagnoli, G.; Mancini, G. Failure analysis of hollow-core slabs tested in shear. Struct. Concr. 2009, 10, 139–152. [Google Scholar] [CrossRef]
Disclaimer/Publisher’s Note: The statements, opinions and data contained in all publications are solely those of the individual author(s) and contributor(s) and not of MDPI and/or the editor(s). MDPI and/or the editor(s) disclaim responsibility for any injury to people or property resulting from any ideas, methods, instructions or products referred to in the content. |
© 2022 by the authors. Licensee MDPI, Basel, Switzerland. This article is an open access article distributed under the terms and conditions of the Creative Commons Attribution (CC BY) license (https://creativecommons.org/licenses/by/4.0/).




















