Thermal Performance Investigation at Different Temperature and Airflow Settings in a Conference Hall of Expo Building
Abstract
:1. Introduction
2. Methodology
2.1. System Description
2.2. Experiment Setup
2.3. Airflow Modeling
- Continuity equation:
- Let = , = 0, and = 0 be substituted into Equation (1), which can derive
- Momentum equation:
- Let = 1, = , and = be substituted into Equation (1), which can derivewhere the = + of Equation (3) represents the sum of the laminar flow and the turbulent viscous coefficient, i.e., the effective viscosity coefficient, and F represents the external body forces in the I direction or the other user-defined source items such as porous media.
- Energy equation:
- Let = T, = , and = be substituted into Equation (1), which can derive
- Turbulent flow energy transfer equation:
- Let = k, = , and = be substituted into Equation (1), which can derive
- Turbulent flow energy diffusion equation:
- Let = ε, = , and = be substituted into Equation (1), which can derivewhere represents the turbulent flow energy produced by the average velocity gradient, and the equation is defined as follows:and , , , , and are empirical constants = 1.44, = 1.92, = 0.09, = 1.0, and = 1.3, respectively.
2.4. Boundary Condition
2.5. Meshing and Grid Test
2.6. Thermal Performance Evaluation
3. Results and Discussion
3.1. Temperature Distribution in Different Set Point
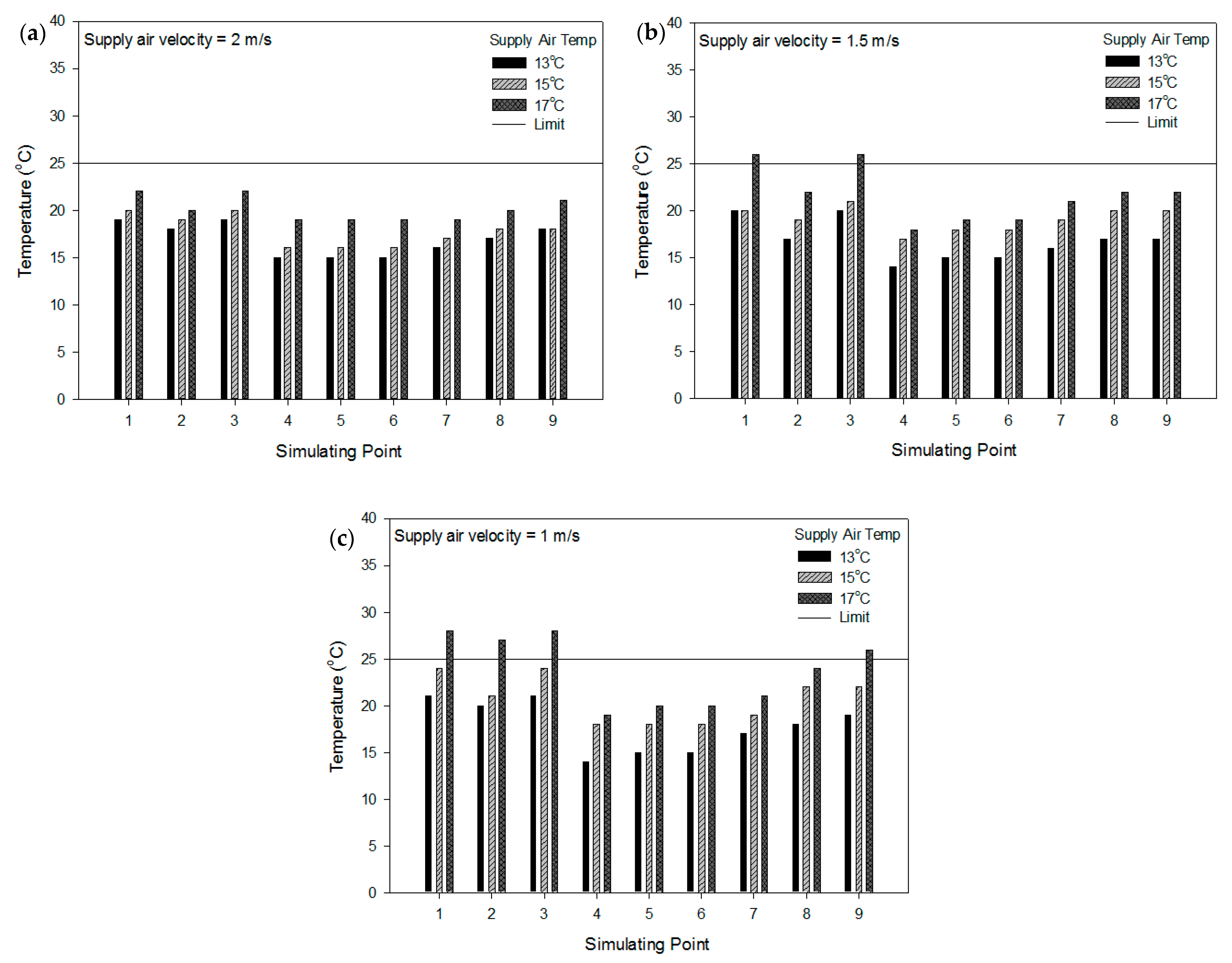
3.2. Temperature Variation Results in Different Temperature and Air Velocity Settings
3.3. Thermal Performance
4. Conclusions
- The different supply air temperature and air velocity settings influence the indoor thermal distribution inside the conference hall, resulting in a variation of the temperature distribution from around 18 °C to 27 °C in all the different settings.
- The temperature setting of 15 °C and air velocity of 1 m/s in experiment 6 had the optimal settings to achieve the thermal conditions.
- Using a higher temperature setting could attain energy savings; however, the right air velocity should be considered in order could meet the indoor thermal conditions. In addition, a higher air velocity could also generate more noise, and it could interrupt the situation in the conference hall, so it must be selected optimally.
Author Contributions
Funding
Institutional Review Board Statement
Informed Consent Statement
Data Availability Statement
Conflicts of Interest
References
- ISO 7730; Ergonomics of the Thermal Environment—Analytical Determination and Interpretation of Thermal Comfort Using Calculation of the PMV and PPD indices and Local Thermal Comfort Criteria. International Standards Organization: Geneva, Switzerland, 2005.
- Han, J.; Bae, J.; Jang, J.; Baek, J.; Leigh, S.-B. The Derivation of Cooling Set-Point Temperature in an HVAC System, Considering Mean Radiant Temperature. Sustainability 2019, 11, 5417. [Google Scholar] [CrossRef]
- De Faria, L.C.; de Andrade Romero, M.; Porras-Amores, C.; de Souza Pirró, L.F.; Saez, P.V. Prediction of the Impact of Air Speed Produced by a Mechanical Fan and Operative Temperature on the Thermal Sensation. Buildings 2022, 12, 101. [Google Scholar] [CrossRef]
- Wang, H.; Luo, M.; Wang, G.; Li, X. Airflow pattern induced by ceiling fan under different rotation speeds and blowing directions. Indoor Built Environ. 2020, 29, 1425–1440. [Google Scholar] [CrossRef]
- Yu, S.-Y.; Matzarakis, A.; Lin, T.-P. A Study of the Thermal Environment and Air Quality in Hot–Humid Regions during Running Events in Southern Taiwan. Atmosphere 2020, 11, 1101. [Google Scholar] [CrossRef]
- Kakoulli, C.; Kyriacou, A.; Michaelides, M.P. A Review of Field Measurement Studies on Thermal Comfort, Indoor Air Quality and Virus Risk. Atmosphere 2022, 13, 191. [Google Scholar] [CrossRef]
- Wang, X.; Yang, Y.; Xu, Y.; Wang, F.; Zhang, Q.; Huang, C.; Shi, C. Prediction of vertical thermal stratification of large space buildings based on Block-Gebhart model: Case studies of three typical hybrid ventilation scenarios. J. Build. Eng. 2021, 41, 102452. [Google Scholar] [CrossRef]
- Ren, Y.; Li, D. Simulation of air distribution in large space. In Proceedings of the 2011 International Conference on Remote Sensing, Environment and Transportation Engineering, Nanjing, China, 24–26 June 2011. [Google Scholar]
- Kamar, H.M.; Kamsah, N.B.; Ghaleb, F.A.; Alhamid, M.I. Enhancement of thermal comfort in a large space building. Alex. Eng. J. 2019, 58, 49–65. [Google Scholar] [CrossRef]
- Oh, W.; Kato, S. The effect of airspeed and wind direction on human’s thermal conditions and air distribution around the body. Build. Environ. 2018, 141, 103–116. [Google Scholar] [CrossRef]
- Zhu, H.C.; Yu, C.W.; Cao, S.J. Ventilation online monitoring and control system from the perspectives of technology application. Indoor Built Environ. 2020, 29, 587–602. [Google Scholar] [CrossRef]
- Lipinski, T.; Ahmad, D.; Serey, N.; Jouhara, H. Review of ventilation strategies to reduce the risk of disease transmission in high occupancy buildings. Int. J. Thermofluid. 2020, 7, 100045. [Google Scholar] [CrossRef]
- Fan, X.; Yu, T.; Liu, P.; Li, X. Uniformity of Supply Air in the Plenum for Under-Floor Air Distribution Ventilation in a Circular Conference Room: A CFD Study. Energies 2022, 15, 6370. [Google Scholar] [CrossRef]
- Ye, X.; Zhu, H.; Kang, Y.; Zhong, K. Heating energy consumption of impinging jet ventilation and mixing ventilation in large-height spaces: A comparison study. Energy Build. 2016, 130, 697–708. [Google Scholar] [CrossRef]
- Cheung, T.; Schiavon, S.; Parkinson, T.; Li, P.; Brager, G. Analysis of the accuracy on PMV-PPD model using the ASHRAE Global Thermal Comfort Database II. Build. Environ. 2019, 153, 205–217. [Google Scholar] [CrossRef]
- Lamberti, G. Critical overview of heat balance, adaptive, local discomfort models to predict thermal comfort in buildings. In Proceedings of the 2021 IEEE International Conference on Environment and Electrical Engineering and 2021 IEEE Industrial and Commercial Power Systems Europe (EEEIC/I & CPS Europe), Bari, Italy, 7–10 September 2021. [Google Scholar]
- Zhao, Q.; Lian, Z.; Lai, D. Thermal comfort models and their developments: A review. Energy Built Environ. 2021, 2, 21–33. [Google Scholar] [CrossRef]
- Amoabeng, K.O.; Opoku, R.; Boahen, S.; Obeng, G.Y. Analysis of indoor set-point temperature of split-type ACs on thermal comfort and energy savings for office buildings in hot-humid climates. Energy Built Environ. 2022, in press. [Google Scholar] [CrossRef]
- Ghanta, N.; Kongoletos, J.; Glicksman, L. Comfort control and improved thermostat location in conference rooms and academic working spaces. Build. Environ. 2021, 205, 108192. [Google Scholar] [CrossRef]
- Niemann, P.; Schmitz, G. Impacts of occupancy on energy demand and thermal comfort for a large-sized administration building. Build. Environ. 2020, 182, 107027. [Google Scholar] [CrossRef]
- Chai, J.; Fan, J. Advanced thermal regulating materials and systems for energy saving and thermal comfort in buildings. Mater. Today Energy 2022, 24, 100925. [Google Scholar] [CrossRef]
- Department of Climate Change, Energy, the Environment and Water of The Australian Government. HVAC Factsheet. HVAC Energy Breakdown. 2013. Available online: https://www.energy.gov.au/publications/hvac-factsheet-basics-hvac-energy-efficiency (accessed on 7 July 2022).
- Kükrer, E.; Eskin, N. Effect of design and operational strategies on thermal comfort and productivity in a multipurpose school building. J. Build. Eng. 2021, 44, 102697. [Google Scholar] [CrossRef]
- Karimimoshaver, M.; Shahrak, M.S. The effect of height and orientation of buildings on thermal comfort. Sustain. Cities Soc. 2022, 79, 103720. [Google Scholar] [CrossRef]
- Wu, P.; Zhou, J.; Li, N. Influences of atrium geometry on the lighting and thermal environments in summer: CFD simulation based on-site measurements for validation. Build. Environ. 2021, 197, 107853. [Google Scholar] [CrossRef]
- Aryal, A.; Chaiwiwatworakul, P.; Chirarattananon, S.; Wongsuwan, W. Subjective assessment of thermal comfort by radiant cooling in a tropical hot humid climate. Energy Build. 2022, 254, 111601. [Google Scholar] [CrossRef]
- Al-Absi, Z.A.; Hafizal, M.I.M.; Ismail, M.; Mardiana, A.; Ghazali, A. Peak indoor air temperature reduction for buildings in hot-humid climate using phase change materials. Case Stud. Therm. Eng. 2020, 22, 100762. [Google Scholar] [CrossRef]
- Kitagawa, H.; Asawa, T.; Kubota, T.; Trihamdani, A.R.; Sakurada, K.; Mori, H. Optimization of window design for ventilative cooling with radiant floor cooling systems in the hot and humid climate of Indonesia. Build. Environ. 2021, 188, 107483. [Google Scholar] [CrossRef]
- Duan, Z.; Sun, Y.; Wang, M.; Hu, R.; Dong, X. Evaluation of Mixed-Mode Ventilation Thermal Performance and Energy Saving Potential from Retrofitting a Beijing Office Building. Buildings 2022, 12, 793. [Google Scholar] [CrossRef]
- Gokarakonda, S.; van Treeck, C.; Rawal, R. Investigating Optimum Cooling Set Point Temperature and Air Velocity for Thermal Comfort and Energy Conservation in Mixed-Mode Buildings in India. Energies 2022, 15, 2259. [Google Scholar] [CrossRef]
- Nasrollahi, N.; Ghobadi, P. Field measurement and numerical investigation of natural cross-ventilation in high-rise buildings; Thermal comfort analysis. App. Therm. Eng. 2022, 211, 118500. [Google Scholar] [CrossRef]
- Jia, L.-R.; Han, J.; Chen, X.; Li, Q.-Y.; Lee, C.-C.; Fung, Y.-H. Interaction between Thermal Comfort, Indoor Air Quality and Ventilation Energy Consumption of Educational Buildings: A Comprehensive Review. Buildings 2021, 11, 591. [Google Scholar] [CrossRef]
- ANSYS. Ansys Fluent, Workbench 2020 R2. Available online: https://www.scribd.com/document/478910198/ANSYS-Fluent-Tutorial-Guide-2020-R2-pdf (accessed on 6 March 2021).
- De Dear, R.J.; Arens, E.; Hui, Z.; Oguro, M. Convective and radiative heat transfer coefficients for individual human body segments. Int. J. Biometeorol. 1997, 40, 141–156. [Google Scholar] [CrossRef]
- Wang, F.; Permana, I.; Lee, K.; Rakshit, D.; Rosulindo, P.P. Improvement of Airflow Distribution and Contamination Control for a Biotech Cleanroom. Atmosphere 2022, 13, 335. [Google Scholar] [CrossRef]
- ASHRAE Standard Committee. ANSI/ASHRAE Standard-55, Thermal Environmental Conditions for Human Occupancy; American Society of Heating, Refrigerating, and Air-Conditioning Engineers, Inc.: Atlanta, GA, USA, 2017. [Google Scholar]
- Dong, Z.; Zhang, L.; Yang, Y.; Li, Q.; Huang, H. Numerical Study on Coupled Operation of Stratified Air Distribution System and Natural Ventilation under Multi-Variable Factors in Large Space Buildings. Energies 2021, 14, 8130. [Google Scholar] [CrossRef]
- Gong, X.; Meng, Q.; Yu, Y. A Field Study on Thermal Comfort in Multi-Storey Residential Buildings in the Karst Area of Guilin. Sustainability 2021, 13, 12764. [Google Scholar] [CrossRef]
- Mudher, M.A.; Najeeb, A.A. Numerical study of thermal comfort levels in a conference hall. Anbar J. Eng. Sci. 2020, 8, 268–281. [Google Scholar]
- Espejel-Blanco, D.F.; Hoyo-Montaño, J.A.; Arau, J.; Valencia-Palomo, G.; García-Barrientos, A.; Hernández-De-León, H.R.; Camas-Anzueto, J.L. HVAC Control System Using Predicted Mean Vote Index for Energy Savings in Buildings. Buildings 2022, 12, 38. [Google Scholar] [CrossRef]







| Number of Experiment | Temperature (°C) | Air Velocity (m/s) |
|---|---|---|
| 1 | 13 | 2 |
| 2 | 13 | 1.5 |
| 3 | 13 | 1 |
| 4 | 15 | 2 |
| 5 | 15 | 1.5 |
| 6 | 15 | 1 |
| 7 | 17 | 2 |
| 8 | 17 | 1.5 |
| 9 | 17 | 1 |
| Parameter | Type | Temperature | Air Velocity | Heat Transfer Coeff. |
|---|---|---|---|---|
| Supply Air | Velocity Inlet | 13 °C (base line case) 15 °C and 17 °C | 2 m/s (baseline case) 1.5 m/s and 1 m/s | - |
| Return Air | Pressure Outlet | 20 °C | - | - |
| Occupant | Heat Transfer Coefficient | - | - | 4.5 W/m2/K |
| Number of Experiment | Temperature (°C) | Velocity (m/s) | PMV in Each Point | Note | ||||||||
|---|---|---|---|---|---|---|---|---|---|---|---|---|
| P1 | P2 | P3 | P4 | P5 | P6 | P7 | P8 | P9 | ||||
| 1 | 13 | 2 | −0.91 | −1.13 | −0.91 | −1.15 | −1.15 | −1.15 | −1.32 | −1.11 | −0.90 | 8 |
| 2 | 13 | 1.5 | −0.52 | −1.11 | −0.52 | −1.10 | −0.92 | −0.92 | −1.07 | −0.88 | −0.88 | 7 |
| 3 | 13 | 1 | −0.05 | −0.23 | −0.05 | −0.90 | −0.73 | −0.73 | −0.57 | −0.39 | −0.22 | 5 |
| 4 | 15 | 2 | −0.71 | −0.91 | −0.71 | −0.96 | −0.96 | −0.96 | −1.11 | −0.90 | −0.90 | 6 |
| 5 | 15 | 1.5 | −0.52 | −0.71 | −0.33 | −0.57 | −0.39 | −0.39 | −0.51 | −0.33 | −0.33 | 2 |
| 6 | 15 | 1 | 0.46 | −0.05 | 0.46 | −0.21 | −0.21 | −0.21 | −0.22 | 0.30 | 0.30 | 1 |
| 7 | 17 | 2 | −0.31 | −0.71 | −0.31 | −0.42 | −0.42 | −0.42 | −0.71 | −0.52 | −0.33 | 4 |
| 8 | 17 | 1.5 | 0.58 | −0.13 | 0.58 | −0.39 | −0.22 | −0.22 | −0.14 | 0.04 | 0.04 | 3 |
| 9 | 17 | 1 | 1.12 | 0.95 | 1.12 | −0.05 | 0.12 | 0.12 | 0.13 | 0.62 | 0.93 | 9 |
Publisher’s Note: MDPI stays neutral with regard to jurisdictional claims in published maps and institutional affiliations. |
© 2022 by the authors. Licensee MDPI, Basel, Switzerland. This article is an open access article distributed under the terms and conditions of the Creative Commons Attribution (CC BY) license (https://creativecommons.org/licenses/by/4.0/).
Share and Cite
Permana, I.; Wang, F.; Lin, H.; Siew, J. Thermal Performance Investigation at Different Temperature and Airflow Settings in a Conference Hall of Expo Building. Buildings 2022, 12, 1418. https://doi.org/10.3390/buildings12091418
Permana I, Wang F, Lin H, Siew J. Thermal Performance Investigation at Different Temperature and Airflow Settings in a Conference Hall of Expo Building. Buildings. 2022; 12(9):1418. https://doi.org/10.3390/buildings12091418
Chicago/Turabian StylePermana, Indra, Fujen Wang, Hungwen Lin, and Johnwin Siew. 2022. "Thermal Performance Investigation at Different Temperature and Airflow Settings in a Conference Hall of Expo Building" Buildings 12, no. 9: 1418. https://doi.org/10.3390/buildings12091418
APA StylePermana, I., Wang, F., Lin, H., & Siew, J. (2022). Thermal Performance Investigation at Different Temperature and Airflow Settings in a Conference Hall of Expo Building. Buildings, 12(9), 1418. https://doi.org/10.3390/buildings12091418

