LES Analysis of the Effect of Snowdrift on Wind Pressure on a Low-Rise Building
Abstract
:1. Introduction
2. Research Object and Numerical Methodology
2.1. Geometry Model with Snowdrift
2.2. LES Turbulent Model
2.3. Domain Size and Boundary Conditions
2.4. Solution Scheme and Setting Parameters
2.5. Data Sampling and Processing
3. Sensitivity Analyses and Validation
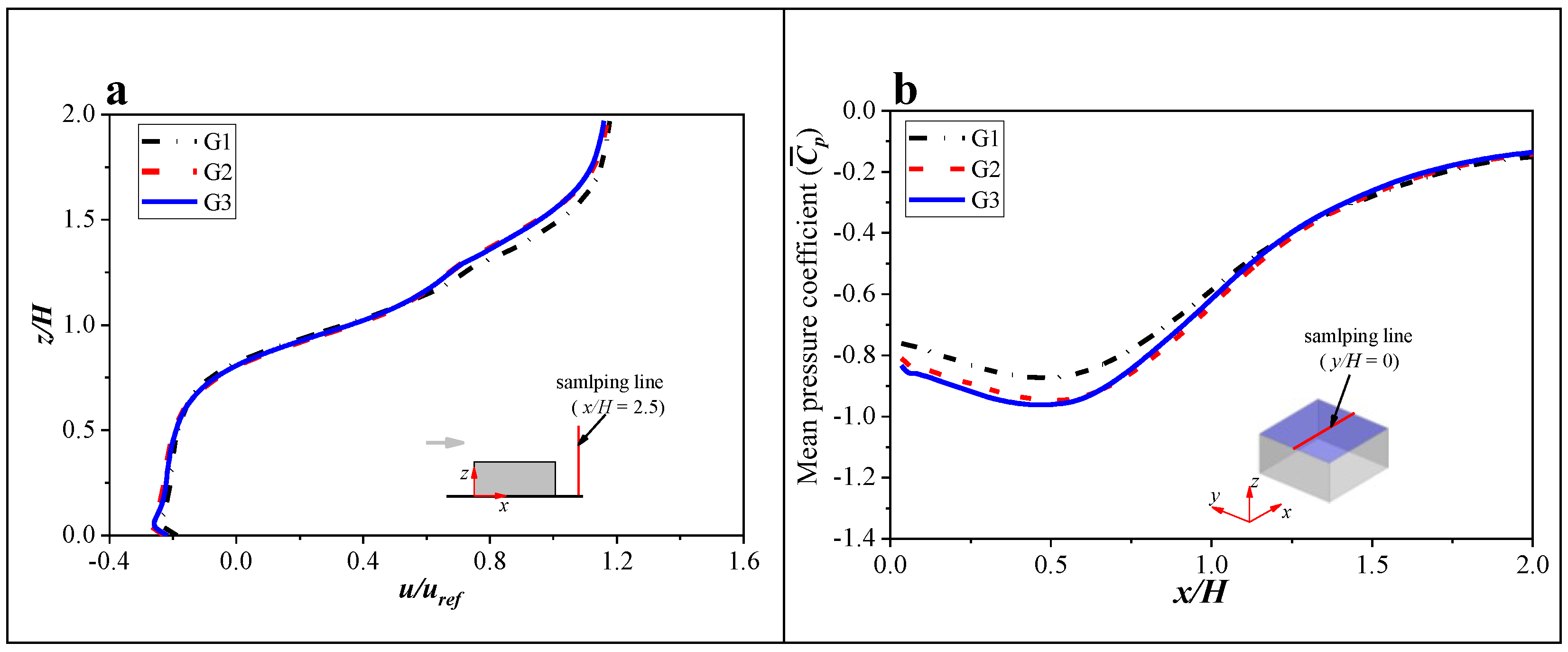
3.1. Check the Grid Independence
3.2. Influence of the Sampling Time
3.3. Self-Preservation Test of the Oncoming Flow
3.4. Validation
4. Results and Analyses
4.1. Airflow
4.1.1. Time-Averaged Streamwise Velocity
4.1.2. Instantaneous Flow Feature
4.2. Wind Pressure Coefficient on Roof
4.2.1. Time-Averaged and Standard Deviation Pressure Coefficient on Roof
4.2.2. Area-Averaged Pressure Coefficient in the Windward Region
4.3. Probability Density and Energy Spectrum of Fluctuating Pressure
4.3.1. Distribution of Probability Density Function
4.3.2. Frequency Domain Features
4.4. Cross-Correlation Analysis
4.4.1. Streamwise Correlation
4.4.2. Spanwise Correlation
4.5. POD Analysis
5. Conclusions
6. Discussion and Limitation
Author Contributions
Funding
Institutional Review Board Statement
Informed Consent Statement
Data Availability Statement
Acknowledgments
Conflicts of Interest
References
- Zhu, F.; Yu, Z.; Liu, Z.; Chen, X.; Cao, R.; Qin, H. Experimental study on the air flow around an isolated stepped flat roof building: Influence of snow cover on flow fields. J. Wind. Eng. Ind. Aerodyn. 2020, 203. [Google Scholar] [CrossRef]
- Liu, Z.; Yu, Z.; Chen, X.; Cao, R.; Chen, Y. Numerical and experimental studies on the airflow around the low-rise flat-roof buildings with different stable snowdrifts. Cold Reg. Sci. Technol. 2021, 187, 103294. [Google Scholar] [CrossRef]
- Tominaga, Y.; Akabayashi, S.-I.; Kitahara, T.; Arinami, Y. Air flow around isolated gable-roof buildings with different roof pitches: Wind tunnel experiments and CFD simulations. Build. Environ. 2015, 84, 204–213. [Google Scholar] [CrossRef]
- Ozmen, Y.; Baydar, E.; van Beeck, J.P.A.J. Wind flow over the low-rise building models with gabled roofs having different pitch angles. Build. Environ. 2016, 95, 63–74. [Google Scholar] [CrossRef]
- Xing, F.; Mohotti, D.; Chauhan, K. Study on localised wind pressure development in gable roof buildings having different roof pitches with experiments, RANS and LES simulation models. Build. Environ. 2018, 143, 240–257. [Google Scholar] [CrossRef]
- Mahmood, M. Experiments to study turbulence and flow past a low-rise building at oblique incidence. J. Wind. Eng. Ind. Aerodyn. 2011, 99, 560–572. [Google Scholar] [CrossRef]
- Dong, X.; Ding, J. Wind pressure characteristics on flat roofs with rounded leading edge. J. Build. Struct. 2019, 40, 28–40. [Google Scholar]
- Stathopoulos, T.; Zisis, I.; Xypnitou, E. Local and overall wind pressure and force coefficients for solar panels. J. Wind. Eng. Ind. Aerodyn. 2014, 125, 195–206. [Google Scholar] [CrossRef]
- Jubayer, C.M.; Hangan, H. Numerical simulation of wind effects on a stand-alone ground mounted photovoltaic (PV) system. J. Wind. Eng. Ind. Aerodyn. 2014, 134, 56–64. [Google Scholar] [CrossRef]
- Wang, J.; van Phuc, P.; Yang, Q.; Tamura, Y. LES study of wind pressure and flow characteristics of flat-roof-mounted solar arrays. J. Wind. Eng. Ind. Aerodyn. 2020, 198, 104096. [Google Scholar] [CrossRef]
- Akon, A.F.; Kopp, G.A. Mean pressure distributions and reattachment lengths for roof-separation bubbles on low-rise buildings. J. Wind. Eng. Ind. Aerodyn. 2016, 155, 115–125. [Google Scholar] [CrossRef]
- Akon, A.F.; Kopp, G.A. Turbulence structure and similarity in the separated flow above a low building in the atmospheric boundary layer. J. Wind. Eng. Ind. Aerodyn. 2018, 182, 87–100. [Google Scholar] [CrossRef]
- Ahmad, S.; Kumar, K. Interference effects on wind loads on low-rise hip roof buildings. Eng. Struct. 2001, 23, 1577–1589. [Google Scholar] [CrossRef]
- Kim, Y.C.; Yoshida, A.; Tamura, Y. Characteristics of surface wind pressures on low-rise building located among large group of surrounding buildings. Eng. Struct. 2012, 35, 18–28. [Google Scholar] [CrossRef]
- Chen, B.; Cheng, H.; Kong, H.; Chen, X.; Yang, Q. Interference effects on wind loads of gable-roof buildings with different roof slopes. J. Wind. Eng. Ind. Aerodyn. 2019, 189, 198–217. [Google Scholar] [CrossRef]
- Tominaga, Y. Computational fluid dynamics simulation of snowdrift around buildings: Past achievements and future perspectives. Cold Reg. Sci. Technol. 2018, 150, 2–14. [Google Scholar] [CrossRef]
- Tsuchiya, M.; Tomabechi, T.; Hongo, T.; Ueda, H. Wind effects on snowdrift on stepped flat roofs. J. Wind. Eng. Ind. Aerodyn. 2002, 90, 1881–1892. [Google Scholar] [CrossRef]
- Thiis, T.K.; O’Rourke, M. Model for Snow Loading on Gable Roofs. J. Struct. Eng. 2015, 141, 04015051. [Google Scholar] [CrossRef]
- Meløysund, V.; Lisø, K.R.; Hygen, H.O.; Høiseth, K.V.; Leira, B. Effects of wind exposure on roof snow loads. Build. Environ. 2007, 42, 3726–3736. [Google Scholar] [CrossRef]
- Kringlebotn Thiis, T.; Formichi, P.; Landi, F.; Sykora, M. Physical-based model for exposure coefficient and its validation towards the second generation of Eurocode EN 1991-1-3 for roof snow loads. J. Build. Eng. 2022, 55, 104665. [Google Scholar] [CrossRef]
- O’Rourke, M.; DeGaetano, A.; Tokarczyk, J.D. Snow drifting transport rates from water flume simulation. J. Wind. Eng. Ind. Aerodyn. 2004, 92, 1245–1264. [Google Scholar] [CrossRef]
- Zhou, X.; Kang, L.; Gu, M.; Qiu, L.; Hu, J. Numerical simulation and wind tunnel test for redistribution of snow on a flat roof. J. Wind. Eng. Ind. Aerodyn. 2016, 153, 92–105. [Google Scholar] [CrossRef]
- Liu, Z.; Yu, Z.; Zhu, F.; Chen, X.; Zhou, Y. An investigation of snow drifting on flat roofs: Wind tunnel tests and numerical simulations. Cold Reg. Sci. Technol. 2019, 162, 74–87. [Google Scholar] [CrossRef]
- Zhu, F.; Yu, Z.; Zhao, L.; Xue, M.; Zhao, S. Adaptive-mesh method using RBF interpolation: A time-marching analysis of steady snow drifting on stepped flat roofs. J. Wind. Eng. Ind. Aerodyn. 2017, 171, 1–11. [Google Scholar] [CrossRef]
- Wang, J.; Liu, H.; Xu, D.; Chen, Z.; Ma, K. Modeling snowdrift on roofs using Immersed Boundary Method and wind tunnel test. Build. Environ. 2019, 160, 106208. [Google Scholar] [CrossRef]
- Thordal, M.S.; Bennetsen, J.C.; Koss, H.H.H. Review for practical application of CFD for the determination of wind load on high-rise buildings. J. Wind. Eng. Ind. Aerodyn. 2019, 186, 155–168. [Google Scholar] [CrossRef]
- Shirzadi, M.; Mirzaei, P.A.; Tominaga, Y. LES analysis of turbulent fluctuation in cross-ventilation flow in highly-dense urban areas. J. Wind. Eng. Ind. Aerodyn. 2021, 209, 104494. [Google Scholar] [CrossRef]
- Ikegaya, N.; Okaze, T.; Kikumoto, H.; Imano, M.; Ono, H.; Tominaga, Y. Effect of the numerical viscosity on reproduction of mean and turbulent flow fields in the case of a 1:1:2 single block model. J. Wind. Eng. Ind. Aerodyn. 2019, 191, 279–296. [Google Scholar] [CrossRef]
- Ricci, M.; Patruno, L.; de Miranda, S. Wind loads and structural response: Benchmarking LES on a low-rise building. Eng. Struct. 2017, 144, 26–42. [Google Scholar] [CrossRef]
- Sun, X.; Li, W.; Huang, Q.; Zhang, J.; Sun, C. Large eddy simulations of wind loads on an external floating-roof tank. Eng. Appl. Comput. Fluid Mech. 2020, 14, 422–435. [Google Scholar] [CrossRef]
- Li, X.Q.; Chen, Z.A.; Zhang, L.T.; Dan, J. Construction and accuracy test of a 3D model of non-metric camera images using Agisoft PhotoScan. Procedia Environ. Sci. 2016, 36, 184–190. [Google Scholar] [CrossRef] [Green Version]
- Koutsoudis, A.; Vidmar, B.; Ioannakis, G.; Arnaoutoglou, F.; Pavlidis, G.; Chamzas, C. Multi-image 3D reconstruction data evaluation. J. Cult. Herit. 2014, 15, 73–79. [Google Scholar] [CrossRef]
- Germano, M.; Piomelli, U.; Moin, P.; Cabot, W.H. A dynamic subgrid-scale eddy viscosity model. Phys. Fluids A Fluid Dyn. 1991, 3, 1760–1765. [Google Scholar] [CrossRef]
- Lilly, D.K. A proposed modification of the Germano subgrid-scale closure method. Phys. Fluids A: Fluid Dyn. 1992, 4, 633–635. [Google Scholar] [CrossRef]
- Tominaga, Y.; Mochida, A.; Yoshie, R.; Kataoka, H.; Nozu, T.; Yoshikawa, M.; Shirasawa, T. AIJ guidelines for practical applications of CFD to pedestrian wind environment around buildings. J. Wind. Eng. Ind. Aerodyn. 2008, 96, 1749–1761. [Google Scholar] [CrossRef]
- Blocken, B.; Stathopoulos, T.; van Beeck, J.P.A.J. Pedestrian-level wind conditions around buildings: Review of wind-tunnel and CFD techniques and their accuracy for wind comfort assessment. Build. Environ. 2016, 100, 50–81. [Google Scholar] [CrossRef]
- Sergent, E. Vers Une Methodologie de Couplage Entre la Simulation des Grandes Echelles et les Modeles Statistiques; Ecully, Ecole centrale de Lyon: Lyon, France, 2002. [Google Scholar]
- Yan, B.W.; Li, Q.S. Inflow turbulence generation methods with large eddy simulation for wind effects on tall buildings. Comput. Fluids 2015, 116, 158–175. [Google Scholar] [CrossRef]
- Zheng, X.; Montazeri, H.; Blocken, B. CFD simulations of wind flow and mean surface pressure for buildings with balconies: Comparison of RANS and LES. Build. Environ. 2020, 173, 106747. [Google Scholar] [CrossRef]
- Tokyo Polytechnic University. Database of Isolated Low-Rise Building Without Eaves: A Collection of Data on Aerodynamic Pressures Acting on Low-Rising Building Without Eaves; Tokyo Polytechnic University: Tokyo, Japan, 2006. [Google Scholar]
- Fang, X.; Tachie, M.F. Flows over surface-mounted bluff bodies with different spanwise widths submerged in a deep turbulent boundary layer. J. Fluid Mech. 2019, 877, 717–758. [Google Scholar] [CrossRef]
- Kiya, M.; Sasaki, K. Structure of large-scale vortices and unsteady reverse flow in the reattaching zone of a turbulent separation bubble. J. Fluid Mech. 1985, 154, 463–491. [Google Scholar] [CrossRef]
- Chay, M.; Wilson, R.; Albermani, F. Gust occurrence in simulated non-stationary winds. J. Wind. Eng. Ind. Aerodyn. 2008, 96, 2161–2172. [Google Scholar] [CrossRef]
- Crompton, M.; Barrett, R. Investigation of the separation bubble formed behind the sharp leading edge of a flat plate at incidence, Proceedings of the Institution of Mechanical Engineers, Part G. J. Aerosp. Eng. 2000, 214, 157–176. [Google Scholar]
- Saathoff, P.J.; Melbourne, W.H. Effects of free-stream turbulence on surface pressure fluctuations in a separation bubble. J. Fluid Mech. 1997, 337, 1–24. [Google Scholar] [CrossRef]
- Bienkiewicz, B.; Tamura, Y.; Ham, H.; Ueda, H.; Hibi, K. Proper orthogonal decomposition and reconstruction of multi-channel roof pressure. J. Wind. Eng. Ind. Aerodyn. 1995, 54, 369–381. [Google Scholar] [CrossRef]
- Chen, X.; Kareem, A. Proper orthogonal decomposition-based modeling, analysis, and simulation of dynamic wind load effects on structures. J. Eng. Mech. 2005, 131, 325–339. [Google Scholar] [CrossRef]





















| Model | L/H | W/H | Case Description |
|---|---|---|---|
| Model 1 | 1 | 2 | No snow (M1_N) |
| Snowdrift (M1_S) | |||
| Model 2 | 2 | 2 | No snow (M2_N) |
| Snowdrift (M2_S) | |||
| Model 3 | 3 | 2 | No snow (M3_N) |
| Snowdrift (M3_S) | |||
| Model 4 | 2 | 1 | No snow (M4_N) |
| Snowdrift (M4_S) | |||
| Model 5 | 2 | 3 | No snow (M5_N) |
| Snowdrift (M5_S) |
| Mesh Type | Grid Numbers on Building Surfaces | The Height of the First Grid on Building Surfaces (m) | Grid Numbers | y+ on Building Surfaces |
|---|---|---|---|---|
| G1 | 70.3 | |||
| G2 | 188.6 | |||
| G3 | 534.7 |
| Description of Building Models | The Proportion of Modes (%) | The Total Proportion of the First 20 Modes (%) | ||||||
|---|---|---|---|---|---|---|---|---|
| 1st | 2nd | 3rd | 10th | 15th | 20th | |||
| M1 | N | 31.50 | 15.58 | 11.62 | 1.36 | 0.75 | 0.45 | 88.51 |
| S | 29.66 | 10.94 | 9.61 | 1.70 | 0.91 | 0.60 | 82.07 | |
| M2 | N | 22.59 | 16.60 | 8.88 | 2.08 | 1.02 | 0.67 | 83.75 |
| S | 26.74 | 9.66 | 5.98 | 1.61 | 1.06 | 0.70 | 72.84 | |
| M3 | N | 19.12 | 14.16 | 7.16 | 1.93 | 1.14 | 0.76 | 75.02 |
| S | 20.59 | 9.97 | 7.55 | 1.80 | 1.14 | 0.73 | 70.65 | |
| M4 | N | 30.12 | 12.75 | 7.66 | 1.70 | 1.02 | 0.65 | 83.00 |
| S | 29.12 | 10.03 | 8.10 | 1.73 | 0.91 | 0.64 | 80.33 | |
| M5 | N | 19.70 | 13.30 | 8.15 | 1.82 | 1.09 | 0.72 | 74.03 |
| S | 21.24 | 10.76 | 7.18 | 1.67 | 1.11 | 0.74 | 70.02 | |
Publisher’s Note: MDPI stays neutral with regard to jurisdictional claims in published maps and institutional affiliations. |
© 2022 by the authors. Licensee MDPI, Basel, Switzerland. This article is an open access article distributed under the terms and conditions of the Creative Commons Attribution (CC BY) license (https://creativecommons.org/licenses/by/4.0/).
Share and Cite
Liu, Z.; Yu, Z.; Chen, Y.; He, H.; Chen, X. LES Analysis of the Effect of Snowdrift on Wind Pressure on a Low-Rise Building. Buildings 2022, 12, 1387. https://doi.org/10.3390/buildings12091387
Liu Z, Yu Z, Chen Y, He H, Chen X. LES Analysis of the Effect of Snowdrift on Wind Pressure on a Low-Rise Building. Buildings. 2022; 12(9):1387. https://doi.org/10.3390/buildings12091387
Chicago/Turabian StyleLiu, Zhixiang, Zhixiang Yu, Yang Chen, Huan He, and Xiaoxiao Chen. 2022. "LES Analysis of the Effect of Snowdrift on Wind Pressure on a Low-Rise Building" Buildings 12, no. 9: 1387. https://doi.org/10.3390/buildings12091387
APA StyleLiu, Z., Yu, Z., Chen, Y., He, H., & Chen, X. (2022). LES Analysis of the Effect of Snowdrift on Wind Pressure on a Low-Rise Building. Buildings, 12(9), 1387. https://doi.org/10.3390/buildings12091387
