Wind-Induced Vibration Coefficient of Landscape Tower with Curved and Twisted Columns and Spiral Beams Based on Wind Tunnel Test Data
Abstract
1. Introduction
2. Wind Tunnel Test and Wind-Induced Vibration Coefficient Analysis of the LT
2.1. Design and Manufacture of Wind Tunnel Scale Model
2.1.1. Aeroelastic Model
2.1.2. Rigid Sectional Model
2.2. Simulation of Wind Fields
2.3. Layout of Measuring Points and Test Conditions
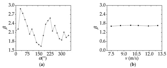
2.4. Analysis of the Wind-Induced Vibration Coefficient
2.4.1. Displacement Wind-Induced Vibration Coefficient
2.4.2. Inertial Load Wind-Induced Vibration Coefficient
3. Calculation of Wind-Induced Vibration Coefficient and Analysis of Influence Parameters
3.1. Establishment and Verification of Finite Element Model
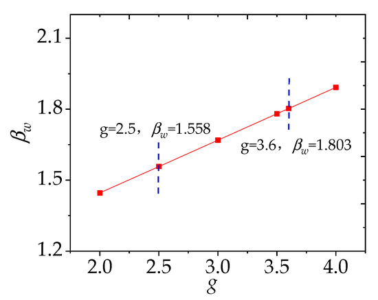
3.2. Analysis of the Influence Parameters of Wind-Induced Vibration Coefficient
3.2.1. Wind Spectrum Type
3.2.2. Damping Ratio
3.2.3. Peak Factor
3.3. Wind-Induced Vibration Coefficient Calculation Using Chinese and American Codes
4. Conclusions
Author Contributions
Funding
Institutional Review Board Statement
Informed Consent Statement
Data Availability Statement
Conflicts of Interest
References
- Yang, B.; Lv, Z.H.; Wang, F. Digital Twins for Intelligent Green Buildings. Buildings 2022, 12, 856. [Google Scholar] [CrossRef]
- Kim, S.; Kim, T. Machine-learning-based prediction of vortex-induced vibration in long-span bridges using limited information. Eng. Struct. 2022, 266, 114551. [Google Scholar] [CrossRef]
- Zhao, S.; Yue, J.H.; Savory, E.; Yan, Z.T.; Chen, J.H.; Zhang, B.; Peng, L.L. Dynamic Windage Yaw Angle and Dynamic Wind Load Factor of a Suspension Insulator String. Shock Vib. 2022, 2022, 6822689. [Google Scholar] [CrossRef]
- Davenport, A.G. Gust loading factors. J. Struct. Div. 1967, 93, 11–34. [Google Scholar] [CrossRef]
- Han, Z.H.; Gu, M. Wind induced response and wind vibration coefficient analysis of large outdoor independent column billboard. J. Vib. Shock. 2015, 34, 131–137. [Google Scholar] [CrossRef]
- Gupta, A.; Pradyumna, S. Geometrically nonlinear dynamic analysis of variable stiffness composite laminated and sandwich shell panels. Thin Walled Struct. 2022, 173, 109021. [Google Scholar] [CrossRef]
- Yu, M.; Zhao, L.; Zhan, Y.Y.; Cui, W.; Ge, Y.J. Wind-resistant design and safety evaluation of cooling towers by reinforcement area criterion. Eng. Struct. 2019, 193, 281–294. [Google Scholar] [CrossRef]
- Ghosh, T.; Sil, A. Effect of aspect ratio subjected to wind hazard in tall buildings situated along the coastal line of India. Struct. Des. Tall Spec. Build. 2022, 31, e1930. [Google Scholar] [CrossRef]
- Azzi, Z.; Elawady, A.; Irwin, P.; Chowdhury, A.G.; Shdid, C.A. Aeroelastic modeling to study the wind-induced response of a self-supported lattice tower. Eng. Struct. 2021, 245, 112885. [Google Scholar] [CrossRef]
- American Society of Civil Engineers (ASCE). Minimum Design Loads for Buildings and Other Structures; ASCE 7-10; American Society of Civil Engineers: Reston, VA, USA, 2013. [Google Scholar]
- Davenport, A.G. The application of statistical concepts to the wind loading of structures. Proc. Inst. Civ. Eng. 1961, 19, 449–472. [Google Scholar] [CrossRef]
- Ma, T.T.; Zhao, L.; Ji, T.F.; Tang, T. Case study of wind-induced performance and equivalent static wind loads of large-span openable truss structures. Thin Walled Struct. 2022, 175, 109206. [Google Scholar] [CrossRef]
- GB 50009—2012; Load Code for the Design of Building Structures. China Architecture and Building Press: Beijing, China, 2012. (In Chinese)
- Rajabi, E.; Sadeghi, H.; Hashemi, M.R. Wind effect on building with Y-shaped plan. Asian. J. Civ. Eng. 2022, 23, 141–151. [Google Scholar] [CrossRef]
- Zhao, S.; Yan, Z.T.; Li, Z.L.; Dong, J.X.; Wang, L.Z. Investigation on wind-induced vibration coefficients of Sutong long span transmission tower based on wind tunnel tests. J. Build. Struct. 2019, 40, 35–44. [Google Scholar] [CrossRef]
- Zhao, S.; Yan, Z.T.; Savory, E. Design wind loads for transmission towers with cantilever cross-arms based on the inertial load method. J. Wind Eng. Ind. Aerodyn. 2020, 205, 104286. [Google Scholar] [CrossRef]
- Jaroslawski, T.; Forte, M.; Moschetta, J.M.; Delattre, G.; Gowree, E.R. Characterisation of boundary layer transition over a low Reynolds number rotor. Exp. Therm. Fluid Sci. 2022, 130, 110485. [Google Scholar] [CrossRef]
- Estrella, J.; Wuthrich, D.; Chanson, H. Two-phase air-water flows in hydraulic jumps at low Froude number: Similarity, scale effects and the need for field observations. Exp. Therm. Fluid Sci. 2022, 130, 110486. [Google Scholar] [CrossRef]
- Abdelaziz, K.M.; Hobeck, J.D. Optimum aeroelastic control via iterative neural network training for wind-resistant cyber–physical buildings. Appl. Soft. Comput. 2022, 114, 108100. [Google Scholar] [CrossRef]
- Nikravesh, F.; Toopchi-Nezhad, H. Application of Viscoelastic Tuned Mass Dampers in Vibration Mitigation of Steel Joist Jack Arch Floor Structures. Shock Vib. 2022, 2022, 5196600. [Google Scholar] [CrossRef]
- Holdt, J.R.C.; Eckardt, F.D.; Baddock, M.C.; Hipondoka, M.H.T.; Wiggs, G.F.S. Influence of sampling approaches on physical and geochemical analysis of aeolian dust in source regions. Aeolian Res. 2021, 50, 100684. [Google Scholar] [CrossRef]
- Krug, D.; Baars, W.J.; Hutchins, N.; Marusic, L. Vertical coherence of turbulence in the atmospheric surface layer: Connecting the hypotheses of Townsend and Davenport. Bound.-Layer Meteorol. 2019, 172, 199–214. [Google Scholar] [CrossRef]
- Picozzi, V.; Malasomma, A.; Avossa, A.M.; Ricciardelli, F. The Relationship between Wind Pressure and Pressure Coefficients for the Definition of Wind Loads on Buildings. Buildings 2022, 12, 225. [Google Scholar] [CrossRef]
- ANSYS, Inc. Ansys Mechanical APDL Structural Analysis Guide; ANSYS, Inc.: Canonsburg, PA, USA, 2017. [Google Scholar]
- Hutchinson, J.R. Shear coefficients for Timoshenko beam theory. J. Appl. Mech. 2001, 68, 87–92. [Google Scholar] [CrossRef]
- Cook, N.J. Implications of the OEN mixture model of the mean wind vector for the generation of synthetic timeseries and for the assessment of extremes. J. Wind Eng. Ind. Aerodyn. 2021, 208, 104424. [Google Scholar] [CrossRef]
- de Morais, D.R.; Foschiera, L.C.; Gomes, H.M. Time and Frequency Domain Analysis of Wind Turbine Towers Under Spatially Correlated Wind Field. Int. J. Steel Struct. 2021, 21, 2028–2044. [Google Scholar] [CrossRef]
- Patro, S.R.; Banerjee, A.; Adhikari, S.; Ramana, G.V. Kaimal spectrum based H2 optimization of tuned mass dampers for wind turbines. J. Vib. Control. 2022. [CrossRef]
- Yang, F.L.; Chen, B.; Xu, Z.Y.; Xu, Q.; Shao, S. Study on Wind-induced Vibration Coefficients of the Transmission Tower in a 500 kV Long Span Line Crossing the Yangtze River. Proc. CSEE 2022, 42, 2542–2556. [Google Scholar] [CrossRef]
- GB 50135—2019; Standard for Design of High-Rising Structures. China Planning Press: Beijing, China, 2019. (In Chinese)
- NR24-28/2015E; National Building Code of Canada. Associate Committee on the National Building Code, National Research Council: Ottawa, ON, Canada, 2015.
- AIJ 2010; Recommendations for Loads on Buildings. Structural Standards Committee. Architectural Institute of Japan: Tokyo, Japan, 2010.
- Joint Technical Committee. AS/NZS 1170.2: 2011 Structural Design Actions-Part 2: Wind Actions; Australian/New Zealand Standard (AS/NZS), Joint Technical Committee BD-006; Joint Technical Committee: Brisbane, Australia; Wellington, New Zealand, 2011. [Google Scholar]
- Gulliford, M.J.S.; Orlebar, R.H.; Bird, M.H.; Acha, S.; Shah, N. Developing a dynamic carbon benchmarking method for large building property estates. Energy Build. 2022, 256, 111683. [Google Scholar] [CrossRef]











| Parameters | Symbol | Unit | Formula | Similarity Scale |
|---|---|---|---|---|
| Geometry | L | m | λL = Lm/Lp | 1:50 |
| Mass | M | kg | λM = (λn)3 | 1:125,000 |
| Frequency | n | Hz | λn = nm/np | 16.43:1 |
| Wind velocity | v | m/s | λv = λL·λn | 0.33:1 |
| Acceleration | a | m/s2 | λa = λL·(λn)2 | 5.40:1 |
| Damping ratio | ξ | - | - | 1:1 |
| Wind Spectrum Type | Davenport Spectrum | Kaimal Spectrum | Harris Spectrum | Karman Spectrum |
|---|---|---|---|---|
| 1.803 | 1.698 | 1.714 | 1.754 |
| ξ | 0.01 | 0.02 | 0.03 | 0.04 | 0.05 |
| 2.141 | 1.934 | 1.823 | 1.722 | 1.637 |
| Parameters | |||
|---|---|---|---|
| y0i | 1.81319 | 1.81319 | 1.81319 |
| xci | 38.56747 | 160.1066 | 186.31045 |
| wi | 49.89298 | 54.63147 | 121.99468 |
| Ai | 67.1764 | −82.0824 | 156.67953 |
Publisher’s Note: MDPI stays neutral with regard to jurisdictional claims in published maps and institutional affiliations. |
© 2022 by the authors. Licensee MDPI, Basel, Switzerland. This article is an open access article distributed under the terms and conditions of the Creative Commons Attribution (CC BY) license (https://creativecommons.org/licenses/by/4.0/).
Share and Cite
Zhao, S.; Zhang, C.; Yue, J.; Yan, Z.; Liu, J.; Zhang, B.; Liu, B. Wind-Induced Vibration Coefficient of Landscape Tower with Curved and Twisted Columns and Spiral Beams Based on Wind Tunnel Test Data. Buildings 2022, 12, 1635. https://doi.org/10.3390/buildings12101635
Zhao S, Zhang C, Yue J, Yan Z, Liu J, Zhang B, Liu B. Wind-Induced Vibration Coefficient of Landscape Tower with Curved and Twisted Columns and Spiral Beams Based on Wind Tunnel Test Data. Buildings. 2022; 12(10):1635. https://doi.org/10.3390/buildings12101635
Chicago/Turabian StyleZhao, Shuang, Chengtao Zhang, Jiahao Yue, Zhitao Yan, Jun Liu, Bin Zhang, and Bowei Liu. 2022. "Wind-Induced Vibration Coefficient of Landscape Tower with Curved and Twisted Columns and Spiral Beams Based on Wind Tunnel Test Data" Buildings 12, no. 10: 1635. https://doi.org/10.3390/buildings12101635
APA StyleZhao, S., Zhang, C., Yue, J., Yan, Z., Liu, J., Zhang, B., & Liu, B. (2022). Wind-Induced Vibration Coefficient of Landscape Tower with Curved and Twisted Columns and Spiral Beams Based on Wind Tunnel Test Data. Buildings, 12(10), 1635. https://doi.org/10.3390/buildings12101635

