Identification of the Barriers and Key Success Factors for Renewable Energy Public-Private Partnership Projects: A Continental Analysis
Abstract
1. Introduction
2. Methodology
2.1. Literature Review
2.2. Questionnaire Survey
2.3. Analysis
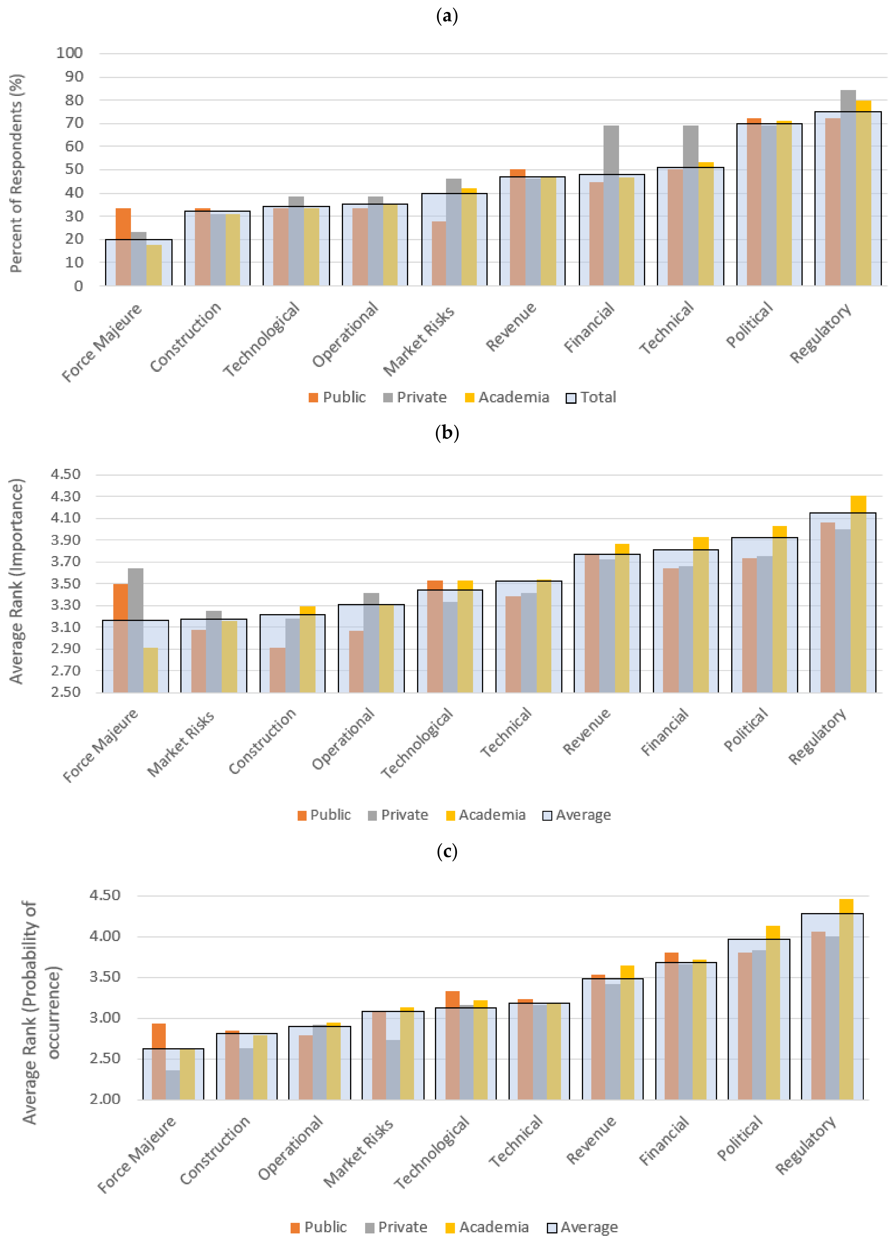
3. Identification of the Barriers and Success Factors
4. Analysis
4.1. Factors Motivating the Public Sector to Opt for PPPs in Renewable-Energy Projects
4.2. Barriers Facing Renewable-Energy PPPs
- Regulatory barrier (complex bureaucratic procedures, unstable national regulations);
- Political barrier (lack of governmental support, low political stability);
- Revenue barrier (fraud/non-payment by users, change in the market demand, foreign-exchange risk, inflation);
- Technical barrier (poor contract documentation, deficiency of design, poor quality assurance and quality control, lack of supporting infrastructure);
- Force majeure barrier (certain events of a political nature with low likelihood but non-measurable effects such as wars, terrorism, and so on);
- Financial barrier (foreign-exchange fluctuation, interest-rate fluctuation, inflation);
- Construction barrier (coordination of risks, land acquisition, unforeseen geotechnical conditions, physical obstacles that cannot be avoided, access to the site);
- Operational barrier (project/operation changes, organizational risk or changes, maintenance risks);
- Market risks (market competition, unskilled parties, poor coordination, poor risk allocation);
- Technological barrier (non-availability of the technology and or machines needed, non-trained laborers).
4.3. KSFs and Key Success Indicators for Renewable-Energy PPPs
5. Continental Analysis
5.1. Factors to Consider for PPPs
5.2. Barriers Facing Renewable-Energy PPPs in Every Continent
5.3. Continental Analysis of the KSFs and Key Success Indicators for Renewable-Energy PPPs
6. Discussion
7. Conclusions
8. Limitations and Future Research Directions
Author Contributions
Funding
Informed Consent Statement
Data Availability Statement
Conflicts of Interest
Appendix A
| Study | Scope | Country | Number of Respondents | Methodology | Results |
|---|---|---|---|---|---|
| Ahmadabadi and Heravi (2019) [58] | Evaluate the impact of the risks on the success of PPP projects. | Iran | The survey was sent to 51 experts and 48 responses were received (94% response rate). | This study starts with a review of the literature to identify the risks. Then, the survey was built and sent to experts to collect responses. Finally, the responses were analyzed using factor analysis (FA) and partial least squares techniques. | The analysis revealed that governmental support, constructional barriers, competitive bidding, and appropriate risk allocations are the main factors affecting PPPs in Iran. |
| Babonea and Gherman (2014) [59] | Analyze the main risks for PPPs in renewable-energy projects. | Romania | - | Discussion and review of the literature. | The results showed that regulatory and financial barriers are the main risks facing PPPs for renewable-energy projects. |
| Debela (2019) [60] | Investigate the impact of the barriers on the success of road PPP projects. | Ethiopia | The survey was sent to 85 experts and 52 responses were responded (61% response rate). | A review of the literature was conducted to identify the barriers. Then, a questionnaire survey was built and sent to experts. Finally, the mean score ranking technique, t-Test, reliability rest, Kendall’s Concordance analysis, and the Relative Importance Index were conducted to analyze the data. | The results revealed that political, regulatory, and market risks are the main barriers for PPP projects in Pakistan. |
| Donastorg et al. (2020) [61] | Investigate the impact of the key success factors on renewable energy projects. | Dominican Republic | A total of 25 experts responded to the survey. | The study started with a review of the literature to identify the key success factors of renewable-energy projects. Then, a questionnaire survey was built and sent to the experts to collect response for the analysis process. | The results revealed that financial, technical, and regulatory barriers are the main risks affecting renewable-energy projects. |
| Ezeldin and Badran (2013) [31]; Badran (2013) [62] | Identify the impact and probability of different barriers for PPPs. | Egypt | A total of 25 experts responded to the survey. | Firstly, a literature review was carried out to identify the barriers. Then, a questionnaire survey was built and sent to experts in the area of PPPs in Egypt. The survey adopted a Likert scale to allow the respondents to rank the barriers from 1 to 5. | The results showed that financial, political, and regulatory barriers are the main barriers facing PPPs in Egypt. |
| Fitzpatrick et al. (2014) [32] | This study was conducted by the OECD to identify the barriers to PPPs in the MENA region. The study focuses on transportation and renewable-energy PPPs. | MENA (Egypt, Jordan, Morocco, and Tunisia) | A total of 125 experts responded to the survey: 50 experts from Egypt, 19 from Jordan, 36 from Morocco, and 20 from Tunisia. | The study started with a workshop for experts in the area of PPPs in the MENA region to identify the barriers to the success of PPPs. The OECD identified the main PPP projects in the countries involved in this study in the last decade, with a total of 69 projects identified. Then, the authors of this study sent the survey to the experts involved in the identified projects. | The analysis showed that regulatory, and operational risks are the main barriers to PPPs in the MENA region. However, the analysis by country showed that the ranking of the barriers changes from one country to another. |
| Gupta et al. (2013) [34] | Assess the impact of risks on highway PPP-project life span. | India | The survey was sent to 30 experts and only 8 responded to it, with a response rate of 27%. | This research included three main phases. Firstly, a literature review was conducted to identify the risks. Secondly, a questionnaire survey was conducted to collect expert responses. Finally, data analysis was conducted to plot the changes in the impact of risks over the life span of the projects. | The results revealed that financial, regulatory, and political risks are the main risks for PPPs. Additionally, the analysis showed that the project duration is a major risk, and risks rise as a project progresses, reaching the highest level during the construction phase. Finally, risks drop to less than half after the construction phase. |
| Helmy et al. (2020) [63] | Assess the key success factors for the success of PPP projects in the educational sector. | Egypt | A total of 13 experts completed the survey. | This was a three-stage study. Stage one was a literature review for the identification of the factors. Then, a semi structured survey was conducted to collect responses for analysis. Finally, hypothesis testing was used to test the impact of the tested factors on the success of PPPs. | The results showed that operational factors are the most significant factors, followed by regulatory, political, and financial factors. |
| Ika et al. (2012) [64] | Explore the key success factors for World Bank projects around the world. | Worldwide | The survey was sent to 1421 experts and 178 responded to the survey, with a response rate of 12.5%. | This study involved three stages of research. Firstly, a literate review was conducted to identify the factors. Secondly, a questionnaire survey was built and sent to experts to collect responses. Finally, regression analysis was used to test the impact of every factor on the success of the projects. | The results showed that operational, constructional, and technical factors are the main factors affecting renewable-energy projects. |
| Kavishe and Chileshe (2019) [27] | Identify the impact of the risks on the success of PPPs in housing projects. | Tanzania | 10 experts | The study started with a literature review to identify the risks. Then, interviews were conducted with experts from the public and private sectors. Finally, the data were analyzed using the standard qualitative-analysis technique. | The results revealed that operational, technical, and political factors are the main risks affecting PPPs in Tanzania. |
| Ke et al. (2010) [65] | Understand the appropriate risk allocation for PPPs in China. | China | The survey was sent to 203 experts and a total of 47 responses were collected, with a response rate of 23%. | This was a two-stage study that started with a literature review for the identification of the risks. Then, a questionnaire survey was conducted between December 2008 and February 2009 to collect information for the analysis. | The results highlighted that public sector should be responsible for government-related risk, whereas the private sector should be responsible for project-level risks. |
| Khahro et al. (2021) [33] | Understand the main barriers facing PPPs in developing countries. | Pakistan, India, China, and Egypt | A total of 42 experts responded to the survey. | This study adopted two research phases. The first phase was a literature review that was conducted to identify the barriers facing PPPs. The second phase was the survey, and during the survey the respondents were asked to rank the barriers in a Likert scale from 1 to 5 according to their impact and probability. | The results revealed that finical, political, and regulatory barriers are the main barriers to PPPs in developing countries. |
| Khodier (2019) [29] | Identify the barriers to PPPs in Egypt. | Egypt | The survey was sent to 80 experts and 55 full responses were received, with a response rate of 69%. | The paper started with a literature review for identifying the main barriers to PPPs. Then, a detailed analysis of PPPs in India, China, Nigeria, and Egypt was carried out to help identify the main barriers in other developing countries. Then, the survey was built using a Likert scale to rank the barriers from 1 to 5. | The analysis showed that political, regulatory, and financial barriers are the main risks facing PPPs in Egypt. |
| Komendantova et al. (2012) [30] | Understand the barriers for solar-power renewable-energy projects. | North Africa | A total of 18 experts responded to the survey. | This study involved three-stages of interviews. Firstly, unstructured interviews were conducted with experts (23 experts) to identify the main barriers for renewable-energy PPPs. Secondly, semi-structured interviews were conducted to allow the experts to rank the impact and probability of occurrence of each barrier, and a total of 18 experts responded to the survey. Finally, a case study from a single country was analyzed in depth in order to confirm the results. For the case study, Morocco was selected, and experts were interviewed to acquire their responses. | The analysis shows that regulatory, political, and force-majeure barriers are the main risks facing renewable-energy PPPs in North Africa. Additionally, regulatory risks are the most likely to occur. Thus, the development of sound regulations in a transparent manner is essential to promoting renewable energy. |
| Korayem and Ogunlana (2019) [66] | Develop a risk model for water-specific PPPs. | Egypt | A total of 53 experts completed the survey. | This study started with a literature review for the identification of risks. Then, the questionnaire survey was built and sent to experts to collect responses for analysis. Finally, an Analytical Network Process (ANP) structure was constructed comprising the project objective, risk categories, and elements. | The analysis showed that operational and maintenance risks are the main risks for wastewater PPPs. |
| Maqbool (2018) [67] | Identify the key success factors and their influence on renewable-energy projects. | Pakistan | A total of 273 employees who were involved in renewable-energy projects completed the survey. | Firstly, a literature review was conducted to identify the key success factors for renewable-energy projects. Then, a questionnaire survey was built and sent to experts in the area. Finally, hypothesis testing was used to understand the Impact of each factor on the success of renewable-energy projects. | The results showed that political, regulatory, financial, and force majeure factors are the main factors affecting renewable-energy projects. |
| Maqbool and Sudong (2018) [68] | Study the impact of the key success factors on renewable-energy projects. | Pakistan | The survey was sent to a total of 450 experts and a total of 272 responses was received (60% response rate). | Firstly, a literature review was conducted to identify the factors affecting renewable-energy projects. Secondly, a questionnaire survey was carried out and sent to experts to collect responses for the analysis phase. Finally, regression analysis was used to test the impact of each factor on the success of renewable-energy projects. | The results revealed that political, regulatory, financial, and force majeure factors are the main factors affecting renewable-energy projects in Pakistan. |
| Odhiambo et al. (2020) [4] | Identify the barriers to geothermal renewable-energy projects. | Kenya | The survey was sent to 769 employees and 263 responded to the survey, with a response rate of 34%. | In this study, the authors investigated the barriers to the success of geothermal renewable-energy projects using a survey that was sent to the employees of one project (KenGen project) in Kenya. Finally, hypothesis testing was used to understand the impact of each barrier on the success renewable-energy projects. | The results showed that market risks are the main factors affecting geothermal renewable-energy projects. |
| Osei-Kyei and Chan (2015) [45] | Assess the main barriers to PPPs between 1990 and 2013. | Worldwide | - | This is a literature-review paper that focused on identifying the main barriers and key success factors for PPPs across the globe. | The analysis showed that appropriate risk allocation and political support are the most-identified barriers in the literature. Additionally, the analysis showed that China and UK are the countries of focus of most papers in the period studied. |
| Othman and Khallaf (2022) [69] | Develop a detailed understanding of renewable-energy PPPs with the objective of revealing the key success factors of previous projects in developing countries. | South Africa, India, Kenya, Morocco, and Jordan | - | Previous studies and reports published between 2010 and 2021 were reviewed. The paper identified the lessons learned from previous studies and set a group factor for the success of PPPs in renewable energy. | The results showed that governmental support, efficient and competitive bidding, political stability, and supportive regulations are the main factors that contribute to the success of PPPs. |
| Rady (2012) [70] | Assess the barriers to PPPs. | Egypt | A total of 23 experts responded to the survey. | This study followed two-stage research starting with a literature review. Then, a questionnaire survey using a Likert scale from 1 to 5 was conducted to rank the barriers. | The analysis showed that financial, political, and regulatory barriers are the main risks for PPPs in Egypt. |
| Smirnova et al. (2021) [71] | Study the factors that influence the governmental support of renewable-energy projects in China, India, and Russia. | China, India, and Russia | A total of 57 experts responded to the survey, with 19 experts from every country. | This paper followed a three-phase research plan. Firstly, a literature review was conducted to identify the main barriers to PPPs. Secondly, a questionnaire survey was conducted and sent to experts to collect responses. Finally, regression analysis was used to understand the impact of each factor on the success of renewable-energy projects. | The results showed that regulatory, financial, risk allocation, and political support are the main factors affecting the success of renewable-energy projects. |
| Somma, and Rubino (2016) [72] | Analyze and evaluate PPPs for renewable-energy projects in the MENA region. | Worldwide with more focus on Morocco, Jordan, Algeria, Egypt, and Tunisia | - | The World Bank database from between 2013 and 2015 was analyzed. | Political stability and supporting regulations are the main factors attracting the investment of the private sector in renewable-energy projects. |
| Wang et al. (2022) [73] | Investigate the impact of the risks of the success of renewable-energy projects. | Pakistan | The survey was sent to 750 experts and a total of 516 responses was received (69%). | A literature review was conducted to identify the risks. Then, a questionnaire survey was conducted and sent to experts to collect responses for the analysis phase. Finally, the partial-least-squares structural-equation-modeling technique was used to analyze the responses. | The analysis revealed that technical and operation factors are the main risks facing renewable-energy projects in Pakistan. |
| Xu et al. (2010) [25] | Develop a risk-assessment model for highway PPPs. | China | The survey was sent to 580 experts and 98 responded to the survey, with a response rate of 17%. | Three phases of research were adopted in this study. Firstly, a literature review was carried out to identify the main risks facing PPPs. Secondly, a questionnaire survey was distributed to experts involved in PPP. Finally, A fuzzy synthetic-evaluation technique was adopted in order to model PPP risks. | The results revealed that governmental support, financial support, market risks, and construction and operational barriers are the main risks for highway PPPs in China. |
| Zaman et al. (2022) [74] | Understand the impact of the key success factor on the efficiency of renewable-energy projects. | Pakistan | The survey was sent to 408 experts and a total of 376 responses were received (92% response rate). | The study started with a literature review to identify the key success factors of renewable-energy projects. Then, a questionnaire survey was built and sent to experts. Finally, the partial-least-square structural-equation-modeling technique was used to analyze the responses. | The results showed that operational and technical are the main factors affecting the success of renewable-energy projects. |
| Zhao and Chen (2018) [75] | Investigate the impact of the risks on the success of renewable-energy projects. | China | The survey was sent to 369 experts and 216 responses were received (59% response rate). | Firstly, a literature review was conducted to identify the barriers to the success of renewable-energy projects. Secondly, a questionnaire survey was distributed to collect responses. Finally, a driving-force model illustrating the influence mechanisms of renewable-energy development was established. | The analysis revealed that market, technological, and financial barriers are the main factors affecting renewable-energy projects. |
| Zhao et al. (2010) [16] | Analyze the factors affecting BOT renewable-energy (electric power) projects. | China | The survey was sent to 105 experts and 73 responses were received (70% response rate). | A literature review was conducted to identify the factors affecting renewable-energy projects. Then, a questionnaire survey was sent to experts to test the relative importance of each factor. | The analysis revealed that financial, operational, and political factors are the main parameters affecting renewable-energy projects. |
| Study | Regulatory | Political | Revenue | Technical | Force Majeure | Financial | Construction | Operational | Market Risks | Technological |
|---|---|---|---|---|---|---|---|---|---|---|
| Almarri and Boussabaine (2017) [76] | ✓ | ✓ | ✓ | ✓ | ||||||
| Badran (2013) [62] | ✓ | ✓ | ✓ | ✓ | ✓ | ✓ | ✓ | ✓ | ✓ | ✓ |
| Baxter (2017) [77] | ✓ | |||||||||
| Carpintero and Siemiatycki (2016) [78] | ✓ | ✓ | ||||||||
| Chen et al. (2017) [79] | ✓ | ✓ | ✓ | |||||||
| Debela (2019) [60] | ✓ | ✓ | ✓ | ✓ | ✓ | ✓ | ✓ | |||
| Diba (2012) [80] | ✓ | ✓ | ✓ | ✓ | ✓ | ✓ | ||||
| Donastorg et al. (2020) [61] | ✓ | ✓ | ✓ | |||||||
| Estache et al. (2007) [81] | ✓ | ✓ | ✓ | ✓ | ✓ | ✓ | ||||
| Ezeldin and Badran (2013) [31] | ✓ | ✓ | ✓ | ✓ | ✓ | ✓ | ✓ | ✓ | ✓ | ✓ |
| Fitzpatrick et al. (2014) [32] | ✓ | ✓ | ✓ | ✓ | ✓ | ✓ | ||||
| Grimsey and Lewis (2002) [82] | ✓ | ✓ | ✓ | ✓ | ✓ | ✓ | ✓ | ✓ | ||
| Ismail (2013) [49] | ✓ | ✓ | ✓ | ✓ | ✓ | |||||
| Kang et al. (2018) [83] | ✓ | ✓ | ✓ | |||||||
| Kavishe and Chileshe (2018) [27] | ✓ | ✓ | ✓ | ✓ | ||||||
| Ke et al. (2010) [65] | ✓ | ✓ | ✓ | ✓ | ✓ | ✓ | ✓ | ✓ | ||
| Khahro et al. (2021) [33] | ✓ | ✓ | ✓ | ✓ | ✓ | ✓ | ✓ | ✓ | ✓ | ✓ |
| Khodier (2019) [29] | ✓ | ✓ | ✓ | ✓ | ✓ | ✓ | ✓ | |||
| Komendantova et al. (2010) [30] | ✓ | ✓ | ✓ | ✓ | ✓ | ✓ | ✓ | ✓ | ||
| Kumaraswamy and Zhang (2001) [84] | ✓ | ✓ | ✓ | ✓ | ✓ | ✓ | ||||
| Kwofie et al. (2016) [85] | ✓ | ✓ | ✓ | ✓ | ✓ | |||||
| Lam et al. (2007) [86] | ✓ | ✓ | ✓ | |||||||
| Li et al. (2005) [51] | ✓ | ✓ | ✓ | ✓ | ✓ | ✓ | ✓ | ✓ | ✓ | |
| Maqbool and Sudong (2018) [68] | ✓ | ✓ | ✓ | ✓ | ✓ | ✓ | ✓ | ✓ | ||
| Maslyukivska and Sohail (2007) [87] | ✓ | ✓ | ✓ | |||||||
| Medda (2007) [88] | ✓ | ✓ | ✓ | |||||||
| Muhammad and Johar (2019) [24] | ✓ | ✓ | ✓ | ✓ | ||||||
| Ng and Loosemore (2007) [89] | ✓ | ✓ | ✓ | ✓ | ✓ | ✓ | ✓ | ✓ | ||
| NTSA (2004) [90] | ✓ | ✓ | ✓ | ✓ | ✓ | ✓ | ✓ | |||
| Odhiambo et al. (2020) [4] | ✓ | ✓ | ✓ | ✓ | ✓ | |||||
| Osei-Kyei and Chan (2015) [45] | ✓ | ✓ | ||||||||
| Osei-Kyei and Chan (2017) [48] | ✓ | ✓ | ✓ | ✓ | ✓ | |||||
| Rady (2012) [70] | ✓ | ✓ | ✓ | ✓ | ||||||
| Shen et al. (2006) [91] | ✓ | ✓ | ✓ | ✓ | ✓ | ✓ | ✓ | ✓ | ||
| Smirnova et al. (2021) [71] | ✓ | ✓ | ✓ | |||||||
| Somma, and Rubino (2016) [72] | ✓ | ✓ | ||||||||
| VDTF (2001) [92] | ✓ | ✓ | ✓ | ✓ | ||||||
| Verhoest et al. (2015) [93] | ✓ | ✓ | ||||||||
| Wang and Tiong (2000) [94] | ✓ | ✓ | ✓ | ✓ | ✓ | ✓ | ✓ | ✓ | ||
| Warburton and Baker (2005) [95] | ✓ | ✓ | ✓ | |||||||
| Xu et al. (2010) [25] | ✓ | ✓ | ✓ | ✓ | ✓ | ✓ | ✓ | ✓ | ||
| Yang et al. (2013) [96] | ✓ | ✓ | ✓ | ✓ | ||||||
| Yun et al. (2015) [97] | ✓ | ✓ | ✓ | ✓ | ✓ | |||||
| Zhao and Chen (2018) [75] | ✓ | ✓ | ✓ | ✓ | ✓ | ✓ | ✓ | ✓ | ||
| Zhao et al. (2010) [16] | ✓ | ✓ | ✓ | ✓ | ✓ | |||||
| Zou et al. (2008) [98] | ✓ | ✓ | ✓ | ✓ |
| Study | Technological Development | Geographic Location | Desirable Conditions | Appropriate Risk Allocation | Effective Negotiation between Parties | Skilled and Efficient Parties | Competitive Procurement Processes | Well-Prepared Contract Document |
|---|---|---|---|---|---|---|---|---|
| Almarri and Boussabaine (2017) [76] | ✓ | ✓ | ✓ | ✓ | ||||
| Debela (2019) [60] | ✓ | ✓ | ✓ | ✓ | ✓ | |||
| Diba (2012) [80] | ✓ | ✓ | ||||||
| Donastorg et al. (2020) [61] | ✓ | ✓ | ||||||
| Fitzpatrick et al. (2014) [32] | ✓ | ✓ | ✓ | |||||
| Gordon et al. (2013) [99] | ✓ | ✓ | ||||||
| Ismail (2013) [49] | ✓ | ✓ | ✓ | ✓ | ✓ | |||
| Kamel et al. (2017) [28] | ✓ | ✓ | ||||||
| Kavishe and Chileshe (2018) [27] | ✓ | ✓ | ✓ | |||||
| Khodier (2019) [29] | ✓ | ✓ | ✓ | ✓ | ✓ | ✓ | ||
| Kwofie et al. (2016) | ✓ | ✓ | ✓ | ✓ | ✓ | |||
| Lam et al. (2007) [85] | ✓ | |||||||
| Muhammad and Johar (2019) [24] | ✓ | ✓ | ✓ | |||||
| Osei-Kyei and Chan (2017) [48] | ✓ | ✓ | ✓ | ✓ | ||||
| Smirnova et al. (2021) [71] | ✓ | ✓ | ✓ | ✓ | ||||
| Yun et al. (2015) [97] | ✓ | ✓ | ✓ | ✓ | ||||
| Zhao et al. (2010) [16] | ✓ |
| Study | Reduction of Emissions | Produced Energy Capacity | Resources Saved | Traditional KPIs: Cost, Time, Money | Value for Money Achieved | Risk-Sharing Allocation |
|---|---|---|---|---|---|---|
| Debela (2019) [60] | ✓ | |||||
| Maqbool and Sudong (2018) [68] | ✓ | ✓ | ||||
| Maqbool et al. (2017) [100] | ✓ | ✓ | ||||
| Muller and Turner (2010) [101] | ✓ | ✓ | ||||
| Osei-Kyei et al. (2017) [48] | ✓ | ✓ | ||||
| Zhao and Chen (2018) [75] | ✓ | ✓ | ✓ |


References
- BP, BP Statistical Review of World Energy, June 2014. Available online: http://large.stanford.edu/courses/2014/ph240/milic1/docs/bpreview.pdf (accessed on 14 October 2021).
- Rajpurkar, N. Identifying Best Practices in Public-Private Partnerships in Renewable Energy. Master’s Thesis, MIT Sloan School of Management, Cambridge, MA, USA, 2015. [Google Scholar]
- Anwar, B.; Ashraf, M.I.; Alam, A. Opportunities and risk factors in public-private partnership on energy: A critical analysis of solar photovoltaic Plant at Bahawalpur. Glob. Political Rev. 2018, 3, 61–74. [Google Scholar] [CrossRef]
- Odhiambo, K.O.; Rambo, C.; Okelo, S.L. Market risk factors and performance of public private partnership renewable energy projects: The case of geothermal renewable energy projects in Kenya. Int. J. Res. Bus. Soc. Sci. 2020, 9, 366–376. [Google Scholar] [CrossRef]
- Mohsen, M.; Bagher, A.M.; Reza, B.M.; Vahid, M.M.A.; Mahdi, T. Comparing the generation of electricity from renewable and non-renewable energy sources in Iran and the world: Now and future. World J. Eng. 2015, 12, 627–638. [Google Scholar] [CrossRef]
- Zhao, Z.Y.; Tian, Y.X.; Zillante, G. Modeling and evaluation of the wind power industry chain: A China study. Renew. Sustain. Energy Rev. 2014, 31, 397–406. [Google Scholar] [CrossRef]
- Wu, G.; Zeng, M.; Peng, L.L.; Liu, X.M.; Li, B.; Duan, J.H. China’s new energy development: Status, constraints and reforms. Renew. Sustain. Energy Rev. 2016, 53, 885–896. [Google Scholar]
- Dong, L.; Liang, H.W.; Gao, Z.Q.; Luo, X.; Ren, J.Z. Spatial distribution of China’s renewable energy industry: Regional features and implications for a harmonious development future. Renew. Sustain. Energy Rev. 2016, 58, 1521–1531. [Google Scholar] [CrossRef]
- Goh, H.H.; Lee, S.W.; Chua, Q.S.; Goh, K.C.; Kok, B.C.; Teo, K.T.K. Renewable energy project: Project management, challenges and risk. Renew. Sustain. Energy Rev. 2014, 38, 917–932. [Google Scholar] [CrossRef]
- Pantaleo, A.M.; Giarola, S.; Bauen, A.; Shah, N. Integration of biomass into urban energy systems for heat and power. Part II: Sensitivity assessment of main techno-economic factors. Energy Convers. Manag. 2014, 83, 362–376. [Google Scholar] [CrossRef]
- Carlisle, J.E.; Kane, S.L.; Solan, D.; Bowman, M.; Joe, J.C. Public attitudes regarding large-scale solar energy development in the U.S. Renew. Sustain. Energy Rev. 2015, 48, 835–847. [Google Scholar] [CrossRef]
- Ansari, M.F.; Kharb, R.K.; Luthra, S.; Shimmi, S.L.; Chatterji, S. Analysis of barriers to implement solar power installations in India using interpretive structural modeling technique. Renew. Sustain. Energy Rev. 2013, 27, 163–174. [Google Scholar] [CrossRef]
- Bao, C.; Fang, C.L. Geographical and environmental perspectives for the sustainable development of renewable energy in urbanizing China. Renew. Sustain. Energy Rev. 2013, 27, 464–474. [Google Scholar] [CrossRef]
- Lin, B.Q.; Moubarak, M. Renewable energy consumption-Economic growth nexus for China. Renew. Sustain. Energy Rev. 2014, 40, 111–117. [Google Scholar] [CrossRef]
- Zeng, M.; Xue, S.; Ma, M.J.; Zhu, X.L. New energy bases and sustainable development in China: A review. Renew. Sustain. Energy Rev. 2013, 20, 169–185. [Google Scholar]
- Zhao, Z.Y.; Zuo, J.; Zillante, G.; Wang, X.W. Critical success factors for BOT electric power projects in China: Thermal power versus wind power. Renew. Energy 2010, 35, 1283–1291. [Google Scholar] [CrossRef]
- Liang, H.; Ren, J.; Gao, Z.; Gao, S.; Luo, X.; Dong, L.; Scipioni, A. Identification of critical success factors for sustainable development of biofuel industry in China based on grey decision-making trial and evaluation laboratory (DEMATEL). J. Clean. Prod. 2016, 131, 500–508. [Google Scholar] [CrossRef]
- Xu, P.; Chan, E.H.W.; Qian, Q.K. Success factors of energy performance contracting (EPC) for sustainable building energy efficiency retrofit (BEER) of hotel buildings in China. Energy Pol. 2011, 39, 7389–7398. [Google Scholar] [CrossRef]
- Young, J.; Brans, M. Analysis of factors affecting a shift in a local energy system towards 100% renewable energy community. J. Clean. Prod. 2017, 169, 117–124. [Google Scholar] [CrossRef]
- Zhao, Z.Y.; Zuo, J.; Feng, T.T.; Zillante, G. International cooperation on renewable energy development in China—A critical analysis. Renew. Energy 2011, 36, 1105–1110. [Google Scholar] [CrossRef]
- Zhao, Z.Y.; Chen, Y.L.; Chang, R.D. How to stimulate renewable energy power generation effectively?-China’s incentive approaches and lessons. Renew. Energy 2016, 92, 147–156. [Google Scholar] [CrossRef]
- Freedman, S.; Katz, L. Critical success factors for international projects. PM World Today 2007, 9, 1–8. [Google Scholar]
- Bazeley, P. Qualitative Data Analysis with NVivo; Sage: London, UK, 2013. [Google Scholar]
- Muhammad, Z.; Johar, F. Critical success factors of public–private partnership projects: A comparative analysis of the housing sector between Malaysia and Nigeria. Int. J. Constr. Manag. 2019, 19, 257–269. [Google Scholar] [CrossRef]
- Xu, Y.; Yeung, J.F.; Chan, A.P.; Chan, D.W.; Wang, S.Q.; Ke, Y. Developing a risk assessment model for PPP projects in China—A fuzzy synthetic evaluation approach. Autom. Constr. 2010, 19, 929–943. [Google Scholar] [CrossRef]
- Luthra, S.; Garg, D.; Haleem, A. The impacts of critical success factors for implementing green supply chain management towards sustainability: An empirical investigation of Indian automobile industry. J. Clean. Prod. 2016, 121, 142–158. [Google Scholar] [CrossRef]
- Kavishe, N.; Chileshe, N. Critical success factors in public-private partnerships (PPPs) on affordable housing schemes delivery in Tanzania: A qualitative study. J. Facil. Manag. 2018, 17, 188–207. [Google Scholar] [CrossRef]
- Kamel, M.; Montaser, A.; Abd El-Rashid, I. Public private partnership in Egypt. In Proceedings of the Canadian Society for Civil Engineering Annual Conference (CSCE 2017), 6th CSCE/CRC International Construction Specialty Conference, Vancouver, BC, Canada, 31 May–3 June 2017; Volume 9. [Google Scholar]
- Khodeir, L. Evaluating the role of project management education towards enhancing architecture students competency skills. JES J. Eng. Sci. 2019, 46, 754–766. [Google Scholar] [CrossRef]
- Komendantova, N.; Patt, A.; Barras, L.; Battaglini, A. Perception of risks in renewable energy projects: The case of concentrated solar power in North Africa. Energy Policy 2012, 40, 103–109. [Google Scholar] [CrossRef]
- Ezeldin, A.S.; Badran, Y. Risk decision support system for public private partnership projects in Egypt. Int. J. Eng. Innov. Technol. 2013, 3, 479–486. [Google Scholar]
- Fitzpatrick, A.; Zovaro, V.; Draia, S. Public-private partnerships in the middle East and North Africa. In A Handbook for Policy Makers; Organization for Economic Cooperation and Development: Paris, France, 2014. [Google Scholar]
- Khahro, S.H.; Ali, T.H.; Hassan, S.; Zainun, N.Y.; Javed, Y.; Memon, S.A. Risk Severity Matrix for Sustainable Public-Private Partnership Projects in Developing Countries. Sustainability 2021, 13, 3292. [Google Scholar] [CrossRef]
- Gupta, A.K.; Trivedi, M.K.; Kansal, R. Risk variation assessment of Indian road PPP projects. Int. J. Sci. Environ. Technol. 2013, 2, 1017–1026. [Google Scholar]
- Smith, G.; Sochor, J.; Karlsson, I.M. Public–private innovation: Barriers in the case of mobility as a service in West Sweden. Public Manag. Rev. 2019, 21, 116–137. [Google Scholar] [CrossRef]
- Mamine, F.; Farès, M.H. Barriers and levers to developing wheat–pea intercropping in Europe: A review. Sustainability 2020, 12, 6962. [Google Scholar] [CrossRef]
- Thum-Thysen, A.; Voigt, P.; Bilbao-Osorio, B.; Maier, C.; Ognyanova, D. Investment dynamics in Europe: Distinct drivers and barriers for investing in intangible versus tangible assets? Struct. Chang. Econ. Dyn. 2019, 51, 77–88. [Google Scholar] [CrossRef]
- Cui, C.; Liu, Y.; Hope, A.; Wang, J. Review of studies on the public–private partnerships (PPP) for infrastructure projects. Int. J. Proj. Manag. 2018, 36, 773–794. [Google Scholar] [CrossRef]
- Abdel Aziz, A.M. Successful delivery of public-private partnerships for infrastructure development. J. Constr. Eng. Manag. 2007, 133, 918–931. [Google Scholar] [CrossRef]
- Liu, T.; Wang, Y.; Wilkinson, S. Identifying critical factors affecting the effectiveness and efficiency of tendering processes in Public–Private Partnerships (PPPs): A comparative analysis of Australia and China. Int. J. Proj. Manag. 2016, 34, 701–716. [Google Scholar] [CrossRef]
- Furumo, P.R.; Lambin, E.F. Scaling up zero-deforestation initiatives through public-private partnerships: A look inside post-conflict Colombia. Glob. Environ. Chang. 2020, 62, 102055. [Google Scholar] [CrossRef]
- Leigland, J. Public-private partnerships in developing countries: The emerging evidence-based critique. World Bank Res. Obs. 2018, 33, 103–134. [Google Scholar] [CrossRef]
- Liu, T.; Wilkinson, S. Adopting innovative procurement techniques: Obstacles and drivers for adopting public private partnerships in New Zealand. Constr. Innov. 2011, 11, 452–469. [Google Scholar] [CrossRef]
- Sanni, A.O. Factors determining the success of public private partnership projects in Nigeria. Constr. Econ. Build. 2016, 16, 42–55. [Google Scholar] [CrossRef]
- Osei-Kyei, R.; Chan, A.P. Review of studies on the Critical Success Factors for Public–Private Partnership (PPP) projects from 1990 to 2013. Int. J. Proj. Manag. 2015, 33, 1335–1346. [Google Scholar] [CrossRef]
- Sehgal, R.; Dubey, A.M. Identification of critical success factors for public–private partnership projects. J. Public Aff. 2019, 19, e1956. [Google Scholar] [CrossRef]
- Hsueh, C.M.; Chang, L.M. Critical success factors for PPP infrastructure: Perspective from Taiwan. J. Chin. Inst. Eng. 2017, 40, 370–377. [Google Scholar] [CrossRef]
- Osei-Kyei, R.; Chan, A.P. Implementing public–private partnership (PPP) policy for public construction projects in Ghana: Critical success factors and policy implications. Int. J. Constr. Manag. 2017, 17, 113–123. [Google Scholar] [CrossRef]
- Ismail, S. Critical success factors of public private partnership (PPP) implementation in Malaysia. Asia-Pac. J. Bus. Adm. 2013, 5, 6–19. [Google Scholar] [CrossRef]
- Zou, W.; Kumaraswamy, M.; Chung, J.; Wong, J. Identifying the critical success factors for relationship management in PPP projects. Int. J. Proj. Manag. 2014, 32, 265–274. [Google Scholar] [CrossRef]
- Li, B.; Akintoye, A.; Edwards, P.J.; Hardcastle, C. The allocation of risk in PPP/PFI construction projects in the UK. Int. J. Proj. Manag. 2005, 23, 25–35. [Google Scholar]
- Chou, J.S.; Pramudawardhani, D. Cross-country comparisons of key drivers, critical success factors and risk allocation for public-private partnership projects. Int. J. Proj. Manag. 2015, 33, 1136–1150. [Google Scholar] [CrossRef]
- Wibowo, A.; Alfen, H.W. Government-led critical success factors in PPP infrastructure development. Built Environ. Proj. Asset Manag. 2015, 5, 121–134. [Google Scholar] [CrossRef]
- Araujo, L.G.; Piña, A.B.S.; Aidar, L.A.G.; Coelho, G.O.; Carvalho, M.T.M. Recommendations and guidelines for implementing PPP projects: Case of the electricity sector in Brazil. Built Environ. Proj. Asset Manag. 2019, 9, 262–276. [Google Scholar] [CrossRef]
- Menezes, D.C.; Hoffmann, V.E.; Zanquetto Filho, H. Stakeholders and Critical Factors in the Brazilian Government’s Public Private Partnerships. Rev. Serviço Público 2019, 70, 371–401. [Google Scholar] [CrossRef]
- Sastoque, L.M.; Arboleda, C.A.; Ponz, J.L. A proposal for risk allocation in social infrastructure projects applying PPP in Colombia. Procedia Eng. 2016, 145, 1354–1361. [Google Scholar] [CrossRef]
- Cheung, E.; Chan, A.P.; Kajewski, S. Factors contributing to successful public private partnership projects: Comparing Hong Kong with Australia and the United Kingdom. J. Facil. Manag. 2012, 10, 45–58. [Google Scholar] [CrossRef]
- Ahmadabadi, A.A.; Heravi, G. The effect of critical success factors on project success in Public-Private Partnership projects: A case study of highway projects in Iran. Transp. Policy 2019, 73, 152–161. [Google Scholar] [CrossRef]
- Babonea, A.M.; Gherman, M.G. Public-private partnership in the context of regional development-a solution for renewable energy projects? Theor. Appl. Econ. 2014, 21, 77–88. [Google Scholar]
- Debela, G.Y. Critical success factors (CSFs) of public–private partnership (PPP) road projects in Ethiopia. Int. J. Constr. Manag. 2022, 22, 489–500. [Google Scholar] [CrossRef]
- Donastorg, A.; Renukappa, S.; Suresh, S. Evaluating critical success factors for implementing renewable energy strategies in the Dominican Republic. Renew. Energy 2020, 149, 329–335. [Google Scholar] [CrossRef]
- Badran, Y. Risk Analysis and Contract Management for Public Private Partnership Projects in Egypt. Master’s Thesis, American University in Cairo, New Cairo, Egypt, 2013. [Google Scholar]
- Helmy, R.; Khourshed, N.; Wahba, M.; Bary, A.A.E. Exploring critical success factors for public private partnership case study: The educational sector in Egypt. J. Open Innov. Technol. Mark. Complex. 2020, 6, 142. [Google Scholar] [CrossRef]
- Ika, L.A.; Diallo, A.; Thuillier, D. Critical success factors for World Bank projects: An empirical investigation. Int. J. Proj. Manag. 2012, 30, 105–116. [Google Scholar] [CrossRef]
- Ke, Y.; Wang, S.; Chan, A.P.; Lam, P.T. Preferred risk allocation in China’s public–private partnership (PPP) projects. Int. J. Proj. Manag. 2010, 28, 482–492. [Google Scholar] [CrossRef]
- Korayem, I.M.; Ogunlana, S.O. The “Water-Specific PPP Risk Model”: A Case Study in Egypt. In Public Private Partnerships; Springer: Cham, Switzerland, 2019; pp. 233–260. [Google Scholar]
- Maqbool, R. Efficiency and effectiveness of factors affecting renewable energy projects: An empirical perspective. Energy 2018, 158, 944–956. [Google Scholar] [CrossRef]
- Maqbool, R.; Sudong, Y. Critical success factors for renewable energy projects; empirical evidence from Pakistan. J. Clean. Prod. 2018, 195, 991–1002. [Google Scholar] [CrossRef]
- Othman, K.; Khallaf, R. A review of public-private partnership for renewable energy projects in developing countries. In Proceedings of International Structural Engineering and Construction; State-of-the-Art Materials and Techniques in Structural Engineering and Construction; ISEC Press: Fargo, ND, USA, 2022; Volume 9. [Google Scholar]
- Rady, A.M.A. The Assessment of Public Private Partnership Program in Egypt. Ph.D. Dissertation, KDI School, Sejong City, Korea, 2012. [Google Scholar]
- Smirnova, E.; Kot, S.; Kolpak, E.; Shestak, V. Governmental support and renewable energy production: A cross-country review. Energy 2021, 230, 120903. [Google Scholar] [CrossRef]
- Somma, E.; Rubino, A. Public-private participation in energy infrastructure in middle East and North African countries: The role of institutions for renewable energy sources diffusion. Int. J. Energy Econ. Policy 2016, 6, 621–629. [Google Scholar]
- Wang, B.; Rasool, S.F.; Zhao, Y.; Samma, M.; Iqbal, J. Investigating the nexus between critical success factors, despotic leadership, and success of renewable energy projects. Environ. Sci. Pollut. Res. 2022, 29, 10388–10398. [Google Scholar] [CrossRef]
- Zaman, S.; Wang, Z.; Rasool, S.F.; uz Zaman, Q.; Raza, H. Impact of critical success factors and supportive leadership on sustainable success of renewable energy projects: Empirical evidence from Pakistan. Energy Policy 2022, 162, 112793. [Google Scholar] [CrossRef]
- Zhao, Z.Y.; Chen, Y.L. Critical factors affecting the development of renewable energy power generation: Evidence from China. J. Clean. Prod. 2018, 184, 466–480. [Google Scholar] [CrossRef]
- Almarri, K.; Boussabaine, H. Interdependency of the critical success factors and ex-post performance indicators of PPP projects. Built Environ. Proj. Asset Manag. 2017, 7, 546–556. [Google Scholar] [CrossRef]
- Baxter, D. 10 Important Questions to Ask The Public Sector When Pursuing a PPP Procurment. Published on Infrastructure and Public Private Partnerships. 2017. Available online: https://blogs.worldbank.org/ppps/10-important-questions-ask-public-sector-when-pursuing-ppp-procurement (accessed on 23 February 2022).
- Carpintero, S.; Siemiatycki, M. The politics of delivering light rail transit projects through public-private partnerships in Spain: A case study approach. Transp. Pol. 2016, 49, 159–167. [Google Scholar] [CrossRef]
- Chen, Z.; Daito, N.; Gifford, J.L. Socioeconomic impacts of transportation public-private partnerships: A dynamic CGE assessment. Transp. Pol. 2017, 58, 80–87. [Google Scholar] [CrossRef]
- Diba, H. Critical Success Factors for Public Private Partnership Projects in the Kenyan Road Sub-Sector. Master’s Thesis, University of Nairobi, Nairobi, Kenya, 2012. [Google Scholar]
- Estache, A.; Juan, E.; Trujillo, L. Public–Private Partnerships in Transport; Policy Research Working Paper 4436; Sustainable Development Vice-Presidency, The World Bank: Washington, DC, USA, 2007. [Google Scholar]
- Grimsey, D.; Lewis, M. Evaluating the risks of public private partnerships for infrastructure projects. Int. J. Proj. Manag. 2002, 20, 107–118. [Google Scholar] [CrossRef]
- Kang, S.; Mulaphong, D.; Hwang, E.; Chang, C. Public-private partnerships in developing countries: Factors for successful adoption and implementation. Int. J. Public Sect. Manag. 2018, 32, 334–351. [Google Scholar] [CrossRef]
- Kumaraswamy, M.M.; Zhang, X.Q. Governmental role in BOT-led infrastructure development. Int. J. Proj. Manag. 2001, 19, 195–205. [Google Scholar] [CrossRef]
- Kwofie, T.E.; Afram, S.; Botchway, E. A critical success model for PPP public housing delivery in Ghana. Built Environ. Proj. Asset Manag. 2016, 6, 58–73. [Google Scholar] [CrossRef]
- Lam, K.C.; Wang, D.; Lee, P.T.K.; Tsang, Y.T. Modeling risk allocation decision in construction contracts. Int. J. Proj. Manag. 2007, 25, 485–493. [Google Scholar] [CrossRef]
- Maslyukivska, O.; Sohail, M. European infrastructure procurement through PPP. Proc. Inst. Civ. Eng. Manag. Procure. Law 2007, 160, 159–167. [Google Scholar] [CrossRef]
- Medda, F. A game theory approach for the allocation of risks in transport public private partnerships. Int. J. Proj. Manag. 2007, 25, 213–218. [Google Scholar] [CrossRef]
- Ng, A.; Loosemore, M. Risk allocation in the private provision of public infrastructure. Int. J. Proj. Manag. 2007, 25, 66–76. [Google Scholar] [CrossRef]
- National Treasury of South Africa (NTSA). Public–Private Partnership Manual—Module 4: PPP Feasibility Study; National Treasury of South Africa (NTSA): Pretoria, South Africa, 2004; pp. 63–66.
- Shen, L.Y.; Platten, A.; Deng, X.P. Role of public private partnerships to manage risks in public sector projects in Hong Kong. Int. J. Proj. Manag. 2006, 24, 587–594. [Google Scholar] [CrossRef]
- Victorian Department of Treasury and Finance (VDTF). Partnerships Victoria: Risk Allocation and Contractual Issues; Victorian Department of Treasury and Finance (VDTF): Victoria, Australia, 2001; pp. 178–191.
- Verhoest, K.; Petersen, O.H.; Scherrer, W.; Soecipto, M.R. How Do Governments Support the Development of Public Private Partnerships? Measuring and Comparing PPP Governmental Support in 20 European Countries. Transp. Rev. 2015, 35, 118–139. [Google Scholar] [CrossRef]
- Wang, S.Q.; Tiong, R.L.K. Case study of government initiatives for PRC’s BOT power plant projects. Int. J. Proj. Manag. 2000, 18, 69–78. [Google Scholar] [CrossRef]
- Warburton, W.; Baker, B. Integrity Systems and Local Government; National Council of the Institute of Public Administration: Canberra, Australia, 2004; pp. 63–68. [Google Scholar]
- Yang, Y.; Wang, Y.; Hou, Y. On the Development of Public–Private Partnerships in Transitional Economies: An Explanatory Framework. Public Adm. Rev. 2013, 73, 301–310. [Google Scholar] [CrossRef]
- Yun, S.; Jung, W.; Han, S.H.; Park, H. Critical organizational success factors for public private partnership projects–a comparison of solicited and unsolicited proposals. J. Civ. Eng. Manag. 2015, 21, 131–143. [Google Scholar] [CrossRef]
- Zou, X.W.; Wang, S.Q.; Fang, D.P. A life-cycle risk management framework for PPP infrastructure projects. J. Financ. Manag. Prop. Constr. 2008, 13, 123–142. [Google Scholar] [CrossRef]
- Gordon, C.; Mulley, C.; Stevens, N.; Daniels, R. Public–private contracting and incentives for public transport: Can anything be learned from the Sydney Metro experience? Transp. Pol. 2013, 27, 73–84. [Google Scholar] [CrossRef]
- Maqbool, R.; Sudong, Y.; Manzoor, N.; Rashid, Y. The impact of emotional intelligence, project managers’ competencies, and transformational leadership on project success. Proj. Manag. J. 2017, 48, 58–75. [Google Scholar] [CrossRef]
- Muller, R.; Turner, R. Leadership competency profile of successful project managers. Int. J. Proj. Manag. 2010, 28, 437–448. [Google Scholar] [CrossRef]








| (a) Frequency of the years of experience of the experts in PPPs and renewable-energy PPPs | ||||
| Years of Experience | PPPs in General | Renewable-Energy PPPs | ||
| Number | Percent | Number | Percent | |
| 0–2 | 3 | 5.00 | 20 | 33.33 |
| 2–5 | 16 | 26.67 | 19 | 31.67 |
| 5–10 | 13 | 21.67 | 12 | 20.00 |
| 10–15 | 17 | 28.33 | 5 | 8.33 |
| More than 15 | 11 | 18.33 | 4 | 6.67 |
| (b) Frequency of the number of projects the experts were involved in for PPPs and renewable-energy PPPs | ||||
| Number of Projects Involved in | PPPs in General | Renewable-Energy PPPs | ||
| Number | Percent | Number | Percent | |
| 0–2 | 24 | 40.00 | 34 | 56.67 |
| 2–5 | 18 | 30.00 | 16 | 26.67 |
| 5–10 | 14 | 23.33 | 8 | 13.33 |
| 10–20 | 1 | 1.67 | 1 | 1.67 |
| More than 20 | 3 | 5.00 | 1 | 1.67 |
| (c) Number of experts with experience in renewable-energy PPPs by continent | ||||
| Continent | Number of Experts | |||
| Africa | 30 | |||
| Asia | 28 | |||
| Europe | 15 | |||
| North America | 10 | |||
| South America | 10 | |||
| Australia | 4 | |||
| Risk Severity | ||||
|---|---|---|---|---|
| Overall Average | Public | Private | Academia | |
| Regulatory | 17.76 | 16.52 | 16.00 | 19.22 |
| Political | 15.54 | 14.19 | 14.38 | 16.64 |
| Financial | 14.05 | 13.84 | 13.44 | 14.62 |
| Revenue | 13.11 | 13.32 | 12.73 | 14.07 |
| Technical | 11.17 | 10.93 | 10.82 | 11.26 |
| Technological | 10.77 | 11.78 | 10.56 | 11.37 |
| Operational | 9.80 | 8.56 | 9.97 | 9.78 |
| Market risks | 9.78 | 9.49 | 8.86 | 9.89 |
| Construction | 9.04 | 8.30 | 8.39 | 9.20 |
| Force majeure | 8.29 | 10.25 | 8.60 | 7.63 |
| Responsible Party | Regulatory | Political | Revenue | Technical | Force Majeure | Financial | Construction | Operational | Market Risks | Technological | |
|---|---|---|---|---|---|---|---|---|---|---|---|
| Total | Public | 81.5 | 86.8 | 11.1 | 7.7 | 30.2 | 13.2 | 7.5 | 5.7 | 24.5 | 5.7 |
| Private | 1.9 | 1.9 | 29.6 | 55.8 | 5.7 | 20.8 | 52.8 | 56.6 | 17.0 | 50.9 | |
| Both | 16.7 | 11.3 | 59.3 | 36.5 | 64.2 | 66.0 | 39.6 | 37.7 | 58.5 | 43.4 | |
| Public-sector respondents | Public | 62.5 | 81.3 | 13.3 | 14.3 | 40.0 | 21.4 | 21.4 | 14.3 | 50.0 | 14.3 |
| Private | 6.3 | 6.3 | 40.0 | 50.0 | 6.7 | 21.4 | 35.7 | 50.0 | 21.4 | 42.9 | |
| Both | 31.3 | 12.5 | 46.7 | 35.7 | 53.3 | 57.1 | 42.9 | 35.7 | 28.6 | 42.9 | |
| Private-sector respondents | Public | 75.0 | 83.3 | 8.3 | 8.3 | 41.7 | 16.7 | 0.0 | 0.0 | 16.7 | 0.0 |
| Private | 8.3 | 8.3 | 33.3 | 58.3 | 16.7 | 25.0 | 58.3 | 50.0 | 16.7 | 50.0 | |
| Both | 16.7 | 8.3 | 58.3 | 33.3 | 41.7 | 58.3 | 41.7 | 50.0 | 66.7 | 50.0 | |
| Academia respondents | Public | 84.6 | 84.6 | 10.0 | 5.1 | 23.1 | 10.0 | 5.0 | 5.0 | 20.0 | 5.0 |
| Private | 0.0 | 0.0 | 25.0 | 53.8 | 2.6 | 17.5 | 57.5 | 57.5 | 17.5 | 52.5 | |
| Both | 15.4 | 15.4 | 65.0 | 41.0 | 74.4 | 72.5 | 37.5 | 37.5 | 62.5 | 42.5 | |
| Party responsible for the respondents | Total | Public | Public | Both | Private | Both | Both | Private | Private | Both | Private |
| Public | Public | Public | Both | Private | Both | Both | Both | Private | Public | Private | |
| Private | Public | Public | Both | Private | Both | Both | Private | Private | Both | Private | |
| Academia | Public | Public | Both | Private | Both | Both | Private | Private | Both | Private |
| Overall Average | Africa | Asia | Europe | North America | South America | Australia | |
|---|---|---|---|---|---|---|---|
| Construction | 9.04 | 9.59 | 9.84 | 9.24 | 9.95 | 7.84 | 12.22 |
| Financial | 14.05 | 15.49 | 13.39 | 15.69 | 12.60 | 10.20 | 21.38 |
| Force majeure | 8.29 | 9.32 | 7.97 | 8.99 | 8.00 | 7.00 | 4.67 |
| Market risks | 9.78 | 10.88 | 8.52 | 11.30 | 10.11 | 8.40 | 12.50 |
| Operational | 9.80 | 10.72 | 9.91 | 10.43 | 11.84 | 7.80 | 17.00 |
| Political | 15.54 | 15.01 | 14.90 | 18.40 | 17.36 | 20.25 | 21.78 |
| Regulatory | 17.76 | 17.64 | 16.78 | 19.14 | 18.78 | 19.00 | 20.22 |
| Revenue | 13.11 | 12.46 | 13.59 | 14.76 | 13.87 | 10.20 | 12.83 |
| Technical | 11.17 | 12.11 | 11.62 | 11.67 | 10.31 | 7.80 | 14.00 |
| Technological | 10.77 | 11.55 | 10.78 | 12.13 | 10.27 | 6.60 | 18.67 |
| Responsible party | Regulatory | Political | Revenue | Technical | Force Majeure | Financial | Construction | Operational | Market Risks | Technological | |
|---|---|---|---|---|---|---|---|---|---|---|---|
| Total | Public | 81.48 | 86.79 | 11.11 | 7.69 | 30.19 | 13.21 | 7.55 | 5.66 | 24.53 | 5.66 |
| Private | 1.85 | 1.89 | 29.63 | 55.77 | 5.66 | 20.75 | 52.83 | 56.60 | 16.98 | 50.94 | |
| Both | 16.67 | 11.32 | 59.26 | 36.54 | 64.15 | 66.04 | 39.62 | 37.74 | 58.49 | 43.40 | |
| Africa | Public | 92.00 | 96.00 | 7.69 | 4.17 | 36.00 | 12.00 | 0.00 | 0.00 | 20.00 | 0.00 |
| Private | 0.00 | 0.00 | 34.62 | 66.67 | 0.00 | 28.00 | 64.00 | 60.00 | 12.00 | 68.00 | |
| Both | 8.00 | 4.00 | 57.69 | 29.17 | 64.00 | 60.00 | 36.00 | 40.00 | 68.00 | 32.00 | |
| Asia | Public | 84.62 | 92.00 | 15.38 | 12.00 | 32.00 | 19.23 | 15.38 | 11.54 | 34.62 | 11.54 |
| Private | 0.00 | 0.00 | 30.77 | 48.00 | 4.00 | 11.54 | 46.15 | 53.85 | 15.38 | 50.00 | |
| Both | 15.38 | 8.00 | 53.85 | 40.00 | 64.00 | 69.23 | 38.46 | 34.62 | 50.00 | 38.46 | |
| Europe | Public | 50.00 | 66.67 | 0.00 | 0.00 | 8.33 | 0.00 | 0.00 | 0.00 | 15.38 | 0.00 |
| Private | 8.33 | 8.33 | 30.77 | 33.33 | 16.67 | 23.08 | 30.77 | 46.15 | 38.46 | 38.46 | |
| Both | 41.67 | 25.00 | 69.23 | 66.67 | 75.00 | 76.92 | 69.23 | 53.85 | 46.15 | 61.54 | |
| North America | Public | 77.78 | 88.89 | 0.00 | 0.00 | 33.33 | 10.00 | 0.00 | 0.00 | 20.00 | 0.00 |
| Private | 0.00 | 0.00 | 40.00 | 55.56 | 11.11 | 30.00 | 50.00 | 60.00 | 30.00 | 50.00 | |
| Both | 22.22 | 11.11 | 60.00 | 44.44 | 55.56 | 60.00 | 50.00 | 40.00 | 50.00 | 50.00 | |
| South America | Public | 75.00 | 75.00 | 0.00 | 0.00 | 25.00 | 0.00 | 0.00 | 0.00 | 0.00 | 0.00 |
| Private | 0.00 | 0.00 | 60.00 | 50.00 | 50.00 | 40.00 | 20.00 | 20.00 | 20.00 | 40.00 | |
| Both | 25.00 | 25.00 | 40.00 | 50.00 | 25.00 | 60.00 | 80.00 | 80.00 | 80.00 | 60.00 | |
| Australia | Public | 66.67 | 66.67 | 0.00 | 0.00 | 66.67 | 0.00 | 0.00 | 0.00 | 25.00 | 0.00 |
| Private | 0.00 | 0.00 | 50.00 | 33.33 | 0.00 | 50.00 | 50.00 | 75.00 | 25.00 | 50.00 | |
| Both | 33.33 | 33.33 | 50.00 | 66.67 | 33.33 | 50.00 | 50.00 | 25.00 | 50.00 | 50.00 | |
| Responsible party | Overall Average | Public | Public | Both | Private | Both | Both | Private | Private | Both | Private |
| Africa | Public | Public | Both | Private | Both | Both | Private | Private | Both | Private | |
| Asia | Public | Public | Both | Private | Both | Both | Private | Private | Both | Private | |
| Europe | Public | Public | Both | Both | Both | Both | Both | Both | Both | Both | |
| North America | Public | Public | Both | Private | Both | Both | Private | Private | Both | Private | |
| South America | Public | Public | Private | Private | Private | Both | Both | Both | Both | Both | |
| Australia | Public | Public | Both | Both | Public | Both | Private | Private | Both | Private |
Publisher’s Note: MDPI stays neutral with regard to jurisdictional claims in published maps and institutional affiliations. |
© 2022 by the authors. Licensee MDPI, Basel, Switzerland. This article is an open access article distributed under the terms and conditions of the Creative Commons Attribution (CC BY) license (https://creativecommons.org/licenses/by/4.0/).
Share and Cite
Othman, K.; Khallaf, R. Identification of the Barriers and Key Success Factors for Renewable Energy Public-Private Partnership Projects: A Continental Analysis. Buildings 2022, 12, 1511. https://doi.org/10.3390/buildings12101511
Othman K, Khallaf R. Identification of the Barriers and Key Success Factors for Renewable Energy Public-Private Partnership Projects: A Continental Analysis. Buildings. 2022; 12(10):1511. https://doi.org/10.3390/buildings12101511
Chicago/Turabian StyleOthman, Kareem, and Rana Khallaf. 2022. "Identification of the Barriers and Key Success Factors for Renewable Energy Public-Private Partnership Projects: A Continental Analysis" Buildings 12, no. 10: 1511. https://doi.org/10.3390/buildings12101511
APA StyleOthman, K., & Khallaf, R. (2022). Identification of the Barriers and Key Success Factors for Renewable Energy Public-Private Partnership Projects: A Continental Analysis. Buildings, 12(10), 1511. https://doi.org/10.3390/buildings12101511

