Displacement Demand for Nonlinear Static Analyses of Masonry Structures: Critical Review and Improved Formulations
Abstract
1. Introduction
2. Evaluation and Calibration with Nonlinear Time-History Analyses
2.1. Nonlinear SDOF Oscillators
2.2. Ground Motion Records and Response Spectra
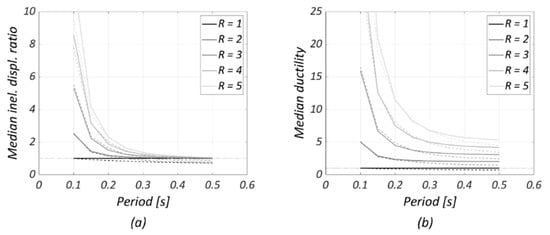
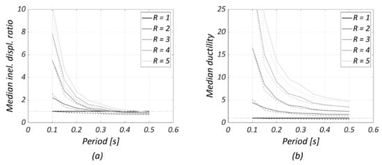
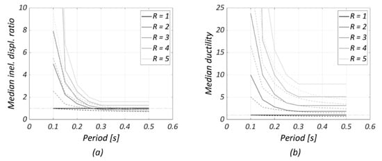
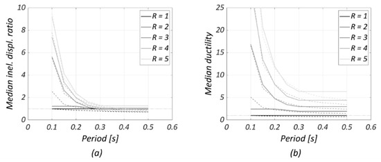
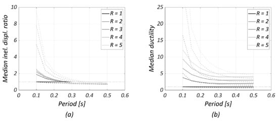
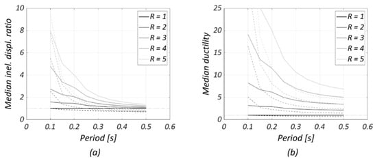
2.3. Evaluation and Calibration Procedures
3. Established Formulations Based on Equivalent Linearization
3.1. Capacity Spectrum Method (NPR 9998-18)
3.2. Modified Capacity Spectrum Method (FEMA-440)
3.3. Issues with Methods Based on Equivalent Linearization
4. Established Formulations Based on Inelastic Response Spectra
4.1. N2 Method (Eurocode 8 and NTC-18)
4.2. Displacement Coefficient Method (ASCE 41-17)
4.3. Issues with Methods Based on Inelastic Response Spectra
5. Proposed Formulations
5.1. Optimal Stiffness Method
5.2. Modified-N2 Method
5.3. Accuracy and Scatter of OSM and MN2 Methods
6. Discussion and Conclusions
Author Contributions
Funding
Data Availability Statement
Acknowledgments
Conflicts of Interest
References
- Ruiz-García, J.; Miranda, E. Inelastic displacement ratios for evaluation of existing structures. Earthq. Eng. Struct. Dyn. 2003, 32, 1237–1258. [Google Scholar] [CrossRef]
- Saiidi, M.; Sozen, M.A. Simple Nonlinear Seismic Analysis of R/C Structures. J. Struct. Div. 1981, 107, 937–953. [Google Scholar] [CrossRef]
- Miranda, E. Approximate Seismic Lateral Deformation Demands in Multistory Buildings. J. Struct. Eng. 1999, 125, 417–425. [Google Scholar] [CrossRef]
- Chopra, A.K.; Goel, R.K. Evaluation of NSP to Estimate Seismic Deformation: SDF Systems. J. Struct. Eng. 2000, 126, 482–490. [Google Scholar] [CrossRef]
- Chopra, A.K.; Goel, R.K. A modal pushover analysis procedure for estimating seismic demands for buildings. Earthq. Eng. Struct. Dyn. 2002, 31, 561–582. [Google Scholar] [CrossRef]
- Antoniou, S.; Pinho, R. Advantages and limitations of adaptive and non-adaptive force-based pushover procedures. J. Earthq. Eng. 2004, 8, 497–522. [Google Scholar] [CrossRef]
- Antoniou, S.; Pinho, R. Development and verification of a displacement-based adaptive pushover procedure. J. Earthq. Eng. 2004, 8, 643–661. [Google Scholar] [CrossRef]
- Brozovič, M.; Dolšek, M. Envelope-based pushover analysis procedure for the approximate seismic response analysis of buildings. Earthq. Eng. Struct. Dyn. 2013, 43, 77–96. [Google Scholar] [CrossRef]
- Jacobsen, L.S. Steady Forced Vibrations as Influenced by Damping. Trans. ASME-APM 1930, 52, 169–181. [Google Scholar]
- Hudson, D.E. Equivalent Viscous Friction for Hysteretic Systems with Earthquake-Like Excitations. In Proceedings of the 3rd World Conference on Earthquake Engineering, New Zealand National Committee on Earthquake Engineering, Wellington, New Zealand, 22 January–1 February 1965; Volume 2, pp. 185–202. [Google Scholar]
- Jennings, P.C. Equivalent Viscous Damping for Yielding Structures. J. Eng. Mech. Div. 1968, 94, 103–116. [Google Scholar] [CrossRef]
- Shibata, A.; Sözen, M.A. Substitute-Structure Method for Seismic Design in R/C. J. Struct. Div. ASCE 1976, 102, 1–18. [Google Scholar] [CrossRef]
- Freeman, S.A.; Nicoletti, J.P.; Tyrrell, J.V. Evaluation of Existing Buildings for Seismic Risk—A Case Study of Puget Sound Naval Shipyard, Bremerton, Washington. In Proceedings of the 1st US National Conference on Earthquake Engineering, Oakridge, CA, USA, 18–20 June 1975; pp. 113–122. [Google Scholar]
- Applied Technology Council (ATC). Seismic Evaluation and Retrofit of Concrete Buildings, ATC–40; Applied Technology Council: Redwood City, CA, USA, 1996. [Google Scholar]
- Federal Emergency Management Agency (FEMA). NEHRP Commentary on the Guidelines for the Seismic Rehabilitation of Buildings, FEMA Publication 274; Federal Emergency Management Agency: Washington, DC, USA, 1997.
- Ministry of Infrastructures and Transport (MIT). Norme Tecniche per le Costruzioni (NTC-18), DM 17/01/2018; Ministry of Infrastructures and Transport: Rome, Italy, 2018. (In Italian)
- Ministry of Infrastructures and Transport (MIT). Istruzioni per l’Applicazione dell’Aggiornamento delle “Norme Tecniche per le Costruzioni (NTC-18)”, Circ. 7 of 21/01/2019; Ministry of Infrastructures and Transport: Rome, Italy, 2019. (In Italian)
- Netherlands Standardization Institute (NEN). Assessment of Structural Safety of Buildings in Case of Erection, Reconstruction, and Disapproval—Induced Earthquakes—Basis of Design, Actions and Resistances, NPR 9998; Netherlands Standardization Institute: Delft, The Netherlands, 2018. (In Dutch) [Google Scholar]
- New Zealand Society for Earthquake Engineering (NZSEE). The Seismic Assessment of Existing Buildings, Part C: Detailed Seismic Assessment; MBIE, EQC, SESOC, NZSEE, NZGS: Wellington, New Zealand, 2016.
- Dwairi, H.M.; Kowalsky, M.J.; Nau, J.M. Equivalent Damping in Support of Direct Displacement-Based Design. J. Earthq. Eng. 2007, 11, 512–530. [Google Scholar] [CrossRef]
- Priestley, M.J.N.; Calvi, G.M.; Kowalsky, M.J. Displacement-Based Seismic Design of Structures; IUSS Press: Pavia, Italy, 2007. [Google Scholar]
- Federal Emergency Management Agency (FEMA). Improvement of Nonlinear Static Seismic Analysis Procedures, FEMA Publication 440; Federal Emergency Management Agency: Washington, DC, USA, 2005.
- Veletsos, A.S.; Newmark, N.M. Effect of Inelastic Behavior on the Response of Simple Systems to Earthquake Motions. In Proceedings of the 2nd World Conference on Earthquake Engineering, Tokyo, Japan, 11–18 July 1960; Science Council of Japan: Tokyo, Japan, 1960; Volume 2, pp. 895–912. [Google Scholar]
- Veletsos, A.S.; Newmark, N.M.; Chelapati, C.V. Deformation Spectra for Elastic and Elastoplastic Systems Subjected to Ground Shock and Earthquake Motions. In Proceedings of the 3rd World Conference on Earthquake Engineering, Wellington, New Zealand, 22 January–1 February 1965; Volume 2, pp. 663–682. [Google Scholar]
- Newmark, N.M.; Hall, W.J. Earthquake Spectra and Design; Earthquake Engineering Research Institute: Berkeley, CA, USA, 1982. [Google Scholar]
- Riddell, R.; Hidalgo, P.; Cruz, E. Response Modification Factors for Earthquake Resistant Design of Short Period Buildings. Earthq. Spectra 1989, 5, 571–590. [Google Scholar] [CrossRef]
- Rahnama, M.; Krawinkler, H. Effects of Soft Soil and Hysteresis Model on Seismic Demands; Report No., 108; The John A. Blume Earthquake Engineering Center, Stanford University: Stanford, CA, USA, 1993. [Google Scholar]
- Miranda, E. Evaluation of Site-Dependent Inelastic Seismic Design Spectra. J. Struct. Eng. 1993, 119, 1319–1338. [Google Scholar] [CrossRef]
- Miranda, E. Inelastic Displacement Ratios for Structures on Firm Sites. J. Struct. Eng. 2000, 126, 1150–1159. [Google Scholar] [CrossRef]
- Ramirez, O.M.; Constantinou, M.C.; Whittaker, A.S.; Kircher, C.A.; Chrysostomou, C.Z. Elastic and Inelastic Seismic Response of Buildings with Damping Systems. Earthq. Spectra 2002, 18, 531–547. [Google Scholar] [CrossRef]
- Fajfar, P.; Fischinger, M. N2–A Method for Nonlinear Seismic Analysis of Regular Buildings. In Proceedings of the 9th World Conference on Earthquake Engineering, Tokyo, Japan, 2–6 August 1988; Science Council of Japan: Tokyo, Japan, 1988; Volume 5, pp. 111–116. [Google Scholar]
- Vidic, T.; Fajfar, P.; Fischinger, M. Consistent inelastic design spectra: Strength and displacement. Earthq. Eng. Struct. Dyn. 1994, 23, 507–521. [Google Scholar] [CrossRef]
- Fajfar, P. Capacity Spectrum Method Based on Inelastic Demand Spectra. Earthq. Eng. Struct. Dyn. 1999, 28, 979–993. [Google Scholar] [CrossRef]
- Fajfar, P. A Nonlinear Analysis Method for Performance-Based Seismic Design. Earthq. Spectra 2000, 16, 573–592. [Google Scholar] [CrossRef]
- European Committee for Standardization (CEN). Eurocode 8: Design of Structures for Earthquake Resistance—Part 1: General Rules, Seismic Actions, and Rules for Buildings, EN 1998-1; European Committee for Standardization: Brussels, Belgium, 2004. [Google Scholar]
- Federal Emergency Management Agency (FEMA). NEHRP Guidelines for the Seismic Rehabilitation of Buildings, FEMA Publication 273; Federal Emergency Management Agency: Washington, DC, USA, 1997.
- American Society of Civil Engineers (ASCE). Seismic Evaluation and Retrofit of Existing Buildings; ASCE/SEI American Society of Civil Engineers: Reston, VG, USA, 2017.
- Bertero, V.V.; Anderson, J.C.; Krawinkler, H.; Miranda, E. Design Guidelines for Ductility and Drift Limits; Report No. UCB/EERC-91/15; Earthquake Engineering Research Center, University of California at Berkeley: Berkeley, CA, USA, 1991. [Google Scholar]
- Krawinkler, H. New Trends in Seismic Design Methodology. In Proceedings of the 10th European Conference on Earthquake Engineering, Vienna, Austria, 28 August–2 September 1994; Balkema: Rotterdam, The Netherlands, 1995; Volume 2, pp. 821–830. [Google Scholar]
- Chopra, A.K.; Goel, R.K. Direct Displacement-Based Design: Use of Inelastic vs. Elastic Design Spectra. Earthq. Spectra 2001, 17, 47–64. [Google Scholar] [CrossRef]
- Martinelli, E.; Faella, C. Nonlinear static analyses based on either inelastic or elastic spectra with equivalent viscous damping: A parametric comparison. Eng. Struct. 2015, 88, 241–250. [Google Scholar] [CrossRef]
- Amadio, C.; Rinaldin, G.; Fragiacomo, M. Investigation on the accuracy of the N2 method and the equivalent linearization procedure for different hysteretic models. Soil Dyn. Earthq. Eng. 2016, 83, 69–80. [Google Scholar] [CrossRef]
- Michel, C.; Lestuzzi, P.; Lacave, C. Simplified non-linear seismic displacement demand prediction for low period structures. Bull. Earthq. Eng. 2014, 12, 1563–1581. [Google Scholar] [CrossRef]
- Guerrini, G.; Graziotti, F.; Penna, A.; Magenes, G. Improved evaluation of inelastic displacement demands for short-period masonry structures. Earthq. Eng. Struct. Dyn. 2017, 46, 1411–1430. [Google Scholar] [CrossRef]
- Diana, L.; Manno, A.; Lestuzzi, P. Seismic displacement demand prediction in non-linear domain: Optimization of the N2 method. Earthq. Eng. Eng. Vib. 2019, 18, 141–158. [Google Scholar] [CrossRef]
- Lestuzzi, P.; Diana, L. Accuracy Assessment of Nonlinear Seismic Displacement Demand Predicted by Simplified Methods for the Plateau Range of Design Response Spectra. Adv. Civ. Eng. 2019, 2019, 1–16. [Google Scholar] [CrossRef]
- Dolšek, M.; Fajfar, P. Simplified probabilistic seismic performance assessment of plan-asymmetric buildings. Earthq. Eng. Struct. Dyn. 2007, 36, 2021–2041. [Google Scholar] [CrossRef]
- Diana, L.; Lestuzzi, P.; Podestà, S.; Luchini, C. Improved Urban Seismic Vulnerability Assessment Using Typological Curves and Accurate Displacement Demand Prediction. J. Earthq. Eng. 2019, 1–23. [Google Scholar] [CrossRef]
- Snoj, J.; Dolšek, M. Pushover-based seismic risk assessment and loss estimation of masonry buildings. Earthq. Eng. Struct. Dyn. 2020, 49, 567–588. [Google Scholar] [CrossRef]
- Shishegaran, A.; Khalili, M.R.; Karami, B.; Rabczuk, T.; Shishegaran, A. Computational predictions for estimating the maximum deflection of reinforced concrete panels subjected to the blast load. Int. J. Impact Eng. 2020, 139, 103527. [Google Scholar] [CrossRef]
- Lagomarsino, S.; Penna, A.; Galasco, A.; Cattari, S. TREMURI program: An equivalent frame model for the nonlinear seismic analysis of masonry buildings. Eng. Struct. 2013, 56, 1787–1799. [Google Scholar] [CrossRef]
- Penna, A.; Lagomarsino, S.; Galasco, A. A nonlinear macroelement model for the seismic analysis of masonry buildings. Earthq. Eng. Struct. Dyn. 2014, 43, 159–179. [Google Scholar] [CrossRef]
- Graziotti, F.; Penna, A.; Bossi, E.; Magenes, G. Evaluation of Displacement Demand for Unreinforced Masonry Buildings by Equivalent SDOF Systems. In Proceedings of the 9th International Conference on Structural Dynamics, Porto, Portugal, 30 June–2 July 2014; pp. 365–372. [Google Scholar]
- Graziotti, F.; Penna, A.; Magenes, G. A nonlinear SDOF model for the simplified evaluation of the displacement demand of low-rise URM buildings. Bull. Earthq. Eng. 2016, 14, 1589–1612. [Google Scholar] [CrossRef]
- Smerzini, C.; Galasso, C.; Iervolino, I.; Paolucci, R. Ground Motion Record Selection Based on Broadband Spectral Compatibility. Earthq. Spectra 2014, 30, 1427–1448. [Google Scholar] [CrossRef]
- Crowley, H.; Pinho, R. Report on the v5 Fragility and Consequence Models for the Groningen Field. In Report on Groningen Field Seismic Hazard and Risk Assessment Project; Van Elk, J., Doornhof, D., Eds.; Nederlandse Aardolie Maatschappij (NAM): Assen, The Netherlands, 2017; Available online: www.nam.nl/feiten-en-cijfers (accessed on 13 March 2021).
- Chiou, B.S.J.; Darragh, R.; Gregor, N.; Silva, W.J. NGA Project Strong-Motion Database. Earthq. Spectra 2008, 24, 23–44. [Google Scholar] [CrossRef]
- Akkar, S.; Sandikkaya, M.A.; Şenyurt, M.; Sisi, A.A.; Ay, B.O.; Traversa, P.; Douglas, J.H.; Cotton, F.; Luzi, L.; Hernandez, B.M.; et al. Reference database for seismic ground-motion in Europe (RESORCE). Bull. Earthq. Eng. 2014, 12, 311–339. [Google Scholar] [CrossRef]
- Bommer, J.J.; Dost, B.; Edwards, B.; Stafford, P.J.; Van Elk, J.; Doornhof, D.; Ntinalexis, M. Developing an Application-Specific Ground-Motion Model for Induced Seismicity. Bull. Seism. Soc. Am. 2015, 106, 158–173. [Google Scholar] [CrossRef]
- Graziotti, F. Contributions towards a Displacement-Based Seismic Assessment of Masonry Structures. Ph.D. Thesis, University School for Advanced Studies IUSS, Pavia, Italy, 2013. [Google Scholar]
- Pennucci, D.; Sullivan, T.J.; Calvi, G.M. Displacement Reduction Factors for the Design of Medium and Long Period Structures. J. Earthq. Eng. 2011, 15, 1–29. [Google Scholar] [CrossRef]
- American Society of Civil Engineers (ASCE). Minimum Design Loads and Associated Criteria for Buildings and Other Structures, ASCE/SEI 7-16; American Society of Civil Engineers: Reston, VG, USA, 2016; pp. 17–41.
- Miranda, E. Estimation of Inelastic Deformation Demands of SDOF Systems. J. Struct. Eng. 2001, 127, 1005–1012. [Google Scholar] [CrossRef]
- Lin, Y.-Y.; Miranda, E. Noniterative Equivalent Linear Method for Evaluation of Existing Structures. J. Struct. Eng. 2008, 134, 1685–1695. [Google Scholar] [CrossRef]















| Hysteresis Case | mhyst (s) | nhyst (-) |
|---|---|---|
| 0.067 | 0.040 | |
| 0.065 | 0.059 | |
| 0.061 | 0.077 |
| Hysteresis Case | ahyst (-) | Thyst (s) |
|---|---|---|
| 0.7 | 0.055 | |
| 0.2 | 0.030 | |
| 0.0 | 0.022 |
| Percentile | Idealized Elastic Period (s) | Overall | ||||
|---|---|---|---|---|---|---|
| 0.1 | 0.2 | 0.3 | 0.4 | 0.5 | ||
| 50th | 1.1 | 1.0 | 1.0 | 1.0 | 1.1 | 1.0 |
| 70th | 1.5 | 1.2 | 1.2 | 1.2 | 1.4 | 1.2 |
| 84th | 2.3 | 1.5 | 1.4 | 1.5 | 1.7 | 1.5 |
| 95th | 6.4 | 2.1 | 1.7 | 1.9 | 2.4 | 2.3 |
| Percentile | Idealized Elastic Period (s) | Overall | ||||
|---|---|---|---|---|---|---|
| 0.1 | 0.2 | 0.3 | 0.4 | 0.5 | ||
| 50th | 0.9 | 1.1 | 1.0 | 0.9 | 0.8 | 1.0 |
| 70th | 1.2 | 1.3 | 1.2 | 1.1 | 1.0 | 1.2 |
| 84th | 1.4 | 1.5 | 1.4 | 1.2 | 1.1 | 1.4 |
| 95th | 1.8 | 1.9 | 1.7 | 1.5 | 1.4 | 1.7 |
Publisher’s Note: MDPI stays neutral with regard to jurisdictional claims in published maps and institutional affiliations. |
© 2021 by the authors. Licensee MDPI, Basel, Switzerland. This article is an open access article distributed under the terms and conditions of the Creative Commons Attribution (CC BY) license (http://creativecommons.org/licenses/by/4.0/).
Share and Cite
Guerrini, G.; Kallioras, S.; Bracchi, S.; Graziotti, F.; Penna, A. Displacement Demand for Nonlinear Static Analyses of Masonry Structures: Critical Review and Improved Formulations. Buildings 2021, 11, 118. https://doi.org/10.3390/buildings11030118
Guerrini G, Kallioras S, Bracchi S, Graziotti F, Penna A. Displacement Demand for Nonlinear Static Analyses of Masonry Structures: Critical Review and Improved Formulations. Buildings. 2021; 11(3):118. https://doi.org/10.3390/buildings11030118
Chicago/Turabian StyleGuerrini, Gabriele, Stylianos Kallioras, Stefano Bracchi, Francesco Graziotti, and Andrea Penna. 2021. "Displacement Demand for Nonlinear Static Analyses of Masonry Structures: Critical Review and Improved Formulations" Buildings 11, no. 3: 118. https://doi.org/10.3390/buildings11030118
APA StyleGuerrini, G., Kallioras, S., Bracchi, S., Graziotti, F., & Penna, A. (2021). Displacement Demand for Nonlinear Static Analyses of Masonry Structures: Critical Review and Improved Formulations. Buildings, 11(3), 118. https://doi.org/10.3390/buildings11030118

