Vibrations Induced by Mechanical Rock Excavation on R.C. Buildings in an Urban Area
Abstract
1. Introduction
2. Description of the Case Study
2.1. Geological and Geotechnical Model
2.2. Analysis of the Building Typology
3. Numerical Simulation of the Rock Excavation Process
3.1. Description of the FE Model
- Scenario 1—“Traditional excavation technique”: a dynamic load simulating the impulsive force of a hydraulic hammer was applied as a periodic time history, with amplitude and frequency defined as a function of the hammer characteristics and rock mass strength.
- Scenario 2—“Excavation with vertical cut”: a 3 cm thick vertical cut, obtained in the real construction works through a chain saw machine, was modeled by removing the rock elements close to the retaining structure up to the design depth. This was followed by the application of the dynamic load which simulates the hydraulic hammer action, as in Scenario 1. The vertical cut allows to create a material discontinuity in the construction area, thus reducing the intensity of the vibrations propagating in the medium.
- Scenario 3—“Excavation with crushing treatment”: in addition to the vertical cut, a crushing treatment with a carbon dioxide cracker was simulated by modifying the dynamic properties of the rock mass to be excavated. This was taken into account by reducing its shear wave velocity to 40% of the intact rock value and increasing its damping ratio (see the properties of the Weakened GL4 layer in Table 2). The rock weakening treatment was followed by the application of a smaller hydraulic hammer action, as explained in the next section.
3.2. Evaluation of the Impulsive Force
3.3. Numerical Results
4. Modelling and Structural Analysis
4.1. Structural Model and FE Analyses
- Two FE simulations performed applying the two horizontal component of the acceleration time history (along the directions x and y) and the vertical component of the acceleration time history in the vertical direction (i.e., z). For each analysis, the velocity time history in the center of the mass of the upper slab coincident with node 45 was monitored (Figure 9). The output correspondent to Scenarios 2 and 3 was considered. The pcpv0 of the control point was compared with the threshold (pcpvlim) fixed by the technical standard to 0.05 m/s [22], verifying that
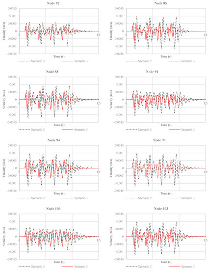
- Two FE analyses conducted using as input motion at the base of the building the vertical time histories recorded at a distance of 10 m for the Scenarios 2 and 3. The control points were assumed in the center of the mass of each floor (i.e., nodes 70, 73, 76, 76, 82, 85 for the first storey and nodes 86, 91, 94, 98, 100, 103 for the second storey), as shown in Figure 9. The monitored output was the vertical displacement time history of the control points. The maximum displacement of each node δ0 was compared with the threshold, δlim, equal to 30 mm [21], verifying that
4.2. Results and Assessment
5. Conclusions
Author Contributions
Funding
Data Availability Statement
Conflicts of Interest
References
- Ainalis, D.; Kaufmann, O.; Tshibangu, J.P.; Verlinden, O.; Kouroussis, G. Modelling the Source of Blasting for the Numerical Simulation of Blast-Induced Ground Vibrations: A Review. Rock Mech. Rock Eng. 2017, 50, 171–193. [Google Scholar] [CrossRef]
- New, B.M. Ground vibration caused by construction works. Tunn. Undergr. Sp. Technol. Inc. Trenchless 1990, 5, 179–190. [Google Scholar] [CrossRef]
- Hashad, A. Using dynamic analysis of site vibration to select the suitable vibration limit. HBRC J. 2018, 14, 180–188. [Google Scholar] [CrossRef][Green Version]
- Rodríguez, R.; Bascompta, M. Vibration analysis and empirical law definition for different equipment in a civil construction. Appl. Sci. 2020, 10, 4689. [Google Scholar] [CrossRef]
- Svinkin, M.R. Minimizing construction vibration effects. Pract. Period Struct. Des. Constr. 2004, 9, 108–115. [Google Scholar] [CrossRef]
- El Kacimi, A.; Woodward, P.K.; Laghrouche, O.; Medero, G. Time domain 3D finite element modelling of train-induced vibration at high speed. Comput. Geotech. 2013, 118, 66–73. [Google Scholar] [CrossRef]
- Connolly, D.P.; Kouroussis, G.; Woodward, P.K.; Alves Costa, P.; Verlinden, O.; Forde, M.C. Field testing and analysis of high speed rail vibrations. Soil. Dyn. Earthq. Eng. 2014, 67, 102–118. [Google Scholar] [CrossRef]
- Wang, P.; Yi, Q.; Zhao, C.; Xing, M. Elastic wave propagation characteristics of periodic track structure in high-speed railway. J. Vib. Control 2019, 25, 517–528. [Google Scholar] [CrossRef]
- Breccolotti, M.; Materazzi, A.L.; Salciarini, D.; Tamagnini, C.; Ubertini, F. Vibrations induced by the new underground railway line in Palermo, Italy Experimental measurements and FE modeling. In Proceedings of the Eurodyn 2011–8th International Conference on Structural Dynamics, Leuven, Belguim, 4–6 July 2011; pp. 719–726. [Google Scholar]
- Crabb, G.I.; Hiller, D.M. Prediction of groundborne vibration from vibrating rollers. Proc. Inst. Civ. Eng. Transp. 2002, 153, 131–140. [Google Scholar] [CrossRef]
- Jackson, N.M.; Hammons, M.I.; Walker, R.; Von Quintus, H. Use of Nondestructive Techniques to Estimate the Allowable Vibratory Compaction Level during Construction; State of Florida Department of Transportation: Tallahassee, FL, USA, 2007.
- Hanson, C.E.; Towers, D.A.; Meister, L. Transit Noise and Vibration Impact Assessment; Department of Transportation: Tallahassee, FL, USA, 2006.
- Hiller, D.M.; Crabb, G.I. Groundborne Vibrations Caused by Mechanised Construction Works; Transport Research Laboratory: Crowthorne, Berkshire, UK, 2000. [Google Scholar]
- Jackson, N.M.; Choubane, D.; Lee, H.; Holzschuher, C.; Hammons, M.I.; Walker, R. Recommended practice for identifying vibration-sensitive work zones based on falling weight deflectometer data. J. Transp. Res. Board 2008, 2081, 139–149. [Google Scholar] [CrossRef]
- Cenek, P.D.; Sutherland, A.J.; McIver, I.R. Ground Vibration from Road Construction; New Zeland Transport Agency: Queenstown, New Zealand, 2012.
- Hendriks, R. Transportation Related Earthborne Vibrations; California Department of Transportation: Sacramento, CA, USA, 2002.
- Deutsches Institut für Normung. DIN 4150-3: Structural Vibrations—Part 3: Effects of Vibration on Structures. 1999. Available online: https://www.geothermie.de/bibliothek/lexikon-der-geothermie/d/din-4150.html (accessed on 30 December 2020).
- British Standard 7385-2. Evaluation and Measurement for Vibration in Buildings. Part 2: Guide to Damage Levels from Groundborne Vibration; British Standards Institution: London, UK, 1993. [Google Scholar]
- British Standard 5228-4. Noise Control on Construction and Open Sites-Code of Practice for Noise and Vibration Control Applicable to Piling Operations; British Standards Institution: London, UK, 1992. [Google Scholar]
- Swiss Standard VSS-SN640-312a Effet des Ébranlements sur les Constructions; Schweizerische Normen-Vereinigung: Zurich, Switzerland, 1992.
- UNI 9916:2004. Criteria for the Measurement of Vibrations and the Assessment of their Effects on Buildings; Ente Nazionale Italiano di Unificazione (UNI): Milano, Italy, 2004. [Google Scholar]
- NTC 2018. Aggiornamento Delle Norme Tecniche per le Costruzioni. 2018. Available online: https://www.gazzettaufficiale.it/eli/gu/2018/02/20/42/so/8/sg/pdf (accessed on 30 December 2020).
- Singh, S.P. Non-Explosive Applications of the PCF Concept for Underground Excavation. Tunn. Undergr. Sp. Technol. 1998, 13, 305–311. [Google Scholar] [CrossRef]
- Caldwell, T. A Comparison of Non-Explosive Rock Breaking Techniques. Bachelor’s Sci. Thesis, The University of Queensland, Brisbane, Australia, 2004. [Google Scholar]
- Zhou, H.; Xie, X.; Feng, Y. Rock breaking methods to replace blasting. IOP Conf. Ser. Mater. Sci. Eng. 2018, 322. [Google Scholar] [CrossRef]
- Bieniawsky, Z.T. The geomechanics classification in rock engineering applications. In Proceedings of the 4th ISRM Congress, Montreux, Switzerland, 2–8 September 1979. [Google Scholar]
- Uva, G.; Ciampoli, P.L.; Leggieri, V.; Nettis, A.; Ruggieri, S. A mechanical approach for estimating regional fragility curves of existing RC buildings stock in Puglia. In Proceedings of the COMPDYN 2019 7th ECCOMAS Thematic Conference on Computational Methods in Structural Dynamics and Earthquake Engineering, Crete, Greece, 24–26 June 2019. [Google Scholar]
- Uva, G.; Sangiorgio, V.; Ciampoli, P.L.; Leggieri, V.; Ruggieri, S. A nuvel rapid survey form for the vulnerability assessment of the existing building stock based on the “Index Building” approach. In Proceedings of the 2019 IEEE International Conference on Systems, Man and Cybernetics (SMC), Bari, Italy, 6–9 October 2019; pp. 976–981. [Google Scholar]
- Uva, G.; Leggieri, V.; Morrone, M. Use of data derived by different sources for the seismic vulnerability assessment of current building stock in GIS environment: An application to the municipality of Bisceglie, Italy. In Proceedings of the 3rd International Conference on International Conference on Recent Advances in Nonlinear Design, Resilience and Rehabilitation of Structures, CoRASS 2019, Coimbra, Portugal, 16–18 October 2019. [Google Scholar]
- ISTAT. 15° Censimento Generale Della Popolazione e Delle Abitazioni-9 Ottobre 2011. 2011. Available online: https://www.istat.it/it/files/2012/12/volume_popolazione-legale_XV_censimento_popolazione.pdf (accessed on 30 December 2020).
- Zuccaro, G.; Dolce, M.; De Gregorio, D.; Speranza, E.; Moroni, C. La Scheda Cartis Per La Caratterizzazione Tipologico- Strutturale Dei Comparti Urbani Costituiti Da Edifici Ordinari. Valutazione dell’esposizione in analisi di rischio sismico. In Proceedings of the 34 Convegno Nazionale GNGTS, Trieste, Italy, 17–19 November 2015; pp. 281–287. [Google Scholar]
- Brinkgreve, R.B.J.; Kumarswamy, S.; Swolfs, W.M. PLAXIS 2D 2016; Plaxis bv: Delft, The Netherlands, 2018. [Google Scholar]
- Jâky, J. The coefficient of earth pressure at rest. J. Soc. Hung. Archit. Eng. 1944, 30, 355–358. [Google Scholar]
- Rayleigh, J. The Theory of Sound; Dover: New York, NY, USA, 1945. [Google Scholar]
- Clough, R.W.; Penzien, J. Dynamics of Structures; McGraw-Hill: New York, NY, USA, 1975. [Google Scholar]
- Amorosi, A.; Boldini, D.; Elia, G. Parametric study on seismic ground response by finite element modelling. Comput. Geotech. 2010, 37, 515–528. [Google Scholar] [CrossRef]
- Lysmer, J.; Kuhlemeyer, R.L. Finite dynamic model for infinite media. J. Eng. Mech. Div. 1969, 90, 859–877. [Google Scholar]
- Wiss, J.F. Construction Vibrations: State-of-the-Art. J. Geotech. Div. 1981, 107, 167–181. [Google Scholar]
- Torano, J.; Rodriguez, R. Simulation of the Vibrations Produced during the Rock Excavation by Different Methods; WIT Press: Southampton, UK, 2003. [Google Scholar]
- Masoumi, H.R.; Degrande, G. Numerical modelling of free field vibrations due to pile driving using a dynamic soil-structure interaction formulation. J. Comput. Appl. Math. 2008, 215, 503–511. [Google Scholar] [CrossRef]
- Massarsch, K.R.; Fellenius, B.H. Engineering Assessment of Ground Vibrations Caused by Impact Pile Driving. Geotech. Eng. J. SEAGS AGSSEA 2015, 46, 54–63. [Google Scholar]
- Computers and Structures. SAP 2000 Linear and Nonlinear Static and Dynamic Analysis of Three Dimensional Structures; Computers and Structures, Inc.: Berkeley, CA, USA, 2018. [Google Scholar]
- Ruggieri, S.; Porco, F.; Uva, G. A Practical Approach for Estimating the Floor Deformability in Existing RC Buildings: Evaluation of the Effects in the Structural Response and Seismic Fragility; Springer: Dordrecht, The Netherlands, 2020; Volume 18. [Google Scholar]












| Description | γ | c′ | φ′ | Vs | |
|---|---|---|---|---|---|
| kN/m3 | kPa | ° | m/s | ||
| GL1 | Vegetable topsoils and backfills | 18 | 0 | 28 | 437 |
| GL2 | Fine-grained sands interlayered by coarse-grained calcarenites | 18 | 0 | 32 | 436 |
| GL3 | Highly fractured calcareous rocks | 24 | 100 | 25 | 775 |
| GL4 | Medium fractured limestones and dolomitic limestones | 24 | 200 | 35 | 1120 |
| γ | C′ | Φ′ | K0 | ν | Vs | G | E′ | D* | αR | βR | |
|---|---|---|---|---|---|---|---|---|---|---|---|
| kN/m3 | kPa | ° | - | - | m/s | MPa | MPa | % | - | - | |
| GL1 | 18 | 0 | 24 | 0.53 | 0.35 | 437 | 3.5 × 102 | 9.46 × 102 | 2 | 2.39 × 10−2 | 3.03 × 10−3 |
| GL4 | 24 | 200 | 35 | 0.43 | 0.3 | 1120 | 3.07 × 103 | 7.98 × 103 | 5 | 5.984 × 10−2 | 7.579 × 10−3 |
| Weakened GL4 | 24 | 200 | 35 | 0.43 | 0.3 | 448 | 4.9 × 10−1 | 1.28 × 103 | 8 | 5.018 × 10−3 | 8.474 × 10−3 |
| E | κ | η | h | Frequency | T | ΔTpulse | Fmax | |
|---|---|---|---|---|---|---|---|---|
| J | - | - | cm | blow/min | S | s | kN | |
| Scenarios 1 and 2 | 25,000 | 10 | 1.40 | 4.0 | 240 | 0.25 | 0.025 | 8750 |
| Scenario 3 | 14,120 | 10 | 1.25 | 3.5 | 270 | 0.22 | 0.022 | 5043 |
| Horizontal x pcpv | Horizontal y pcpv | Vertical pcpv | |||
|---|---|---|---|---|---|
| Scenario 2 | Scenario 3 | Scenario 2 | Scenario 3 | Scenario 2 | Scenario 3 |
| m/s | m/s | m/s | m/s | m/s | m/s |
| 0.0341 < 0.05 | 0.0167 < 0.05 | 0.0335 < 0.05 | 0.0164 < 0.05 | 0.1695 > 0.05 | 0.046 < 0.05 |
| Node | Displacement with Lateral Cut [m] | Displacement with Crushing Treatment [m] | Reduction of Vibration Effect [%] |
|---|---|---|---|
| 70 | 0.001151 < 0.03 | 0.000638 < 0.03 | 55 |
| 73 | 0.000976 < 0.03 | 0.000571 < 0.03 | 59 |
| 76 | 0.001162 < 0.03 | 0.000643 < 0.03 | 55 |
| 79 | 0.001153 < 0.03 | 0.000642 < 0.03 | 56 |
| 82 | 0.000986 < 0.03 | 0.000569 < 0.03 | 58 |
| 85 | 0.001142 < 0.03 | 0.000637 < 0.03 | 56 |
| 88 | 0.001183 < 0.03 | 0.000661 < 0.03 | 56 |
| 91 | 0.001049 < 0.03 | 0.000644 < 0.03 | 61 |
| 94 | 0.001187 < 0.03 | 0.000663 < 0.03 | 56 |
| 97 | 0.001187 < 0.03 | 0.000663 < 0.03 | 56 |
| 100 | 0.001048 < 0.03 | 0.000649 < 0.03 | 62 |
| 103 | 0.001189 < 0.03 | 0.000664 < 0.03 | 56 |
Publisher’s Note: MDPI stays neutral with regard to jurisdictional claims in published maps and institutional affiliations. |
© 2020 by the authors. Licensee MDPI, Basel, Switzerland. This article is an open access article distributed under the terms and conditions of the Creative Commons Attribution (CC BY) license (http://creativecommons.org/licenses/by/4.0/).
Share and Cite
Leggieri, V.; di Lernia, A.; Elia, G.; Raffaele, D.; Uva, G. Vibrations Induced by Mechanical Rock Excavation on R.C. Buildings in an Urban Area. Buildings 2021, 11, 15. https://doi.org/10.3390/buildings11010015
Leggieri V, di Lernia A, Elia G, Raffaele D, Uva G. Vibrations Induced by Mechanical Rock Excavation on R.C. Buildings in an Urban Area. Buildings. 2021; 11(1):15. https://doi.org/10.3390/buildings11010015
Chicago/Turabian StyleLeggieri, Valeria, Annamaria di Lernia, Gaetano Elia, Domenico Raffaele, and Giuseppina Uva. 2021. "Vibrations Induced by Mechanical Rock Excavation on R.C. Buildings in an Urban Area" Buildings 11, no. 1: 15. https://doi.org/10.3390/buildings11010015
APA StyleLeggieri, V., di Lernia, A., Elia, G., Raffaele, D., & Uva, G. (2021). Vibrations Induced by Mechanical Rock Excavation on R.C. Buildings in an Urban Area. Buildings, 11(1), 15. https://doi.org/10.3390/buildings11010015

