Experimental Study and Numerical Simulation of the Intermittent Feed High-Speed Grinding of TC4 Titanium Alloy
Abstract
1. Introduction
2. Intermittent Feed High-Speed Grinding Technology
3. Materials and Methods
3.1. Material
3.2. Grinding Wheel
3.3. Test Platform and Scheme
4. Numerical Simulation of Grinding Process
4.1. Heat Source Model
4.2. Numerical Simulation
4.2.1. Establishment of Finite Element Model
4.2.2. Boundary Condition
5. Results and Discussions
5.1. Experimental Results
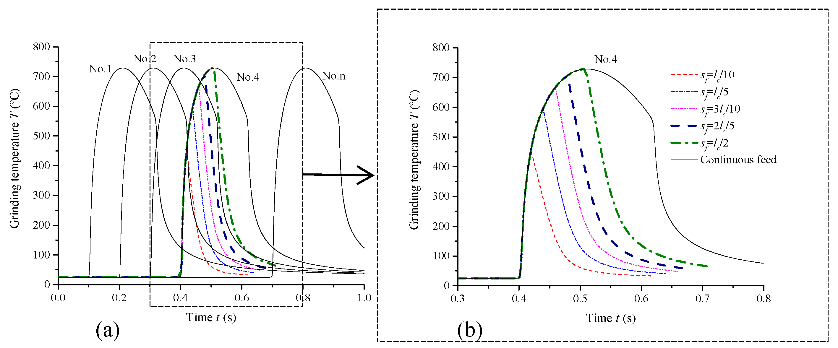
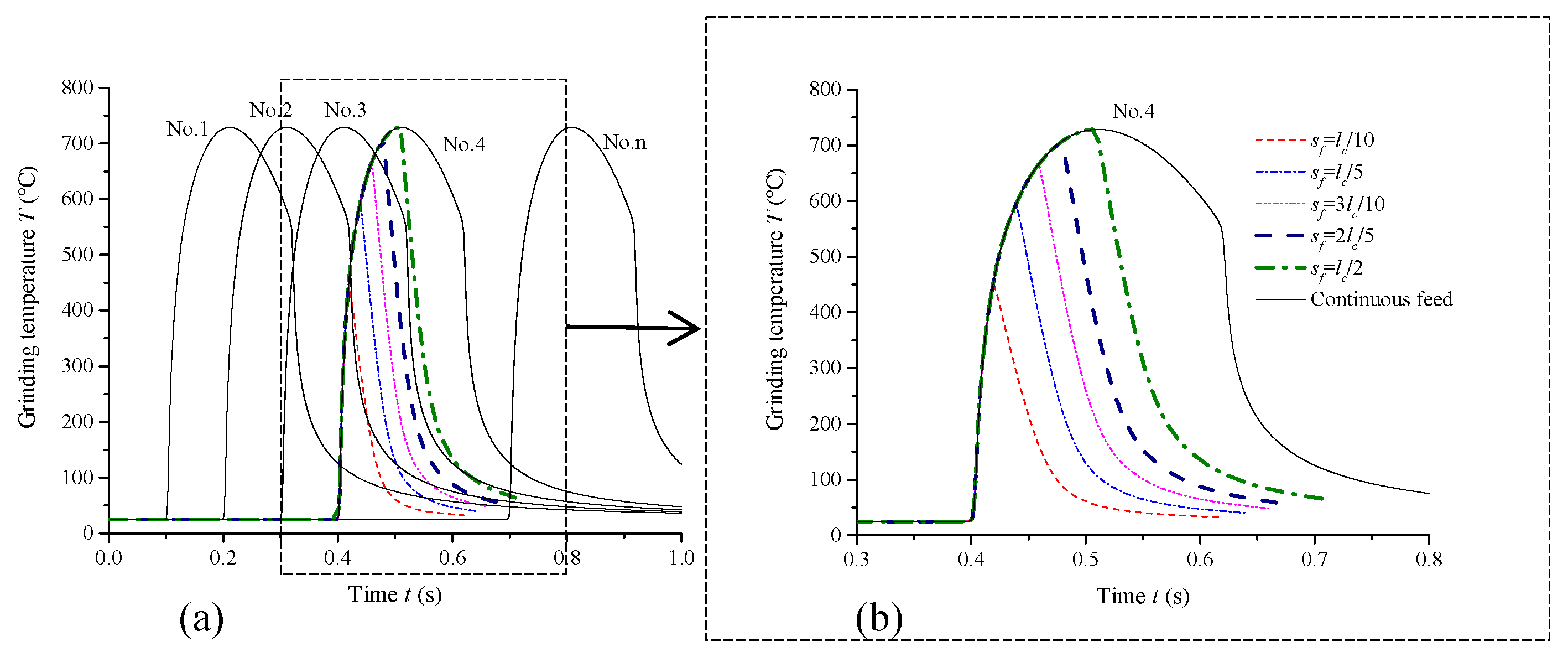
5.2. Simulation Results
5.3. The Advantages of Intermittent Feed High-Speed Grinding
6. Conclusions
Author Contributions
Funding
Acknowledgments
Conflicts of Interest
References
- Ji, H.; Dong, J.; Xin, L.; Huang, X.; Liu, J. Numerical and Experimental Study on the Thermodynamic Coupling of Ti-6Al-4V Blade Preforms by Cross Wedge Rolling. Metals 2018, 8, 1054. [Google Scholar] [CrossRef]
- Lampropoulos, A.D.; Markopoulos, A.P.; Manolakos, D.E. Modeling of Ti6Al4V Alloy Orthogonal Cutting with Smooth Particle Hydrodynamics: A Parametric Analysis on Formulation and Particle Density. Metals 2019, 9, 388. [Google Scholar] [CrossRef]
- Sutowski, P.; Święcik, R. The estimation of machining results and efficiency of the abrasive electro-discharge grinding process of Ti6Al4V titanium alloy using the high-frequency acoustic emission and force signals. Int. J. Adv. Manuf. Technol. 2018, 94, 1263–1282. [Google Scholar] [CrossRef]
- Ding, W.; Zhang, L.; Li, Z.; Zhu, Y.; Su, H.; Xu, J. Review on grinding-induced residual stresses in metallic materials. Int. J. Adv. Manuf. Technol. 2017, 88, 2939–2968. [Google Scholar] [CrossRef]
- Li, J.; Jia, Y.K.; Shen, N.Y.; Yu, Z.; Zhang, W. Effect of grinding conditions of a tc4 titanium alloy on its residual surface stresses. Strength Mater. 2015, 47, 2–11. [Google Scholar] [CrossRef]
- Xun, L.; Zhitong, C.; Wuyi, C. Suppression of surface burn in grinding of titanium alloy TC4 using a self-inhaling internal cooling wheel. Chin. J. Aeronaut. 2011, 24, 96–101. [Google Scholar]
- Fritsche, A.; Bleicher, F. Experimental investigation of the heat flux distribution in grinding of titanium alloy. Procedia Eng. 2015, 100, 987–993. [Google Scholar] [CrossRef]
- Hao, N.L.; Axinte, D. Textured grinding wheels: A review. Int. J. Mach. Tools Manuf. 2016, 109, 8–35. [Google Scholar]
- Deng, H.; Xu, Z. Dressing methods of superabrasive grinding wheels: A review. J. Manuf. Process. 2019, 45, 46–69. [Google Scholar] [CrossRef]
- Ding, W.F.; Xu, J.H.; Chen, Z.Z.; Su, H.H.; Fu, Y.C. Wear behavior and mechanism of single-layer brazed cbn abrasive wheels during creep-feed grinding cast nickel-based superalloy. Int. J. Adv. Manuf. Technol. 2010, 51, 541–550. [Google Scholar] [CrossRef]
- Ding, W.F.; Miao, Q.; Xu, J.H.; Chen, Z.Z. Preparation mechanism and grinding performance of single-layer self-lubrication brazed cbn abrasive wheels. Int. J. Adv. Manuf. Technol. 2013, 68, 249–255. [Google Scholar] [CrossRef]
- Lyu, Y.; Yu, H.; Wang, J.; Chen, C.; Xiang, L. Study on the grinding temperature of the grinding wheel with an abrasive phyllotactic pattern. Int. J. Adv. Manuf. Technol. 2017, 91, 895–906. [Google Scholar] [CrossRef]
- Yu, H.; Lyu, Y.; Wang, J.; Wang, X. A biomimetic engineered grinding wheel inspired by phyllotaxis theory. J. Mater. Process. Technol. 2018, 251, 267–281. [Google Scholar] [CrossRef]
- Fang, C.; Xu, X. Analysis of temperature distributions in surface grinding with intermittent wheels. Int. J. Adv. Manuf. Technol. 2014, 71, 23–31. [Google Scholar] [CrossRef]
- Denkena, B.; Grove, T.; Göttsching, T. Grinding with patterned grinding wheels. CIRP J. Manuf. Sci. Technol. 2015, 8, 12–21. [Google Scholar] [CrossRef]
- Mohamed, A.M.O.; Bauer, R.; Warkentin, A. Uncut chip thickness and coolant delivery effects on the performance of circumferentially grooved grinding wheels. Int. J. Adv. Manuf. Technol. 2016, 85, 1429–1438. [Google Scholar] [CrossRef]
- Azarhoushang, B.; Daneshi, A.; Lee, D.H. Evaluation of thermal damages and residual stresses in dry grinding by structured wheels. J. Clean. Prod. 2017, 142, 1922–1930. [Google Scholar] [CrossRef]
- Li, H.N.; Axinte, D. On the inverse design of discontinuous abrasive surface to lower friction-induced temperature in grinding: An example of engineered abrasive tools. Int. J. Mach. Tools Manuf. 2018, 132, 50–63. [Google Scholar] [CrossRef]
- Nguyen, T.; Zhang, L.C. Grinding–hardening using dry air and liquid nitrogen: Prediction and verification of temperature fields and hardened layer thickness. Int. J. Mach. Tools Manuf. 2010, 50, 901–910. [Google Scholar] [CrossRef]
- Nguyen, T.; Liu, M.; Zhang, L.C. Cooling by sub-zero cold air jet in the grinding of a cylindrical component. Int. J. Adv. Manuf. Technol. 2014, 73, 341–352. [Google Scholar] [CrossRef]
- Hadad, M.J.; Tawakoli, T.; Sadeghi, M.H.; Sadeghi, B. Temperature and energy partition in minimum quantity lubrication-mql grinding process. Int. J. Mach. Tools Manuf. 2012, 55, 10–17. [Google Scholar] [CrossRef]
- Peng, R.; Huang, X.; Tang, X.; Chen, R.; Hu, Y. Performance of a pressurized internal-cooling slotted grinding wheel system. Int. J. Adv. Manuf. Technol. 2018, 94, 2239–2254. [Google Scholar] [CrossRef]
- Chen, J.; Fu, Y.; Li, Q.; Gao, J.; He, Q. Investigation on induction brazing of revolving heat pipe grinding wheel. Mater. Des. 2016, 116, 21–30. [Google Scholar] [CrossRef]
- Chen, J.; Fu, Y.; He, Q.; Zhu, Y.; Zhang, W. Experimental investigation on high-efficiency grinding of inconel 718 with heat pipe grinding wheel. Mach. Sci. Technol. 2017, 21, 86–102. [Google Scholar] [CrossRef]
- He, Q.; Fu, Y.; Chen, J.; Zhang, W.; Cui, Z. Experimental investigation of cooling characteristics in wet grinding using heat pipe grinding wheel. Int. J. Adv. Manuf. Technol. 2018, 97, 621–627. [Google Scholar] [CrossRef]
- Malý, M.; Höller, C.; Skalon, M.; Meier, B.; Koutný, D.; Pichler, R.; Sommitsch, C.; Paloušek, D. Effect of Process Parameters and High-Temperature Preheating on Residual Stress and Relative Density of Ti6Al4V Processed by Selective Laser Melting. Materials 2019, 12, 930. [Google Scholar] [CrossRef] [PubMed]
- Hadad, M.; Sadeghi, B. Thermal analysis of minimum quantity lubrication-MQL grinding process. Int. J. Mach. Tools Manuf. 2012, 63, 1–15. [Google Scholar] [CrossRef]
- Yu, G.; Wang, Q.; Song, Z.; Fang, D.; Li, Y.; Yao, Y. Toward the temperature distribution on ball bearing inner rings during single-grit grinding. Int. J. Adv. Manuf. Technol. 2019, 102, 957–968. [Google Scholar] [CrossRef]
- Jin, T.; Stephenson, D.J. Investigation of the heat partitioning in high efficiency deep grinding. Int. J. Mach. Tools Manuf. 2003, 43, 1129–1134. [Google Scholar] [CrossRef]
- Rowe, W.B.; Black, S.C.E.; Mills, B.; Qi, H.S.; Morgan, M.N. Experimental investigation of heat transfer in grinding. CIRP Ann. Manuf. Technol. 1995, 44, 329–332. [Google Scholar] [CrossRef]
- Malkin, S. Grinding Technology: Theory and Applications of Machining with Abrasives. Int. J. Mach. Tools Manuf. 1991, 31, 435–436. [Google Scholar]
- Zhang, Y.; Fang, C.; Huang, G.; Xu, X. Modeling and simulation of the distribution of undeformed chip thicknesses in surface grinding. Int. J. Mach. Tools Manuf. 2018, 127, 14–27. [Google Scholar] [CrossRef]
- Lefebvre, A.; Vieville, P.; Lipinski, P.; Lescalier, C. Numerical analysis of grinding temperature measurement by the foil/workpiece thermocouple method. Int. J. Mach. Tools Manuf. 2006, 46, 1716–1726. [Google Scholar] [CrossRef]
- Yi, J.; Jin, T.; Deng, Z. The temperature field study on the three-dimensional surface moving heat source model in involute gear form grinding. Int. J. Adv. Manuf. Technol. 2019. [Google Scholar] [CrossRef]

















| Chemical Elements | Al | V | Fe | Si | C | N | H | O | Ti |
|---|---|---|---|---|---|---|---|---|---|
| wt % | 6.2 | 4.5 | 0.3 | 0.15 | 0.1 | 0.05 | 0.015 | 0.2 | The rest |
| Temperature °C | Specific Heat Capacity J·Kg−1·°C−1 | Thermal Conductivity W·m−1·°C−1 | Coefficient of Linear Expansion 10−6 m·°C−1 | Young′s Modulus GPa | Yield Strength MPa |
|---|---|---|---|---|---|
| 20 | 611 | 6.8 | 8.4 | 109 | 920 |
| 200 | 653 | 8.7 | 9.2 | 94 | 750 |
| 400 | 691 | 10.3 | 9.5 | 80 | 560 |
| 600 | 713 | 13.7 | 10 | 66 | 340 |
| 700 | 725 | 14.4 | 10.2 | 48 | 280 |
| 800 | 735 | 15.8 | 10.4 | 35 | 130 |
| 1000 | 754 | 18.3 | 10.9 | 22 | 90 |
| 1200 | 771 | 21.7 | 11 | 10 | 66 |
| 1400 | 787 | 24.5 | 11 | 5 | 31 |
| Property | Abrasive (Cubic Boron Nitride) |
|---|---|
| Density (kg/mm3) | 3480 |
| Specific heat capacity (J/(kg·°C) | 506 |
| Thermal conductivity (W/m·°C) | 700 |
| Thermal diffusivity | 56.8 × 10−5 |
| Dresser | Diamond Roller |
|---|---|
| Wheel speed vs (m/s) | 30 |
| Dressing speed ratio (vd/vs) | 0.53 |
| Feed speed vw (mm/min) | 300 |
| Single dressing depth ap (μm) | 5, 3, 2 (feed in turn from both sides of the grinding wheel) |
| Wheel Speed vs (m/s) | 60, 80, 100, 120 |
|---|---|
| Worktable feed speed vw (mm/min) | 3000 |
| Grinding depth ap (mm) | 0.3, 0.5 |
| Single feed distance sf (mm) | 0.25, 0.4, 0.55, 0.7, 1, 2 |
| Interval time tp (s) | 1 |
| Coolant | 4% HOCUUT795 coolant, 1 MPa, 25 L/min |
© 2019 by the authors. Licensee MDPI, Basel, Switzerland. This article is an open access article distributed under the terms and conditions of the Creative Commons Attribution (CC BY) license (http://creativecommons.org/licenses/by/4.0/).
Share and Cite
Yi, J.; Zhou, W.; Deng, Z. Experimental Study and Numerical Simulation of the Intermittent Feed High-Speed Grinding of TC4 Titanium Alloy. Metals 2019, 9, 802. https://doi.org/10.3390/met9070802
Yi J, Zhou W, Deng Z. Experimental Study and Numerical Simulation of the Intermittent Feed High-Speed Grinding of TC4 Titanium Alloy. Metals. 2019; 9(7):802. https://doi.org/10.3390/met9070802
Chicago/Turabian StyleYi, Jun, Wei Zhou, and Zhaohui Deng. 2019. "Experimental Study and Numerical Simulation of the Intermittent Feed High-Speed Grinding of TC4 Titanium Alloy" Metals 9, no. 7: 802. https://doi.org/10.3390/met9070802
APA StyleYi, J., Zhou, W., & Deng, Z. (2019). Experimental Study and Numerical Simulation of the Intermittent Feed High-Speed Grinding of TC4 Titanium Alloy. Metals, 9(7), 802. https://doi.org/10.3390/met9070802
