Investigating Plastic Anisotropy of Single and Two-Phase (α2-Ti3Al + γ-TiAl) PST-TiAl Through Computational Yield Surface Analysis
Abstract
1. Introduction
- Characterization of slip system activity in TiAl phases under biaxial loading: This objective involves a detailed examination of the operative slip systems in γ-TiAl and α2-Ti3Al phases, and within the lamellar PST-TiAl structure. Biaxial loading with varied load-path angles will be applied to analyse the contribution of specific slip systems to the anisotropic plastic deformation.
- Correlation between slip system activity and yield surface evolution: This analysis will explore how slip system activation in α2 and γ phases influences the formation and evolution of 2D plane-stress yield surfaces, both in single-phase and combined-phase scenarios. The study will explore the roles of crystallographic deformation modes and involved slip systems in shaping the yield loci contours.
- Phase-specific contributions to plastic anisotropy in PST-TiAl alloy: By investigating distinct deformation mechanisms and yield loci of the single-phases and combined two-phase structures, this objective will clarify how the co-deformation constraints and slip interactions contribute to local plastic evolution within the lamellar microstructure.
- Yield loci sensitivity due to oriented load-paths along different stress-planes: The yield anisotropy in oriented lamellar microstructures under varying multiaxial loading conditions will be investigated by analysing the evolution of yield loci in PST-TiAl structures across different stress planes, e.g., (σ1-σ2) and (σ3-σ2). This study will evaluate the sensitivity of radial load paths and its impact on the contours of the yield loci. Emphasis will be placed on understanding the interplay between structural alignments and crystallographic anisotropies in governing the anisotropy of Mises equivalent stress.
2. Materials and Methods
2.1. Deformation Behaviour of Multi-Phase (α2 + γ) Lamellar PST-TiAl Alloy
2.2. Deformation Behaviour of γ-TiAl and α2-Ti3Al Single Phases
2.3. Micromechanical Modelling of TiAl Deformation
2.3.1. Unit Cell FE Model of Two-Phase PST-TiAl and Bulk TiAl Phases
2.3.2. Crystal Plasticity (CP) FE Modelling for TiAl Deformation Behaviour
2.4. Modelling of Plane Stress Yield Locus
3. Result and Discussion
3.1. Plastic Anisotropy of TiAl Phases in Terms of Yield Surface Behaviour
3.1.1. Yield Loci of γ-TiAl Single Phase
- For all the models, the yield loci contours exhibit an elliptical or biased elliptical shape. In the Model-γA and γB, the major axes align at θ = 30°, producing a narrow yield loci contour. The Model-γC displays broader yield loci contour, also aligned at a θ = 30° load path, while the Model-γD exhibits narrow, elongated yield loci contour aligned at θ = 45°, corresponding to equibiaxial tension. Variations in shape and major-axis rotation reflect the anisotropic characteristics induced by the deformation modes activated through CP parameters.
- Yield evolution varies with increasing equivalent plastic strain depending on the load angle. For a load path at θ = 0° (uniaxial tension), the Model γC shows a more substantial increase in σ1 stresses over the εpq range from 0.0002 to 0.002 compared to the models γA, γB, and γD. This difference is highlighted by comparing the widths of the yield loci contours along the σ1 and σ2 axes, denoted as w1 and w2 in the figure. The variations in yield loci evolution with εpq increments indicate distinct strain-hardening behaviour among the models.
3.1.2. Yield Loci of α2-Ti3Al Single Phase
3.2. Anisotropy of Equivalent Mises Stress of the TiAl Phases
3.2.1. Equivalent Mises Stress Variation of γ-TiAl Single Phase
3.2.2. Equivalent Mises Stress Variation of α2-Ti3Al Single Phase
3.3. Role of Operative Slips on the Yield Anisotropy
3.3.1. Slip Activity of γ-TiAl Single Phase Causing Yield Anisotropy
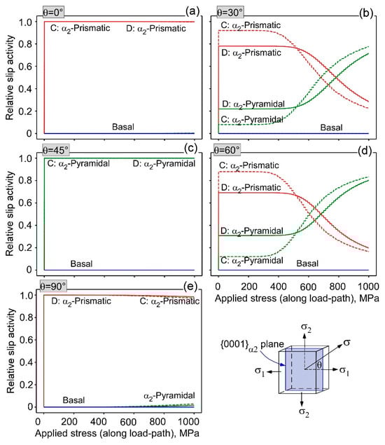
3.3.2. Slip Activity of α2-Ti3Al Single Phase Causing Yield Anisotropy
3.4. Yield Loci and Plastic Anisotropy from Single to Multi-Phases Lamellar Structure
3.4.1. Phase-Specific Contribution to the Yield Loci of Two-Phase PST-TiAl
3.4.2. Operative Slips on Embedded Phases During Co-Deformation
Slip Activities of Co-Deformed γ-Phases
Slip Activities of Co-Deformed α2-Phases
3.5. Yield Loci Behaviour of PST-TiAl Under Lamellar Orientation and Load Orientation
3.5.1. Yield Loci of PST-TiAl on (σ1-σ2) Stress Plane
3.5.2. Yield Loci of PST-TiAl on (σ3-σ2) Stress Plane
3.6. Yield Stress Anisotropy Influenced by Lamellar Orientation and Biaxial Loading Angels
4. Summary and Conclusions
- The distinct anisotropic yield behaviour in PST-TiAl alloys is governed by the unique deformation mechanisms of α2-Ti3Al (hcp) and γ-TiAl (fcc) phases. The α2-phase exhibits pronounced anisotropy with narrow, hexagonal yield loci contours, while the γ-phase shows varying anisotropy resulting in elliptical yield loci contours. In the multi-phase PST-TiAl model, interactions between these phases generate more rounded hexagonal yield loci contours, demonstrating the crucial role of phase interactions in shaping the overall yield behaviour.
- Slip-system activation plays a critical role in determining the yield loci under varying load-path angles. In γ-phases, the mechanisms like twinning and super dislocations dominate under certain stress states, influencing yield stress and plastic deformation. In contrast, the α2-phases are predominantly governed by prismatic and pyramidal slips. The relationships between slip-system activities and yield loci contour shapes illustrate how crystallographic orientations and stress conditions govern the mechanical response under complex loading scenarios.
- Co-deformation constraints in multi-phase PST-TiAl alloys restrict slip evolutions in the embedded phases compared to the single-phase conditions. Interactions among neighbouring phases vary consequently upon lamellar orientations. These constraints, together with microstructural alignments, play crucial roles in shaping the anisotropic stress responses and yield loci evolution.
- Depending on lamellar orientation, φ, the shape of the yield loci contours varies from ellipses to parallelograms or hexagons. The major axes of the yield loci also rotate substantially. Additionally, the lamellar boundary angles introduce structural anisotropy that interacts with the phase-specific anisotropy. This interplay between microstructure and crystallography controls the overall anisotropic response.
- Systematic changes in load-path angles within the (σ1-σ2) and (σ3-σ2) stress planes result in corresponding shifts in yield loci contour width and shape, driven by the activation of different slip systems. Changes in loading direction alter the stress ratio, causing the yield loci to vary across stress planes, with elliptical to parallelogram yield loci contour shapes emerging in the (σ1-σ2) plane and ellipses transitioning to hexagons in the (σ3-σ2) plane. The Fourier series fitting of equivalent Mises stress curves further elucidates the sensitivity of effective Mises stress to loading direction and stress ratios.
Author Contributions
Funding
Data Availability Statement
Acknowledgments
Conflicts of Interest
References
- Appel, F.; Brossmann, U.; Christoph, U.; Eggert, S.; Janschek, P.; Lorenz, U.; Müllauer, J.; Oehring, M.; Pauli, J.D.H. Recent Progress in the Development of Gamma Titanium Aluminide Alloys. Adv. Eng. Mater. 2000, 2, 699–720. [Google Scholar] [CrossRef]
- Wallgram, W.; Schmölzer, T.; Cha, L.; Das, G.; Güther, V.; Clemens, H. Technology and mechanical properties of advanced γ-TiAl based alloys. Int. J. Mater. Res. 2009, 100, 1021–1030. [Google Scholar] [CrossRef]
- Dzogbewu, T.C.; du Preez, W.B. Additive Manufacturing of Ti-Based Intermetallic Alloys: A Review and Conceptualization of a Next-Generation Machine. Materials 2021, 14, 4317. [Google Scholar] [CrossRef] [PubMed]
- Wimler, D.; Lindemann, J.; Reith, M.; Kirchner, A.; Allen, M.; Vargas, W.G.; Franke, M.; Klöden, B.; Weißgärber, T.; Güther, V.; et al. Designing advanced intermetallic titanium aluminide alloys for additive manufacturing. Intermetallics 2021, 131, 107109. [Google Scholar] [CrossRef]
- Lin, B.C.; Chen, W. Mechanical properties of TiAl fabricated by electron beam melting—A review. China Foundry 2021, 18, 307–316. [Google Scholar] [CrossRef]
- Kishida, K.; Inui, H.; Yamaguchi, M. Deformation of lamellar structure in TiAl-Ti3Al two-phase alloys. Philos. Mag. A 1998, 78, 1–28. [Google Scholar] [CrossRef]
- Inui, H.; Oh, M.H.; Nakamura, A.; Yamaguchi, M. Room-temperature tensile deformation of polysyn-thetically twinned (PST) crystals of TiAl. Acta Metall. Mater. 1992, 40, 3095–3104. [Google Scholar] [CrossRef]
- Umakoshi, Y.; Nakano, T.; Yamane, T. The effect of orientation and lamellar structure on the plastic behavior of TiAl crystals. Mater. Sci. Eng. A 1992, 152, 81–88. [Google Scholar] [CrossRef]
- Hazzledine, P.M.; Kad, B.K. Yield and fracture of lamellar γα2 TiAl alloys. Mater. Sci. Eng. A 1995, 192–193, 340–346. [Google Scholar] [CrossRef]
- Zghal, S.; Naka, S.; Couret, A. Quantitative TEM Analysis of the Lamellar Microstructure in TiAl Based Alloys. Acta Mater. 1997, 45, 3005–3015. [Google Scholar] [CrossRef]
- Parthasarathy, T.A.; Mendiratta, M.G.; Dimiduk, D.M. Flow behavior of PST and fully lamellar poly-crystals of Ti–48Al in the microstrain regime. Acta Mater. 1998, 46, 4005–4016. [Google Scholar] [CrossRef]
- Kempf, M.; Göken, M.; Vehoff, H. The mechanical properties of different lamellae and domains in PST-TiAl investigated with nanoindentations and atomic force microscopy. Mater. Sci. Eng. A 2002, 329–331, 184–189. [Google Scholar] [CrossRef]
- Chen, L.; James Edwards, T.E.; Di Gioacchino, F.; Clegg, W.J.; Dunne, F.P.E.; Pham, M.-S. Crystal plasticity analysis of deformation anisotropy of lamellar TiAl alloy: 3D microstructure-based modelling and in-situ micro-compression. Int. J. Plast. 2019, 119, 344–360. [Google Scholar] [CrossRef]
- Lebensohn, R.; Uhlenhut, H.; Hartig, C.; Mecking, H. Plastic flow of γ-TiAl-based polysynthetically twinned crystals: Micromechanical modeling and experimental validation. Acta Mater. 1998, 46, 4701–4709. [Google Scholar] [CrossRef]
- Marketz, W.T.; Fischer, F.D.; Clemens, H. Deformation mechanisms in TiAl intermetallics-Experiments and modelling. Int. J. Plast. 2003, 19, 281–321. [Google Scholar] [CrossRef]
- Zambaldi, C.; Raabe, D. Crystal plasticity modelling and experiments for deriving microstruc-ture-property relationships in γ-TiAl based alloys. J. Phys. Conf. Ser. 2010, 240, 012140. [Google Scholar] [CrossRef]
- Werwer, M.; Cornec, A. Numerical simulation of plastic deformation and fracture in polysynthetically twinned (PST) crystals of TiAl. Comput. Mater. Sci. 2000, 19, 97–107. [Google Scholar] [CrossRef]
- Whang, S.H.; Feng, Q.; Wang, Z.-M. Deformation characteristics and dislocation structures in single phase gamma titanium aluminides. Intermetallics 2000, 8, 531–537. [Google Scholar] [CrossRef]
- Minonishi, Y. Plastic deformation of single crystals of Ti3Al with D019 structure. Philos. Mag. A 1991, 63, 1085–1093. [Google Scholar] [CrossRef]
- Lu, L.; Pope, D.P. Slip and twinning in TiAl PST crystals. Mater. Sci. Eng. A 1997, 239–240, 126–130. [Google Scholar] [CrossRef]
- Mine, Y.; Fujisaki, H.; Matsuda, M.; Takeyama, M.; Takashima, K. Microtension behaviour of TiAl polysynthetically twinned crystals with 0°- and 90°-oriented lamellae. Scr. Mater. 2011, 65, 707–710. [Google Scholar] [CrossRef]
- Jin, Z.; Gray, G.T. Experimental determination of domain orientations and domain orientation rela-tionships across lamellar interfaces in polysynthetically twinned TiAl crystals. Mater. Sci. Eng. A 1997, 231, 62–71. [Google Scholar] [CrossRef]
- Zhao, W.; Liao, H.; Lun, Y.; Zhang, S.; Song, B. Role of interfaces in the deformation behavior of la-mellar TiAl-based alloys with CPFEM simulation. Mater. Today Commun. 2022, 32, 103942. [Google Scholar] [CrossRef]
- Liu, C.T.; Schneibel, J.H.; Maziasz, P.J.; Wright, J.L.; Easton, D.S. Tensile properties and fracture toughness of TiAl alloys with controlled microstructures. Intermetallics 1996, 4, 429–440. [Google Scholar] [CrossRef]
- Bolz, S.; Oehring, M.; Lindemann, J.; Pyczak, F.; Paul, J.; Stark, A.; Lippmann, T.; Schrüfer, S.; Roth-Fagaraseanu, D.; Schreyer, A.; et al. Microstructure and mechanical properties of a forged β-solidifying γ TiAl alloy in different heat treatment conditions. Intermetallics 2015, 58, 71–83. [Google Scholar] [CrossRef]
- Kabir, M.R.; Bartsch, M.; Chernova, L.; Kelm, K.; Wischek, J. Correlations between microstructure and room temperature tensile behavior of a duplex TNB alloy for systematically heat treated samples. Mater. Sci. Eng. A 2015, 635, 13–22. [Google Scholar] [CrossRef]
- Luster, J.; Morris, M.A. Compatibility of deformation in two-phase Ti-Al alloys: Dependence on mi-crostructure and orientation relationships. Metall. Mater. Trans. A 1995, 26, 1745–1756. [Google Scholar] [CrossRef]
- Paidar, V.; Imamura, D.; Inui, H.; Yamaguchi, M. Plastic deformation of bicrystals composed of poly-synthetically twinned TiAl crystals. Acta Mater. 2001, 49, 1009–1019. [Google Scholar] [CrossRef]
- Schmitt, J.H.; Aernoudt, E.; Baudelet, B. Yield Loci for Polycrystalline Metals without Texture. Mater. Sci. Eng. 1985, 75, 13–20. [Google Scholar] [CrossRef]
- Gawad, J.; Banabic, D.; Van Bael, A.; Comsa, D.S.; Gologanu, M.; Eyckens, P.; Van Houtte, P.; Roose, D. An evolving plane stress yield criterion based on crystal plasticity virtual experiments. Int. J. Plast. 2015, 75, 141–169. [Google Scholar] [CrossRef]
- Vajragupta, N.; Ahmed, S.; Boeff, M.; Ma, A.; Hartmaier, A. Micromechanical modeling approach to derive the yield surface for BCC and FCC steels using statistically informed microstructure models and nonlocal crystal plasticity. Phys. Mesomech. 2017, 20, 343–352. [Google Scholar] [CrossRef]
- Graff, S.; Brocks, W.; Steglich, D. Yielding of magnesium: From single crystal to polycrystalline aggregates. Int. J. Plast. 2007, 23, 1957–1978. [Google Scholar] [CrossRef]
- Schlögl, S.M.; Fischer, F.D. Numerical simulation of yield loci for PST crystals of TiAl. Mater. Sci. Eng. A 1997, 239–240, 790–803. [Google Scholar] [CrossRef]
- Fujiwara, T.; Nakamura, A.; Hosomi, M.; Nishitani, S.R.; Shirai, Y.; Yamaguchi, M. Deformation of polysynthetically twinned crystals of TiAl with a nearly stoichiometric composition. Philos. Mag. A 1990, 61, 591–606. [Google Scholar] [CrossRef]
- Blackburn, M.J. Some Aspects of Phase Transformations in Titanium Alloys, the Science, Technology, and Application of Titanium; Jaffee, R.I., Ed.; Oxford Pergamon Press Ltd.: Oxford, UK, 1970; pp. 633–643. [Google Scholar] [CrossRef]
- Kim, H.Y.; Maruyama, K. Stability of lamellar microstructure of hard orientated PST crystal of TiAl alloy. Acta Mater. 2003, 51, 2191–2204. [Google Scholar] [CrossRef]
- Uhlenhut, H. Ursachen Plastischer Anisotropie von γ-TiAl Basislegierungen. Ph.D. Thesis, Technische Universität Hamburg, Harburg, Germany, 1999. [Google Scholar]
- Jeong, B.; Kim, J.; Lee, T.; Kim, S.-W.; Ryu, S. Systematic investigation of the deformation mecha-nisms of a γ-TiAl single crystal. Sci. Rep. 2018, 8, 15200. [Google Scholar] [CrossRef] [PubMed]
- Peirce, D.; Asaro, R.J.; Needleman, A. Material rate dependence and localized deformation in crystalline solids. Acta Metall. 1983, 31, 1951–1976. [Google Scholar] [CrossRef]
- Huang, Y. A User-Material Subroutine Incorporating Single Crystal Plasticity in the Abaqus Finite Element Program; Report MECH-178; Division of Applied Science; Harvard University: Cambridge, MA, USA, 1991. [Google Scholar]
- Kad, B.M.; Dao, M.; Asaro, R.J. Numerical simulations of stress-strain behavior in two-phase α2 + γ lamellar TiAl alloys. Mater. Sci. Eng. A 1995, 192–193, 97–103. [Google Scholar] [CrossRef]
- Grujicic, M.; Cao, G.; Joseph, P.F. Multiscale Modeling of Deformation and Fracture of Polycrystalline Lamellar γ-TiAl + α2-Ti3Al Alloys. Int. J. Multiscale Comput. Eng. 2003, 1, 1–22. [Google Scholar] [CrossRef]
- Werwer, M.; Cornec, A. The role of superdislocations for modeling plastic deformation of lamellar TiAl. Int. J. Plast. 2006, 22, 1683–1698. [Google Scholar] [CrossRef]
- Cornec, A.; Kabir, M.R.; Huber, N. Numerical prediction of the stress–strain response of a lamellar γTiAl polycrystal using a two-scale modelling approach. Mater. Sci. Eng. A 2015, 620, 273–285. [Google Scholar] [CrossRef]
- Yoo, M.H.; Zou, J.; Fu, C.L. Mechanistic modeling of deformation and fracture behavior in TiAl and Ti3Al. Mater. Sci. Eng. A 1995, 192/193, 14–23. [Google Scholar] [CrossRef]
- Gulivindala, G.; Mothukuru, R.K.; Karanam, M.; Tse, K.M.; Chinthapenta, V. Yield locus of FCC single crystal for biaxial loading. Mater. Today Proc. 2024, 108, 135–140. [Google Scholar] [CrossRef]
- Wellerdick-Wojtasik, N. Micromechanical modelling of yield loci. Comput. Mater. Sci. 1999, 16, 113–119. [Google Scholar] [CrossRef]
- Tomé, C.; Kocks, U.F. The yield surface of h.c.p. crystals. Acta Metall. 1985, 33, 603–621. [Google Scholar] [CrossRef]


















| γ-TiAl | |||||
|---|---|---|---|---|---|
| C11 | C33 | C12 | C23 | C44 | C66 |
| 190 | 185 | 105 | 90 | 120 | 50 |
| α2-Ti3Al | |||||
| C11 | C33 | C12 | C31 | C44 | C66 |
| 221 | 238 | 71 | 85 | 69 | 69 |
| Longitudinal-Mode Slips | Mixed-Mode Slips | Transversal-Mode Slips | ||||||
|---|---|---|---|---|---|---|---|---|
| γ-TiAl | ||||||||
| Ordinary | Super | Twin | Ordinary | Super | Ordinary | Super | Twin | |
| Slip strength g0, MPa | 45 | 90 | 45 | 85 | 170 | 150 | 300 | 150 |
| Hardening h0, MPa | 310 | 350 | 180 | |||||
| α2-Ti3Al | ||||||||
| Basal | Prismatic | Pyramidal | ||||||
| Slip strength g0, MPa | 330 | 100 | 910 | |||||
| Hardening h0, MPa | 150 | 150 | 150 | |||||
| Parameter Set | Model Name | Longitudinal-Mode Slips | Mixed-Mode Slips | Transversal-Mode Slips | |||||
|---|---|---|---|---|---|---|---|---|---|
| Ordinary | Super | Twin | Ordinary | Super | Ordinary | Super | Twin | ||
| g0, MPa | g0, MPa | g0, MPa | g0, MPa | g0, MPa | g0, MPa | g0, MPa | g0, MPa | ||
| Base | Model-γA | 45 | 90 | 45 | 85 | 170 | 150 | 300 | 150 |
| Longitudinal | Model-γB | 60 | 120 | 60 | 85 | 170 | 150 | 300 | 150 |
| Mixed | Model-γC | 45 | 90 | 45 | 200 | 400 | 150 | 300 | 150 |
| Transversal | Model-γD | 45 | 90 | 45 | 85 | 170 | 225 | 440 | 225 |
| Parameter set | Model Name | Longitudinal-Mode Slips | Mixed-Mode Slips | Transversal-Mode Slips |
|---|---|---|---|---|
| Basal | Prismatic | Pyramidal | ||
| g, MPa | g, MPa | g, MPa | ||
| Base | Model-α2A | 50 | 75 | 150 |
| Basal | Model-α2B | 100 | 75 | 150 |
| Prismatic | Model-α2C | 50 | 100 | 150 |
| Pyramidal | Model-α2D | 50 | 75 | 200 |
| Model-γC/PST1 | ||||
|---|---|---|---|---|
| Bulk Crystal | Embedded Crystal | Bulk Crystal | Embedded Crystal | |
| θ | Applied Load < 400 MPa | Applied Load < 400 MPa | Applied Load > 600 MPa | Applied Load > 600 MPa |
| 0 | Twin (Trans) | Twin (Trans) | Sup (Trans) | Sup (Mix) + Ord (Trans) |
| 30 | Twin (Trans) | Twin (Trans) + Ord (Trans) | Sup (Trans) + Ord (Trans) | Twin (Trans) |
| 45 | Twin (Long) | Ord (Trans) | Ord (Trans) | Ord (Trans) |
| 60 | Twin (Long) + Ord (Trans) | Ord (Trans) | Ord (Trans) | Ord (Trans) |
| 90 | Twin (Long) + Ord (Trans) | Ord (Trans) | Ord (Trans) + Sup (Long) | Ord (Trans) + Sup (mix) |
| Model-γD/PST2 | ||||
| Bulk Crystal | Embedded Crystal | Bulk Crystal | Embedded Crystal | |
| θ | Applied Load < 400 MPa | Applied Load < 400 MPa | Applied Load > 600 MPa | Applied Load > 600 MPa |
| 0 | Sup (Mix) + Twin (Trans) | Sup (Mix) + Twin (Trans) | Sup (Mix) + Sup (Long) | Sup (Mix) |
| 30 | Twin (Long) + Twin (Trans) | Twin (Trans) + Ord (Trans) | Sup (Mix) | Twin (Tans) |
| 45 | Twin (Long) | Ord (Trans) | Ord (Trans) + Sup (Long) | Ord (Trans) |
| 60 | Twin (Long) | Sup (Mix) + Ord (trans) | Ord (Trans) + Sup (Long) | Sup (Mix) + Ord (trans) |
| 90 | Sup (Mix)+ Twin (Long) | Sup (Mix) | Sup (Mix) + Sup (Long) | Sup (Mix) |
| Model-α2C/PST1 | ||||
|---|---|---|---|---|
| Free Crystal | Embedded Crystal | Free Crystal | Embedded Crystal | |
| θ | Applied Load < 400 MPa | Applied Load < 400 MPa | Applied Load > 600 MPa | Applied Load > 600 MPa |
| 0 | Prismatic | Prismatic | Prismatic | Prismatic + Pyramidal |
| 30 | Prismatic | Prismatic + Pyramidal | Pyramidal | Pyramidal + Prismatic |
| 45 | Pyramidal | Pyramidal | Pyramidal | Pyramidal |
| 60 | Prismatic | Prismatic + Pyramidal | Pyramidal | Pyramidal |
| 90 | Prismatic | Prismatic | Prismatic | Pyramidal |
| Model-α2D/PST2 | ||||
| Free Crystal | Embedded Crystal | Free Crystal | Embedded Crystal | |
| θ | Applied Load < 400 MPa | Applied Load < 400 MPa | Applied Load > 600 MPa | Applied Load > 600 MPa |
| 0 | Prismatic | Prismatic | Prismatic | Prismatic |
| 30 | Prismatic + Pyramidal | Prismatic + Pyramidal | Pyramidal | Pyramidal + Prismatic |
| 45 | Pyramidal | Pyramidal | Pyramidal | Pyramidal |
| 60 | Prismatic + Pyramidal | Prismatic + Pyramidal | Pyramidal | Pyramidal + Prismatic |
| 90 | Prismatic | Prismatic | Prismatic | Prismatic |
| PST1_σV12 | PST2_σV32 | |||
|---|---|---|---|---|
| Harmonics | an | bn | an | bn |
| 1 | 96.964542 | −14.248266 | 139.008259 | 3.504769 |
| 2 | 14.363645 | −13.098787 | 24.972708 | 4.822557 |
| 3 | 2.440508 | −8.123727 | 0.727883 | 0.342684 |
| 4 | 5.571881 | −6.857440 | −1.450206 | −4.678004 |
| 5 | 0.775485 | −3.635532 | −9.675343 | −9.335495 |
| 6 | −18.609284 | 3.048943 | −21.073787 | −7.589412 |
| 7 | −1.308182 | 0.025884 | 1.213972 | 3.166239 |
| 8 | 13.580293 | −5.564829 | 19.098035 | 2.423240 |
| 9 | 9.548064 | −9.413125 | 5.760339 | 1.961615 |
| 10 | 6.297542 | −8.787289 | −1.709833 | −7.526640 |
Disclaimer/Publisher’s Note: The statements, opinions and data contained in all publications are solely those of the individual author(s) and contributor(s) and not of MDPI and/or the editor(s). MDPI and/or the editor(s) disclaim responsibility for any injury to people or property resulting from any ideas, methods, instructions or products referred to in the content. |
© 2025 by the authors. Licensee MDPI, Basel, Switzerland. This article is an open access article distributed under the terms and conditions of the Creative Commons Attribution (CC BY) license (https://creativecommons.org/licenses/by/4.0/).
Share and Cite
Kabir, M.R.; Murat, M.B. Investigating Plastic Anisotropy of Single and Two-Phase (α2-Ti3Al + γ-TiAl) PST-TiAl Through Computational Yield Surface Analysis. Metals 2025, 15, 132. https://doi.org/10.3390/met15020132
Kabir MR, Murat MB. Investigating Plastic Anisotropy of Single and Two-Phase (α2-Ti3Al + γ-TiAl) PST-TiAl Through Computational Yield Surface Analysis. Metals. 2025; 15(2):132. https://doi.org/10.3390/met15020132
Chicago/Turabian StyleKabir, Mohammad Rizviul, and Muhammed Bahadir Murat. 2025. "Investigating Plastic Anisotropy of Single and Two-Phase (α2-Ti3Al + γ-TiAl) PST-TiAl Through Computational Yield Surface Analysis" Metals 15, no. 2: 132. https://doi.org/10.3390/met15020132
APA StyleKabir, M. R., & Murat, M. B. (2025). Investigating Plastic Anisotropy of Single and Two-Phase (α2-Ti3Al + γ-TiAl) PST-TiAl Through Computational Yield Surface Analysis. Metals, 15(2), 132. https://doi.org/10.3390/met15020132

