Next Article in Journal
Mechanical Response of Zr51.9Cu23.3Ni10.5Al14.3 Metallic Glass Ribbon under Varying Strain Rates
Previous Article in Journal
Hydrogen Embrittlement Characterization of 1.4614 and 1.4543 Martensitic Precipitation Hardened Stainless Steels
Previous Article in Special Issue
Laser Beam Machining of Titanium Alloy—A Review
 
 
Font Type:
Arial Georgia Verdana
Font Size:
Aa Aa Aa
Line Spacing:
Column Width:
Background:
Article

Stiffness of Anatomically Shaped Lattice Scaffolds Made by Direct Metal Laser Sintering of Ti-6Al-4V Powder: A Comparison of Two Different Design Variants

by
Rajko Turudija
1,
Miloš Stojković
1,*,
Jelena R. Stojković
1,
Jovan Aranđelović
1 and
Dragan Marinković
1,2,*
1
Faculty of Mechanical Engineering, University of Niš, Aleksandra Medvedeva 14, 18000 Niš, Serbia
2
Department of Structural Analysis, Technical University of Berlin, 10623 Berlin, Germany
*
Authors to whom correspondence should be addressed.
Metals 2024, 14(2), 219; https://doi.org/10.3390/met14020219
Submission received: 21 December 2023 / Revised: 27 January 2024 / Accepted: 7 February 2024 / Published: 10 February 2024

Abstract

The modern approach to the recovery of damaged and missing bone tissue is increasingly focused on the application of implants capable of supporting the growth and recovery of parent tissue, rather than replacing the tissue itself. In this regard, the primary task of modern bone implants is to enable the targeted deformation of the implant against the expected load that that piece of bone should bear. The paper presents research related to anatomically shaped lattice scaffolds (ASLSs) made by the direct metal laser sintering (DMLS) of Ti-6Al-4V powder, and refers to the influence of the crossing angle between the outer lattice struts on the rigidity of the scaffold structure. The study includes the measurement of the deformation of two ASLSs designed for the same missing piece of rabbit tibia; these differed in terms of the crossing angle of the struts in the outer lattice and were exposed to quasi-uniaxial compression. The results show that the ASLS with outer struts that intersect at 60° (the angle between the compression direction and the strut axes is 30°) is more flexible compared to the ASLS with outer struts that intersect at 90° (the compression direction and the strut axes are colinear), even though its porosity is lower and volume is bigger.

1. Introduction

Since the early days of replacing load-bearing parts of the human body with different kinds of implants, metals have been one of the most preferred materials [1]. Some metals are biofriendly, have good strength and corrosion resistance, and have many other qualities which make them suitable and one of the best choices for the replacement of body parts with load-bearing applications [2]. However, since the strength and stiffness of metal alloys that are usually applied for bone implants (such as medical-grade steel and titanium alloys) are far higher than the corresponding mechanical properties of human or animal bone, the long-term use of metal implants can generate some unwanted drawbacks. One major drawback is a phenomenon called stress shielding, which occurs when implants have higher elastic modulus and tensile strength than the bones to which they are connected. Since the implants bear most of the load, reduction in bone density (osteopenia) occurs. With titanium, this is very much the case, as its mechanical properties are very different from bone properties. This is why a lot of research has focused on mimicking the mechanical properties of cancellous bone with titanium (Ti6Al4V) through creating lattice structure designs. Generally, there are three classes of lattice structures used in biomedical engineering: strut-based structures, triply periodic minimal-surface (TPMS) skeletal structures [3], and TPMS sheet structures [4]. Strut-based structures are made from struts combined in different ways, generating multiple strut-based topologies. Some of the most well-known ones are based on centered cubic (BCC) topology (Figure 1). TPMS skeletal and TPMS sheet structures have mathematically defined architectures. Distefano et al. [4] and Maconachie et al. [5] gave a good and easily understandable classification of lattice structures used in biomedical engineering. In addition, Milovanović et al. [6] also provided a comprehensive overview of different lattice structure designs.
Obviously, there are some lattice structure designs which are more custom and do not fall into the categories defined in previously mentioned articles. This paper will attempt to evaluate if (and how) the outer-strut orientation of a custom-made strut-based lattice scaffold (Ti6Al4V material) influences the mechanical properties of the scaffold. For this purpose, two strut orientations of the same scaffold design have been used, made with DLMS 3D printing technology. This scaffold is a custom-made scaffold first presented in paper [7], made specifically for the case of real-life rabbit surgical applications. As such, it can be classified in the group of scaffolds with strut-based structure, but it does not fall under any specific topology of this group (presented in the studies by Distefano et al. [4] and Maconachie et al. [5]).
Since modern medicine and bioengineering have seen more and more focus being put on creating tissues and bones tailored to specific patients [8,9], some technologies, such as additive manufacturing, have come up as the best choice for this purpose. In addition, through additive manufacturing, implants can be customized to excellently resemble natural tissue [10,11]. Looking at the reviews on the topic of biomedical implants focusing on biomedical scaffolds, review articles [4,5,12] give a good starting point into the research. The study of Maconachie et al. [5] focused on the scaffolds made with SLM 3D printing technology. One of the conclusions, demonstrated through regression analysis, showed a positive correlation between relative density and the strength of the scaffold. On the other hand, Distefano et al. [4] focused on the review of titanium scaffolds and their mechanical and surface roughness properties. The authors concluded that it was hard to determine which pore size of the scaffolds should be employed, as the reported data from the literature ranged from 100 to 1000 µm; however, the relative density of the scaffolds (at least for the Gibson–Ashby model [13]) should be under 30%. Tyagi and Manjaiah [12] presented an overview of titanium-based lattice structures. The authors talked about the geometrical errors which could be expected and discussed the variations in lattice parameters and the effects those variations could have. Other research has focused on the topic of the mechanical properties and functionality of scaffolds depending on their design [6,14,15,16]. Scaffold geometry and porosity are depicted as the scaffold characteristics which most affect mechanical properties. However, material composition, surface modification, and manufacturing processes can also have a great impact on scaffold properties.
Different additive manufacturing technologies have been utilized for producing lattice structures. Several studies have experimented with the Selective Laser Melting (SLM) technique for producing Ti6Al4V scaffold materials [16,17,18,19]. Hudak et al. [16] experimented with scaffolds different from each other in terms of pore size and structure topology. The lowest weight and highest porosity were achieved with a trabecular structure and 600 µm pore size, but the scaffolds with 200 µm pore size and a cubic structure achieved the best mechanical properties. Dhiman et al. [17] fabricated Ti6Al4V scaffold materials with SLM technology and analyzed it through finite element (FE) analysis. The authors noted that the failure of the scaffold structures was a result of micro-porosities formed during the fabrication process. The microporosities were attributed to improper melting along a plane inclined at a 45° angle, which was also reported in other studies (dealing with other additive manufacturing techniques) [20,21]. Loginov et al. [18] found that compressive offset stress (σ0.2) decreased 12 times across the porosity range of 50% to 80% (ranging from 138 to 11 MPa). Mondal et al. [19] produced different scaffold designs with approximately 65% porosity. The scaffolds’ modulus of elasticity closely matched the ones of the human bone.
The importance of surface roughness in additive manufactured parts is greatly documented in scientific papers [22]. Dong et al. [23] investigated how electrochemical polishing and chemical etching methods, used as post-process treatments, improve the surface finish of lattice structures made from Ti6Al4V manufactured with direct metal laser sintering (DMLS). The findings of this paper suggest that the removal rate at the edges is more important. In addition, it was determined that the more material removed with post-processing processes, the better the surface finish. Dzogbewu [24] focused on the production of lattice structures using rhombic and diagonal nodes. The structures were produced with laser powder-bed fusion manufacturing technology. The average elastic modulus values for rhombic and diagonal lattice structures were 5.3 GPa and 5.1 GPa, respectively. Yan et al. [25] extensively explored the microstructural characteristics and mechanical attributes of AlSi10Mg periodic cellular lattice structures. These lattice structures were produced through direct metal laser sintering (DMLS) and varied in both volume fraction (ranging from 5% to 20%) and unit cell size (ranging from 3 mm to 7 mm). Alkentar and Mankovits [26] studied the deviations between the designed lattice structure and the 3D-printed ones. The DMLS technique was used for manufacturing Ti6Al4V lattice structures. It was determined that the accuracy of the printing process becomes lower as the complexity of the shapes of the unit cells increases. Crupi et al. [27] used Titanium Ti64 in their study, produced with DMLS technology. The authors concluded that DMLS technology offers high design flexibility depending on the application. Mechanical properties of the lattice structures increase with the increase in strut diameter, strut aspect ratio, and relative density, but decrease with the increase in unit cell size.
As can be seen, a lot of research has already been completed on conventional lattice structures made from different materials and different manufacturing techniques. However, there still exists the need to further the research already undertaken, as well as to investigate some designs which do not fall into conventionally established categories of lattice structures [4,5,6]. One such structure, called anatomically shaped lattice scaffold (ASLS) hereinafter, will be investigated in terms of its mechanical properties. The investigated ASLS was made from Ti6Al4V material and was manufactured with DMLS technology. As the ASLS was meant for bearing quasi-uniaxial compression in rabbits’ legs, compression testing was conducted. The real load for such cases cannot be considered as an ideal uniaxial compression, but the dominant portion of the load can be considered almost uniaxial (that is why the designation of quasi-uniaxial will be used in the study). This research represents a logical extension of the prior work undertaken by the authors of [28] which predominantly centered on the quasi-elastic characteristics of the ASLS model manufactured via Electron Beam Melting (EBM) technology. However, it is relevant to note that the earlier study extensively explored the quasi-elastic attributes of the ASLS model. In the present study, the primary focus will be directed towards assessing the influence of varying strut orientations within the ASLS model on its mechanical properties, thereby enhancing our understanding of this lattice structure.

2. Materials and Methods

2.1. ASLS Design

ASLSs were shaped in accordance with a missing piece from a traumatized rabbit tibia caused by a proximal diaphyseal fracture (Figure 2 [7]).
The ASLS models used in this study were designed in Catia CAD software (version V5R18) and meant to be used in real-life surgical applications. The ASLS models were made from inner, outer, and cross struts. The inner and cross struts had a diameter of 0.32 mm, and the outer ones a diameter of 0.4 mm, as the outer struts bear the primary load. The ASLS models are presented in Figure 3.
For the same shape and volume of the missing piece of bone, two ASLSs were created with two different strut orientations. The first one (ASLS×60°) featured the struts in the outer lattice structure crossing at an angle of 60° to each other (α angle = 60°), i.e., the axes of the outer struts were inclined 30° regarding the direction of the typical force that stresses the bone (γ angle = 30°), which is collinear with the so-called mechanical axis of the tibia (Figure 4a). The second (ASLS×90°) had the outer struts crossing each other at α = 90°, and half of them oriented in the direction of the typical force that is exerted on the bone γ = 0° (i.e., the direction of the so-called mechanical axis of the tibia) (Figure 4b). Figure 4c, d represent samples of the ASLS models after compression testing.
The ASLS models were made to be used in a real surgical application for replacing a piece of rabbit tibia bone (Figure 2), and as such they had to be made according to the needed dimensions. This made the models very small, as the height of the scaffold was only 10 mm, and the width was about 8 mm (Figure 5). The outer and inner struts were made to follow the shape of the bone that was to be replaced by the scaffolds, which made the geometry of said scaffolds even more difficult to manufacture.
The porosity of the ASLS models was calculated as a ratio of the ASLS volume (strut volume) and the volume of the missing piece of bone which the ASLS should occupy (which was 220 mm3). For ASLS×60°, porosity was calculated to be 82.7% (as the volume of the scaffold was 38 mm3), and for ASLS×90°, porosity was 87.8% (as the volume of the scaffold was 26.72 mm3). Figure 4 shows that the apparent difference in porosity may seem more substantial than the calculated 5.1% (87.8–82.7%). However, it is essential to consider that the porosity calculation was based on the volume of bone the scaffold was intended to replace (220 mm3). This volume significantly exceeded the actual volumes of the scaffolds, which were 38 mm3 for ASLS×60° and 26.72 mm3 for ASLS×90°. Directly comparing the volumes of the two scaffolds revealed a more nuanced perspective. If the volume of ASLS×90° was used as a reference, ASLS×60° took up 42% more volume than ASLS×90°.

2.2. Manufacturing and Testing the ASLS

Considering the complexity of the ASLS geometry, it was decided to manufacture the ASLS models with two additive manufacturing technologies: Electron Beam Melting (EBM) [28] and direct metal laser sintering (DMLS). This paper reports on the measurements of the deformation of ASLSs made by DMLS that were exposed to quasi-uniaxial compression load (in the direction of the mechanical axis of the bone). Given the distinctive design of the lattice structure and the complex geometry of the compression plate seats (Figure 6c), the testing deviates from the characteristics of a theoretical or standard uniaxial load. Nevertheless, the primary objective of the experimental design is to replicate a real-world load scenario, approximating a compression load case that the ASLS typically encounters in practice. The ASLSs that were manufactured using DMLS technology were made on an EOSINT M280 (EOS GmbH, Krailling, Germany) (400 W) machine (Table 1). DLMS is a widely used additive manufacturing process which enables the fabrication of complex metal parts with high levels of detail and accuracy. DMLS technology uses a high-powered laser which selectively sinters particles of metal powder and fuses layers of these metal powder sintered areas following the geometry of the CAD model. The material used for manufacturing the ASLS models was titanium alloy Ti6Al4V powder (EOS Ti 64 powder—EOS GmbH, Krailling, Germany). The chemical composition and mechanical properties of the material are presented in Table 2.
The mechanical properties of Ti64 parts manufactured by DMLS that were not heat-treated after sintering, as was the case with the ASLSs we tested, are given in Table 3, referring to the EOSINT material datasheet.
Compression testing was performed on a Shimadzu Table-top AGS-X 10 kN universal testing machine (Shimadzu, Kyoto, Japan), which is presented in Figure 6a. The characteristics of the machine are displayed in Table 4. Because of the custom and unusual geometry of the scaffolds, a specialized custom-made tool with a seating mechanism was developed. This tool is presented in Figure 6b and was used during the compression tests to seat the scaffolds in a stable way.
The testing phases resulted in force–stroke points (used for creating the force–stroke diagram), which were recorded in 10-millisecond intervals. The TrapeziumX UTM software (version 1.4.0, which was used with the universal testing machine) was not able to provide a stress–strain diagram, as the ASLS did not fall under any standard specimen category, in addition to the cross sections of the ASLS being anisotropic. Because of this, the approximation of the stresses in the ASLSs was completed with an average cross-sectional area based on the multiple cross sections of the CAD model. Cross sections were made normal to the compression axis. For ASLS×60°, 20 cross sections with 0.5 mm distance to each other were used. The average value for the cross-sectional area for ASLS×60° was calculated to be A_avg60° = 3.61 mm2. ASLS×90° was easier to calculate, since half of the struts were collinear to the compression axis, so only one cross section could have been used. Because of this, the area of the cross section was A_90° = 1.52 mm2. Figure 7a shows a characteristic plane that was used to create and calculate the cross section of ASLS×90°, and Figure 7b shows a series of planes that were used to build and calculate a series of corresponding cross sections of ASLS×60°.
The ASLS models were also subjected to analyses of outer-strut diameter accuracy using calipers, and a visual examination of the scaffold surface microstructure was conducted through magnified images captured with a digital microscope. Due to the absence of dedicated equipment for a comprehensive microstructural analysis, the assessment was limited to visual observations.

3. Results and Discussion

Microscopic analysis of the ASLS models (Figure 8) revealed distinct characteristics in their structure. ASLS×90° exhibited struts composed of numerous small particles of titanium joined through DMLS technology, while ASLS×60° presented a relatively smoother surface on the struts. Further, measurements of the outer-strut diameters revealed that ASLS×90° had a manufactured outer-strut diameter of 0.37 (±0.03) mm, with the majority of outer struts being under the modeled 0.4 mm outer-strut diameter. ASLS×60° had a manufactured outer-strut diameter of 0.42 (±0.01) mm, with the majority of outer struts being over the modeled 0.4 mm.
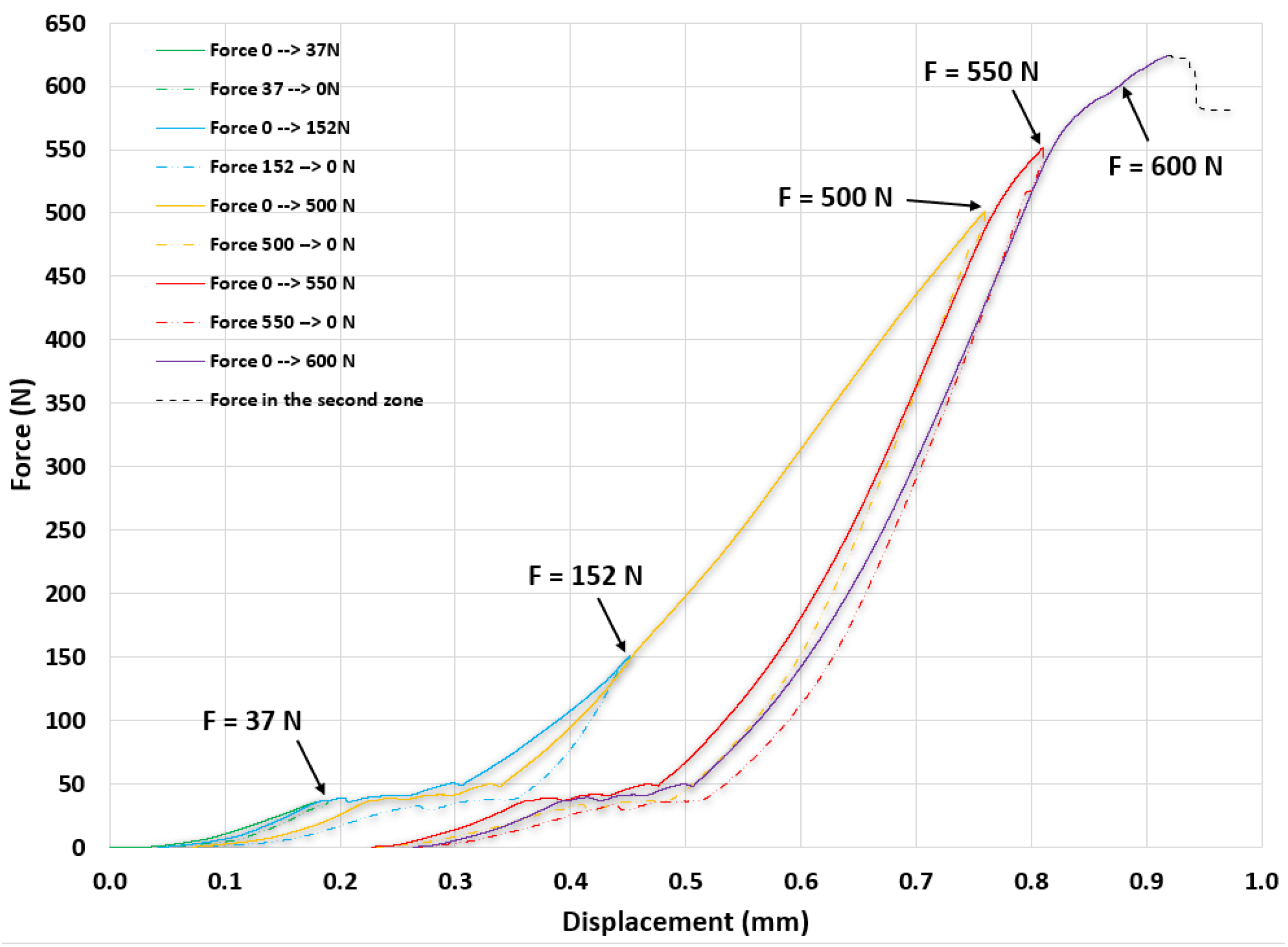
The characteristic stages of deformation under the quasi-uniaxial compression load (force–stroke diagram F(x)) which were noticed during the same measurements where similar ASLSs (ASLS×60°) manufactured with EBM technology were subjected to the same compression force [28] were also noticed here for both strut orientations (Figure 9). As all stages of the ASLS force–stroke (force–displacement) diagram have already been explained in detail in the authors’ previous paper [28], only a brief overview will be presented here. The first zone exhibited quasi-elastic deformation, and in the second zone, the rupture of scaffold struts occurred.
In the scaffold setting-up stage (first zone), the scaffold did not bear any load, it only implied the setting up in the seating mechanism of the custom tool. In the first compression stage, an almost linear relationship between the compression stroke and the reactive force of the scaffold was evident. The second stage of compression was characterized by an almost constant reactive force of the scaffold (“force plateau”), and this stage can be named as “elastic creeping” [28]. In this stage of compression, the reactive force of ASLS×90° increased from 34 N to 44 N, and from 36 N to 49 N for ASLS×60°. These increases represented modest 2.4% and 2% changes, respectively, when considering the maximum achieved forces for the ASLS models, which were 400 N and 624 N, respectively. During decompression (i.e., the decrease in compressive force), the scaffold returns to its original height and during this return it is noticeable that the height returns, again with a slight decrease in force. The “force plateau” also exists during decompression, with a very similar shape as during compression. This indicates that the deformation is mostly reversible, even in the second stage. For this reason, it seems as if the structure of the ASLS is elastically creeping. After the second stage of compression, the third stage of compression began, which exhibited a quasi-linear relationship between the reactive force and the deformation of the scaffold. In addition, the same “elastic creeping” phenomenon (as explained in [28]) was also evident here. A series of compression and decompressions cycles of the ASLS models were completed, and each increase in compression force caused a further increase in permanent deformation of the ASLS (Figure 10 and Figure 11). Following the initial exposure of the ASLS to the upper load limit characteristic of each of the three compression phases, a noticeable increase in scaffold stiffness was observed compared to its pre-loaded state. Subsequent loading and relaxation cycles within each phase exhibited quasi-elastic behavior, with deformations displaying nearly full reversibility. This property proves to be highly advantageous, especially in scenarios where the stiffness (rigidity) of the ASLS must be tailored to accommodate the specific load generated by a patient during the recovery process [28]. Such adjustments facilitate the controlled deformation of the bone graft inside the scaffold, thereby optimizing the rate of the ossification process.
As for the direct comparison of the mechanical properties of the ASLSs made by DMLS with different orientations, here are some observations. ASLS×90° achieved a maximal reactive force of 400 N, while ASLS×60° surpassed this with a maximal reactive force of 624 N. Just for reference, the ASLS model investigated in our previous work [28] made with EBM technology achieved a maximal reactive force of 1300 N. In the first stage of compression for ASLS×90°, the reactive force increased from 2 N to 34.7 N, representing 8.2% of the maximal force. The third stage of compression for this model, where a quasi-linear relationship between the reactive force and the scaffold deformation was observed, spanned from 44.3 N to 400 N, constituting approximately 89.4% of the maximal reactive force. On the other hand, for ASLS×60°, the first stage of compression ranged from 0.8 N to 36.5 N, constituting 5.7% of the maximal force. The third stage of compression extended from 49.1 N to 624 N, accounting for about 92% of the maximal reactive force. In the third stage of compression for ASLS×90°, the stroke ranged from 0.3 mm to 0.79 mm, equivalent to 73.8% of the total stroke. For ASLS×60°, the third stage of compression ranged from 0.3 mm to 0.92 mm, accounting for 69.82% of the total stroke. A comparison of the percentages of reactive forces and strokes in each compression stage for both ASLS models, with respect to the maximum reactive force and total stroke, revealed remarkable similarities. Figure 12 illustrates that the compression stages for the ASLS models are highly comparable, and no significant differences can be observed.
Another interesting analysis that can be made from these data concerns the energy dissipation during cycling loading (compression–decompression), presented in Figure 13 and Figure 14. It is possible to calculate the work needed to compress the ASLS structure and dissipated energy after each decompression cycle (after hardening the ASLS structure).
The return leg of the work diagram indicates the return to the level of work that is irrecoverably invested in the elastic and plastic deformation of the ASLS structure after decompression, and the part is converted to heat. The level of work performed at which the breaking point of the diagram is located represents the amount of dissipated energy.
Figure 15 indicates that ASLS×90° tends to dissipate more energy while it deforms compared to ASLS×60°.
However, due to the different orientation of the struts in the ASLS structures, the cross-sectional area of the scaffolds varied, potentially influencing the comparison of stress between the two ASLS models. Given the challenge in calculating the exact stress of the ASLS models, an approximation was employed. The approximative normal stress within the ASLS structure was determined as the ratio of the reactive force to the average cross-sectional area, as expressed in Equations (1) and (2):
σ n a p p r o x _ A S L S × 90 ° = F A S L S × 90 ° A n _ a v g _ A S L S × 90 °
σ n a p p r o x _ A S L S × 60 ° = F A S L S × 60 ° A n _ a v g _ A S L S × 60 °
where
  • F A S L S × 90 ° is the pressure force acting upon ASLS×90°;
  • F A S L S × 60 ° is the pressure force acting upon ASLS×60°;
  • A n _ a v g _ A S L S × 90 ° is the average (approximatively taken) area of the ASLS×90° structure cross section, which is normal to the direction of the compression force (Figure 7a);
  • A n _ a v g _ A S L S × 60 ° is the average (approximatively taken) area of the ASLS×60° structure cross section, which is normal to the direction of the compression force (Figure 7c).
In this way, the calculated approximated maximal stress (ultimate compression strength) of ASLS×90° was determined to be 263.17 N/mm2, whereas for ASLS×60°, it was 172.85 N/mm2.
σ n U C S a p p r o x _ A S L S × 90 ° = F f r a c t u r e _ A S L S × 90 ° A n _ a v g _ A S L S × 90 ° = 400.019   N 1.52   m m 2 = 263.171 N m m 2
σ n U C S a p p r o x _ A S L S × 60 ° = F f r a c t u r e _ A S L S × 60 ° A n _ a v g _ A S L S × 60 ° = 623.998   N 3.61   m m 2 = 172.85 N m m 2
where
  • F f r a c t u r e _ A S L S × 90 ° is the force which causes the fracturing of the first strut of ASLS×90°;
  • F f r a c t u r e _ A S L S × 60 ° is the force which causes the fracturing of the first strut of ASLS×60°;
  • σ n U C S a p p r o x _ A S L S × 90 ° is the ultimate compression strength of the ASLS×90° structure;
  • σ n U C S a p p r o x _ A S L S × 60 ° is the ultimate compression strength of the ASLS×60° structure.
This finding is as expected, as ASLS×60° exhibited a 42% higher volume compared to ASLS×90° (if the volume of ASLS×90° is used as a reference). Because of the higher volume of ASLS×60°, the force was distributed on the larger cross-sectional area, which produced a smaller stress value. This implies that, with a smaller volume and, consequently, reduced material usage, one can achieve a superior ultimate compression strength for ASLSs, just by using optimal outer-strut orientation for the specific load case. When it comes to the stiffness of the ASLS structure (KASLS), which is defined as the ratio of the force and the corresponding deflection (deformation) of the structure, ASLS×60° demonstrated a superior stiffness compared to ASLS×90° in the third stage of deformation (see Figure 16a,b).
K A S L S × 90 ° = F A S L S × 90 ° X A S L S × 90 ° N m m
K A S L S × 60 ° = F A S L S × 60 ° X A S L S × 60 ° N m m
where
  • K A S L S × 90 ° is the stiffness of the ASLS×90°;
  • K A S L S × 60 ° is the stiffness of the ASLS×60°.
As previously mentioned, the TrapeziumX UTM software (version 1.4.0) employed for testing did not provide a stress–strain curve due to the anisotropic nature of the ASLS cross sections. Instead, the software generated a force–stroke (i.e., force–displacement) diagram. To address this limitation, an approximation of the stress–strain diagram was undertaken. For each recorded force point, stress was calculated by dividing the force by the average cross-sectional area of the ASLS models. Strain (ε) was then determined by dividing the stroke at each recorded point by the initial length of the ASLS model (10 mm). This methodology allowed the generation of an approximated stress–strain diagram. Subsequently, using data points from the third stage of compression where quasi-linear elastic behavior was evident, a linear trendline was fitted to determine the elasticity coefficient (Ec) of the ASLS structure, which can be interpreted as a kind of modulus of elasticity of ASLS, but as an object, and not as a modulus of elasticity of the ASLS strut material. This term, elasticity coefficient (Ec), is introduced only for the purpose of comparing the performance of the material–geometry pair, which act together to resist the external load. By analyzing the third stage of deformation, the calculated ratio of the normal stress (approximately calculated according to expressions 1 and 2) and strain (i.e., relative deformation) of scaffold ASLS×90° (as an object) was 4866 N/mm2 (Figure 17a), and for ASLS×60° it was 3325 N/mm2 (Figure 17b). This underscores the significance of optimal strut orientation in ASLSs for achieving targeted rigidity (compressibility) of the structure in the required direction. Importantly, this result highlights that, even with the utilization of less material in manufacturing, the careful selection of strut orientation can lead to stiffer structures. Just for reference, when observing the elasticity coefficient of the same ASLS×60° model manufactured with EBM technology [28], when a force of around 500 N was applied (which is comparable to the force presented here for models made from DMLS), the elasticity coefficient was 9738 N/mm2.
To delve deeper into the comparison of the two ASLS models, a focused examination of the first compression stage was undertaken. This stage was chosen due to the minimal plastic deformation that occurred during this stage, allowing for a more accurate assessment of the stiffness and the elasticity coefficient of the ASLS structures. The isolated exploration of this stage also enabled the use of finite element analysis (FEA), as the plastic deformation in the ASLS models during this stage was nearly nonexistent. This approach ensured more reliable and accurate results from the FEA, an advantage that would be compromised if, for instance, the third stage of compression was utilized, given the presence of permanent small plastic deformation in these structures with increased load. Figure 18a,b present force–displacement diagrams of the first stage of compression for both ASLS models.
Figure 19a,b display approximated stress–strain diagrams, for the same stage of compression, for both ASLS models.
Analyzing the measurement results, it is possible to notice the following:
1.
The value of the elasticity coefficient of the ASLS structure (as an object, and not a material) is much lower (from 20 to 40 times lower) than the modulus of elasticity of the test specimen produced by the same process (DMLS) from the same material (Ti64 powder). This can be explained by the fact that in the case of the test specimen (Figure 20a), the neck of the specimen is 5 mm in diameter, i.e., the area of the specimen cross section (19.635 mm2) is much greater (156 times) than the area of an ASLS strut (~0.126 mm2) (Figure 20b). A vast number of Ti-alloy powder particles in every cross-sectional layer and between the layers are joined. This causes the inner structure of the test specimen (D = 5 mm), which is made of Ti-alloy powder from DMLS, to appear much more homogenous than the inner structure of the ASLS struts (D ≅ 0.4 mm), that is, it appears very similar to the specimen made of the same Ti alloy, but conventionally, due to being cut from the rolled plate of the same Ti alloy.
That is why the modulus of elasticity of both test specimens, one made of Ti64 powder sintered by the DMLS process, and another, made conventionally, is almost the same (104 GPA—110 Gpa). This similarity in homogeneity of the material is even more apparent if the specimen made from Ti-alloy powder is being additionally shot-peened and aged afterwards. In the case of the ASLS, we found, however, the strut diameter was only ~0.4 mm, which is at the limit of the minimum wall thickness of parts that can be fabricated by DMLS, as claimed in the EOSINT material data sheet (min. wall thickness approx. 0.3–0.4 mm). In Figure 8, looking at the outside of the strut, it is possible to see that such a slender structure is formed from a series of separately formed macro-particles (fused or sintered and from particles of Ti-alloy powder) sintered with each other in the direction of the axis of the strut (Figure 20b). Tests, as well as comparative analyses using the finite element method (which are not shown here in the paper), show that the structures of slender struts with such a small cross section are not characterized by that level of homogeneity of material. Consequently, the isotropy of mechanical properties (inherent to the specimen of D = 5 mm) ultimately reflects the fact that such struts do not have anywhere near as high an elasticity coefficient as a test specimen with a diameter of 5 mm, although both the test specimen and the strut are made from the same Ti64 powder using the same DMLS process.
2.
The value of the elasticity coefficient (Ec) of the ASLS lattice structure depends to a significant extent on two angles: (1) the angle at which the struts cross (α), and the angle (γ) that is between the load direction and the axis of the struts in the outer layer of the ASLS (Figure 4). Additionally, one can observe that the mutual ratio of the elasticity coefficient of the ASLS×90° and ASLS×60° structures differs depending on which stage of quasi-reversible deformation the elasticity coefficient is being sampled in. In the stage of quasi-reversible deformation, which is characterized by a higher degree of deformation (compression) of the scaffold (150 ≤ F ≤ 400), the ratio of the elasticity coefficient of these structures is smaller (Equations (7) and (8)):
E c A S L S × 90 ° E c A S L S × 60 ° 0 F 30 N = 2708 N m m 2 921 N m m 2 = 2.94
E c A S L S × 90 ° E c A S L S × 60 ° 150 F 400 N = 4486 N m m 2 3325 N m m 2 = 1.35
Bearing in mind the presented results, in the future, a special challenge would be to explore the dependency of the elasticity coefficient of the macro-lattice structure of a bone scaffold (e.g., a kind of generic shape of ASLS for the recovery of the missing pieces of so-called long bones) on the angle at which the struts in a scaffold’s outer layer cross, the angle that forms the direction of force action (the direction of the mechanical axis of the long bone), and the struts in a scaffold’s outer layer.

4. Conclusions

Building upon the authors’ previous work [28], this study delved into the influence of the outer-strut crossing angle in custom anatomically shaped lattice scaffolds (ASLSs) on the mechanical properties of ASLSs. Both ASLS models demonstrated three stages of compression analogous to the ASLS×60° model, constructed from the same material but using Electron Beam Melting (EBM) technology [28]. During the third stage of compression, indicative of quasi-elastic behavior, ASLS×90° and ASLS×60° reached approximately 89.3% and 92.2% of their respective maximal reactive forces. In terms of stroke (displacement), the third compression stage represented 73.8% of the total stroke for ASLS×90° and 69.82% for ASLS×60°. Furthermore, a consistent “elastic creeping” phenomenon manifested in the study, mirroring the observations in previous experiments. Conducting a series of compression and decompression tests revealed that each increment in compression force not only led to heightened stiffness but also induced additional permanent deformation in the anatomically shaped lattice scaffolds (ASLSs), surpassing the pre-loaded state.
The overarching observation of the mechanical properties of ASLS models is that an increased strut crossing angle enhances the mechanical properties of ASLS models. However, it is essential to note that the ASLS models, not conforming to standard compression testing specimens due to their use in real surgical operations as replacements for rabbit tibia bones, had anisotropic cross sections. To circumvent this, the study compared the approximated maximal stress and approximated elasticity coefficient. The results indicate that ASLS×90° achieved a higher ultimate compression strength (263.15 N/mm2) and elasticity coefficient (4866 N/mm2) in comparison to ASLS×60°, which exhibited a maximal compression strength and elasticity coefficient of 172.85 N/mm2 and 3325 N/mm2, respectively. This finding is particularly intriguing considering that the volume of ASLS×90° was 42% smaller (if the volume of ASLS×90° is used as a reference) than that of ASLS×60° (26.72 mm3 and 38 mm3, respectively). Just for reference, the porosity of the ASLS×90° model was 87.8%, and 82.7% for ASLS×60° (when calculated with the volume of the part of the bone which the ASLS models would replace, which was 220 mm3).
Regarding the construction and application of the scaffold, which should be adapted to the load that the specific patient’s bone is subjected to during recovery, the research clearly showed that by changing the angle at which the struts of the scaffold cross, as well as adjusting the angle between the axes of these struts and the direction of the dominant load of the scaffold during bone tissue recovery, it is possible to relatively precisely modulate the stiffness of the scaffold and thereby ensure the targeted compression of the bone graft, in turn making the recovery of the patient’s bone tissue more efficient.

Author Contributions

Conceptualization, R.T. and M.S.; methodology, R.T., M.S. and J.A.; software, J.A. and R.T.; validation, D.M. and J.R.S.; formal analysis, J.A., R.T. and J.R.S.; investigation, J.R.S. and M.S.; resources, M.S.; data curation, R.T.; writing—original draft preparation, R.T. and J.A.; writing—review and editing, M.S., D.M. and J.R.S.; visualization, M.S.; supervision, D.M.; project administration, J.R.S. and D.M.; funding acquisition, M.S. All authors have read and agreed to the published version of the manuscript.

Funding

The research activities are financed by the Ministry of Science, Technological Development and Innovation of the Republic of Serbia (Contract No. 451-03-47/2023-01/200109).

Data Availability Statement

The raw data supporting the conclusions of this article will be made available by the authors on request.

Conflicts of Interest

The authors declare no conflicts of interest.

References

  1. Saini, M. Implant Biomaterials: A Comprehensive Review. World J. Clin. Cases 2015, 3, 52. [Google Scholar] [CrossRef]
  2. Katti, K.; Verma, D.; Katti, D. Materials for Joint Replacement. In Joint Replacement Technology; Elsevier: Amsterdam, The Netherlands, 2008; pp. 81–104. [Google Scholar] [CrossRef]
  3. Jin, J.; Wu, S.; Yang, L.; Zhang, C.; Li, Y.; Cai, C.; Yan, C.; Shi, Y. Ni–Ti Multicell Interlacing Gyroid Lattice Structures with Ultra-High Hyperelastic Response Fabricated by Laser Powder Bed Fusion. Int. J. Mach. Tools Manuf. 2024, 195, 104099. [Google Scholar] [CrossRef]
  4. Distefano, F.; Pasta, S.; Epasto, G. Titanium Lattice Structures Produced via Additive Manufacturing for a Bone Scaffold: A Review. J. Funct. Biomater. 2023, 14, 125. [Google Scholar] [CrossRef]
  5. Maconachie, T.; Leary, M.; Lozanovski, B.; Zhang, X.; Qian, M.; Faruque, O.; Brandt, M. SLM Lattice Structures: Properties, Performance, Applications and Challenges. Mater. Des. 2019, 183, 108137. [Google Scholar] [CrossRef]
  6. Milovanović, J.; Stojković, M.; Trifunović, M.; Vitković, N. Review of bone scaffold design concepts and design methods. Facta Univ. Ser. Mech. Eng. 2023, 21, 151. [Google Scholar] [CrossRef]
  7. Stojkovic, M.S.; Korunovic, N.D.; Trajanovic, M.D.; Milovanovic, J.R.; Trifunovic, M.B.; Vitkovic, N.M. Design study of anatomically shaped lattice scaffolds for the bone tissue recovery. In Proceedings of the 3rd South-East European Conference on Computational Mechanics—SEECCM III, Kos Island, Greece, 12–14 June 2013; ECCOMAS: Athens, Greece, 2013; pp. 381–393. [Google Scholar] [CrossRef]
  8. Stojković, M.; Trifunović, M.; Milovanović, J.; Arsić, S. User defined geometric feature for the creation of the femoral neck enveloping surface. Facta Univ. Ser. Mech. Eng. 2022, 20, 127. [Google Scholar] [CrossRef]
  9. Stojković, M.; Veselinović, M.; Vitković, N.; Marinković, D.; Trajanović, M.; Arsić, S.; Mitković, M. Reverse Modelling of Human Long Bones Using T-Splines—Case of Tibia. Teh. Vjesn.—Tech. Gaz. 2018, 25, 1753–1760. [Google Scholar] [CrossRef]
  10. Raheem, A.A.; Hameed, P.; Whenish, R.; Elsen, R.S.; Jaiswal, A.K.; Prashanth, K.G.; Manivasagam, G. A Review on Development of Bio-Inspired Implants Using 3D Printing. Biomimetics 2021, 6, 65. [Google Scholar] [CrossRef]
  11. Zhang, X.; Liu, S.; Liu, Y.; Guo, H.; Shi, W. Titanium Alloy Fabricated by Additive Manufacturing for Medical Applications: Obtaining, Characterization and Application—Review. Metals 2023, 13, 462. [Google Scholar] [CrossRef]
  12. Tyagi, S.A.; Manjaiah, M. Additive Manufacturing of Titanium-Based Lattice Structures for Medical Applications—A Review. Bioprinting 2023, 30, e00267. [Google Scholar] [CrossRef]
  13. Gibson, L.J.; Ashby, M.F. Cellular Solids—Structure and Properties; Cambridge University Press: Cambridge, UK, 1997. [Google Scholar]
  14. Gürkan, D.; Sagbas, B.; Dalbayrak, B. Investigating Mechanical and Biological Properties of Additive Manufactured Ti6Al4V Lattice Structures for Orthopedic Implants. J. Mater. Res. 2023, 38, 507–518. [Google Scholar] [CrossRef]
  15. Bari, K. Design, Simulation, and Mechanical Testing of 3D-Printed Titanium Lattice Structures. J. Compos. Sci. 2023, 7, 32. [Google Scholar] [CrossRef]
  16. Hudák, R.; Schnitzer, M.; Králová, Z.O.; Gorejová, R.; Mitrík, L.; Rajťúková, V.; Tóth, T.; Kovačević, M.; Riznič, M.; Oriňaková, R.; et al. Additive Manufacturing of Porous Ti6Al4V Alloy: Geometry Analysis and Mechanical Properties Testing. Appl. Sci. 2021, 11, 2611. [Google Scholar] [CrossRef]
  17. Dhiman, S.; Singh, M.; Sidhu, S.S.; Bahraminasab, M.; Pimenov, D.Y.; Mikolajczyk, T. Cubic Lattice Structures of Ti6Al4V under Compressive Loading: Towards Assessing the Performance for Hard Tissue Implants Alternative. Materials 2021, 14, 3866. [Google Scholar] [CrossRef]
  18. Loginov, Y.N.; Koptyug, A.; Popov, V.V.; Belikov, S.V.; Mukanov, G.; Golodnov, A.I.; Stepanov, S.I. Compression Deformation and Fracture Behavior of Additively Manufactured Ti–6Al–4V Cellular Structures. Int. J. Lightweight Mater. Manuf. 2022, 5, 126–135. [Google Scholar] [CrossRef]
  19. Mondal, P.; Das, A.; Mondal, A.; Chowdhury, A.R.; Karmakar, A. Fabrication of Ti-6Al-4V Porous Scaffolds Using Selective Laser Melting (SLM) and Mechanical Compression Test for Biomedical Applications. J. Inst. Eng. India Ser. D 2022, 103, 181–190. [Google Scholar] [CrossRef]
  20. Del Guercio, G.; Galati, M.; Saboori, A.; Fino, P.; Iuliano, L. Microstructure and Mechanical Performance of Ti–6Al–4V Lattice Structures Manufactured via Electron Beam Melting (EBM): A Review. Acta Metall. Sin. Engl. Lett. 2020, 33, 183–203. [Google Scholar] [CrossRef]
  21. Zhang, C.; Zhang, L.; Liu, L.; Lv, L.; Gao, L.; Liu, N.; Wang, X.; Ye, J. Mechanical Behavior of a Titanium Alloy Scaffold Mimicking Trabecular Structure. J. Orthop. Surg. Res. 2020, 15, 40. [Google Scholar] [CrossRef]
  22. Haque, R.; Sekh, M.; Kibria, G.; Haidar, S. Improvement of surface quality of ti-6al-4v alloy by powder mixed electrical discharge machining using copper powder. Facta Univ. Ser. Mech. Eng. 2023, 21, 063. [Google Scholar] [CrossRef]
  23. Dong, G.; Marleau-Finley, J.; Zhao, Y.F. Investigation of Electrochemical Post-Processing Procedure for Ti-6Al-4V Lattice Structure Manufactured by Direct Metal Laser Sintering (DMLS). Int. J. Adv. Manuf. Technol. 2019, 104, 3401–3417. [Google Scholar] [CrossRef]
  24. Dzogbewu, T.C. Laser Powder Bed Fusion of Ti6Al4V Lattice Structures and Their Applications. J. Met. Mater. Miner. 2020, 30, 68–78. [Google Scholar] [CrossRef]
  25. Yan, C.; Hao, L.; Hussein, A.; Young, P.; Huang, J.; Zhu, W. Microstructure and Mechanical Properties of Aluminium Alloy Cellular Lattice Structures Manufactured by Direct Metal Laser Sintering. Mater. Sci. Eng. A 2015, 628, 238–246. [Google Scholar] [CrossRef]
  26. Alkentar, R.; Mankovits, T. A Study on the Shape and Dimensional Accuracy of Additively Manufactured Titanium Lattice Structures for Orthopedic Purposes. Period. Polytech. Mech. Eng. 2022, 66, 336–343. [Google Scholar] [CrossRef]
  27. Crupi, V.; Kara, E.; Epasto, G.; Guglielmino, E.; Aykul, H. Static Behavior of Lattice Structures Produced via Direct Metal Laser Sintering Technology. Mater. Des. 2017, 135, 246–256. [Google Scholar] [CrossRef]
  28. Stojković, J.R.; Stojković, M.; Turudija, R.; Aranđelović, J.; Marinkovic, D. Adjustable Elasticity of Anatomically Shaped Lattice Bone Scaffold Built by Electron Beam Melting Ti6Al4V Powder. Metals 2023, 13, 1522. [Google Scholar] [CrossRef]
Figure 1. Strut-based lattice structure—centered cubic (BCC) topology.
Figure 1. Strut-based lattice structure—centered cubic (BCC) topology.
Metals 14 00219 g001
Figure 2. Position of the missing piece of traumatized rabbit tibia and its ASLS, with a magnified view. The ASLS should keep the bone graft in its cage.
Figure 2. Position of the missing piece of traumatized rabbit tibia and its ASLS, with a magnified view. The ASLS should keep the bone graft in its cage.
Metals 14 00219 g002
Figure 3. ASLS model where outer struts are colored green, cross struts blue, and inner struts yellow. (a) Front view of the ASLS model; (b) back view of the ASLS model.
Figure 3. ASLS model where outer struts are colored green, cross struts blue, and inner struts yellow. (a) Front view of the ASLS model; (b) back view of the ASLS model.
Metals 14 00219 g003
Figure 4. Models and samples of ASLSs with different strut orientations: (a) model of ASLS×60°; (b) model of ASLS×90°; (c) sample of ASLS×60° after completion of the compression test; (d) sample of ASLS×90° after completion of the compression test (the permanent deformation of the scaffold is obvious).
Figure 4. Models and samples of ASLSs with different strut orientations: (a) model of ASLS×60°; (b) model of ASLS×90°; (c) sample of ASLS×60° after completion of the compression test; (d) sample of ASLS×90° after completion of the compression test (the permanent deformation of the scaffold is obvious).
Metals 14 00219 g004
Figure 5. Dimensions of the missing piece of bone: (a) lateral view of the traumatized rabbit tibia; (b) isometric view showing the width of the missing piece of bone.
Figure 5. Dimensions of the missing piece of bone: (a) lateral view of the traumatized rabbit tibia; (b) isometric view showing the width of the missing piece of bone.
Metals 14 00219 g005
Figure 6. Compression testing setup: (a) Shimadzu Table-top AGS-X 10 kN universal testing machine; (b) testing setup; (c) specialized custom-made tool (compression plates) with seating mechanism; (d) ASLS×90° during compression test.
Figure 6. Compression testing setup: (a) Shimadzu Table-top AGS-X 10 kN universal testing machine; (b) testing setup; (c) specialized custom-made tool (compression plates) with seating mechanism; (d) ASLS×90° during compression test.
Metals 14 00219 g006
Figure 7. The cross section of the ASLS: (a) ASLS×90°; (b) series of cross sections of ASLS×60° (grey lines represent planes from which the cross sections were made); (c) one ASLS×60° cross section.
Figure 7. The cross section of the ASLS: (a) ASLS×90°; (b) series of cross sections of ASLS×60° (grey lines represent planes from which the cross sections were made); (c) one ASLS×60° cross section.
Metals 14 00219 g007
Figure 8. A magnified view of ASLS model struts in their real shape: (a) ASLS×90°; (b) ASLS×60°.
Figure 8. A magnified view of ASLS model struts in their real shape: (a) ASLS×90°; (b) ASLS×60°.
Metals 14 00219 g008
Figure 9. Characteristic zones and stages of compression of the scaffolds: (a) ASLS×90°; (b) ASLS×60°.
Figure 9. Characteristic zones and stages of compression of the scaffolds: (a) ASLS×90°; (b) ASLS×60°.
Metals 14 00219 g009
Figure 10. Series of compressions and decompressions administered to the ASLS×90° model on the universal testing machine.
Figure 10. Series of compressions and decompressions administered to the ASLS×90° model on the universal testing machine.
Metals 14 00219 g010
Figure 11. Series of compressions and decompressions done to the ASLS×60° model on the universal testing machine.
Figure 11. Series of compressions and decompressions done to the ASLS×60° model on the universal testing machine.
Metals 14 00219 g011
Figure 12. Comparison of the reactive force and stroke in the given compression stages for two ASLS models (ASLS×90° and ASLS×60°): (a) percentage of the reactive force in the given stage of compression, considering the maximal reactive force; (b) percentage of the stroke in the given stage of compression, considering the total stroke.
Figure 12. Comparison of the reactive force and stroke in the given compression stages for two ASLS models (ASLS×90° and ASLS×60°): (a) percentage of the reactive force in the given stage of compression, considering the maximal reactive force; (b) percentage of the stroke in the given stage of compression, considering the total stroke.
Metals 14 00219 g012
Figure 13. Diagrams of both force and cumulative work versus displacement in the first zone of deformation for two ASLS models: (a) ASLS×90°; (b) ASLS×60°.
Figure 13. Diagrams of both force and cumulative work versus displacement in the first zone of deformation for two ASLS models: (a) ASLS×90°; (b) ASLS×60°.
Metals 14 00219 g013
Figure 14. Diagrams of comparison of work invested for compression of ASLS and energy dissipated after its decompression for every compression–decompression cycle for two ASLS models: (a) ASLS×90°; (b) ASLS×60°.
Figure 14. Diagrams of comparison of work invested for compression of ASLS and energy dissipated after its decompression for every compression–decompression cycle for two ASLS models: (a) ASLS×90°; (b) ASLS×60°.
Metals 14 00219 g014
Figure 15. Dissipated energy trends versus relative deformation of ASLS during compression–decompression cycles for two ASLS models.
Figure 15. Dissipated energy trends versus relative deformation of ASLS during compression–decompression cycles for two ASLS models.
Metals 14 00219 g015
Figure 16. A part of the F(x) diagrams that are focused on the third stage of deformation (50 N ≤ F ≤ 500 N) can be used for determination of the ASLS stiffness in this stage of deformation: (a) F(x) for ASLS×90° (0.27 < dx < 0.75 mm) and (b) F(x) for ASLS×60° (0.34 < dx < 0.75 mm).
Figure 16. A part of the F(x) diagrams that are focused on the third stage of deformation (50 N ≤ F ≤ 500 N) can be used for determination of the ASLS stiffness in this stage of deformation: (a) F(x) for ASLS×90° (0.27 < dx < 0.75 mm) and (b) F(x) for ASLS×60° (0.34 < dx < 0.75 mm).
Metals 14 00219 g016
Figure 17. Approximated stress–strain diagrams for both ASLS models, with linear trendlines in the quasi-linear part of the diagrams taken from the third stage (150 N ≤ F ≤ 400 N) indicating elasticity coefficients of ASLSs: (a) ASLS×90°; (b) ASLS×60°.
Figure 17. Approximated stress–strain diagrams for both ASLS models, with linear trendlines in the quasi-linear part of the diagrams taken from the third stage (150 N ≤ F ≤ 400 N) indicating elasticity coefficients of ASLSs: (a) ASLS×90°; (b) ASLS×60°.
Metals 14 00219 g017
Figure 18. Parts of the F(x) diagrams that are focused on the first zone of deformation (0 N ≤ F ≤ 28 N) can be used for determination of ASLS stiffness in this zone of deformation: (a) F(x) for ASLS×90° (dx < 0.18 mm) and (b) F(x) for ASLS×60° (dx < 0.16 mm).
Figure 18. Parts of the F(x) diagrams that are focused on the first zone of deformation (0 N ≤ F ≤ 28 N) can be used for determination of ASLS stiffness in this zone of deformation: (a) F(x) for ASLS×90° (dx < 0.18 mm) and (b) F(x) for ASLS×60° (dx < 0.16 mm).
Metals 14 00219 g018
Figure 19. Approximated stress–strain diagrams for both ASLS models, with linear trendlines in the quasi-linear parts of the diagrams taken from the first stage of deformation (0 N ≤ F ≤ 28 N), i.e., elasticity coefficient of the ASLSs: (a) ASLS×90°; (b) ASLS×60°.
Figure 19. Approximated stress–strain diagrams for both ASLS models, with linear trendlines in the quasi-linear parts of the diagrams taken from the first stage of deformation (0 N ≤ F ≤ 28 N), i.e., elasticity coefficient of the ASLSs: (a) ASLS×90°; (b) ASLS×60°.
Metals 14 00219 g019
Figure 20. CAD models of standard specimen and ASLS strut for comparison. (a) CAD model of the standard Ti64 specimen shape fabricated by DMLS that is used for testing the mechanical properties of parts made by DMLS; (b) approximative CAD model of ASLS strut fabricated through DMLS.
Figure 20. CAD models of standard specimen and ASLS strut for comparison. (a) CAD model of the standard Ti64 specimen shape fabricated by DMLS that is used for testing the mechanical properties of parts made by DMLS; (b) approximative CAD model of ASLS strut fabricated through DMLS.
Metals 14 00219 g020
Table 1. EOSINT M280 DMLS printing machine basic data.
Table 1. EOSINT M280 DMLS printing machine basic data.
Basic DataValue
Dimensions (w × d × h)2200 mm × 1070 mm × 2290 mm
Weight1250 kg
Mains supply400 V
Max power consumption *5.5 kW
Wavelength of the laser1060–110 nm
Diameter of laser beam at building area100–500 µm
Positioning speed40–500 mm/s
Platform heating module operating temperature40–100 °C
Thinnest possible layer thickness20 µm
* We have no precise data about the energy consumption nor any other information about DMLS processing parameters that were applied for ASLS fabrication. The option “Material and parameter set” was selected as predefined “Titanium Ti64” and “M280 400 W Ti64 Speed”, respectively.
Table 2. Chemical properties of the EOSINT Ti64 (Ti6Al4V) powder used in the study.
Table 2. Chemical properties of the EOSINT Ti64 (Ti6Al4V) powder used in the study.
Chemical Composition
Aluminum (Al) 5.5–6.75%
Vanadium (V) 3.5–4.5%
Iron (Fe) < 0.3%
Oxygen (O) < 20%
Nitrogen (N) < 0.05%
Carbon (C) < 0.08%
Hydrogen (H) <0.015%
Table 3. Mechanical properties of the parts from Ti64_Speed 1.0 manufactured on the EOSINT M 280–400 W-type machine.
Table 3. Mechanical properties of the parts from Ti64_Speed 1.0 manufactured on the EOSINT M 280–400 W-type machine.
Mechanical PropertiesValue
Ultimate Tensile Strength1240 Mpa
Yield Strength, Rp0.21120 Mpa
Elongation at Break10%
Modulus of Elasticity *110 Gpa
Vickers Hardness320 HV5
* Tensile testing according to ISO 6892-1:2009 (B) Annex D; proportional test pieces; diameter of the neck area, 5 mm; original gauge length, 25 mm. Modulus of elasticity in vertical direction (z) (tensile direction).
Table 4. Shimadzu Table-top AGS-X 10 kN universal testing machine characteristics.
Table 4. Shimadzu Table-top AGS-X 10 kN universal testing machine characteristics.
BrandShimadzu
ModelTable-top AGS-X 10 kN
Weight85 kg
Power1.2 kW
Max load/capacity10 kN
DimensionsW653 × D520 × H1603 mm
Crosshead speed range0.001 to 1000 mm/min
Crosshead speed accuracy0.1%
Crosshead—table distance (tensile stroke)1200 mm (760 mm, MWG)
Data capture rate1000 Hz max
Disclaimer/Publisher’s Note: The statements, opinions and data contained in all publications are solely those of the individual author(s) and contributor(s) and not of MDPI and/or the editor(s). MDPI and/or the editor(s) disclaim responsibility for any injury to people or property resulting from any ideas, methods, instructions or products referred to in the content.

Share and Cite

MDPI and ACS Style

Turudija, R.; Stojković, M.; Stojković, J.R.; Aranđelović, J.; Marinković, D. Stiffness of Anatomically Shaped Lattice Scaffolds Made by Direct Metal Laser Sintering of Ti-6Al-4V Powder: A Comparison of Two Different Design Variants. Metals 2024, 14, 219. https://doi.org/10.3390/met14020219

AMA Style

Turudija R, Stojković M, Stojković JR, Aranđelović J, Marinković D. Stiffness of Anatomically Shaped Lattice Scaffolds Made by Direct Metal Laser Sintering of Ti-6Al-4V Powder: A Comparison of Two Different Design Variants. Metals. 2024; 14(2):219. https://doi.org/10.3390/met14020219

Chicago/Turabian Style

Turudija, Rajko, Miloš Stojković, Jelena R. Stojković, Jovan Aranđelović, and Dragan Marinković. 2024. "Stiffness of Anatomically Shaped Lattice Scaffolds Made by Direct Metal Laser Sintering of Ti-6Al-4V Powder: A Comparison of Two Different Design Variants" Metals 14, no. 2: 219. https://doi.org/10.3390/met14020219

APA Style

Turudija, R., Stojković, M., Stojković, J. R., Aranđelović, J., & Marinković, D. (2024). Stiffness of Anatomically Shaped Lattice Scaffolds Made by Direct Metal Laser Sintering of Ti-6Al-4V Powder: A Comparison of Two Different Design Variants. Metals, 14(2), 219. https://doi.org/10.3390/met14020219

Note that from the first issue of 2016, this journal uses article numbers instead of page numbers. See further details here.

Article Metrics

Back to TopTop