A Two-Step Marginal-Restraint Mandrel-Free Spinning Method for Accuracy in Forming Large, Special-Shaped Aluminum Alloy Tank Domes
Abstract
1. Introduction
2. The Two-Step Marginal-Restraint Mandrel-Free Spinning Method for Special-Shaped Domes
3. Development and Verification of the FEM Model
3.1. Development of the FEM Model
3.2. Verification of the FEM Model
4. Results and Discussion
4.1. First-Step Large Contour Forming Study
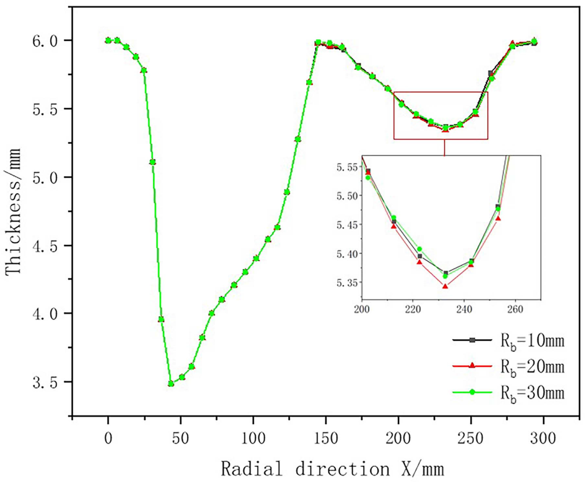
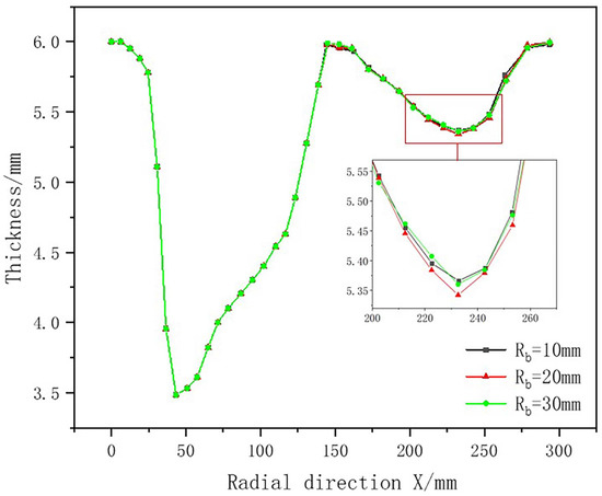
4.1.1. Influence of the Roller Fillet Radius on the Forming Accuracy
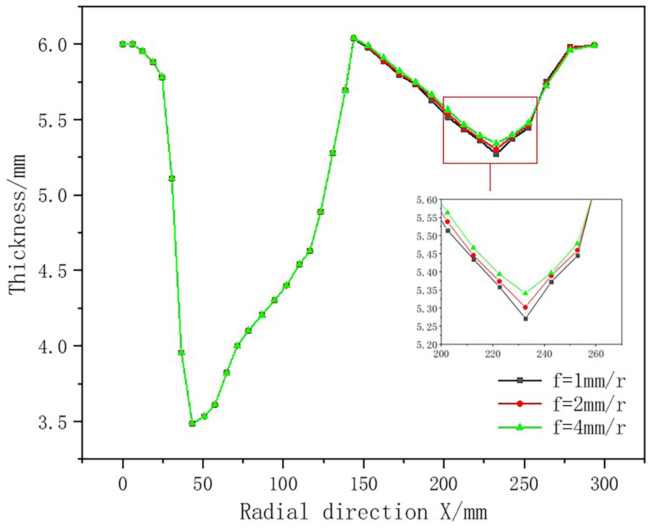
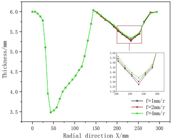
4.1.2. Influence of Feed Ratio on Forming Accuracy
4.2. Second-Step Small Contour Forming Study
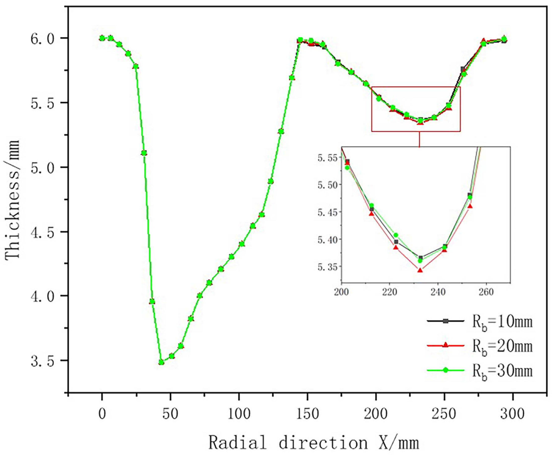
4.2.1. Influence of the Roller Fillet Radius on the Forming Accuracy
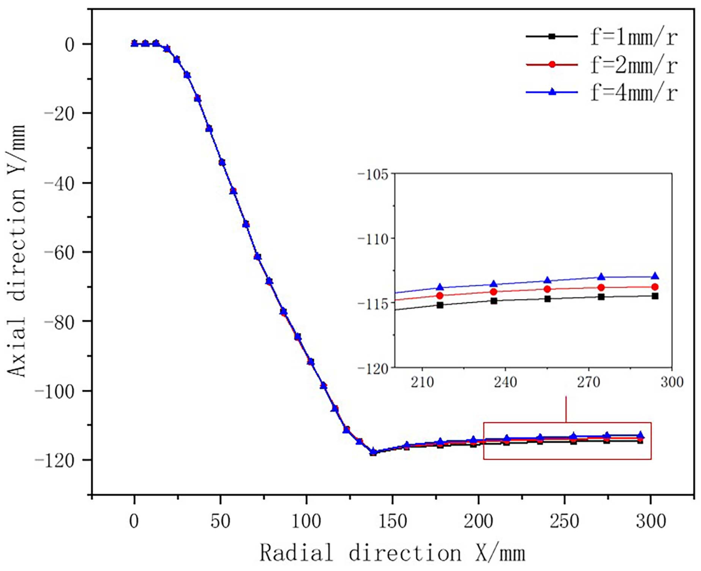
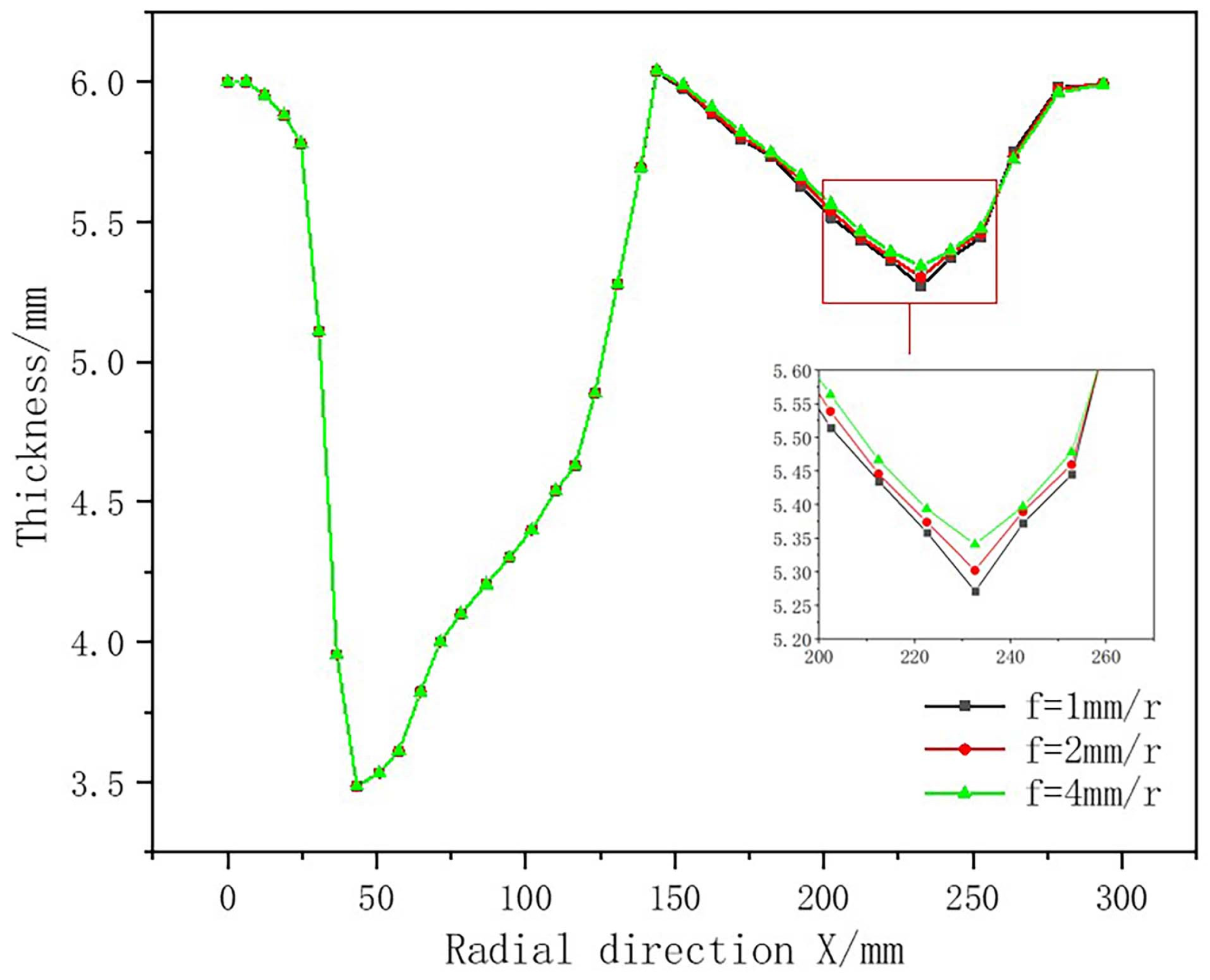
4.2.2. Influence of Feed Ratio on Forming Accuracy
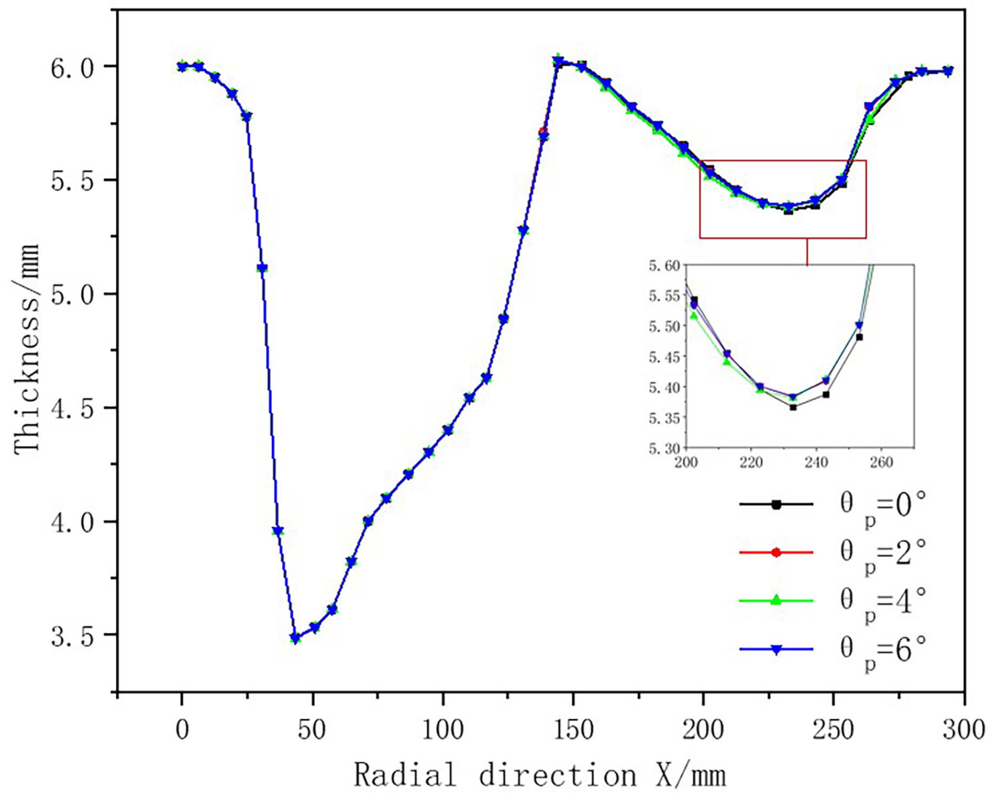
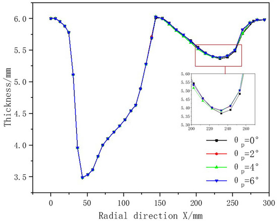
4.2.3. Influence of the Transition Rounding Angle on the Forming Accuracy
4.2.4. Influence of the Upper Convexity on the Forming Accuracy
4.3. 2250 mm Special-Shaped Dome Spin-Forming Study
4.4. Experimental Verification
5. Conclusions
- (1)
- For large contour forming, increasing the roller fillet radius leads to more serious convexity of the bottom, a larger transition rounding angle, and a larger minimum thickness, and increasing the feed ratio leads to more serious convexity of the bottom of the large contour, a larger minimum thickness, and a poorer surface quality.
- (2)
- For small contour forming, increasing the roller fillet radius leads to a larger sinking offset of the transition circle and a larger bottom upper convexity, and increasing the feed ratio leads to a larger bottom upper convexity. A larger transition circle results in a more serious sinking offset of the transition circle and a smaller bottom upper convexity. A larger bottom upper convexity of the large contour leads to a smaller sinking offset of the transition circle, a smaller bottom convexity, and even a flat or negative angle bottom.
- (3)
- The two-step forming results affect each other, and suitable process parameters and trajectory compensation can achieve the spinning forming of special-shaped domes with different shapes. The two-step solution of marginal-restraint mandrel-free spinning, with a 10 mm roller fillet radius, a 2 mm/r feed ratio, and trajectory compensation, can achieve the accurate forming of 2250 mm thin-walled, special-shaped domes.
Author Contributions
Funding
Institutional Review Board Statement
Informed Consent Statement
Data Availability Statement
Conflicts of Interest
References
- Li, D. Present Situation and Prospect of Long March Rocket. Sci. Technol. Rev. 2006, 24, 57–63. [Google Scholar]
- Mei, H.W. Research on Reduced-Order Model of Complex Slender Structure Dynamics; Dalian University of Technology: Dalian, China, 2020. [Google Scholar]
- Yuan, S.J. Fundamental and processes of fluid pressure forming technology for complex thin-walled components. Engineering 2021, 7, 189–206. [Google Scholar] [CrossRef]
- Li, Y.; Ma, Y.; Luo, M.; Zhang, G.; Zhang, Q.; Qi, L.; Deng, L. Advances in spot joining technologies of lightweight thin-walled structures. J. Mech. Eng. 2020, 56, 125–146. [Google Scholar]
- Yuan, S.J.; Liu, W.; Wang, G.F.; He, Z.B.; Fan, X.B. Advances in fluid pressure forming of complex light metal thin-walled components. Aerosp. Shanghai 2019, 36, 31–37. [Google Scholar]
- Andrea, Z.; Janka, W.; Anja, W.; Jens, G.; Martinus, P.W.; Christian, N.; Mélanie, C.; Andreas, M.; Dong, J.F.; Tian, X.; et al. Challenges in the Technology Development for Additive Manufacturing in Space. Chin. J. Mech. Eng. Addit. Manuf. Front. 2022, 42, 23–34. [Google Scholar]
- Yan, X.G.; Zhan, M.; Wang, Y.; Gao, P.F.; Wang, Y.D. Criterion and processing-dependence of forming states in the die-less spinning of conical part. Int. J. Adv. Manuf. Technol. 2023, 125, 3037–3051. [Google Scholar] [CrossRef]
- Huang, K.; Yi, Y.P.; Huang, S.Q.; He, H.L.; Dong, F.; Jia, Y.Z.; Yu, W.W. Cryogenic die-less spinning of aluminum alloy thin-walled curved components and microstructure evolution. J. Manuf. Process. 2023, 92, 32–41. [Google Scholar] [CrossRef]
- Zhang, H.R.; Zhan, M.; Zheng, Z.R.; Li, R. Development and challenges of forming and manufacturing technology for large thin-walled rotary surface components in aerospace. J. Mech. Eng. 2022, 58, 166–185. [Google Scholar]
- Hu, Z.Q.; Da, L.J.; Li, X.C.; Xi, J. Evaluation on forming process of AZ31 alloy complex curved surfaces by clustering balls spinning method. Int. J. Adv. Manuf. Technol. 2022, 120, 6301–6313. [Google Scholar] [CrossRef]
- Ma, A.P.; Rao, G.N.; Peng, J.H.; Tang, W.L. Experimental study on explosive forming technology of elliptical dome. Blasting Equip. 2013, 01, 43–46. [Google Scholar]
- Zhu, P.P.; Liu, X.L. Research on the Structure and Process of Large Tank. Aerosp. Manuf. Technol. 2011, 3, 42–45. [Google Scholar]
- Jyoti, K.D.; Sa, D.K. Comparison of electromagnetic forming of friction stir-welded blanks of dissimilar material AA 5052-AA 6061 with conventional forming process. Int. J. Adv. Manuf. Technol. 2017, 93, 3789–3797. [Google Scholar]
- Zhang, H.R.; Zhan, M.; Zheng, Z.B.; Li, R.; Ma, F.; Cui, X.; Chen, S.; Lei, Y. Forming dependence on spin roller paths for thin-walled complex components from 2195 Al-Li alloy TWBs. Int. J. Adv. Manuf. Technol. 2022, 120, 3113–3122. [Google Scholar] [CrossRef]
- Keneshlou, M.; Biglari, F.R.; Shafaie, M. A numerical and experimental analysis of noncircular blank spinning. J. Manuf. Process. 2023, 94, 159–182. [Google Scholar] [CrossRef]
- Meng, Y.H.; Yu, X.P.; Lai, Z.L.; Zhao, Y.X.; Yu, Z.Q. Spinning deformation mechanism of aluminum alloy cylinder with multi-level stiffeners based on numerical simulation. IOP Conf. Ser. Mater. Sci. Eng. 2022, 1270, 1. [Google Scholar] [CrossRef]
- Saran, S.; Baran, L.; Mdal, Q.M. Free convection flow of hybrid ferrofluid past a heated spinning cone. Therm. Sci. Eng. Prog. 2022, 32, 101335. [Google Scholar] [CrossRef]
- López-Fernández, J.A.; Centeno, G.; Vallellano, C. Wrinkling in shrink flanging by single point incremental forming. Int. J. Mech. Sci. 2023, 240, 107930. [Google Scholar] [CrossRef]
- Wang, Y.D.; Li, H.W.; Gao, P.F.; Zhan, M.; Yan, X.G.; Niu, H.T. A method based on circumferential strain distribution for roller path design in conventional spinning of thin-walled conical part with curved surface. Int. J. Adv. Manuf. Technol. 2022, 119, 4509–4518. [Google Scholar] [CrossRef]
- Zhou, S.Y.; Han, Z.R.; Jia, Z.; Liu, B.M.; Gong, X. Research on die-less spinning of square section cone by ball-crown-shape roller. Int. J. Adv. Manuf. Technol. 2022, 121, 1989–2003. [Google Scholar] [CrossRef]
- Song, X.F.; Zhan, M.; Jiang, H.B.; Li, T.; Yang, H. The formation mechanism of multi-pass spinning defects in large complex thin-walled shell of aluminum alloy. Plast. Eng. 2013, 1, 31–36. [Google Scholar]
- Majewski, M.; Gądek, T.; Klimek, L.; Nowacki, Ł. Comparison of spinning trajectory designing methods for products with noncircular cross-section. Mater. Sci. -Pol. 2022, 40, 116–129. [Google Scholar] [CrossRef]
- Liu, B.M.; Gao, S.; Jia, Z.; Wen, Y.Z.; Han, Z.R.; Gong, X. Non-axisymmetric die-less spinning using ball-crown-shape roller. J. Manuf. Process. 2022, 79, 70–80. [Google Scholar] [CrossRef]
- Li, Z.X.; Zhan, M.; Fan, X.G.; Dong, Y.D.; Xu, L.P. Effect of blank quenching on shear spinning forming precision of 2219 aluminum alloy complex thin-walled components. Chin. J. Aeronaut. 2023, 36, 538–555. [Google Scholar] [CrossRef]
- Zhou, S.Y.; Han, Z.R.; Jia, Z.; Liu, B.M.; Gong, X. Research on the wall thinning influencing factors in die-less spinning by hemisphere roller. Int. J. Adv. Manuf. Technol. 2023, 126, 2497–2508. [Google Scholar] [CrossRef]
- Li, L.B.; Chen, S.Y.; Lu, Q.Y.; Shu, X.D.; Zhang, J.; Shen, W.W. Effect of Process Parameters on Spinning Force and Forming Quality of Deep Cylinder Parts in Multi-Pass Spinning Process. Metals 2023, 13, 620. [Google Scholar] [CrossRef]
- Zhou, L.; Li, X.H.; Yu, D.H.; Hu, X.J. Instability study of spherical crown thin-walled dome under small thinning rate working condition. Forg. Technol. 2016, 41, 25–31. [Google Scholar]
- Yu, D.H.; Li, X.H.; Zhou, L.; Bu, J.N. Destabilization study of thin-walled hemispherical dome expansion spinning with large thinning rate. J. Plast. Eng. 2016, 23, 48–54. [Google Scholar]
- Chang, S.W.; Li, X.H.; Zhou, L.; Wei, J.; Zhang, T. Multi-constrained spin forming method for thin-walled domes with large diameter to thickness ratio. Forg. Technol. 2017, 42, 45–51. [Google Scholar]
- Yi, Z.X.; Li, X.H.; Chang, S.W.; Rao, G.J.; Cao, Q. Thin-walled dome electromagnetic induction heating spinning process. Forg. Technol. 2018, 43, 60–65. [Google Scholar]
- Yang, J.; Li, X.H.; Wei, J.; Hou, L.H. New process for die-less spinning of curved components with outer ring restraint. J. Plast. Eng. 2019, 26, 77–81. [Google Scholar]
- Rao, G.J.; Li, X.H.; Zhou, L.; Chang, S.W.; Cao, Q.; Yi, Z.X. A multi-constraint spinning process of ellipsoidal domes. Int. J. Adv. Manuf. Technol. 2018, 94, 1505–1512. [Google Scholar] [CrossRef]
- Yang, J. Process Verification of Mandrel-Free Spinning and Research on Main Structure of 4 M Spinning Equipment; Central South University: Changsha, China, 2019. [Google Scholar]
- Lin, Y.C.; Chen, J.Y.; He, D.G.; Li, X.H.; Yang, J. Marginal-restraint mandrel-free spinning process for thin-walled ellipsoidal domes. Adv. Manuf. 2020, 8, 189–203. [Google Scholar] [CrossRef]
- Emmens, W.C.; Sebastiani, G.; Boogaard, A.H. The technology of incremental sheet forming-a brief review of the history. J. Mater. Process. Technol. 2010, 210, 981–997. [Google Scholar] [CrossRef]
- Peng, W.X.; Ou, H.G.; Becker, A. Double-sided incremental forming: A review. J. Manuf. Sci. Eng. 2019, 141, 050802. [Google Scholar] [CrossRef]
- Jung, K.S.; Yu, J.H.; Chung, W.J.; Lee, C.W. Tool path design of the counter single point incremental forming process to decrease shape error. Materials 2020, 13, 4719. [Google Scholar] [CrossRef] [PubMed]
- Song, J.L. Research on Multi-Pass Spinning Forming Accuracy of Thin-Walled Curved Busbar Parts; Shanghai Jiaotong University: Shanghai, China, 2017. [Google Scholar]
- ABAQUS Inc. User’s Manual (2020) ABAQUS Analysis User’s Manual; Version 2020; ABAQUS Inc.: Palo Alto, CA, USA, 2020. [Google Scholar]








































| Components | Si | Fe | Cu | Mn | Mg | Ti | Zr | Al |
|---|---|---|---|---|---|---|---|---|
| Content | ≤0.2 | ≤0.3 | 5.8–6.8 | 0.2–0.4 | ≤0.02 | 0.02–0.1 | 0.1–0.25 | The rest |
| Elastic Modulus E/MPa | Poisson’s Ratio μ | Density ρ/(kg·m−3) | Tensile Strength /MPa | Yield Strength /MPa | Elongation /% |
|---|---|---|---|---|---|
| 73,100 | 0.33 | 2840 | 179 | 75.8 | 18 |
Disclaimer/Publisher’s Note: The statements, opinions and data contained in all publications are solely those of the individual author(s) and contributor(s) and not of MDPI and/or the editor(s). MDPI and/or the editor(s) disclaim responsibility for any injury to people or property resulting from any ideas, methods, instructions or products referred to in the content. |
© 2023 by the authors. Licensee MDPI, Basel, Switzerland. This article is an open access article distributed under the terms and conditions of the Creative Commons Attribution (CC BY) license (https://creativecommons.org/licenses/by/4.0/).
Share and Cite
Zhu, L.; Huang, C.; Li, X.; Chang, X.; Li, Y. A Two-Step Marginal-Restraint Mandrel-Free Spinning Method for Accuracy in Forming Large, Special-Shaped Aluminum Alloy Tank Domes. Metals 2023, 13, 1205. https://doi.org/10.3390/met13071205
Zhu L, Huang C, Li X, Chang X, Li Y. A Two-Step Marginal-Restraint Mandrel-Free Spinning Method for Accuracy in Forming Large, Special-Shaped Aluminum Alloy Tank Domes. Metals. 2023; 13(7):1205. https://doi.org/10.3390/met13071205
Chicago/Turabian StyleZhu, Lijun, Cheng Huang, Xinhe Li, Xin Chang, and Yibo Li. 2023. "A Two-Step Marginal-Restraint Mandrel-Free Spinning Method for Accuracy in Forming Large, Special-Shaped Aluminum Alloy Tank Domes" Metals 13, no. 7: 1205. https://doi.org/10.3390/met13071205
APA StyleZhu, L., Huang, C., Li, X., Chang, X., & Li, Y. (2023). A Two-Step Marginal-Restraint Mandrel-Free Spinning Method for Accuracy in Forming Large, Special-Shaped Aluminum Alloy Tank Domes. Metals, 13(7), 1205. https://doi.org/10.3390/met13071205

