Abstract
This work demonstrates the corrosion behavior of the AZ31 Mg alloy as a function of an immersion time of 48 h in 0.1 M HCl, H2SO4, H3PO4 and HF solutions, in which pH was adjusted to 6 to exclude the contribution of hydrogen ions (H+) and hydroxide ions (OH−). In situ observations, open circuit potential (OCP), weight changes and AC impedance measurements were performed with an immersion time of 48 h and the morphologies and chemical compositions of the surface products after 48 h of immersion were analyzed by SEM, EDS and XPS. In the chloride ion (Cl−)-containing solution, the corrosion of the AZ31 Mg alloy initiated locally and propagated discontinuously over the surface with immersion time. The OCP value of the AZ31 Mg alloy showed an initial increase from −1.51 VAg/AgCl to −1.47 VAg/AgCl after about 5 h of immersion and then a decrease to −1.51 VAg/AgCl due to corrosion initiation. In the F−-containing solution, after 48 h of immersion, the OCP showed an extremely large value of −0.6 VAg/AgCl, while the relatively lower values of −1.52 VAg/AgCl, −1.59 VAg/AgCl were seen in the solutions containing SO42− and PO43, respectively. In the sulfate ion (SO42−)-containing neutral aqueous solution, needle-like surface films were formed and there were no changes in the weight of the AZ31 Mg alloy with immersion time. In the phosphate ion (PO43−)-containing neutral aqueous solution, a vigorous gas evolution occurred, together with the formation of black surface films with cracks, and a high corrosion rate of −13.8018 × 10−3 g·cm−2·day−1 was obtained. In the fluoride ion (F−)-containing neutral aqueous solution, a surface film with crystalline grains of MgF2 was formed and the weight of the AZ31 Mg alloy increased continuously with immersion time. In conclusion, the corrosion of the AZ31 Mg alloy occurred uniformly in neutral phosphate solution but locally in chloride solution. No corrosion was observed in either the neutral sulfate or fluoride solutions.
1. Introduction
The AZ31 Mg alloy is commonly used for a wide range of industrial applications due to its low density, high strength-to-weight ratio, good electromagnetic shielding, high vibration absorption property, exceptional castability and recyclability [1,2,3,4]. Mg is the most active metal among structural metallic materials due to the high chemical activity of magnesium (Eo = −2.536 V vs. NHE at 25 °C). The AZ31 Mg alloy contains 3% Al and 1% Zn. The alloying elements of Al and Zn can improve mechanical properties, formability and creep resistance, making alloys suitable for various industrial applications. However, these alloying elements can not only accelerate corrosion via a galvanic coupling effect but also by forming defects in surface films that are formed naturally [5,6,7,8,9]. Thus, Mg alloys can become quite susceptible to corrosion in atmospheric environments. The corrosion problem of Mg alloys has limited their industrial applications.
The corrosion behavior of magnesium alloys is affected by various factors, including the composition of the materials and environments [10,11,12,13,14,15,16]. When Mg alloys are exposed to aqueous environments, various anions present in the aqueous environments can lead to the formation of surface films with various thicknesses, morphologies and chemical compositions. The corrosion resistance of Mg alloys is dependent on the nature of the surface films that are formed spontaneously. Chloride ions (Cl−) are typical anions in atmospheric environments [17,18,19]. They play a significant role in promoting the corrosion of Mg alloys due to their aggressive nature in penetrating and disrupting the native oxide films that are formed on Mg alloy surfaces.
Sulfate ions (SO42−) can also have a significant impact on the corrosion behavior of Mg alloys. When Mg alloys come into contact with water containing SO42− ions, soluble magnesium sulfate (MgSO4) can be formed as a reaction product on the Mg alloy surfaces [20,21,22]. When MgSO4 products are dissolved in water, the fresh metal surfaces are exposed to corrosive environments, leading to the corrosion of the Mg alloys. Phosphate ions (PO43−) are known to improve the corrosion resistance of Mg alloys by forming chemical conversion coatings [23]. Fluoride ions (F−) can improve the corrosion resistance of Mg alloys by forming stable surface films of MgF2 [24,25,26]. However, since many works [23,24,25,26] have been conducted in acidic or alkaline solutions, the contributions of H+ and OH− ions to the formation of surface films cannot be excluded. When a solution’s pH is adjusted to neutral, the contributions of H+ and OH− ions can become negligibly small.
In this work, in order to study the roles of four different anions (Cl−, SO42−, PO43− and F−) in the formation of surface films and the corrosion of the AZ31 Mg alloy, we used neutral aqueous solutions with pH 6, which were prepared by adding small amounts of a 10 M NaOH solution into 0.1 M HCl, 0.1 M H2SO4, 0.1 M H3PO4 and 0.1 M HF solutions. The corrosion behavior of the AZ31 Mg alloy was investigated through open circuit potential (OCP) measurements, electrochemical impedance spectroscopy (EIS) and weight gain/loss measurements, while the morphological and chemical compositions of the surface films formed during immersion in the neutral aqueous solutions containing four different anions were analyzed using scanning electron microscopy (SEM), energy dispersive spectroscopy (EDS) and X-ray photoelectron spectroscopy (XPS).
2. Experiments
2.1. Sample Preparation
Commercial AZ31B Mg alloy plates (wt.%: Al = 2.94; Zn = 0.8; Mn = 0.3; Si < 0.1; Fe < 0.005; Cu < 0.05; Mg balance) were used for the current work. One side of each plate was polished using 220 grit to 4000 grit SiC papers with 98% ethyl alcohol and was then masked to expose an area of 1.3 cm2 using polyester tape. A copper wire was connected to the backside of each plate to form a direct electrical connection to a potentiostat/galvanostat. The contact resistance between the Cu wires and the plates was maintained at less than 0.5 mΩ.
2.2. Immersion Tests and Electrochemical Measurements
The immersion tests of the AZ31 Mg alloy specimens were performed over 48 h in 1 L of 0.1 M HCl, H2SO4, H3PO4 and HF solutions at 20 ± 0.5 °C. The solution pH was adjusted to 6 by adding small amounts of a 10 M NaOH solution. During the immersion tests, the surfaces of the AZ31 Mg alloys were photographed using a digital camera under the same illumination conditions and the open circuit potential (OCP) and electrochemical impedance spectroscopy (EIS) were measured with immersion time. The weights of the specimens (which were about 46 cm2) were measured before and during immersion at 12, 24, 36 and 48 h at 20 ± 0.5 °C using a balance (METTLER TOLEDO, XPE205V, Columbus, OH, United States) and the weight changes were calculated by subtracting the weights before immersion from those during and after immersion.
The OCP and EIS measurements were conducted using an electrochemical workstation (Biologic VMP3 multichannel potentiostat, BioLogic, Seyssinet-Pariset, France) with a three-electrode system, including a working electrode, a counter electrode (Pt mesh) and a reference electrode (Ag/AgCl electrode). The EIS measurements were performed in a frequency range from 105 to 10−1 Hz, with a signal amplitude of 10 mV. The EIS results obtained were fitted by EC-Lab software using equivalent circuit models that were suggested in a previous paper [27]. The OCP and EIS measurements were repeated more than three times to check the experiment’s reproducibility.
2.3. Characterization of Surface Morphologies and Chemical Compositions
The surface morphologies of the AZ31 Mg alloys that had been immersed for 48 h in neutral aqueous solutions containing different anions were observed using a scanning electron microscope (SEM, JSM-6610LV, JEOL Ltd., Tokyo, Japan) and field emission scanning electron microscopy (FE-SEM, JEOL JSM-7900F, JEOL Ltd., Tokyo, Japan). The chemical compositions of the surface films were analyzed using an X-ray energy dispersive spectrometer (EDS, Oxford X-Max, Oxford Instruments NanoAnalysis, High Wycombe, UK) and X-ray photoelectron spectroscopy (XPS, Kratos AXIS supra+, Kratos Analytical Ltd., Manchester, UK). XPS survey scans and detailed scans of the Mg 1s, Cl 2p, S 2p, P 2p and F 2p photoelectron emissions were conducted for each sample. The binding energies of all XPS spectra were referenced to the C 1s peak at 284.6 eV.
3. Results and Discussion
3.1. In Situ Observations of the AZ31 Mg Alloy Surfaces during Immersion
Figure 1 presents the changes in surface color and gas evolution with immersion time of the AZ31 Mg alloy surfaces in the neutral aqueous solutions containing different anions (Cl−, SO42−, PO43− and F−). In the solutions containing Cl−, SO42− and F−, several gas bubbles were partly formed during immersion. The bubbles became larger with immersion time and were then removed from the AZ31 Mg alloy surfaces after several hours of immersion. Gas evolution occurred vigorously from the moment of immersion in the PO43−-containing solution and its rate lowered with immersion time. No further gas generation was observed after 1 h of immersion. Considering that the gas bubbles were hydrogen gas formed at cathodic sites, such as second-phase particles or impurities, by local cell reactions, it seemed reasonable to conclude that the corrosion of the AZ31 Mg alloy occurred rapidly during the initial stages of immersion in the PO43−-containing solution but was relatively slow in the Cl−-, SO42−- and F−-containing solutions.
Figure 1.
Photographs of the AZ31 Mg alloy surfaces during immersion for 48 h in 0.1 M HCl, H2SO4, H3PO4 and HF solutions at 20 ± 0.5 °C. The solution pH was adjusted to 6 by adding 10 M NaOH solution.
Changes in the color of the AZ31 Mg alloy surfaces with immersion time were crucially dependent on the type of anion present in the neutral aqueous solution. In the SO42−-and PO43−-containing solutions, the color of the AZ31 Mg alloy surfaces became darker with immersion time, while they became brighter after immersion for 18 h in the F−-containing neutral solution. The darkened surfaces with immersion time could have been due to the reduced reflection of light resulting from the formation of more porous surface films. In contrast, the brightened surfaces with immersion time indicated the formation of denser surface films that could reflect light more efficiently.
It was noticed that the surface color of the AZ31 Mg alloy specimens became significantly darker even after short periods of immersion (5 min) in the PO43−-containing solution. The darkened surfaces seemed to originate from the highly porous structures of the surface films, as revealed in a previous paper [27]. By contrast, the surface color of the AZ31 Mg alloy became largely brighter after 18 h of immersion in the F−-containing solution, implying that dense surface films were formed after long periods of immersion. In the solution containing SO42−, the surface color changed after 3 h of immersion and gradually became darker with immersion time up to 24 h.
The excessive gas evolution on the AZ31 Mg alloy surfaces during the initial stages of immersion in the PO43−-containing solution was thought to be caused by the fast dissolution of the Mg alloy. The fast dissolution of the AZ31 Mg alloy was assumed to occur due to the formation of extremely porous complex films, as readily inferred from the dark surface colors after 5 min of immersion (Figure 1).
In the Cl−-containing solution, corrosion was initiated after 5 h of immersion at the point indicated by the red arrow in Figure 1 and the corroded area expanded with immersion time. It was noted that the corrosion of the AZ31 Mg alloy appeared to be localized between 5 h and 36 h of immersion but occurred over almost the entire surfaces of the AZ31 Mg alloy specimens after 48 h of immersion.
3.2. Open Circuit Potential Transients
Figure 2 presents the changes in the open circuit potential (OCP) value of the AZ31 Mg alloy with time up to 48 h when immersed in neutral aqueous solutions containing Cl−, SO42−, PO43− and F− ions. The OCP value showed an extremely large increase from about −1.5 VAg/AgCl to −0.6 VAg/AgCl in the F−-containing neutral solution. In general, the OCP value has the tendency to corrode or passivate metallic materials, resulting from electrochemical reactions with surrounding electrolytes. Thus, it could be said that the large increase in OCP up to about 18 h of immersion in the F−-containing solution was due to continuous electrochemical reactions occurring throughout the porous surface films. The porous films seemed to be transformed into denser films with immersion time up to 18 h.
Figure 2.
The OCP of the AZ31 Mg alloy specimens during immersion for 48 h in 0.1 M HCl, H2SO4, H3PO4 and HF solutions at 20 ± 0.5 °C. The solution pH was adjusted to 6 by adding 10 M NaOH solution.
In the Cl− containing solution, the OCP value showed an initial increase from −1.51 VAg/AgCl to −1.47 VAg/AgCl with immersion time up to about 5 h (Figure 2) but it decreased after 5 h to −1.51 VAg/AgCl, which was related with the initiation of corrosion, as can be seen in Figure 1. In the solutions containing SO42− and PO43−, the open circuit potential slightly increased from −1.55 VAg/AgCl to −1.52 VAg/AgCl and from −1.62 VAg/AgCl to −1.59 VAg/AgCl, respectively, for the first 8 h of immersion and then reached a stable value (Figure 1). It should be pointed out that the OCP values showed negligibly small changes in the solutions containing Cl−, SO42− and PO43− but large changes were observed in the F−-containing neutral aqueous solution, depending on the specimen. The largely changeable OCP value of the specimens in the F−-containing solution could have been caused by different electrochemical reactions on the Mg and the alloying elements of Al and Zn.
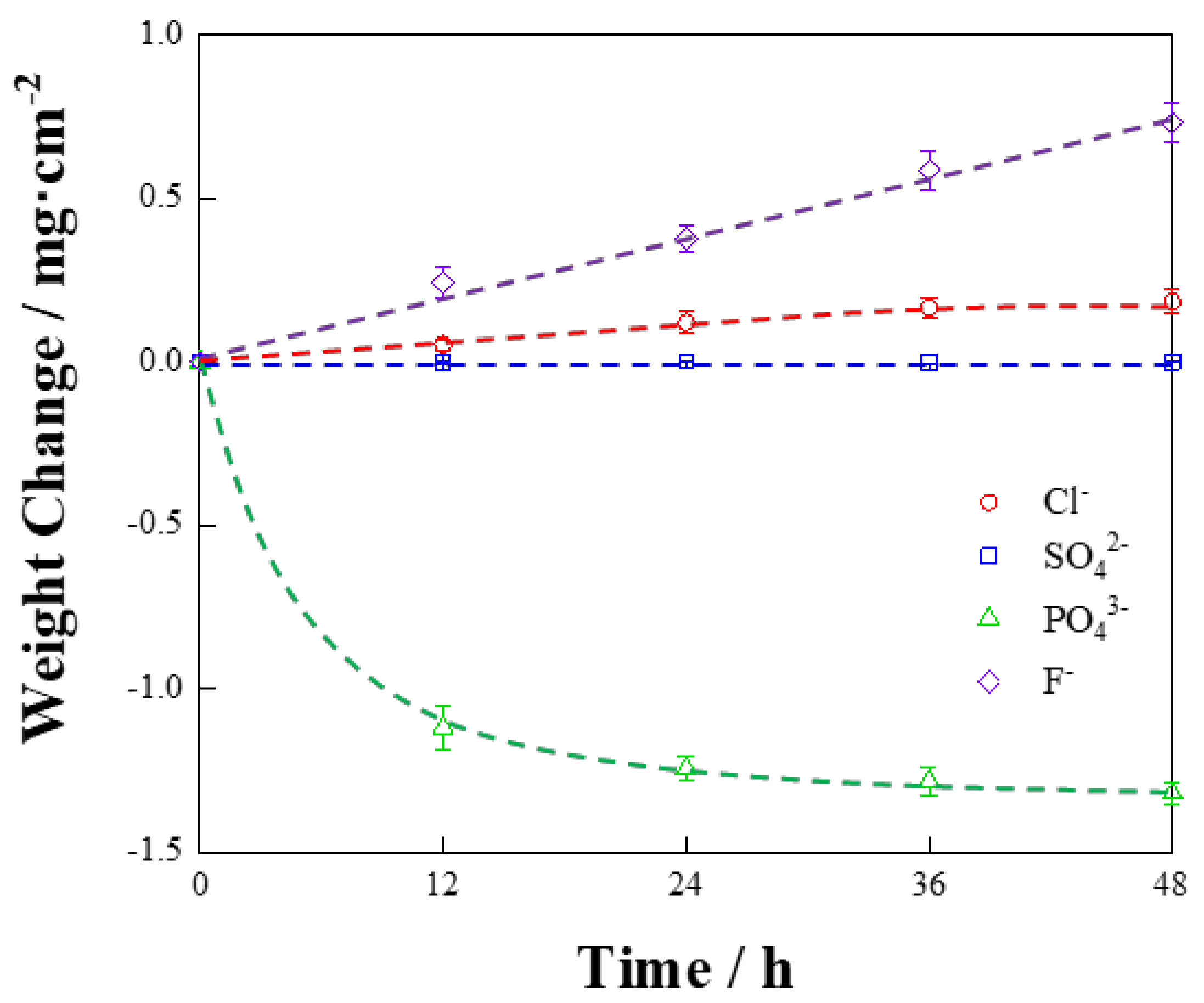
3.3. Weight Changes with Immersion Time
The weights of the AZ31 Mg alloy specimens were measured after immersion for 12, 24, 36 and 48 h in neutral aqueous solutions containing four different anions (Cl−, SO42−, PO43− and F−) and the weight changes were calculated by subtracting the weights before immersion from those during and after immersion in the solutions. The weight changes are plotted in Figure 3 against immersion time. It was interesting to note that the weights of the AZ31 Mg alloy specimens increased with immersion time in the Cl−- and F−-containing neutral solutions. The increased weights revealed that more corrosion products or surface films formed than dissolved on the AZ31 Mg alloy surfaces. The corrosion products and surface film formed on AZ31 Mg alloys could have been MgCl2 and MgF2 in the Cl−- and F−-containing solutions, respectively.
Figure 3.
Changes in weight of the AZ31 Mg alloy specimens with immersion time in 0.1 M HCl, H2SO4, H3PO4 and HF solutions at 20 ± 0.5 °C. The solution pH was adjusted to 6 by adding 10 M NaOH solution.
It was noticed that the increase in weight during immersion in the Cl−-containing solution slowed down after 36 h, as shown in Figure 3 suggesting that the formation rate of the corrosion product MgCl2 was higher than the dissolution rate of the AZ31 Mg alloy up to 36 h. On the other hand, the increase in weight during immersion in the F−-containing solution did not slow down up to 48 h. This suggested that the MgF2 film was sufficiently porous to grow continuously with immersion time in the F−-containing neutral solution.
By contrast, the weight decreased with immersion time in the PO43−-containing neutral solution. The weight decreased largely in the initial stages of immersion but slowed with immersion time. These results indicated that the corrosion of the AZ31 Mg alloy by phosphate ions occurred largely in the initial stages of immersion and that the corrosion rate lowered with immersion time. Gas evolution was fast in the initial stages of immersion in the PO43−-containing solution, shown in Figure 1, which was in good accordance with the large decrease in weight, as shown in Figure 3. The fast dissolution of the AZ31 Mg alloy in the initial stages of immersion revealed that black surface films were not as protective against corrosion. However, the lower weight reduction rate after 24 h of immersion in the PO43−-containing solution suggested that the black surface films formed after more than 24 h were more protective against corrosion than those formed in the initial stages of immersion.
Surprisingly, no noticeable changes were detected in the weights of the AZ31 Mg alloy specimens in the SO42−-containing neutral solution with immersion time up to 48 h. Considering that the slightly darker surface of the AZ31 Mg alloy after immersion for 36 h in the SO42−-containing neutral solution (Figure 1) revealed the growth of complex surface films, probably magnesium sulfate films together with magnesium hydroxide films, the lack of changes in weight during immersion could suggest the excellent protective property of magnesium sulfate films against corrosion. The corrosion protective property of magnesium sulfate films will be discussed in detail in a subsequent paper.
The corrosion rate (CR, g·cm−2·day−1) of the AZ31 Mg alloy in the neutral aqueous solutions containing four different anions was calculated from the weight change data after 48 h of immersion. As a result, the corrosion rates in the neutral solutions containing Cl− ions, SO42− ions, PO43− ions and F− ions were found to be 1.9222 × 10−3 g·cm−2·day−1, −0.0023 × 10−3 g·cm−2·day−1, −13.8018 × 10−3 g·cm−2·day−1 and 7.6280 × 10−3 g·cm−2·day−1, respectively. Previous studies [28,29] have reported that the corrosion rate of the AZ31 Mg alloy in Cl− ion-containing solutions ranges from 0.02 to 7.2 mm/year, which equates to 0.009 × 10−3 to 3.429 × 10−3 g·cm−2·day−1. In this study, weight gain instead of weight loss was obtained during the initial stages of immersion up to 36 h in the neutral aqueous solution containing chloride ions. This was attributed to the formation of chloride films during the initial stages of immersion. Since the calculated corrosion rates in this study were based on data obtained from up to 48 h of immersion time, they did not reflect the long-term corrosion behavior of the AZ31 alloy. Thus, further research with longer exposure times is necessary for understanding the corrosion behavior over extended periods.
3.4. Electrochemical Impedance Spectroscopy
Figure 4 presents the Nyquist plots obtained from the AZ31 Mg alloy specimens with immersion time up to 48 h in neutral aqueous solutions containing various anions. In the solution containing Cl−, two capacitance loops were identified in high-to-medium- and low-frequency regions up to 5 h of immersion, after which one capacitive loop and one inductive loop appeared. The diameter of the capacitance loop in the high-to-medium-frequency region increased with immersion time up to 5 h but largely decreased after 8 h.
Figure 4.
Nyquist plots obtained during the immersion of the AZ31 Mg alloy in (a) 0.1 M HCl, (b) H2SO4, (c) H3PO4 and (d) HF solutions at 20 ± 0.5 °C. The solution pH was adjusted to 6 by adding 10 M NaOH solution.
In the solutions containing SO42− and PO43− ions, two capacitance loops were observed. The diameters of the high-frequency capacitance loops showed significant increases with immersion time. However, the diameters of the low-frequency capacitive loops showed slight decreases with immersion time in the solution containing SO42−, while they increased slightly with immersion time in the solution containing PO43−.
In the solution containing F−, two capacitance loops were observed after the first 3 h of immersion and then only one large capacitance loop appeared. It was noted that the diameter of the high-frequency capacitance loop increased largely with immersion time in the F−-containing solution compared to those in the SO42−- and PO43−-containing neutral aqueous solutions.
The EIS data in Figure 4 were fitted using equivalent circuit models that were suggested in a previous paper [21] and the resistance of the surface films is exhibited in Figure 5 as a function of immersion time. The film resistance increased with time in the initial stages of immersion in all the solutions up to 5 h and showed different values depending on the type of anion in the order of F− > Cl− > SO42− > PO43−, which was exactly the same order as the OCP values in Figure 2.
Figure 5.
Plot of the surface film resistance of the AZ31 Mg alloy specimens (Figure 3) with immersion time.
The film resistance decreased suddenly after 5 h of immersion in the Cl−-containing solution, which was ascribed to the occurrence of corrosion, as depicted in Figure 1. The film resistance in the Cl−-containing solution occasionally showed an increased value, as can be seen at 24 h of immersion in Figure 5. The increased film resistance at 24 h seemed to be related to the change in the color of the corroded region from black to white in Figure 1. The change in the color of the corroded region from black to white could indicate passivation by corrosion products. Further corrosion after 36 h of immersion in the Cl−-containing solution resulted in a decrease in film resistance to the very low value of about 300 ohm cm−2. It was noticeable that film resistance was largely changeable in the chloride ion-containing solution after the initiation of corrosion, which could have arisen from the formation and dissolution of corrosion products.
3.5. Morphologies and Compositions of the Surface Films
Figure 6 shows the SEM images and EDS results of the AZ31 Mg alloy surfaces after immersion for 48 h in neutral aqueous solutions containing various anions. In the Cl−-containing solution, the AZ31 Mg alloy surface partly corroded and porous corrosion products with cracks were observed at the corroded region. The porous corrosion products were found to contain mainly oxygen and magnesium, which could have been magnesium oxides or magnesium hydroxides. The very low chloride content of 0.56 at.% was observed in the porous corrosion products. Small pits and numerous scratches were also observed in the regions where corrosion was relatively less progressed (Figure 6f). The scratches disappeared after 48 h of immersion in the SO42−, PO43− and F− ion-containing solutions, suggesting that dissolution and surface film formation reactions occurred significantly on the AZ31 Mg alloy surfaces.
Figure 6.
SEM images (a–o) and EDS results (p) of the AZ31 Mg alloy surfaces before (a,b) and after immersion for 48 h in 0.1 M HCl (c–f), H2SO4 (g–i), H3PO4 (j–l) and HF (m–o) solutions, in which pH was adjusted to 6 by adding 10 M NaOH solution.
In the solution containing SO42− ions, surface films with needle-like structures and cracks were formed over the entire surface of the AZ31 Mg alloy. The surface films contained about 38 at.% oxygen and a small amount of sulfur (Figure 6p), indicating that they consisted of mainly magnesium oxide/hydroxide and a small amount of magnesium sulfate (MgSO4). It should be mentioned that the surface films consisting of magnesium oxide/hydroxide and a small amount of magnesium sulfate (MgSO4) were very protective against further electrochemical reactions, so no changes in the weight of the AZ31 Mg alloy specimen were observed, as shown in Figure 3.
In the solution containing PO43−, dark films were formed, as shown in Figure 1, and were easily detached by an air stream during drying after washing the specimens. The dark films were relatively thick and cracked into small pieces of about 100 microns in size. The dark films contained large amounts of oxygen (about 66 at.%) and phosphor (16.06 at.%) (Figure 6p). It was interesting to notice that the Al and Mg contents of the dark films were 7.28 at.% and 10.62 at.%, respectively, which were much higher than the original Al content of 3 wt.% and much lower than the original Mg content of about 96 wt.% in the AZ31 Mg alloy substrate. These results revealed that Al was not dissolved and remained by forming aluminum phosphate but Mg was dissolved easily during immersion in the PO43−-containing neutral solution.
The area from which the dark films were detached by the air stream during drying showed a very smooth and glossy surface and about 2 at.% phosphor was detected on the smooth surface. The small amount of P on the underlying smooth surface could be attributed to the presence of a very thin surface layer of AlPO4 and Mg3(PO4)2, through which electron beams could easily penetrate into the AZ31 substrate.
In the solution containing F−, a number of small rectangular grains formed densely on the AZ31 Mg alloy surface. The crystalline grains consisted of about 21 at.% magnesium, 6.64 at.% oxygen and about 72% fluorine (Figure 6p). The extremely high content of fluorine and the low contents of oxygen and magnesium reflected the fact that the coatings with rectangular grains that formed in the neutral fluoride solution were mainly composed of magnesium fluoride (MgF2) and that the content of magnesium oxide/hydroxide was very low. MgF2 is a highly an ionic compound with a strong ionic bond between the magnesium cation (Mg2+) and the fluoride anion (F−). This ionic bond results in a strong crystal lattice structure with high thermal and chemical stability. However, the large increases in weight and open circuit potential with immersion time suggested that the MgF2 films were not physically dense and that the diffusion of F− ions and Mg2+ ions through the fluoride films was easy. It was also interesting that the Al content in the coatings formed in the neutral fluoride solution lowered to 0.46 at.%, indicating the dissolution of Al by fluoride ions.
In order to further identify the chemical states of the surface products formed on the AZ31 Mg alloy surfaces after immersion for 48 h in neutral aqueous solutions containing various anions, the surface films were analyzed by XPS and the deconvolved XPS spectra are exhibited in Figure 6. In the Cl− ion-containing solution, the Mg 1s spectrum was fitted into three peaks at 1302.7 eV, 1303.8 eV and 1304.6 eV, which corresponded to Mg(OH)2, MgO and MgCl2, respectively. The peak intensities appeared to decrease in the order of MgO > Mg(OH)2 > MgCl2, suggesting that the corrosion products formed in the neutral chloride solution were composed of a large amount of magnesium oxide and magnesium hydroxide, together with a small amount of magnesium chloride (MgCl2). The Cl 2p spectrum was fitted into two peaks at 197.9 eV and 199.6 eV, which corresponded to chemisorbed chloride ions and MgCl2, respectively.
In the SO42− ion-containing solution, the Mg 1s spectrum peaked at 1302.7 eV, 1303.8 eV and 1305 eV, which corresponded to Mg(OH)2, MgO and MgSO4, respectively. The peak intensities revealed that the flake-like surface films in Figure 6a consisted of mainly Mg(OH)2 and a small amount of MgO and MgSO4. This was in good agreement with the results obtained by EDS analysis in Figure 6b. The S 2p spectrum at 168.5 eV corresponded to chemisorbed sulfate ions.
In the PO43− ion-containing solution, the Mg 1s spectrum showed three peaks at 1302.7 eV, 1303.8 eV and 1304.1 eV, which corresponded to Mg(OH)2, MgO and Mg3(PO4)2, respectively. The peak intensity of the passive films containing magnesium phosphate (Mg3(PO4)2) was relatively lower than that of MgO (Figure 7c). Thus, it could be said that the surface films consisting of a large amount of MgO and a small amount of Mg3(PO4)2 did not effectively protect the AZ31 Mg alloy surfaces, as indicated by the high weight loss in Figure 3c. The P 2p spectrum peaked at 133.4~134.3 eV, corresponding to phosphorus groups (P-O and P=O).

Figure 7.
XPS spectra of the AZ31 Mg alloy specimens after immersion for 48 h in (a) 0.1 M HCl, (b) H2SO4, (c) H3PO4 and (d) HF solutions, in which pH was adjusted to 6 by adding 10 M NaOH solution.
In the F− ion-containing solution, two peaks at 1303.8 eV and 1304.8 eV, corresponding to MgO and MgF2, respectively, were obtained (Figure 7d). The MgF2 peak was clearly observed and its intensity was higher than that of MgO, indicating that the F− ions formed very stable films of MgF2 together with MgO on the AZ31 Mg alloy surfaces. It should be mentioned that Mg(OH)2 was not present in the surface films formed in the F− ion-containing neutral aqueous solution.
4. Conclusions
In this work, the corrosion behavior of the AZ31 Mg alloy was examined in neutral aqueous solutions containing various anions (Cl−, SO42−, PO43− and F−). The corrosion of the AZ31 Mg alloy appeared to largely depend on the type of anion present in the neutral aqueous solution. When the AZ31 Mg alloy was immersed in a Cl−-containing solution, the corrosion of the AZ31 Mg alloy occurred locally initially and then the corroded area expanded discontinuously with immersion time. The open circuit potential value of the AZ31 Mg alloy in the Cl−-containing neutral solution showed an initial increase from −1.51 VAg/AgCl to −1.47 VAg/AgCl with immersion time up to about 5 h and then a decrease after 5 h to −1.51 VAg/AgCl due to corrosion initiation. In the F−-containing solution, after 48 h of immersion, the OCP value showed an extremely large value of −0.6 VAg/AgCl, while the relatively lower values of −1.52 VAg/AgCl and −1.59 VAg/AgCl were observed in the solutions containing SO42− and PO43−, respectively. The weights of the specimens increased with immersion time in the Cl−-containing solution up to 36 h by forming porous corrosion products containing MgCl2, MgO and Mg(OH)2. In the solution containing SO42− ions, no weight changes were observed and slightly dark surface films with cracks were formed. In the PO43−-containing neutral solution, vigorous gas evolution was observed in the initial stages of immersion and black surface films with cracks were formed, which contained about 66 at.% O, 16.06 at.% P, 7.28 at.% Al and 10.62 at.% Mg, revealing that Al was not dissolved and remained to form aluminum phosphate but Mg was dissolved easily in the PO43−-containing neutral solution. The black surface films were easily peeled off from the surfaces using air streams and a large weight loss was observed in the initial stages of immersion in the PO43−-containing neutral solution, showing a corrosion rate of −13.8018 × 10−3 g·cm−2·day−1. In the F− containing neutral solution, the weights of the specimens increased continuously with immersion time due to the formation of MgF2 films with crystalline grains.
Author Contributions
Conceptualization, D.K. and S.M.; investigation, D.K. and H.V.P.; writing—original draft preparation, D.K.; writing—review and editing, D.K., H.V.P., P.S. and S.M.; supervision, S.M and P.S. All authors have read and agreed to the published version of the manuscript.
Funding
This work was financially supported by the Fundamental Research Program of the Korean Institute of Materials Science
(project no.: PNK9450).
Data Availability Statement
Not applicable.
Conflicts of Interest
The authors declare that they have no conflict of interest.
References
- Mordike, B.L.; Ebert, T. Magnesium: Properties—applications—potential. Mater. Sci. Eng. A-Struct. Mater. Prop. Microstruct. 2001, 302, 37–45. [Google Scholar] [CrossRef]
- Staiger, M.P.; Pietak, A.M.; Huadmai, J.; Dias, G. Magnesium and its alloys as orthopedic biomaterials: A review. Biomaterials 2006, 27, 1728–1734. [Google Scholar] [CrossRef] [PubMed]
- Song, J.; She, J.; Chen, D.; Pan, F. Latest research advances on magnesium and magnesium alloys worldwide. J. Magnes. Alloy 2020, 8, 1–41. [Google Scholar] [CrossRef]
- Yang, Y.; Xiong, X.; Chen, J.; Peng, X.; Chen, D.; Pan, F. Research advances in magnesium and magnesium alloys worldwide in 2020. J. Magnes. Alloy. 2021, 9, 705–747. [Google Scholar] [CrossRef]
- Atrens, A.; Winzer, N.; Dietzel, W. Stress corrosion cracking of magnesium alloys. Adv. Eng. Mater. 2011, 13, 11–18. [Google Scholar] [CrossRef]
- Song, Y.; Han, E.-H.; Shan, D.; Yim, C.D.; You, B.S. The role of second phases in the corrosion behavior of Mg–5Zn alloy. Corrosion Sci. 2012, 60, 238–245. [Google Scholar] [CrossRef]
- Feng, H.; Liu, S.; Du, Y.; Lei, T.; Zeng, R.; Yuan, T. Effect of the second phases on corrosion behavior of the Mg-Al-Zn alloys. J. Alloy. Compd. 2017, 695, 2330–2338. [Google Scholar] [CrossRef]
- Shih, C.-H.; Huang, C.-Y.; Hsiao, T.-H.; Lin, C.-S. The effect of the secondary phases on the corrosion of AZ31B and WE43-T5 Mg alloys. Corrosion Sci. 2023, 211, 110920. [Google Scholar] [CrossRef]
- Zhang, K.; Wang, C.; Liu, S.; Guan, K.; Li, M.-X.; Zhang, L.-Y.; Wang, H.-Y. New insights on corrosion behavior of aging precipitates in dilute Mg-Al-Ca alloy by experiments and first-principles calculations. Corrosion Sci. 2023; 111254, in press. [Google Scholar] [CrossRef]
- Song, G.L.; Atrens, A. Corrosion Mechanisms of Magnesium Alloys. Adv. Eng. Mater. 1999, 1, 11–33. [Google Scholar] [CrossRef]
- Neil, W.; Forsyth, M.; Howlett, P.C.; Hutchinson, C.; Hinton, B.R.W. Corrosion of magnesium alloy ZE41–The role of microstructural features. Corrosion Sci. 2009, 51, 387–394. [Google Scholar] [CrossRef]
- Liu, L.; Schlesinger, M. Corrosion of magnesium and its alloys. Corrosion Sci. 2009, 51, 1733–1737. [Google Scholar] [CrossRef]
- Esmaily, M.; Svensson, J.E.; Fajardo, S.; Birbilis, N.; Frankel, G.S.; Virtanen, S.; Arrabal, R.; Thomas, S.; Johansson, L.G. Fundamentals and advances in magnesium alloy corrosion. Prog. Mater. Sci. 2017, 89, 92–193. [Google Scholar] [CrossRef]
- Shahabi-Navid, M.; Cao, Y.; Svensson, J.-E.; Allanore, A.; Birbilis, N.; Johansson, L.-G.; Esmaily, M. On the early stages of localised atmospheric corrosion of magnesium–aluminium alloys. Sci. Rep. 2020, 10, 20972. [Google Scholar] [CrossRef]
- Nachtsheim, J.; Burja, J.; Ma, S.; Markert, B. Long-Term in Vitro Corrosion of Biodegradable WE43 Magnesium Alloy in DMEM. Metals 2022, 12, 2062. [Google Scholar] [CrossRef]
- Vinogradov, A.; Merson, E.; Myagkikh, P.; Linderov, M.; Brilevsky, A.; Merson, D. Attaining High Functional Performance in Biodegradable Mg-Alloys: An Overview of Challenges and Prospects for the Mg-Zn-Ca System. Materials 2023, 16, 1324. [Google Scholar] [CrossRef] [PubMed]
- Ambat, R.; Aung, N.; Zhou, W. Studies on the influence of chloride ion and pH on the corrosion and electrochemical behaviour of AZ91D magnesium alloy. J. Appl. Electrochem. 2000, 30, 865–874. [Google Scholar] [CrossRef]
- Williams, G.; Grace, R. Chloride-induced filiform corrosion of organic-coated magnesium. Electrochim. Acta 2011, 56, 1894–1903. [Google Scholar] [CrossRef]
- Wang, Y.; Xu, W.; Wang, X.; Jiang, Q.; Li, Y.; Huang, Y.; Yang, L. Research on Dynamic Marine Atmospheric Corrosion Behavior of AZ31 Magnesium Alloy. Metals 2022, 12, 1886. [Google Scholar] [CrossRef]
- Xin, Y.; Huo, K.; Tao, H.; Tang, G.; Chu, P.K. Influence of aggressive ions on the degradation behavior of biomedical magnesium alloy in physiological environment. Acta Biomater. 2008, 4, 2008–2015. [Google Scholar] [CrossRef]
- Huang, C.A.; Lin, C.K.; Yeh, Y.H. Corrosion behavior of Cr/Cu-coated Mg alloy (AZ91D) in 0.1 M H2SO4 with different concentrations of NaCl. Corrosion Sci. 2010, 52, 1326–1332. [Google Scholar] [CrossRef]
- Merachtsaki, D.; Tsardaka, E.-C.; Anastasiou, E.; Zouboulis, A. Study of Magnesium Hydroxide Protective Coating against Corrosion, Applied on Poly(methyl methacrylate) Plates, By Using the Sulfuric Acid Attack Acceleration Test. Mater. Proc. 2021, 5, 4. [Google Scholar]
- Van Phuong, N.; Moon, S.; Chang, D.; Lee, K.H. Effect of microstructure on the zinc phosphate conversion coatings on magnesium alloy AZ91. Appl. Surf. Sci. 2013, 264, 70–78. [Google Scholar] [CrossRef]
- Fazal, B.R.; Moon, S. Effect of Fluoride Conversion Coating on the Corrosion Resistance and Adhesion of E-painted AZ31 Magnesium Alloy. J. Kor. Inst. Surf. Eng. 2016, 49, 395–400. [Google Scholar] [CrossRef]
- Kwon, D.; Song, P.; Moon, S. Effect of Pre-Treatment of AZ91 Mg Alloy in HF Solution on PEO Film Formation Behavior. J. Korean Inst. Surf. Eng. 2021, 54, 184–193. [Google Scholar]
- Kwon, D.; Song, P.; Moon, S. Effect of Pre-Treatment in 0.5 M Oxalic Acid Containing Various NH4F Concentrations on PEO Film Formation of AZ91 Mg Alloy. J. Kor. Inst. Surf. Eng. 2022, 55, 24–31. [Google Scholar]
- Kwon, D.; Pham, H.V.; Song, P.; Moon, S. Electrochemical behavior of AZ31 Mg alloy in neutral aqueous solutions containing various anions. J. Electrochem. Sci. Technol. accepted for publication.
- Singh, I.B.; Singh, M.; Das, S. A comparative corrosion behavior of Mg, AZ31 and AZ91 alloys in 3.5% NaCl solution. J. Magnes. Alloy 2015, 3, 142–148. [Google Scholar] [CrossRef]
- Atrens, A.; Shi, Z.; Mehreen, S.U.; Johnston, S.; Song, G.-L.; Chen, X.; Pan, F. Review of Mg alloy corrosion rates. J. Magnes. Alloy 2020, 8, 989–998. [Google Scholar] [CrossRef]
Disclaimer/Publisher’s Note: The statements, opinions and data contained in all publications are solely those of the individual author(s) and contributor(s) and not of MDPI and/or the editor(s). MDPI and/or the editor(s) disclaim responsibility for any injury to people or property resulting from any ideas, methods, instructions or products referred to in the content. |
© 2023 by the authors. Licensee MDPI, Basel, Switzerland. This article is an open access article distributed under the terms and conditions of the Creative Commons Attribution (CC BY) license (https://creativecommons.org/licenses/by/4.0/).







