Wear Resistance Prediction of AlCoCrFeNi-X (Ti, Cu) High-Entropy Alloy Coatings Based on Machine Learning
Abstract
1. Introduction
2. Methodology
2.1. Input Variable Determination and Data Collection
2.1.1. Input Variable Determination
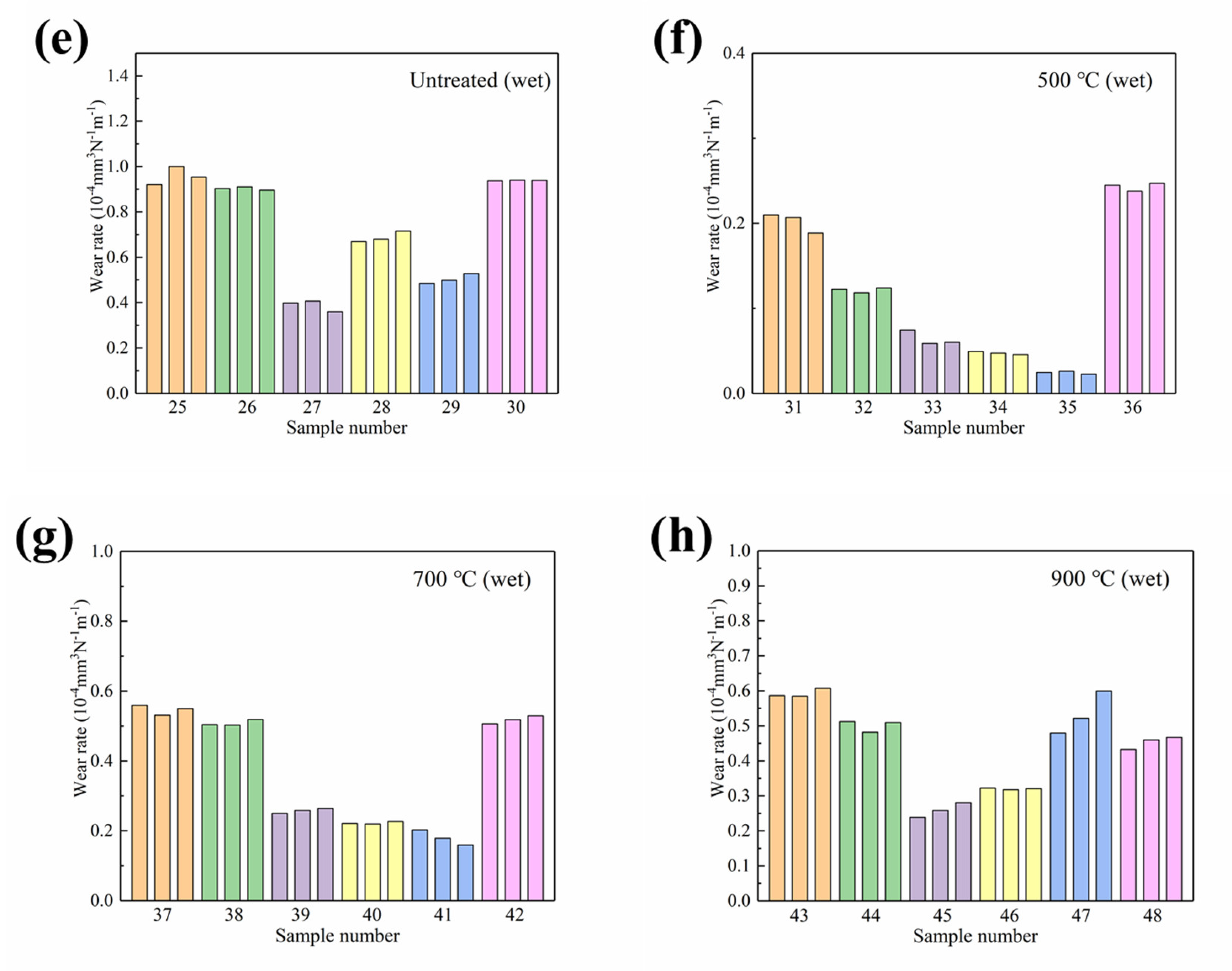
2.1.2. Data Collection
2.2. Machine Learning Models
2.3. Model Performance and Feature Importance
3. Results and Discussion
4. Conclusions
Author Contributions
Funding
Data Availability Statement
Conflicts of Interest
References
- Lin, L.; Li, G.L.; Wang, H.D.; Kang, J.J.; Xu, Z.L.; Wang, H.J. Structure and Wear Behavior of NiCr–Cr3C2 Coatings Sprayed by Supersonic Plasma Spraying and High Velocity Oxy-Fuel Technologies. Appl. Surf. Sci. 2015, 356, 383–390. [Google Scholar] [CrossRef]
- Zhu, L.N.; Wang, C.B.; Wang, H.D.; Xu, B.S.; Zhuang, D.M.; Liu, J.J.; Li, G.L. Microstructure and Tribological Properties of WS2/MoS2 Multilayer Films. Appl. Surf. Sci. 2012, 258, 1944–1948. [Google Scholar] [CrossRef]
- Menghani, J.; Vyas, A.; Patel, P.; Natu, H.; More, S. Wear, Erosion and Corrosion Behavior of Laser Cladded High Entropy Alloy Coatings—A Review. Mater. Today Proc. 2021, 38, 2824–2829. [Google Scholar] [CrossRef]
- Yeh, J.W.; Chen, S.K.; Lin, S.J.; Gan, J.Y.; Chin, T.S.; Shun, T.T.; Tsau, C.H.; Chang, S.Y. Nanostructured High-Entropy Alloys with Multiple Principal Elements: Novel Alloy Design Concepts and Outcomes. Adv. Eng. Mater. 2004, 6, 299–303. [Google Scholar] [CrossRef]
- Cantor, B.; Chang, I.T.H.; Knight, P.; Vincent, A.J.B. Microstructural Development in Equiatomic Multicomponent Alloys. Mater. Sci. Eng. A 2004, 375–377, 213–218. [Google Scholar] [CrossRef]
- Tokarewicz, M.; Grądzka-Dahlke, M. Review of Recent Research on AlCoCrFeNi High-Entropy Alloy. Metals 2021, 11, 1302. [Google Scholar] [CrossRef]
- Li, W.D.; Xie, D.; Li, D.Y.; Zhang, Y.; Gao, Y.F.; Liaw, P.K. Mechanical Behavior of High-Entropy Alloys. Prog. Mater. Sci. 2021, 118, 100777. [Google Scholar] [CrossRef]
- Varalakshmi, S.; Appa Rao, G.; Kamaraj, M.; Murty, B.S. Hot Consolidation and Mechanical Properties of Nanocrystalline Equiatomic AlFeTiCrZnCu High Entropy Alloy after Mechanical Alloying. J. Mater. Sci. 2010, 45, 5158–5163. [Google Scholar] [CrossRef]
- Luo, H.; Li, Z.M.; Mingers, A.M.; Raabe, D. Corrosion Behavior of an Equiatomic CoCrFeMnNi High-Entropy Alloy Compared with 304 Stainless Steel in Sulfuric Acid Solution. Corros. Sci. 2018, 134, 131–139. [Google Scholar] [CrossRef]
- Oses, C.; Toher, C.; Curtarolo, S. High-Entropy Ceramics. Nat. Rev. Mater. 2020, 5, 295–309. [Google Scholar] [CrossRef]
- Asadikiya, M.; Yang, S.; Zhang, Y.; Lemay, C.; Apelian, D.; Zhong, Y. A Review of the Design of High-Entropy Aluminum Alloys: A Pathway for Novel Al Alloys. J. Mater. Sci. 2021, 56, 12093–12110. [Google Scholar] [CrossRef]
- Komarasamy, M.; Kumar, N.; Mishra, R.S.; Liaw, P.K. Anomalies in the Deformation Mechanism and Kinetics of Coarse-Grained High Entropy Alloy. Mater. Sci. Eng. A 2016, 654, 256–263. [Google Scholar] [CrossRef]
- Ji, X.; Alavi, S.H.; Harimkar, S.P.; Zhang, Y. Sliding Wear of Spark Plasma Sintered CrFeCoNiCu High-Entropy Alloy Coatings: Effect of Aluminum Addition. J. Materi. Eng. Perform. 2018, 27, 5815–5822. [Google Scholar] [CrossRef]
- Wu, M.Y.; Yuan, J.F.; Diao, G.J.; Li, D.Y. Achieving a Combination of Higher Strength and Higher Ductility for Enhanced Wear Resistance of AlCrFeNiTi0.5 High-Entropy Alloy by Mo Addition. Metals 2022, 12, 1910. [Google Scholar] [CrossRef]
- Prabu, G.; Duraiselvam, M.; Jeyaprakash, N.; Yang, C.-H. Microstructural Evolution and Wear Behavior of AlCoCrCuFeNi High Entropy Alloy on Ti–6Al–4V Through Laser Surface Alloying. Met. Mater. Int. 2021, 27, 2328–2340. [Google Scholar] [CrossRef]
- Zhou, Y.K.; Kang, J.J.; Zhang, J.; Zhu, S.; Fu, Z.Q.; Zhu, L.N.; She, D.S. Effect of Nitriding on Microstructure and Wear Behavior of HVOF Sprayed AlxCoCrFeNi (X = 0.4, 0.7, 1.0) High-Entropy Alloy Coatings. Intermetallics 2022, 151, 107709. [Google Scholar] [CrossRef]
- Meghwal, A.; Anupam, A.; Schulz, C.; Hall, C.; Murty, B.S.; Kottada, R.S.; Vijay, R.; Munroe, P.; Berndt, C.C.; Ang, A.S.M. Tribological and Corrosion Performance of an Atmospheric Plasma Sprayed AlCoCr0.5Ni High-Entropy Alloy Coating. Wear 2022, 506–507, 204443. [Google Scholar] [CrossRef]
- Liu, H.; Liu, J.; Li, X.; Chen, P.J.; Yang, H.F.; Hao, J.B. Effect of Heat Treatment on Phase Stability and Wear Behavior of Laser Clad AlCoCrFeNiTi0.8 High-Entropy Alloy Coatings. Surf. Coat. Technol. 2020, 392, 125758. [Google Scholar] [CrossRef]
- Peng, Q.Q.; Liu, M.; Huang, Y.F.; Zhou, X.Y.; Ma, G.Z.; Wang, H.D.; Xing, Z.G. Effect of Heat Treatment on Microstructure and Properties of Al-25Si Wear-Resistant Coatings Sprayed by Supersonic Plasma. J. Therm. Spray Tech. 2022. [Google Scholar] [CrossRef]
- Sun, J.; Dai, S.C.; Zhang, D.B.; Si, W.D.; Jiang, B.C.; Shu, D.; Wu, L.L.; Zhang, C.; Zhang, M.S.; Xiong, X.Y. Friction and Wear Properties of CoCrFeNiMnSnx High Entropy Alloy Coatings Prepared via Laser Cladding. Metals 2022, 12, 1230. [Google Scholar] [CrossRef]
- Silvello, A.; Diaz, E.T.; Ramirez, E.R.; Cano, I.G. Microstructural, Mechanical and Wear Properties of Atmospheric Plasma-Sprayed and High-Velocity Oxy-Fuel AlCoCrFeNi Equiatomic High-Entropy Alloys (HEAs) Coatings. J. Therm. Spray Tech. 2023, 32, 425–442. [Google Scholar] [CrossRef]
- Zhang, D.D.; He, X.Y.; Gao, Y.L.; Qin, B.L. Investigation of the Microstructure and Wear Properties of Laser Clad Al-Si Coatings Containing Different Y2O3 Contents. Coatings 2023, 13, 308. [Google Scholar] [CrossRef]
- Martins, P.S.; Pires, S.S.; da Silva, E.R.; Vieira, V.F.; Ba, E.C.T.; Dias, C.A.R. Tribological aspects of the Diamond-like carbon film applied to different surfaces of AISI M2 steel. Wear 2022, 506–507, 204469. [Google Scholar] [CrossRef]
- Hsu, C.H.; Lin, C.Y.; You, W.S. Microstructure and Dry/Wet Tribological Behaviors of 1% Cu-Alloyed Austempered Ductile Iron. Materials 2023, 16, 2284. [Google Scholar] [CrossRef]
- Çetinel, H.; Öztürk, H.; Çelik, E.; Karlık, B. Artificial Neural Network-Based Prediction Technique for Wear Loss Quantities in Mo Coatings. Wear 2006, 261, 1064–1068. [Google Scholar] [CrossRef]
- Zhou, R.Z.; Xing, Z.G.; Wang, H.D.; Piao, Z.Y.; Huang, Y.F.; Guo, W.L.; Ma, R.B. Prediction of Contact Fatigue Life of AT40 Ceramic Coating Based on Neural Network. Anti-Corros. Methods Mater. 2020, 67, 83–100. [Google Scholar] [CrossRef]
- Hasan, M.S.; Kordijazi, A.; Rohatgi, P.K.; Nosonovsky, M. Triboinformatics Approach for Friction and Wear Prediction of Al-Graphite Composites Using Machine Learning Methods. J. Tribol. 2021, 144, 011701. [Google Scholar] [CrossRef]
- Li, Y.G.; Liu, C.Q.; Hua, J.Q.; Gao, J.; Maropoulos, P. A Novel Method for Accurately Monitoring and Predicting Tool Wear under Varying Cutting Conditions Based on Meta-Learning. CIRP Ann. Manuf. Technol. 2019, 68, 487–490. [Google Scholar] [CrossRef]
- Ulas, M.; Altay, O.; Gurgenc, T.; Özel, C. A New Approach for Prediction of the Wear Loss of PTA Surface Coatings Using Artificial Neural Network and Basic, Kernel-Based, and Weighted Extreme Learning Machine. Friction 2020, 8, 1102–1116. [Google Scholar] [CrossRef]
- Altay, O.; Gurgenc, T.; Ulas, M.; Özel, C. Prediction of Wear Loss Quantities of Ferro-Alloy Coating Using Different Machine Learning Algorithms. Friction 2020, 8, 107–114. [Google Scholar] [CrossRef]
- Mojena, M.A.R.; Roca, A.S.; Zamora, R.S.; Orozco, M.S.; Fals, H.C.; Lima, C.R.C. Neural Network Analysis for Erosive Wear of Hard Coatings Deposited by Thermal Spray: Influence of Microstructure and Mechanical Properties. Wear 2017, 376–377, 557–565. [Google Scholar] [CrossRef]
- Wen, S.P.; Zong, R.L.; Zeng, F.; Guo, S.; Pan, F. Nanoindentation and Nanoscratch Behaviors of Ag/Ni Multilayers. Appl. Surf. Sci. 2009, 255, 4558–4562. [Google Scholar] [CrossRef]
- Miao, J.W.; Liang, H.; Zhang, A.J.; He, J.Y.; Meng, J.H.; Lu, Y.P. Tribological Behavior of an AlCoCrFeNi2.1 Eutectic High Entropy Alloy Sliding Against Different Counterfaces. Tribol. Int. 2021, 153, 106599. [Google Scholar] [CrossRef]
- Schonlau, M.; Zou, R.Y. The Random Forest Algorithm for Statistical Learning. Stata J. 2020, 20, 3–29. [Google Scholar] [CrossRef]
- Liang, W.Z.; Luo, S.Z.; Zhao, G.Y.; Wu, H. Predicting Hard Rock Pillar Stability Using GBDT, XGBoost, and LightGBM Algorithms. Mathematics 2020, 8, 765. [Google Scholar] [CrossRef]
- Wen, X.Z.; Shao, L.; Xue, Y.; Fang, W. A Rapid Learning Algorithm for Vehicle Classification. Inf. Sci. 2015, 295, 395–406. [Google Scholar] [CrossRef]
- Li, Y. Predicting Materials Properties and Behavior Using Classification and Regression Trees. Mater. Sci. Eng. A 2006, 433, 261–268. [Google Scholar] [CrossRef]
- Niu, Y.; Li, Z.M.; Fan, Y.X. Analysis of Truck Drivers’ Unsafe Driving Behaviors Using Four Machine Learning Methods. Int. J. Ind. Ergon. 2021, 86, 103192. [Google Scholar] [CrossRef]
- Nait Amar, M.; Shateri, M.; Hemmati-Sarapardeh, A.; Alamatsaz, A. Modeling Oil-Brine Interfacial Tension at High Pressure and High Salinity Conditions. J. Pet. Sci. Eng. 2019, 183, 106413. [Google Scholar] [CrossRef]
- Chen, S.; Kaufmann, T. Development of Data-Driven Machine Learning Models for the Prediction of Casting Surface Defects. Metals 2021, 12, 1. [Google Scholar] [CrossRef]
- Joseph, J.; Haghdadi, N.; Shamlaye, K.; Hodgson, P.; Barnett, M.; Fabijanic, D. The Sliding Wear Behaviour of CoCrFeMnNi and AlxCoCrFeNi High Entropy Alloys at Elevated Temperatures. Wear 2019, 428–429, 32–44. [Google Scholar] [CrossRef]










| Sample Number | Mixture Powder | VHT (°C) | Wear Form |
|---|---|---|---|
| S1 | 1 | Untreated | Dry |
| S2 | 2 | Untreated | Dry |
| S3 | 3 | Untreated | Dry |
| S4 | 4 | Untreated | Dry |
| S5 | 5 | Untreated | Dry |
| S6 | 6 | Untreated | Dry |
| S7 | 1 | 500 | Dry |
| S8 | 2 | 500 | Dry |
| S9 | 3 | 500 | Dry |
| S10 | 4 | 500 | Dry |
| S11 | 5 | 500 | Dry |
| S12 | 6 | 500 | Dry |
| S13 | 1 | 700 | Dry |
| S14 | 2 | 700 | Dry |
| S15 | 3 | 700 | Dry |
| S16 | 4 | 700 | Dry |
| S17 | 5 | 700 | Dry |
| S18 | 6 | 700 | Dry |
| S19 | 1 | 900 | Dry |
| S20 | 2 | 900 | Dry |
| S21 | 3 | 900 | Dry |
| S22 | 4 | 900 | Dry |
| S23 | 5 | 900 | Dry |
| S24 | 6 | 900 | Dry |
| S25 | 1 | Untreated | Wet |
| S26 | 2 | Untreated | Wet |
| S27 | 3 | Untreated | Wet |
| S28 | 4 | Untreated | Wet |
| S29 | 5 | Untreated | Wet |
| S30 | 6 | Untreated | Wet |
| S31 | 1 | 500 | Wet |
| S32 | 2 | 500 | Wet |
| S33 | 3 | 500 | Wet |
| S34 | 4 | 500 | Wet |
| S35 | 5 | 500 | Wet |
| S36 | 6 | 500 | Wet |
| S37 | 1 | 700 | Wet |
| S38 | 2 | 700 | Wet |
| S39 | 3 | 700 | Wet |
| S40 | 4 | 700 | Wet |
| S41 | 5 | 700 | Wet |
| S42 | 6 | 700 | Wet |
| S43 | 1 | 900 | Wet |
| S44 | 2 | 900 | Wet |
| S45 | 3 | 900 | Wet |
| S46 | 4 | 900 | Wet |
| S47 | 5 | 900 | Wet |
| S48 | 6 | 900 | Wet |
| Model | MAE | RMSE | R2 |
|---|---|---|---|
| CART | 3.3% | 5.7% | 99.0% |
| RF | 5.0% | 8.0% | 98.0% |
| GBDT | 7.2% | 9.7% | 94.0% |
| AdaBoost | 3.4% | 5.7% | 98.7% |
Disclaimer/Publisher’s Note: The statements, opinions and data contained in all publications are solely those of the individual author(s) and contributor(s) and not of MDPI and/or the editor(s). MDPI and/or the editor(s) disclaim responsibility for any injury to people or property resulting from any ideas, methods, instructions or products referred to in the content. |
© 2023 by the authors. Licensee MDPI, Basel, Switzerland. This article is an open access article distributed under the terms and conditions of the Creative Commons Attribution (CC BY) license (https://creativecommons.org/licenses/by/4.0/).
Share and Cite
Kang, J.; Niu, Y.; Zhou, Y.; Fan, Y.; Ma, G. Wear Resistance Prediction of AlCoCrFeNi-X (Ti, Cu) High-Entropy Alloy Coatings Based on Machine Learning. Metals 2023, 13, 939. https://doi.org/10.3390/met13050939
Kang J, Niu Y, Zhou Y, Fan Y, Ma G. Wear Resistance Prediction of AlCoCrFeNi-X (Ti, Cu) High-Entropy Alloy Coatings Based on Machine Learning. Metals. 2023; 13(5):939. https://doi.org/10.3390/met13050939
Chicago/Turabian StyleKang, Jiajie, Yi Niu, Yongkuan Zhou, Yunxiao Fan, and Guozheng Ma. 2023. "Wear Resistance Prediction of AlCoCrFeNi-X (Ti, Cu) High-Entropy Alloy Coatings Based on Machine Learning" Metals 13, no. 5: 939. https://doi.org/10.3390/met13050939
APA StyleKang, J., Niu, Y., Zhou, Y., Fan, Y., & Ma, G. (2023). Wear Resistance Prediction of AlCoCrFeNi-X (Ti, Cu) High-Entropy Alloy Coatings Based on Machine Learning. Metals, 13(5), 939. https://doi.org/10.3390/met13050939

