Mn-Ce Catalysts/LDPC Modified by Mo for Improving NH3-SCR Performance and SO2 Resistance at Low Temperature
Abstract
:1. Introduction
2. Materials and Methods
2.1. Preparation of Catalysts
2.2. Catalytic-Activity Test
2.3. Characterization of Catalysts
3. Results and Discussion
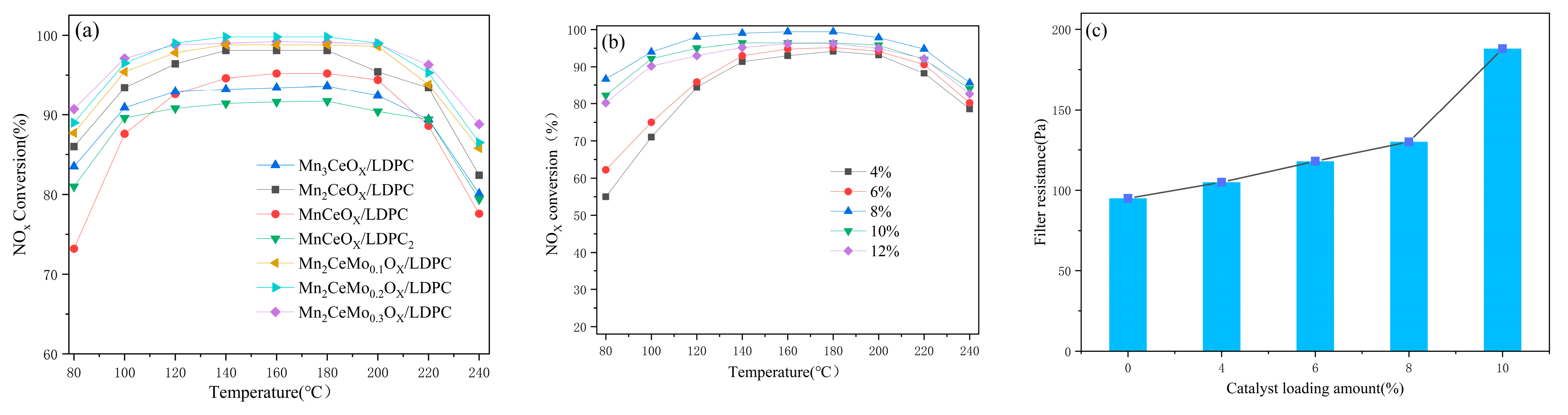
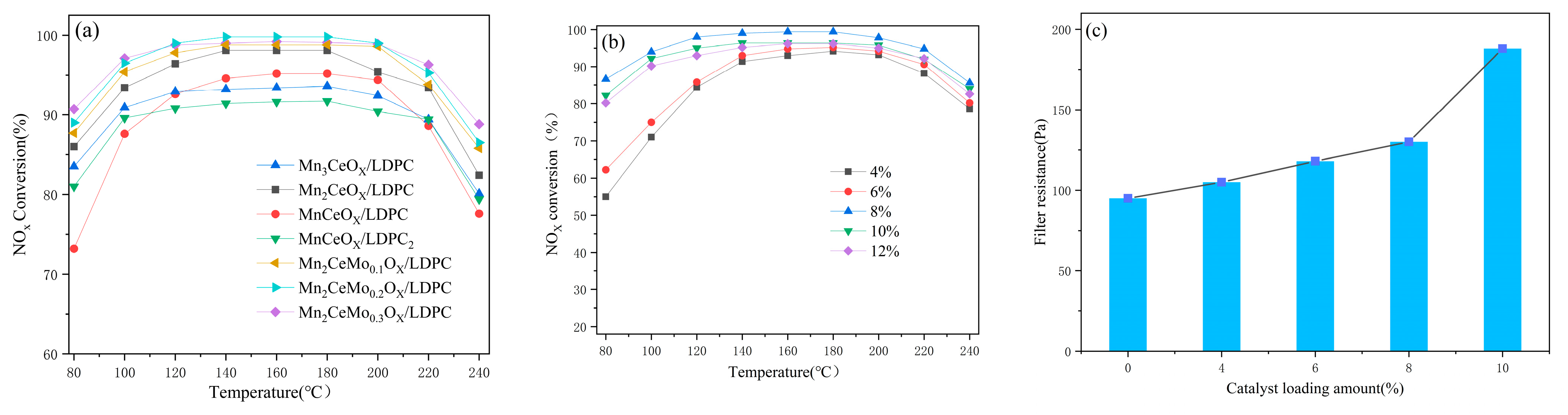
3.1. Catalytic Performance
3.2. Effects of H2O and SO2 to Catalytic Performance
3.3. Effects of High Filtration Velocity to Catalytic Performance
3.4. Dust Removal Efficiency and Filtration Resistance
3.5. Characterization
3.5.1. Crystal Phase Analysis
3.5.2. Microstructure and Morphology of Mn-Ce Catalytic LDPC
3.5.3. Atomic Species and Valence Analysis
3.5.4. Reducibility and Acidity
4. Conclusions
Author Contributions
Funding
Data Availability Statement
Conflicts of Interest
References
- Chmielewski, A.G.; Sun, Y.; Zimek, Z.; Bułka, S.; Licki, J. Mechanism of NOx removal by electron beam process in the presence of scavengers. Radiat. Phys. Chem. 2002, 65, 397–403. [Google Scholar] [CrossRef]
- Wang, S.; Xu, S.; Gao, S.; Xiao, P.; Jiang, M.; Zhao, H.; Huang, B.; Liu, L.; Niu, H.; Wang, J.; et al. Simultaneous removal of SO2 and NOx from flue gas by low-temperature adsorption over activated carbon. Sci. Rep. 2021, 11, 11003. [Google Scholar] [CrossRef] [PubMed]
- Flagiello, D.; Erto, A.; Lancia, A.; Di Natale, F. Advanced Flue-Gas cleaning by wet oxidative scrubbing (WOS) using NaClO2 aqueous solutions. Chem. Eng. J. 2022, 447, 137585. [Google Scholar] [CrossRef]
- Muzio, L.J.; Quartucy, G.C.; Cichanowiczy, J.E. Overview and status of post-combustion NOx control: SNCR, SCR and hybrid technologies. Int. J. Environ. Pollut. 2002, 17, 4–30. [Google Scholar] [CrossRef]
- Fu, S.-l.; Song, Q.; Yao, Q. Study on the catalysis of CaCO3 in the SNCR deNOx process for cement kilns. Chem. Eng. J. 2015, 262, 9–17. [Google Scholar] [CrossRef]
- Guo, Y.; Luo, L.; Zheng, Y.; Wang, J.; Zhu, T. Low-medium temperature application of selective catalytic reduction denitration in cement flue gas through a pilot plant. Chemosphere 2021, 276, 130182. [Google Scholar] [CrossRef]
- Kong, M.; Liu, Q.; Zhou, J.; Jiang, L.; Tian, Y.; Yang, J.; Ren, S.; Li, J. Effect of different potassium species on the deactivation of V2O5-WO3/TiO2 SCR catalyst: Comparison of K2SO4, KCl and K2O. Chem. Eng. J. 2018, 348, 637–643. [Google Scholar] [CrossRef]
- Zheng, Z.; Du, X.; Wang, X.; Liu, Y.; Chen, K.; Lu, P.; Rac, V.; Rakic, V. Experimental investigation on the decomposition of NH4HSO4 over V2O5-WO3/TiO2 catalyst by NH4NO3 at low temperature. Fuel 2023, 333, 126443. [Google Scholar] [CrossRef]
- Kong, M.; Liu, Q.; Jiang, L.; Tong, W.; Yang, J.; Ren, S.; Li, J.; Tian, Y. K+ deactivation of V2O5-WO3/TiO2 catalyst during selective catalytic reduction of NO with NH3: Effect of vanadium content. Chem. Eng. J. 2019, 370, 518–526. [Google Scholar] [CrossRef]
- Ali, S.; Li, Y.; Zhang, T.; Bakhtiar, S.u.H.; Leng, X.; Li, Z.; Yuan, F.; Niu, X.; Zhu, Y. Promotional effects of Nb on selective catalytic reduction of NO with NH3 over Fe-Nb0.5--Ce0.5 (x = 0.45, 0.4, 0.35) oxides catalysts. Mol. Catal. 2018, 461, 97–107. [Google Scholar] [CrossRef]
- Tang, X.; Shi, Y.; Gao, F.; Zhao, S.; Yi, H.; Xie, Z. Promotional role of Mo on Ce0.3FeOx catalyst towards enhanced NH3-SCR catalytic performance and SO2 resistance. Chem. Eng. J. 2020, 398, 125619. [Google Scholar] [CrossRef]
- Kwon, D.W.; Nam, K.B.; Hong, S.C. The role of ceria on the activity and SO2 resistance of catalysts for the selective catalytic reduction of NOx by NH3. Appl. Catal. B Environ. 2015, 166–167, 37–44. [Google Scholar] [CrossRef]
- Sazama, P.; Wichterlová, B.; Tábor, E.; Šťastný, P.; Sathu, N.K.; Sobalík, Z.; Dědeček, J.; Sklenák, Š.; Klein, P.; Vondrová, A. Tailoring of the structure of Fe-cationic species in Fe-ZSM-5 by distribution of Al atoms in the framework for N2O decomposition and NH3-SCR-NOx. J. Catal. 2014, 312, 123–138. [Google Scholar] [CrossRef]
- Qi, G.; Yang, R.T. Low-temperature selective catalytic reduction of NO with NH3 over iron and manganese oxides supported on titania. Appl. Catal. B Environ. 2003, 44, 217–225. [Google Scholar] [CrossRef]
- Jin, R.; Liu, Y.; Wu, Z.; Wang, H.; Gu, T. Low-temperature selective catalytic reduction of NO with NH3 over Mn-Ce oxides supported on TiO2 and Al2O3: A comparative study. Chemosphere 2010, 78, 1160–1166. [Google Scholar] [CrossRef]
- Yang, N.-z.; Guo, R.-t.; Pan, W.-g.; Chen, Q.-l.; Wang, Q.-s.; Lu, C.-z. The promotion effect of Sb on the Na resistance of Mn/TiO2 catalyst for selective catalytic reduction of NO with NH3. Fuel 2016, 169, 87–92. [Google Scholar] [CrossRef]
- Chen, L.; Ren, S.; Liu, L.; Su, B.; Yang, J.; Chen, Z.; Wang, M.; Liu, Q. Catalytic performance over Mn-Ce catalysts for NH3-SCR of NO at low temperature: Different zeolite supports. J. Environ. Chem. Eng. 2022, 10, 107167. [Google Scholar] [CrossRef]
- Kong, M.; Zhang, H.; Wang, Y.; Liu, Q.; Liu, W.; Wu, H. Efficient MnO -CeO2/Ti-bearing blast furnace slag catalyst for NH3-SCR of NO at low temperature: Study of support treating and Mn/Ce ratio. J. Environ. Chem. Eng. 2022, 10, 108238. [Google Scholar] [CrossRef]
- Hu, X.; Huang, L.; Zhang, J.; Li, H.; Zha, K.; Shi, L.; Zhang, D. Facile and template-free fabrication of mesoporous 3D nanosphere-like MnxCo3−xO4 as highly effective catalysts for low temperature SCR of NOx with NH3. J. Mater. Chem. A 2018, 6, 2952–2963. [Google Scholar] [CrossRef]
- Geng, Y.; Chen, X.; Yang, S.; Liu, F.; Shan, W. Promotional Effects of Ti on a CeO2-MoO3 Catalyst for the Selective Catalytic Reduction of NOx with NH3. ACS Appl. Mater. Interfaces 2017, 9, 16951–16958. [Google Scholar] [CrossRef]
- Li, C.; Tang, X.; Yi, H.; Wang, L.; Cui, X.; Chu, C.; Li, J.; Zhang, R.; Yu, Q. Rational design of template-free MnOx-CeO2 hollow nanotube as de-NOx catalyst at low temperature. Appl. Surf. Sci. 2018, 428, 924–932. [Google Scholar] [CrossRef]
- Jiang, L.; Liu, Q.; Ran, G.; Kong, M.; Ren, S.; Yang, J.; Li, J. V2O5-modified Mn-Ce/AC catalyst with high SO2 tolerance for low-temperature NH3-SCR of NO. Chem. Eng. J. 2019, 370, 810–821. [Google Scholar] [CrossRef]
- Li, G.; Zhu, B.; Sun, Y.; Yin, S.; Zi, Z.; Fang, Q.; Ge, T.; Li, J. Study of the alkali metal poisoning resistance of a Co-modified Mn/Ni foam catalyst in low-temperature flue gas SCR DeNOx. J. Mater. Sci. 2018, 53, 9674–9689. [Google Scholar] [CrossRef]
- Lin, X.; Li, S.; He, H.; Wu, Z.; Wu, J.; Chen, L.; Ye, D.; Fu, M. Evolution of oxygen vacancies in MnOx-CeO2 mixed oxides for soot oxidation. Appl. Catal. B Environ. 2018, 223, 91–102. [Google Scholar] [CrossRef]
- Hu, X.; Shi, Q.; Zhang, H.; Wang, P.; Zhan, S.; Li, Y. NH 3 -SCR performance improvement over Mo modified Mox-MnOx nanorods at low temperatures. Catal. Today 2017, 297, 17–26. [Google Scholar] [CrossRef]
- Chen, Y.; Li, C.; Chen, J.; Tang, X. Self-Prevention of Well-Defined-Facet Fe2O3/MoO3 against Deposition of Ammonium Bisulfate in Low-Temperature NH3-SCR. Environ. Sci. Technol. 2018, 52, 11796–11802. [Google Scholar] [CrossRef]
- Ma, Y.; Lai, J.; Wu, J.; Zhang, H.; Yan, J.; Li, X.; Lin, X. Efficient synergistic catalysis of chlorinated aromatic hydrocarbons and NOx over novel low-temperature catalysts: Nano-TiO2 modification and interaction mechanism. Chemosphere 2023, 315, 137640. [Google Scholar] [CrossRef]
- Jin, R.; Liu, Y.; Wang, Y.; Cen, W.; Wu, Z.; Wang, H.; Weng, X. The role of cerium in the improved SO2 tolerance for NO reduction with NH3 over Mn-Ce/TiO2 catalyst at low temperature. Appl. Catal. B Environ. 2014, 148–149, 582–588. [Google Scholar] [CrossRef]
- Li, C.; Huangfu, L.; Li, J.; Gao, S.; Xu, G.; Yu, J. Recent advances in catalytic filters for integrated removal of dust and NO from flue gas: Fundamentals and applications. Resour. Chem. Mater. 2022, 1, 275–289. [Google Scholar] [CrossRef]
- Pan, B.; Chen, J.; Zhang, F.; Zhang, B.; Li, D.; Zhong, Z.; Xing, W. Porous TiO2 aerogel-modified SiC ceramic membrane supported MnOx catalyst for simultaneous removal of NO and dust. J. Membr. Sci. 2020, 611, 118366. [Google Scholar] [CrossRef]
- Shan, L.; Yin, R.; Xiao, J.; Wang, H.; Ma, L.; Li, J.; Chen, J. Simultaneous removal of NOx and dust with integrated catalytic filter: Interactions between NH3-SCR and filtration processes. Chem. Eng. J. 2023, 458, 141466. [Google Scholar] [CrossRef]
- Chen, Y.-S.; Hsiau, S.-S.; Smid, J.; Wu, J.-F.; Ma, S.-M. Removal of dust particles from fuel gas using a moving granular bed filter. Fuel 2016, 182, 174–187. [Google Scholar] [CrossRef]
- Ryś-Matejczuk, M.; Müller, M. Corrosion behaviour of ceramic filter candle materials for hot gas filtration under biomass gasification conditions at 850 °C. Adv. Appl. Ceram. 2014, 112, 466–470. [Google Scholar] [CrossRef]
- Heidenreich, S.; Haag, W.; Salinger, M. Next generation of ceramic hot gas filter with safety fuses integrated in venturi ejectors. Fuel 2013, 108, 19–23. [Google Scholar] [CrossRef]
- Zhong, Z.; Xing, W.; Li, X.; Zhang, F. Removal of Organic Aerosols from Furnace Flue Gas by Ceramic Filters. Ind. Eng. Chem. Res. 2013, 52, 5455–5461. [Google Scholar] [CrossRef]
- Li, G.; Mao, D.; Chao, M.; Li, G.; Yu, J.; Guo, X. Low-temperature NH3-SCR of NO over MnCeO/TiO2 catalyst: Enhanced activity and SO2 tolerance by modifying TiO2 with Al2O3. J. Rare Earths 2021, 39, 805–816. [Google Scholar] [CrossRef]
- Zhou, Y.; Ren, S.; Wang, M.; Yang, J.; Chen, Z.; Chen, L. Mn and Fe oxides co-effect on nanopolyhedron CeO2 catalyst for NH3-SCR of NO. J. Energy Inst. 2021, 99, 97–104. [Google Scholar] [CrossRef]
- Zhang, X.; Zhang, X.; Yang, X.; Chen, Y.; Hu, X.; Wu, X. CeMn/TiO2 catalysts prepared by different methods for enhanced low-temperature NH3-SCR catalytic performance. Chem. Eng. Sci. 2021, 238, 116588. [Google Scholar] [CrossRef]
- Song, X.; Jian, B.; Jin, J. Preparation of porous ceramic membrane for gas-solid separation. Ceram. Int. 2018, 44, 20361–20366. [Google Scholar] [CrossRef]
- Li, K.; Zhou, T.; Xu, X.; Han, C.; Zhang, H.; Jin, J. PTFE-Modified Mn-Co-Based Catalytic Ceramic Filters with H2O Resistance for Low-Temperature NH3-SCR. Sustainability 2022, 14, 5353. [Google Scholar] [CrossRef]
- Han, Q.; Jin, S.; Wang, J.; Wang, J.; Sun, P.; Zhou, Y.; Wang, X.; Zhang, R.; Qiao, W.; Ling, L.; et al. Insights to sulfur-resistant mechanisms of reduced graphene oxide supported MnOx-CeOy catalysts for low-temperature NH3-SCR. J. Phys. Chem. Solids 2022, 167, 110782. [Google Scholar] [CrossRef]
- Chang, H.; Li, J.; Chen, X.; Ma, L.; Yang, S.; Schwank, J.W.; Hao, J. Effect of Sn on MnO–CeO2 catalyst for SCR of NO by ammonia: Enhancement of activity and remarkable resistance to SO2. Catal. Commun. 2012, 27, 54–57. [Google Scholar] [CrossRef]
- Venkataswamy, P.; Rao, K.N.; Jampaiah, D.; Reddy, B.M. Nanostructured manganese doped ceria solid solutions for CO oxidation at lower temperatures. Appl. Catal. B Environ. 2015, 162, 122–132. [Google Scholar] [CrossRef]
- Li, D.; Li, K.; Xu, R.; Wang, H.; Tian, D.; Wei, Y.; Zhu, X.; Zeng, C.; Zeng, L. Ce1-xFexO2-δ catalysts for catalytic methane combustion: Role of oxygen vacancy and structural dependence. Catal. Today 2018, 318, 73–85. [Google Scholar] [CrossRef]
- Yang, J.; Ren, S.; Zhang, T.; Su, Z.; Long, H.; Kong, M.; Yao, L. Iron doped effects on active sites formation over activated carbon supported Mn-Ce oxide catalysts for low-temperature SCR of NO. Chem. Eng. J. 2020, 379, 122398. [Google Scholar] [CrossRef]
- Xu, H.; Wang, Y.; Cao, Y.; Fang, Z.; Lin, T.; Gong, M.; Chen, Y. Catalytic performance of acidic zirconium-based composite oxides monolithic catalyst on selective catalytic reduction of NOx with NH3. Chem. Eng. J. 2014, 240, 62–73. [Google Scholar] [CrossRef]
- Zhou, L.; Li, C.; Zhao, L.; Zeng, G.; Gao, L.; Wang, Y.; Yu, M.E. The poisoning effect of PbO on Mn-Ce/TiO2 catalyst for selective catalytic reduction of NO with NH3 at low temperature. Appl. Surf. Sci. 2016, 389, 532–539. [Google Scholar] [CrossRef]
- Lu, S.; Song, L.; Zhou, C.; Su, Z.; Shu, G.; Ma, K.; Yue, H. Ultra-high hydrothermal stability of Ce-based NH3-SCR catalyst for diesel engines: A substitute for Cu zeolites. Fuel 2023, 338, 127263. [Google Scholar] [CrossRef]
- Xiong, Z.; Liu, J.; Guo, F.; Du, Y.; Zhou, F.; Yang, Q.; Lu, W.; Shi, H. Influence of nonmetallic elements doping on the NH3-SCR activity and properties of Ce20W10Ti100O catalyst via melamine modification. J. Solid State Chem. 2023, 321, 123879. [Google Scholar] [CrossRef]











| Catalysts | Evaluation Conditions | GHSV | Temperature/°C | NOx Conversion | References |
|---|---|---|---|---|---|
| Mn2CeMo0.1/LDPC | [NO]=[NH3] = 500 ppm, [O2] = 6% [H2O] = 7%, [SO2] = 100 ppm | 150,000 | 160 | 90% | This study |
| Mn2CeMo0.2/LDPC | [NO]=[NH3] = 500 ppm, [O2] = 6% [H2O] = 7%, [SO2] = 100 ppm | 150,000 | 160 | 85% | This study |
| MnCeOx/TiO2-Al2O3 | [NO]=[NH3] = 500 ppm, [O2] =5% [H2O] = 10%, [SO2] = 50 ppm | 80,000 | 175 | 60% | [36] |
| MnOxCeOy/rGO(0.1) | [NO]=[NH3] = 500 ppm, [O2] = 5%, [H2O] = 5%, [SO2] = 100 ppm | 60,000 | 160 | 60% | [41] |
| Sn(0.1)Mn(0.4)CeOx | [NO]=[NH3] = 1000 ppm [O2] = 6% [H2O] = 12%, [SO2] = 100 ppm | 35,000 | 110 | 65% | [42] |
| Catalyst | O Species | |||||||||
|---|---|---|---|---|---|---|---|---|---|---|
| Mn Species | Ce Species | Absorbed Oxygen | Lattice Oxygen | |||||||
| Mn3+ | Mn4+ | Mn4+/Mn3+ | Ce4+ | Ce3+ | Ce4+/Ce3+ | Oβ | Oγ | Oα | Oγ + Oβ/Oα | |
| Mn2Ce1 | 47.0 | 53.0 | 1.13 | 87.1 | 12.9 | 6.74 | 13.1 | 16.8 | 70.1 | 0.42 |
| Mn2Ce1Mo0.1 | 46.5 | 53.5 | 1.15 | 85.5 | 14.5 | 5.88 | 16.6 | 13.2 | 70.2 | 0.42 |
| Mn2Ce1Mo0.2 | 44.7 | 55.3 | 1.24 | 86.9 | 13.1 | 6.61 | 20.0 | 10.5 | 69.5 | 0.44 |
Disclaimer/Publisher’s Note: The statements, opinions and data contained in all publications are solely those of the individual author(s) and contributor(s) and not of MDPI and/or the editor(s). MDPI and/or the editor(s) disclaim responsibility for any injury to people or property resulting from any ideas, methods, instructions or products referred to in the content. |
© 2023 by the authors. Licensee MDPI, Basel, Switzerland. This article is an open access article distributed under the terms and conditions of the Creative Commons Attribution (CC BY) license (https://creativecommons.org/licenses/by/4.0/).
Share and Cite
Zhou, T.; Jin, J.; Zhang, H. Mn-Ce Catalysts/LDPC Modified by Mo for Improving NH3-SCR Performance and SO2 Resistance at Low Temperature. Metals 2023, 13, 938. https://doi.org/10.3390/met13050938
Zhou T, Jin J, Zhang H. Mn-Ce Catalysts/LDPC Modified by Mo for Improving NH3-SCR Performance and SO2 Resistance at Low Temperature. Metals. 2023; 13(5):938. https://doi.org/10.3390/met13050938
Chicago/Turabian StyleZhou, Tao, Jiang Jin, and Hua Zhang. 2023. "Mn-Ce Catalysts/LDPC Modified by Mo for Improving NH3-SCR Performance and SO2 Resistance at Low Temperature" Metals 13, no. 5: 938. https://doi.org/10.3390/met13050938
APA StyleZhou, T., Jin, J., & Zhang, H. (2023). Mn-Ce Catalysts/LDPC Modified by Mo for Improving NH3-SCR Performance and SO2 Resistance at Low Temperature. Metals, 13(5), 938. https://doi.org/10.3390/met13050938

