Abstract
The effects of alloying elements (Si, Cr, Mo) on the solution and diffusion of oxygen (O) atoms at the grain boundary of iron (Fe) Σ5(310)/[001] are investigated by the simulations of ab initio density functional theory (DFT). It is found that Si, Mo and Cr prefer to segregate to the grain boundary, and further affect the solution and diffusion of O atoms at Fe grain boundaries. The segregated Cr promotes the solution of O, while Si and Mo inhibit the solution of O at the grain boundary. Meanwhile, Cr and Si accelerate the diffusion of O, and Mo retards the diffusion of O in the grain boundary. Further analysis indicates that the effects are closely related to the interactions between the alloying elements and O atoms, which are determined by the competition between the distortion of local structure and the charge transfer between local atoms. Finally, the effects of alloying elements on the O concentration distribution near the grain boundary are explored by employing the Langmuir–McLean models. This work not only provides insights into the effects of alloying elements on the solution and diffusion of O at grain boundaries, but also provides parameters of the atomic interactions for the initial oxidation simulation on a large scale, which relates to the growth of oxide in polycrystalline systems with various grain sizes at experimental temperatures.
1. Introduction
Oxidation corrosion of steels is a common phenomenon in industry, and attracts more and more attention in some extreme environments, such as at high temperature and under irradiation in nuclear reactors. In the development of nuclear reactors, ferritic/martensitic (F/M) steels with an α-iron (α-Fe) matrix [1,2,3,4] are candidates for structural materials due to their outstanding properties, such as high thermal conductivity, low coefficient of expansion and excellent radiation resistance [5]. As structural materials, F/M steels are oxidized as they are exposed to the coolant of air, water or liquid metal containing oxygen (O) in addition to strong irradiation [6,7]. Oxidation can effectively reduce the continuous corrosion from the environment, while it would reduce thermal conductivity, and increase the risk of slag precipitation [8]. Therefore, controlling and estimating the oxidation scale of steels are crucial for improving the thermal efficiency and safety of nuclear reactors.
Experimental studies indicate that the oxidation of F/M steels in contact with water/liquid metal presents a multi-layer structure, including a porous outer layer of magnetite, a dense inner layer of spinel and an internal oxidation zone (IOZ) enriched with alloying elements. The composition of the inner layer and IOZ depends on the type and proportion of alloying elements in steels [9]. In 9Cr-T91 steel, the inner oxidation is dominated by (Fe, Cr)3O4 [10], which exhibits good corrosion resistance for steels when in contact with O-containing coolant. In SIMP steel with 1% Si, the inner oxidation contains not only (Fe, Cr)3O4, but also a SiO2 band at the interface between two grains [11]. The tight layer of SiO2 can also significantly improve the corrosion resistance of the material in contact with liquid lead bismuth eutectic (LBE) [12,13]. Furthermore, Mo presents better corrosion resistance than Fe [14]. Especially, in the IOZ, alloying elements were found to assemble at grain boundaries (GBs), and their oxidization occurs at GBs with priority [15,16,17]. Therefore, gradient nano- and submicron-structured steel surface layers were produced to increase the amount of GBs to accelerate the diffusion of alloying atoms and quickly form dense oxides to retard the corrosion [18,19,20,21]. Although some Fe-based alloys with nanostructure were tested, the mechanism of the interaction between alloying elements and oxygen at the GB is still not clear, which determines the formation of oxide for improving their corrosion resistance.
Currently, a general mechanism for the oxidation of steels is the “Space Available Model”, in which the oxides are formed by the outward migration of Fe and alloying of atoms, and the inward migration of O atoms [22]. So far, many theoretical studies have been performed on Fe migration, alloying and O atoms in bulk Fe with body-centered cubic (bcc) structure [15,23,24]. Based on atomistic calculations, Shang et al. investigated the diffusivity of interstitial O in bcc-Fe with and without a vacancy, and found that O in the octahedral interstice is always energetically favorable [25]. By investigating the solution and diffusion properties of O atoms at different Fe-GBs, Liu found that GBs could attract interstitial O and hinder O diffusion, and vacancies in GBs could accelerate diffusion of O atoms [26]. Additionally, the orientation of the surface and the concentration of O could also affect the adsorption of O atoms on the Fe surface and the oxidation corrosion [27]. However, knowledge of the solution and diffusion properties of O in GBs is still scarce, especially in GBs with alloying elements.
Herein, atomistic simulations based on first-principles calculations were conducted to explore the influence of alloying elements on the solution and diffusion of O at GBs in bcc-Fe based structural materials. Based on our previous work [26], the Fe-GB of Σ5(310), having a stronger attraction of O than Σ3(111)/[110], was chosen to explore the effects of three typical alloying elements (Si, Cr, Mo) on the solution and diffusion behaviors of O in the GB. Firstly, the segregation energies of alloying atoms near the GB were calculated to find their stable sites at the GB. Then, the alloyed GBs were used to explore the effects of alloying elements on the solution and diffusion of O near/at the GB by calculating the solution/segregation energies and migration barriers of O at the alloyed GBs. The effects were further understood by analyzing the variation in the local structure and charge density around O and the changes in the diffusion coefficient of O in the GB. Finally, the effects of alloying elements on the concentration of O near the alloyed GBs were depicted, which correspond to the initial conditions for the formation of oxide. The energetic and dynamic results not only exhibit the effects of alloys on the solution and diffusion of O at alloyed GBs, but also provide necessary parameters for simulating the initial evolution of oxide in the Fe-based alloys with nanostructure.
2. Methods
2.1. Computational Methods
The reported first-principles total energy calculations were carried out based on the density functional theory (DFT) using the Vienna ab initio simulation package (VASP) [28,29,30]. The Perdew–Burke–Ernzerhof (PBE) [31] functional within generalized gradient approximation (GGA) was used to illustrate the exchange and correlation effects, and the projector augmented-wave (PAW) [32] method was employed to describe electron–ion interactions. All calculations were carried out with spin polarization due to the ferromagnetism of Fe. Ionic relaxations were conducted until the magnitude of the force components on all atoms was smaller than 0.01 eV Å−1. The lattice constant of bcc-Fe was optimized to be 2.83 Å based on a 4 × 4 × 4 supercell containing 128 atoms, which compared well to previous calculations [33,34].
Based on the relaxed lattice constant, the symmetric tilt GB of Σ5(310) was constructed according to the coincidence site lattice (CSL) model [35]. As shown in Figure 1a, to construct the GB model, two grains with the same crystalline orientation of [310] were aligned parallel to the corresponding GB plane, followed by a 180° rotation of grain A relative to grain B around the direction perpendicular to the GB plane [36,37]. A bi-crystal model was then constructed by joining the two grains. Meanwhile, to avoid atomic overlap at the GB plane, an atom deletion process was performed. The supercell contains 120 atoms and 30 atomic layers along the [310] direction in grain A/B. The directions along [001] and are labeled as x and y, respectively. Periodic boundary conditions were applied along the above three directions. The uniform grids of k-points were 7 × 3 × 1 according to the Monkhorst–Pack scheme with a complete relaxation of the atomic positions and volume of the supercell. To obtain the ground-state structure of the GB, an energy minimization procedure with the conjugate gradient algorithm was employed through a rigid-body translation of grain A relative to grain B in the two directions parallel to the GB plane (Figure 1a), followed by the atomic relaxation of all the atoms. As shown in Figure 1b, the GB structure of Σ5(310) is composed of a polyhedron unit of a cap trigonal prism (CTP) [38]. All the possible substitution positions for alloying atoms were marked as L1, L2,…L9 (there were 15 layers in half of the model but only 9 layers are shown in the figure). Here, the first layer represents the GB plane.
Figure 1.
(a) 3D sketch of the construction of the grain boundary (GB) and (b) atomic structure and polyhedron structure units (TET, OCT and CTP) of the Fe Σ5 (310) GB. Fe atoms at different layers along the [001] direction are represented by blue and gray, respectively. The CTP structure is represented by the corresponding atomic color on the GB. The purple sphere represents an alloying atom.
2.2. Analysis Methods
To characterize the stability of Σ5(310), GB energy was introduced and defined as [26,33]
where is the total energy of the GB supercell containing n Fe atoms. is the chemical potential of an Fe atom in bcc-bulk. The factor of 2 originates from the fact that one supercell contains two GB planes due to periodic boundary conditions, and A is the area of the GB plane. The GB energy was calculated to be 1.55 J∙m−2, which is consistent with previous calculation results [26,33,39,40].
The stable positions of the alloying atoms in the Fe-GB were explored by the substitution energy of the alloying atoms in the GB [28]
where and represent the total energy of the GB supercell with and without alloying atom (X), respectively. is the chemical potential of the alloying atom, which was defined as the energy of the alloying atom in their corresponding ground state structure.
Similarly, in order to obtain the stable positions of O atoms in the Fe-GB, the solution energy, Esol, representing the energy needed to dissolve an O atom, was calculated according to the following definition [26]:
where and represent the total energy of the alloyed GB supercell with and without the O atom, respectively. denotes the energy of an O atom in oxygen gas. Here, the negative value represents a heat release process, and the O atom is energetically favorable to dissolve. On the contrary, the positive value represents the heat absorbing process, which is difficult to occur.
To assess the trapping ability of GBs to foreign atoms (O and alloying atoms), the segregation energy was defined as the energy to move an atom from the bulk into the GB. It was calculated as the energy difference between the solution/substitution energy of foreign atoms in the GB and bulk [41]
where and are the solution energy of O atoms or substitution energy of alloying elements in the GB and bulk, respectively.
To describe the interaction between the substitutional alloying atom X and the interstitial O atom, the total binding energy was defined as follows [42,43,44]:
where , and represent the total energy of a Fe-GB containing the alloying atom X and an O atom, the alloying atom and an O atom, respectively. A negative indicates attractive interaction between the X and O atoms, while a positive value indicates repulsion between the X and O atoms. In order to further explore the origin of the total binding energy, we decomposed it into the distortion binding energy () and the electronic binding energy (), respectively [43,45].
The electronic binding energy is the difference between bond energies in the systems before and after the formation of the complex. The distortion binding energy is the energy that can be gained by reducing the distortion in the host Fe matrix. was defined as [43]
where , and represent the total energy of the systems without X and O atoms, X atoms and O atoms, respectively. They can be obtained as follows: once the supercell contains X and O atoms, X atoms or O atoms have been fully relaxed, the X and O atoms, X atoms or O atoms are removed from the corresponding relaxed supercell, respectively. Then the total energy of the supercell can be obtained after static relaxation. Based on the distortion binding energy, the electronic binding energy can be obtained by Equation (6).
3. Results
3.1. Stable Positions of Alloying and O Atoms in the Fe-GB
The alloying atoms prefer to occupy substitution sites if their atomic sizes are similar to or larger than those of the solvent [24]. To determine the stable positions of the alloying atoms in a pure Fe-GB, the substitution energies of the alloying atoms at different layers were calculated and are shown in Figure 2a. Both Si and Cr have the lowest substitution energy in the second layer, while Mo has the lowest substitution energy in the first layer. Si has the lowest substitution energy among the three atoms. According to Equation (4), the segregation energies of alloying atoms in the different layers in a pure Fe-GB were calculated and are displayed in Figure 2b. All the segregation energies of alloying atoms are negative, and the closer to the GB plane, the smaller the segregation energy. This indicates the energetic driving force for alloying atoms to move to the GB region [15,26], which is consistent with the experimental finding that alloying elements segregate at the GB [16]. In addition, the favorable sites of the three alloying atoms are different to each other. Si and Cr tend to segregate at the second layer from the GB plane, while Mo tends to segregate at the GB plane.
Figure 2.
(a) Substitution energy and (b) segregation energy of alloying atoms in different layers of the pure Fe-GB. Si, Mo and Cr are represented by yellow squares, purple circles and green triangles, respectively.
Then, the stable positions of O atoms in the alloyed GBs were explored, since the alloying elements segregated to the GB region may alter the electron distribution of GBs, and further affect the behavior of O atoms in Fe-GBs. Different interstitial positions were explored in the CTP structure unit (numbered c1–c7 in Table 1) to find the most stable position of the O atom in Fe-GBs. As shown in Table 1, the O atoms initially located at the c2, c4, c5 and c6 sites remain unchanged after optimization, while the O atoms at the initial sites of c1, c3 and c7 automatically relaxed at the c6, c2 and c2 sites, respectively. Therefore, the c2, c4, c5 and c6 sites were taken as the energetically favorable positions for O atoms in Fe-GBs and explored in the following study.
Table 1.
Initial and final positions of the O atom in the CTP polyhedron unit of different alloyed Fe grain boundaries. All the interstitial positions for O atoms in the CTP unit with high symmetry are labeled by c1, c2, c3…c7.
Based on the four positions mentioned above, the solution properties of O atoms around alloying elements at the GB were investigated by calculating the solution energy and segregation energy of an O atom in the pure and alloyed GBs. Given the specificity of the GB structure, the OCT sites near CTP were also considered for O atoms in the alloyed GBs with Si/Cr segregated in the GB plane (L1 layer). As shown in Figure 3a, all solution energies are negative and lower than that those of the bulk, which indicates that O atoms can exist stably at alloyed Fe-GBs. The solution energies of O in alloyed GBs with Si/Cr in the L2 layer are lower than those in alloyed GBs with Si/Cr in the L1 layer, so the alloyed GBs with Si/Cr in the L2 layer were considered in the following calculations. In all alloyed Fe-GBs, the solution energies of the O atom at c2 are the lowest, and these GB structures with the O at c2 have no obvious change after optimization. Thus, c2 is the most stable position for one O atom in all the alloyed Fe Σ5(310) GBs.
Figure 3.
(a) Solution energies of O atoms at various stable CTP positions of alloyed Fe-GBs. The black squares represent a pure Fe-GB, the red stars, the cyan spheres and the blue triangles represent Fe-GBs containing Si, Cr and Mo, respectively. Solid symbols indicate Si and Cr in the L2 layer and hollow indicates Si and Cr in the L1 layer. (b) The segregation energies of O atoms vary with the distance from the crystal interface. Solid black squares indicate the pure Fe-GB, red hollow stars, cyan hollow spheres and blue hollow triangles indicate Fe-GBs with alloying elements Si, Cr and Mo, respectively.
3.2. The Effects of Alloying Elements on the Solution of O Atom in the GB
The effects of alloying elements on the solution of O atoms were investigated by comparing the solution energies of O atoms at the most stable site (c2) in the alloyed GBs with those in the pure GB. As shown in Figure 3a, the solution energies of O atoms in all alloyed GBs are negative and less than those in the bulk region. This implies that O atoms prefer to solute in the GBs with the considered alloying elements energetically. The solution energy of an O atom in the Si- and Mo-alloyed GBs are −2.58 eV and −2.63 eV respectively, which are greater than that in the pure GB (−2.70 eV). On the contrary, the solution energy of the O atom in the Cr-alloyed GB is −2.94 eV. Such a difference in the solution energy of an O atom in alloyed GBs indicates that Cr could promote the solution of O atoms in the Fe-GB, while Si and Mo may impede the solution of O atoms in the Fe-GB.
In addition, the effects of alloying elements on the movement tendency of O atoms were further explored by the segregation energies of O atoms in the alloyed GBs. The segregation energies of the O atom in the Si-, Mo- and Cr-alloyed GBs were calculated and are shown in Figure 3b. The closer to the GB plane, the smaller the segregation energy of the O atom becomes. It indicates that energetically O atoms tend to gather in the GB region. Relative to the segregation energy of an O atom at the most stable position of c2 (−1.63 eV) in a pure Fe-GB, they are increased to −1.51 eV and −1.47 eV in Si- and Mo-alloyed Fe-GBs, respectively. Nevertheless, the segregation energy of the O atom at c2 in a Cr-alloyed GB is −1.87 eV, which is lower than that in the pure GB. Such results indicate again that Cr makes O more stably exist and further accumulate at the Fe-GB. Instead, Si and Mo energetically mitigate the segregation of O atoms to the Fe-GB, and further reduce the accumulation of O atoms in the GB region. This is in agreement with the experimental observation that several GB segments are characterized by the combined local segregation of Cr with O in steel exposed to LBE [16].
3.3. The Effects of Alloying Elements on the Diffusion of O Atoms in the GB
As the O atom diffuses in the GB region, the substitutional atoms can be assumed to be immobile, since their diffusion coefficients are much smaller than that of O [23]. Given that solutes would migrate through the interstitial sites if their atomic sizes are smaller than that of the host atoms [46], the migration path of the O atom was selected from the most stable interstitial location to its neighbor location in a periodic lattice, such as CTP, OCT and TET sites. The migration energy barriers of interstitial O atoms in the Σ5(310) GB region were investigated using the climbing image nudged elastic band (CI-NEB) method [47]. Based on the three periodical CTP structural units in the Σ5(310) GB, the migration paths along the [001] and directions were considered and marked as path 1 and path 2, respectively, as shown in Figure 4a.
Figure 4.
(a) The migration paths of an O atom at the GB of Fe Σ5 (310). The C and PC sites represent the most stable positions of the O atom at the CTP structure unit, path 1 represents the migration path from C to PC along the [001] direction and is indicated by the blue dashed line, path 2 represents the migration path from PC to C along the direction and is indicated by the yellow dashed line. The dark blue sphere represents the alloying elements Si and Cr, the purple sphere represents the alloying element Mo and the black dotted line indicates that they replace the corresponding Fe atoms. The blue and gray spheres represent Fe atoms, and the pink spheres represent an O atom. (b) The migration energy barriers of O atoms on two paths (path 1 and path 2). The black hollow square represents the migration energy barrier of O in the pure Fe grain boundary, the solid red star, cyan sphere and blue triangle represent the migration energy barriers of O in a Fe-GB with Si, Cr and Mo, respectively.
Figure 4b shows the energy barriers of an interstitial O atom that migrates in pure and alloyed Σ5(310) Fe-GBs, respectively. All energy barriers of the interstitial O migrating in path 1 present a regularly symmetrical parabolic shape. In the Mo-alloyed GB, the energy barrier of the O atom migrating along the [001] direction is 0.76 eV, which is greater than that in a pure Fe-GB (0.67 eV). On the contrary, the energy barriers are 0.36 eV and 0.52 eV in the Si- and Cr-alloyed GBs, respectively, which are less than that of the pure Fe-GB. This indicates that Mo inhibits, while Si and Cr facilitate, the migration of O atoms at the GB plane (along the [001] direction) in the alloyed GBs. For path 2, all the energy barrier curves of O atoms present an asymmetric parabolic shape. It is 1.22 eV in a Mo-alloyed Fe-GB, which is greater than that in the pure Fe-GB (1.06 eV). However, they are 0.87 eV and 1.05 eV in GBs alloyed with Si and Cr, respectively, which are less than or almost equal to that in pure Fe. This indicates that Mo also retards, while Si promotes, the migration of the O atom along the direction in the GB plane, and Cr has little effect on the migration. In addition, the migration energy barriers of an interstitial O atom along path 2 are generally larger than those along path 1. These indicate that the O atom prefers to diffuse to the sites near the alloying elements along the [001] direction, especially in the Si- and Cr-alloyed GBs.
4. Discussion
4.1. Insight into the Effects of Alloying Elements on the Solution and Diffusion of Oxygen
To obtain insights into the effects of alloying atoms on the solution and diffusion of O atoms, we calculated the binding energies of the alloying and O atoms. According to Equation (5), the binding energies between the alloying atom and O atom () were calculated and are listed in Table 2. The values for Si–O, Cr–O and Mo–O are 0.12 eV, −0.24 eV and 0.07 eV, respectively. The positive binding energies for Si–O and Mo–O indicate the repulsive interactions between O and Si/Mo atoms, while the negative binding energy for Cr–O indicates an attractive interaction between O and Cr. This is consistent with previous results in the bcc-Fe bulk [23,48].
Table 2.
Binding energies of alloying atoms with O at the GB and in bulk from the literature.
To clarify the different interactions of alloying atoms with O atoms, the binding energies were divided into the distortion binding energy and electronic binding energy, which related to the distortion of local structure and charge transfer between local atoms near the GB plane, respectively. Based on Equations (6) and (7), the distortion and electronic binding energies of the alloying elements with O were calculated and are shown in Table 2. The distortion binding energies of Si–O and Mo–O are −0.04 eV and −0.12 eV, respectively, demonstrating that the strain during the formation of Si- and Mo-alloys is relaxed and reduced continuously. On the contrary, the between Cr–O is 0.02 eV, showing that the strain is unrelaxed and increased in the process of forming a Cr-alloy. The interactions could be reflected in the change in the volume of CTP caused by the alloying elements. In Figure 5, the volumes of CTPs with Si and Mo expand to 22.93 Å3 and 22.70 Å3, respectively, compared with that of the pure GB (22.62 Å3), which provide larger space to accommodate O atoms. However, the volume of CTP in Cr-alloyed GB is contracted to be 22.59 Å3.
Figure 5.
The bond length between O and surrounding atoms, as well as in the volume of the CTP structure unit in (a) pure Fe-GB, (b)Si-alloyed GB, (c) Cr-alloyed GB, (d) Mo-alloyed GB.
The electronic binding energies of Si–O and Mo–O are 0.16 eV and 0.19 eV, respectively, while the for Cr–O is −0.26 eV. The positive values indicate electronic repulsion between Si/Mo and O atoms, and the attractive interaction between Cr and O atoms. The electronic interactions between O and the alloying atoms are related to their electronegativity. The difference in electronegativity between O (3.44) and Cr (1.66) is greater than that between O and Fe (1.83), indicating a stronger ionic bond between O and Cr. On the contrary, the smaller difference in electronegativity between O (3.44) and Si (1.9) or Mo (2.16) presents a weaker interaction compared with that between O and Fe.
The electronic interactions between alloying atoms and O atoms were further explored by comparing the differential charge density of O in alloyed GBs with that in a pure Fe-GB. As shown in Figure 6a–f, the differential charge density maps of the CTP structure in a pure Fe-GB and alloyed Fe-GBs were obtained in three-dimensions. Clearly, the electrons around Fe and alloying atoms are transferred to O atoms, while the amounts of charge transfer around Si and Mo atoms to O are less than that around the Cr atom. To further clarify the effects of alloying atoms on the electron distribution in the CTP structure, the charge densities were projected into two-dimensional charge density plots as shown in Figure 6a–f. The corresponding two-dimensional projections along a specific direction are shown in Figure 6g–l. In a given projection, the differential charge densities around O atoms are positive, indicating that O atoms obtain electrons from the surrounding Fe and alloying atoms. The space with negative charge density around Si is much smaller than that around the Fe atom, which implies that Si transfers fewer electrons to the O atom, and meanwhile changes the charge density around the neighboring Fe atoms. While in the Cr-alloyed CTP structure, the space with negative charge density around the Cr atom is larger than that around the Fe atom, denoting that more electrons transfer to the O atom. Mo not only changes the density of electrons around the O atom, but also changes the distribution of the electrons around the O atom and neighboring Fe atoms labeled as Fe2 in Figure 6f, although the distance between Mo and O is greater than that between Si and O or Cr and O.
Figure 6.
The differential charge densities of O in pure Fe, Si, Mo and Cr alloyed iron in three-dimensions (a–f) and in two-dimensions (g–l). (a–c) show the differential charge densities of CTP in a pure Fe-GB in three-dimensions with different projections for the comparison with the alloyed GBs in the right plots (d–f). In (a–f), the yellow area indicates charge accumulation, and the blue area indicates charge loss. In (g–l), the negative value in the blue region indicates the loss of charge density, while the positive value in the red region corresponds to the accumulation of charge density. The isosurface of 0.005 was used when intercepting the two-dimensional projection plane.
The interaction between the impurity atom and O atom was further analyzed by the projected density of states (pDOS) as shown in Figure 7. In the pure GB, the O_2p orbital shows a narrow peak at −7.5 eV and a broad peak near the fermi energy. The O_2p orbital shows more overlap with the Fe2_4s orbital compared with that of the Fe1_4s orbital around −7.5 eV under the Fermi energy (Fe1 and Fe2 denote the Fe atoms located at the first and second layer of the GB, respectively, as shown in Figure 5). This indicates the stronger interaction between O and Fe2 than that between O and Fe1. As Si is doped, the narrow peak of O_2p is split and shifted to lower energy, and hybridizes with the Si_3s orbital. As Cr is alloyed, the peak of O_2p increases due to more charge transferred from Cr than Fe as shown in Figure 6k, which denotes a stronger interaction between Cr and O. When Mo locates at the GB, its 5s and 4d orbitals show little interaction with the 2p orbital of O, however the 4d orbital and 3d orbital of Fe2 overlap and show metallic behavior as shown in Figure 7d.
Figure 7.
The projected density of states (pDOS) of O with Fe, Si, Cr and Mo atoms. Fe1 and Fe2 represent Fe atoms in the first layer and second layer of the (a) pure Fe-GB, (b) Si-alloyed GB, (c) Cr-alloyed GB, (d) Mo-alloyed GB, respectively.
In addition, the distortion and electron redistribution of CTP induced by alloying atoms inevitably affect the migration of O atoms in the GB. According to the Arrhenius function [49,50], the diffusion coefficient can be estimated by , where d relates to the jumping distance and is the migration energy barrier, and ω, kB and T represent the intrinsic frequency in s−1, the Boltzmann constant (8.617 × 10−5 eV K−1) and temperature in K. Considering the distortion induced by different alloying atoms, the diffusion distance of O along path 1 in the pure GB (2.8 Å) is greater than that in Si-alloyed GB (2.44 Å), while is similar to that in the Cr- and Mo-alloyed GBs. At 300 K, the diffusion coefficients of O in the Si-, Cr- and Mo-alloyed GBs are 122, 585, 331 and 0.03 times higher than that in the pure Fe-GB along path 1. Similarly, the diffusion coefficients of O in the Si-, Cr- and Mo-alloyed GBs at 300 K are 1445, 1.47 and 0.002 times higher than that in the pure Fe-GB along path 2, respectively. The differences in the diffusion coefficients of O in the alloyed GBs and pure GB decrease, as the temperature increases. For example, the diffusion coefficient of O in the Si-, Cr- and Mo-alloyed GBs is 68, 8.81 and 0.27 times higher than in the pure Fe GB at 800 K. Consequently, Si and Cr segregated at the GB promote the diffusion of O atoms through the GB, especially along path 1. Therefore, the oxide originates in the GB region in the IOZ, especially in iron-based alloys. This result is consistent with the fact that the Cr-based oxide preferentially forms in steels with fine-grained microstructure and the SiO2 band distributes at the interface between two grains of steels in contact with oxygen-containing liquid metal [16,51].
4.2. The Effects of Alloying Elements on Oxygen Concentration
The oxidation process is strongly related to the concentration of O, therefore, the effect of alloying elements on O concentration was described visually by estimating the equilibrium O concentration at the GB and bulk regions. The relationship between O concentration in the GB and bulk-like regions can be described by the following Langmuir–McLean equation [52,53]
where and represent the concentration of O in the bulk and the GB, is the segregation energy of O in different positions of the Fe-GB as labeled in Figure 3b, T is the environment temperature and is the Boltzmann constant. Instead, when the O concentration in the environment is known, the O concentration in the GB can be estimated by
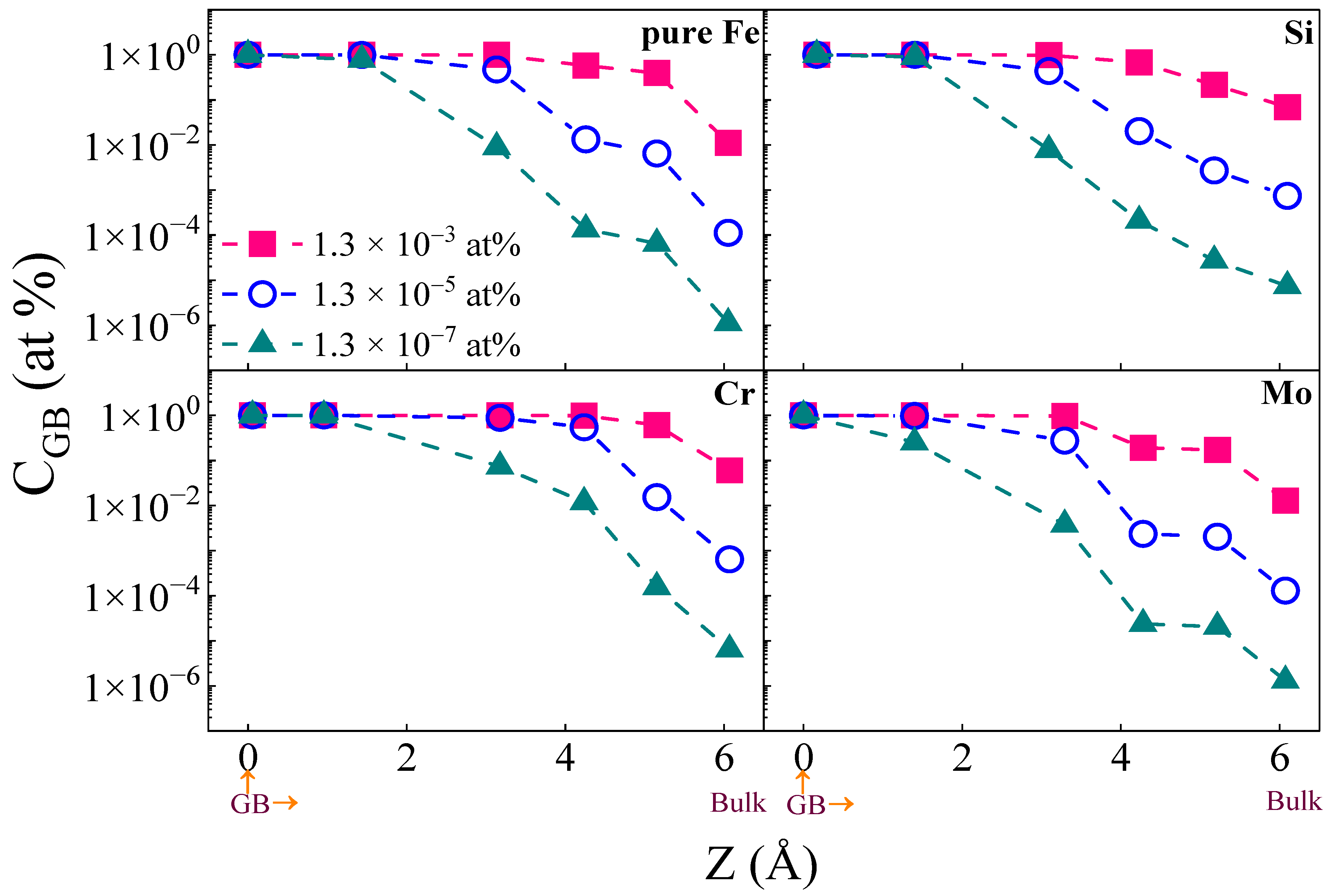
At an experimental temperature of 800 K [9], the O concentration at different positions perpendicular to the GB plane can be calculated according to Equation (9) based on the value of in Figure 3b and three typical concentrations of O in bulk (1.3 × 10−3, 1.3 × 10−5 and 1.3 × 10−7 at%). As shown in Figure 8, the concentrations of O atoms generally decrease with the increasing distance away from the GB plane until they arrive in the bulk-like region where the segregation energy increases up to 0 eV. The O concentrations in the GB show little difference among alloyed GBs, with different O concentrations in the bulk due to the similar segregation energy in these GBs as shown in Figure 3b. So, the oxidation would occur in the GB in the IOZ, even at a low O concentration. In addition, the higher the O concentration in the bulk, the wider the oxidation region with high O concentration in the GB. As shown in Figure 8a, the concentration of O atoms in a pure Fe-GB decreases gently within 3 Å from the GB plane, and decreases sharply after 3 Å with a high O concentration of 1.3 × 10−3 at% in the bulk. However, with an O concentration in the bulk as low as 1.3 × 10−7 at%, the concentration of O decreases sharply from the GB plane. In addition, the range of the oxidation region also depends on the alloying atoms. When the O concentration in the bulk is 1.3 × 10−3 at%, the Si- and Mo-alloyed GBs show comparable regions with high O concentration compared with the pure Fe-GB. In the Cr-alloyed GB, the region with a high O concentration can occur at 4.23 Å from the GB, which is greater than that in the pure Fe-GB. The more easily O atoms segregate at the Fe-GB, the higher the concentration of O at the GB, and the greater the probability of oxidation at the Fe-GB.
Figure 8.
The concentration of O as a function of the distance from the GB plane. The pink solid square, blue open circle and cyan solid triangle represent the concentrations of O atoms at different positions relative to the GB plane when the O concentration in the bulk () is 1.3 × 10−3, 1.3 × 10−5 and 1.3 × 10−7 at%, respectively.
5. Conclusions
In this work, the effects of alloying elements (Si, Cr and Mo) on the solution and migration of O atoms in the Fe Σ5(310) GB were studied by analyzing the energetic and dynamic properties, as well as by electronic characterization based on DFT simulations. Alloying elements energetically tend to segregate into the GB, with Si and Cr preferring to stay at the second layer and Mo tending to stay at the first layer in the GB. O atoms have a lower a solution energy and migration energy barrier in a Cr-alloy GB compared with that in a pure GB, which denotes that the segregated Cr could promote the solution and diffusion of the O atom in the GB. In addition, Cr can increase the O concentration near the Fe-GB. For Si-alloyed GBs, the solution energies of the O atom increase slightly relative to that in the pure Fe-GB, but are still less than that in the bulk. Meanwhile the migration energy barrier of O decreases by 46% in the Si-alloyed GB. This indicates that the Si-alloyed GB could still attract O atoms from the bulk, and the Si atom could accelerate the diffusion of O along the GB. It may favor the formation of a SiO2 band quickly along GBs in steels. As Mo segregates to the GB, it increases the solution energy and diffusion energy barrier of O in the GB. The above results are consistent with the fact that the Cr-based oxide and the SiO2 band preferentially forms at the GB in steels in contact with oxygen-containing liquid metal [16,51]. This work not only reveals the atomic picture of the interactions between alloying elements and O atoms in the GB, but also provides essential energetics and dynamic parameters for simulating the growth of oxide in Fe-based alloys with nanostructure on a large scale.
Author Contributions
Data collection and writing—original draft, J.Z.; Methodology, X.L. (Xiaolin Li), Y.L., X.L. (Xiangyan Li); Supervision, Y.X. and Y.Z.; Writing—review and editing, Y.X., J.Y., X.W. and C.L.; Conception, Y.Z. and B.L. All authors have read and agreed to the published version of the manuscript.
Funding
This work was supported by the National Key Research and Development Program of China (Grant No.: 2022YFE03110000), the National Natural Science Foundation of China (Nos.: 12192282, 52071314, U1967211, U22B2066, 12075194, 52171084, 12275319) and Foundation of President of Hefei Institutes of Physical Science, Chinese Academy of Sciences (Nos.: YZJJQY202203, YZJJ2023QN27), and Hefei Advanced Computing Center.
Data Availability Statement
The data presented in this study are available on request from the corresponding author.
Conflicts of Interest
The authors declare that there is no conflict of interests that could have appeared to affect the work.
References
- Klueh, R.L.; Gelles, D.S.; Jitsukawa, S.; Kimura, A.; Odette, G.R.; van der Schaaf, B.; Victoria, M. Ferritic/martensitic steels-overview of recent results. J. Nucl. Mater. 2002, 307–311, 455–465. [Google Scholar] [CrossRef]
- Tavassoli, A.A.F.; Diegele, E.; Lindau, R.; Luzginova, N.; Tanigawa, H. Current status and recent research achievements in ferritic/martensitic steels. J. Nucl. Mater. 2014, 455, 269–276. [Google Scholar] [CrossRef]
- Murty, K.L.; Charit, I. Structural materials for Gen-IV nuclear reactors: Challenges and opportunities. J. Nucl. Mater. 2008, 383, 189–195. [Google Scholar] [CrossRef]
- Zinkle, S.J.; Was, G.S. Materials challenges in nuclear energy. Acta Mater. 2013, 61, 735–758. [Google Scholar] [CrossRef]
- Li, Q.; Shen, Y.; Zhu, J.; Huang, X.; Shang, Z. Evaluation of Irradiation Hardening of P92 Steel under Ar Ion Irradiation. Metals 2018, 8, 94. [Google Scholar] [CrossRef]
- Alemberti, A.; Smirnov, V.; Smith, C.F.; Takahashi, M. Overview of lead-cooled fast reactor activities. Prog. Nucl. Energy 2014, 77, 300–307. [Google Scholar] [CrossRef]
- Zhang, J.; Li, N. Review of the studies on fundamental issues in LBE corrosion. J. Nucl. Mater. 2008, 373, 351–377. [Google Scholar] [CrossRef]
- Dong, Q.; Yao, Z.; Wang, Q.; Yu, H.; Kirk, M.A.; Daymond, M.R. Precipitate Stability in a Zr–2.5Nb–0.5Cu Alloy under Heavy Ion Irradiation. Metals 2017, 7, 287. [Google Scholar] [CrossRef]
- Gong, X.; Short, M.P.; Auger, T.; Charalampopoulou, E.; Lambrinou, K. Environmental degradation of structural materials in liquid lead- and lead-bismuth eutectic-cooled reactors. Prog. Mater. Sci. 2022, 126, 100920. [Google Scholar] [CrossRef]
- Chen, K.; Zhang, L.; Shen, Z. Understanding the surface oxide evolution of T91 ferritic-martensitic steel in supercritical water through advanced characterization. Acta Mater. 2020, 194, 156–167. [Google Scholar] [CrossRef]
- Shi, Q.; Zhang, L.; Yan, W.; Wang, W.; Yin, P.; Shan, Y.; Yang, K. High-Temperature Oxidation Behavior of SIMP Steel at 800 °C. Oxid. Met. 2018, 89, 49–60. [Google Scholar] [CrossRef]
- Zhang, L.; Yan, W.; Shi, Q.; Li, Y.; Shan, Y.; Yang, K. Silicon enhances high temperature oxidation resistance of SIMP steel at 700 °C. Corros. Sci. 2020, 167, 108519. [Google Scholar] [CrossRef]
- Kurata, Y.; Futakawa, M. Excellent corrosion resistance of 18Cr–20Ni–5Si steel in liquid Pb–Bi. J. Nucl. Mater. 2004, 325, 217–222. [Google Scholar] [CrossRef]
- Zhang, J. A review of steel corrosion by liquid lead and lead–bismuth. Corros. Sci. 2009, 51, 1207–1227. [Google Scholar] [CrossRef]
- Wachowicz, E.; Ossowski, T.; Kiejna, A. Cohesive and magnetic properties of grain boundaries in bcc Fe with Cr additions. Phys. Rev. B 2010, 81, 094104. [Google Scholar] [CrossRef]
- Charalampopoulou, E.; Delville, R.; Verwerft, M.; Lambrinou, K.; Schryvers, D. Transmission electron microscopy study of complex oxide scales on DIN 1.4970 steel exposed to liquid Pb-Bi eutectic. Corros. Sci. 2019, 147, 22–31. [Google Scholar] [CrossRef]
- Hosemann, P.; Dickerson, R.; Dickerson, P.; Li, N.; Maloy, S.A. Transmission electron microscopy (TEM) on oxide layers formed on D9 stainless steel in lead bismuth eutectic (LBE). Corros. Sci. 2013, 66, 196–202. [Google Scholar] [CrossRef]
- Ma, Z.; Shen, T.; Wang, Z.; Zhou, T.; Chang, H.; Jin, P.; Wei, K.; Pang, L.; Chai, J.; Liu, C. Improving the oxidation resistance of SIMP steel to liquid Pb-Bi eutectic by shot peening treatments. Appl. Surf. Sci. 2022, 578, 151910. [Google Scholar] [CrossRef]
- Wang, H.; Yuan, Q.; Chai, L.; Zhao, K.; Guo, N.; Xiao, J.; Yin, X.; Tang, B.; Li, Y.; Qiu, S. Effects of pulsed laser surface remelting on microstructure, hardness and lead-bismuth corrosion behavior of a ferrite/martensitic steel. Nucl. Eng. Technol. 2022, 54, 1972–1981. [Google Scholar] [CrossRef]
- Zhang, H.; Xiao, Y.; Xu, Z.; Yang, M.; Zhang, L.; Yin, L.; Chai, S.; Wang, G.; Zhang, L.; Cai, X. Effects of Ni-decorated reduced graphene oxide nanosheets on the microstructural evolution and mechanical properties of Sn-3.0Ag-0.5Cu composite solders. Intermetallics 2022, 150, 107683. [Google Scholar] [CrossRef]
- Xu, H.; He, T.; Zhong, N.; Zhao, B.; Liu, Z. Transient thermomechanical analysis of micro cylindrical asperity sliding contact of SnSbCu alloy. Tribol. Int. 2022, 167, 107362. [Google Scholar] [CrossRef]
- Martinelli, L.; Balbaud-Célérier, F.; Terlain, A.; Bosonnet, S.; Picard, G.; Santarini, G. Oxidation mechanism of an Fe–9Cr–1Mo steel by liquid Pb–Bi eutectic alloy at 470 °C (Part II). Corros. Sci. 2008, 50, 2537–2548. [Google Scholar] [CrossRef]
- Wang, X.; Posselt, M.; Faßbender, J. Influence of substitutional atoms on the diffusion of oxygen in dilute iron alloys. Phys. Rev. B 2018, 98, 064103. [Google Scholar] [CrossRef]
- Wang, X.; Faßbender, J.; Posselt, M. Efficient Calculation Methods for the Diffusion Coefficient of Interstitial Solutes in Dilute Alloys. Materials 2019, 12, 1491. [Google Scholar] [CrossRef]
- Shang, S.L.; Fang, H.Z.; Wang, J.; Guo, C.P.; Wang, Y.; Jablonski, P.D.; Du, Y.; Liu, Z.K. Vacancy mechanism of oxygen diffusivity in bcc Fe: A first-principles study. Corros. Sci. 2014, 83, 94–102. [Google Scholar] [CrossRef]
- Liu, Z.; Zhang, Y.; Li, X.; Xu, Y.; Wu, X.; Liu, C.; Kong, X.; Yao, C.; Wang, Z. Investigation of the dissolution and diffusion properties of interstitial oxygen at grain boundaries in body-centered-cubic iron by the first-principles study. RSC Adv. 2021, 11, 8643–8653. [Google Scholar] [CrossRef]
- Ye, Z.; Lei, Y.; Zhang, J.; Zhang, Y.; Li, X.; Xu, Y.; Wu, X.; Liu, C.S.; Hao, T.; Wang, Z. Effects of oxygen concentration and irradiation defects on the oxidation corrosion of body-centered-cubic iron surfaces: A first-principles study. Chin. Phys. B 2022, 31, 086802. [Google Scholar] [CrossRef]
- Chentouf, S.; Raulot, J.M.; Faraoun, H.I.; Aourag, H.; Grosdidier, T. Energetics of Ti and Zr transition metals in D03-Fe3Al and its Σ5(310)[001] grain boundary. Intermetallics 2012, 22, 251–254. [Google Scholar] [CrossRef]
- Kresse, G.; Hafner, J. Ab initio molecular dynamics for liquid metals. Phys. Rev. B 1993, 47, 558–561. [Google Scholar] [CrossRef]
- Kresse, G.; Furthmüller, J. Efficient iterative schemes for ab initio total-energy calculations using a plane-wave basis set. Phys. Rev. B 1996, 54, 11169–11186. [Google Scholar] [CrossRef]
- Li, X.; Liu, W.; Xu, Y.; Liu, C.S.; Fang, Q.F.; Pan, B.C.; Wang, Z. Energetic and kinetic behaviors of small vacancy clusters near a symmetric Σ5(310)/[001] tilt grain boundary in bcc Fe. J. Nucl. Mater. 2013, 440, 250–256. [Google Scholar] [CrossRef]
- Blöchl, P.E. Projector augmented-wave method. Phys. Rev. B 1994, 50, 17953–17979. [Google Scholar] [CrossRef]
- Hristova, E.; Janisch, R.; Drautz, R.; Hartmaier, A. Solubility of carbon in α-iron under volumetric strain and close to the Σ5(310)[001] grain boundary: Comparison of DFT and empirical potential methods. Comput. Mater. Sci. 2011, 50, 1088–1096. [Google Scholar] [CrossRef]
- Olsson, P.; Klaver, T.P.C.; Domain, C. Ab initio study of solute transition-metal interactions with point defects in bcc Fe. Phys. Rev. B 2010, 81, 054102. [Google Scholar] [CrossRef]
- Lee, K.C.; Erb, U. Grain boundaries and coincidence site lattices in the corneal nanonipple structure of the Mourning Cloak butterfly. Beilstein J. Nanotechnol. 2013, 4, 292–299. [Google Scholar] [CrossRef]
- Li, X.; Liu, W.; Xu, Y.; Liu, C.S.; Fang, Q.F.; Pan, B.C.; Chen, J.-L.; Luo, G.N.; Wang, Z. An energetic and kinetic perspective of the grain-boundary role in healing radiation damage in tungsten. Nucl. Fusion 2013, 53, 123014. Available online: http://dx.doi.org/10.1088/0029-5515/53/12/123014 (accessed on 20 January 2023). [CrossRef]
- Li, X.; Wang, Y.; Zhang, Y.; Xu, Y.; Li, X.; Wang, X.; Fang, Q.F.; Wu, X.; Liu, C.S. Towards the dependence of radiation damage on the grain boundary character and grain size in tungsten: A combined study of molecular statics and rate theory. J. Nucl. Mater. 2022, 563, 153637. [Google Scholar] [CrossRef]
- Inoue, K.; Kawahara, K.; Saito, M.; Kotani, M.; Ikuhara, Y. 3D arrangement of atomic polyhedra in tilt grain boundaries. Acta Materialia 2021, 202, 266–276. [Google Scholar] [CrossRef]
- Wang, J.; Madsen, G.K.H.; Drautz, R. Grain boundaries in bcc-Fe: A density-functional theory and tight-binding study. Modell. Simul. Mater. Sci. Eng. 2018, 26, 025008. Available online: https://doi.org/10.1088/1361-651X/aa9f81 (accessed on 15 September 2022). [CrossRef]
- Čák, M.; Šob, M.; Hafner, J. First-principles study of magnetism at grain boundaries in iron and nickel. Phys. Rev. B 2008, 78, 054418. [Google Scholar] [CrossRef]
- Lejček, P.; Šandera, P.; Horníková, J.; Řehák, P.; Pokluda, J. Grain boundary segregation of elements of groups 14 and 15 and its consequences for intergranular cohesion of ferritic iron. J. Mater. Sci. 2017, 52, 5822–5834. [Google Scholar] [CrossRef]
- Kong, X.; Wu, X.; Liu, C.S.; Fang, Q.F.; Hu, Q.M.; Chen, J.; Luo, G.N. First-principles calculations of transition metal solute interactions with hydrogen in tungsten. Nucl. Fusion 2016, 56, 026004. Available online: http://dx.doi.org/10.1088/0029-5515/56/2/026004 (accessed on 14 December 2022). [CrossRef]
- Zhang, Y.; You, Y.; Li, D.; Xu, Y.; Liu, C.S.; Pan, B.C.; Wang, Z. Effect of irradiation defects on the corrosion behaviors of steels exposed to lead bismuth eutectic in ADS: A first-principles study. Phys. Chem. Chem. Phys. 2015, 17, 12292–12298. [Google Scholar] [CrossRef]
- Huo, J.; Wei, H.; Fu, L.; Zhao, C.; He, C. Highly active Fe36Co44 bimetallic nanoclusters catalysts for hydrolysis of ammonia borane: The first-principles study. Chin. Chem. Lett. 2023, 34, 107261. [Google Scholar] [CrossRef]
- Ohnuma, T.; Soneda, N.; Iwasawa, M. First-principles calculations of vacancy–solute element interactions in body-centered cubic iron. Acta Mater. 2009, 57, 5947–5955. [Google Scholar] [CrossRef]
- Mehrer, H. Diffusion in Solids: Fundamentals, Methods, Materials, Diffusion-Controlled Processes; Springer: Berlin/Heidelberg, Germany, 2007; pp. 95–104. [Google Scholar] [CrossRef]
- Fang, H.Z.; Shang, S.L.; Wang, Y.; Liu, Z.K.; Alfonso, D.; Alman, D.E.; Shin, Y.K.; Zou, C.Y.; Duin, A.C.T.v.; Lei, Y.K.; et al. First-principles studies on vacancy-modified interstitial diffusion mechanism of oxygen in nickel, associated with large-scale atomic simulation techniques. J. Appl. Phys. 2014, 115, 043501. [Google Scholar] [CrossRef]
- Murali, D.S.K.; Panigrahi, B.K.; Valsakumar, M.C.; Chandra, S.; Sundar, C.S.; Raj, B.J.J.o.N.M. The role of minor alloying elements on the stability and dispersion of yttria nanoclusters in nanostructured ferritic alloys: An ab initio study. J. Nucl. Mater. 2010, 403, 113–116. [Google Scholar] [CrossRef]
- Jansen, A.P.J. An Introduction to Kinetic Monte Carlo Simulations of Surface Reactions; Springer: Berlin/Heidelberg, Germany, 2012. [Google Scholar] [CrossRef]
- Ma, H.; Chen, X.-Q.; Li, R.; Wang, S.; Dong, J.; Ke, W. First-principles modeling of anisotropic anodic dissolution of metals and alloys in corrosive environments. Acta Mater. 2017, 130, 137–146. [Google Scholar] [CrossRef]
- Yeliseyeva, O.; Tsisar, V.; Zhou, Z. Corrosion behavior of Fe–14Cr–2W and Fe–9Cr–2W ODS steels in stagnant liquid Pb with different oxygen concentration at 550 and 650 °C. J. Nucl. Mater. 2013, 442, 434–443. [Google Scholar] [CrossRef]
- Stefano, D.D.; Nazarov, R.; Hickel, T.; Neugebauer, J.; Mrovec, M.; Elsässer, C.J.P.R.B. First-principles investigation of hydrogen interaction with TiC precipitates in α-Fe. Phys. Rev. B 2016, 93, 184108. [Google Scholar] [CrossRef]
- Lejček, P. (Ed.) Models of Equilibrium Grain Boundary Segregation. In Grain Boundary Segregation in Metals; Springer: Berlin/Heidelberg, Germany, 2010; pp. 51–102. [Google Scholar] [CrossRef]
Disclaimer/Publisher’s Note: The statements, opinions and data contained in all publications are solely those of the individual author(s) and contributor(s) and not of MDPI and/or the editor(s). MDPI and/or the editor(s) disclaim responsibility for any injury to people or property resulting from any ideas, methods, instructions or products referred to in the content. |
© 2023 by the authors. Licensee MDPI, Basel, Switzerland. This article is an open access article distributed under the terms and conditions of the Creative Commons Attribution (CC BY) license (https://creativecommons.org/licenses/by/4.0/).








