Effect of Preload on Tensile Fracture of Variable Cross-Section Bolts: Experiment and Simulation
Abstract
1. Introduction
2. Material and Experiments
2.1. Design of VCSB Structure
2.2. Uniaxial Tensile Test
2.3. VCSB Connection Tensile Tests
3. Computational Model
3.1. VCSB Connection FEM Development
3.2. Bolt Preload Simulation
3.3. Correction of Fracture Criterion
4. Results and Discussion
4.1. Results
4.1.1. Result of the Uniaxial Tensile Test
4.1.2. Result of the VCSB Connection Tensile Tests
4.2. Discussion
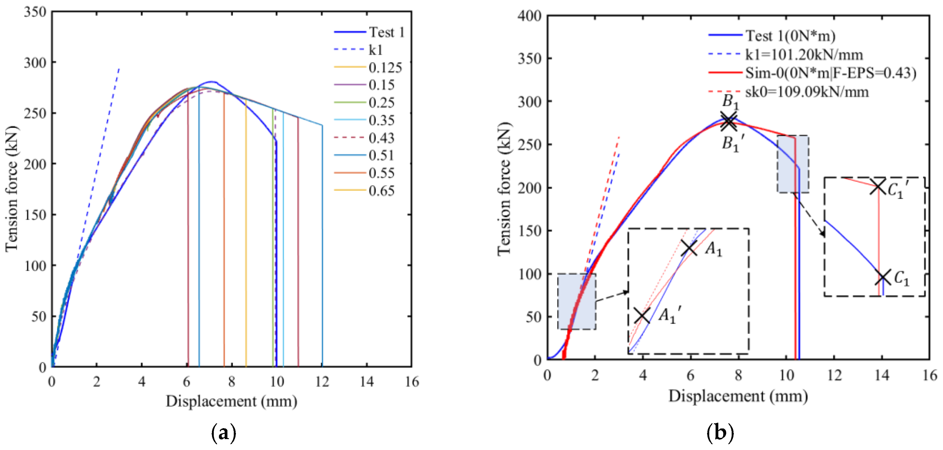
4.2.1. The Effect of Mesh Size on the Fracture-Effective Plastic Strain
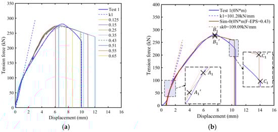
4.2.2. The Fracture Analysis of the VCSB without Preload
4.2.3. The Fracture Analysis of the VCSBs with Preload
4.2.4. The Effect of Preload on the Fracture of the VCSB
5. Conclusions
Author Contributions
Funding
Data Availability Statement
Conflicts of Interest
References
- Spiryagin, M.; Cole, C.; Sun, Y.Q.; McClanachan, M.; Spiryagin, V.; McSweeney, T. Design and Simulation of Rail Vehicles; CRC Press: Boca Raton, FL, USA, 2014. [Google Scholar]
- Zhang, W. Dynamic modeling of coupled systems in the high-speed train. In Dynamics of Coupled Systems in High-Speed Railways; Elsevier: Amsterdam, The Netherlands, 2020; pp. 55–181. [Google Scholar] [CrossRef]
- Zhu, T.; Yang, B.-Z.; Yang, C.; Xiao, S.-N.; Yang, G.-W.; Yang, B. The mechanism for the coupler and draft gear and its influence on safety during a train collision. Veh. Syst. Dyn. 2018, 56, 1375–1393. [Google Scholar] [CrossRef]
- Li, C.; Zhang, Y.; Yuan, X. Comparative study on automatic coupler overload protection device of metro vehicle. Urban Mass Transit 2016, 19, 123–126. [Google Scholar] [CrossRef]
- Xu, B.S.; Ren, G.S. Analysis and simulation for hydraulic system of test bench of coupler draft gear. J. Syst. Simul. 2012, 24, 2545–2549. [Google Scholar] [CrossRef]
- Xie, S.; Du, X.; Zhou, H.; Wang, D.; Feng, Z. Analysis of the crashworthiness design and collision dynamics of a subway train. Proc. Inst. Mech. Eng. Part F J. Rail Rapid Transit 2020, 234, 1117–1128. [Google Scholar] [CrossRef]
- Yao, S.; Zhu, H.; Yan, K.; Liu, M.; Xu, P. The derailment behaviour and mechanism of a subway train under frontal oblique collisions. Int. J. Crashworthiness 2021, 26, 133–146. [Google Scholar] [CrossRef]
- Wang, S.; Peng, Y.; Wang, T.; Chen, X.; Hou, L.; Zhang, H. The origami inspired optimization design to improve the crashworthiness of a multi-cell thin-walled structure for high speed train. Int. J. Mech. Sci. 2019, 159, 345–358. [Google Scholar] [CrossRef]
- Xu, Z.; Ma, W.; Wu, Q.; Luo, S. Coupler rotation behaviour and its effect on heavy haul trains. Veh. Syst. Dyn. 2013, 51, 1818–1838. [Google Scholar] [CrossRef]
- Yao, S.; Zhang, P.; Kong, L.; Jiang, S.; Xu, P. Optimization design of the coupler overload protection component: Numerical simulation and experimental validation. Int. J. Crashworthiness 2022, 20, 1–15. [Google Scholar] [CrossRef]
- Guan, W.; Gao, G.; Yu, Y. Experimental and numerical investigations of the plastic response and fracturing of an aluminum-plated structure with transition circular arcs subjected to impact loading. Thin-Walled Struct. 2018, 132, 642–657. [Google Scholar] [CrossRef]
- Grimsmo, E.L.; Aalberg, A.; Langseth, M.; Clausen, A.H. Failure modes of bolt and nut assemblies under tensile loading. J. Constr. Steel Res. 2016, 126, 15–25. [Google Scholar] [CrossRef]
- Fransplass, H.; Langseth, M.; Hopperstad, O. Numerical study of the tensile behaviour of threaded steel fasteners at elevated rates of strain. Int. J. Impact Eng. 2013, 54, 19–30. [Google Scholar] [CrossRef]
- Alexander, E.M. Analysis and design of threaded assemblies. SAE Trans. 1977, 86, 1838–1852. [Google Scholar]
- Ge, J.L.; Wang, Y.Z.; Hao, J.W.; Yang, G.L. Finite element modeling and modal analysis of bolted joints. In Applied Mechanics and Materials; Trans Tech Publications Ltd.: Bäch, Switzerland, 2012; Volume 105, pp. 92–95. [Google Scholar]
- Grujicic, M.; Pandurangan, B.; He, T.; Cheeseman, B.; Yen, C.-F.; Randow, C. Computational investigation of impact energy absorption capability of polyurea coatings via deformationinduced glass transition. Mater. Sci. Eng. A 2010, 527, 7741–7751. [Google Scholar] [CrossRef]
- Li, Z.; Rakheja, S.; Shangguan, W.-B. Crushing behavior and crashworthiness optimization of multi-cell square tubes under multiple loading angles. Proc. Inst. Mech. Eng. Part D J. Automob. Eng. 2020, 234, 1497–1511. [Google Scholar] [CrossRef]
- Li, Z.; Rakheja, S.; Shangguan, W.-B. Study on crushing behaviors of foam-filled thinwalled square tubes with different types and number of initiators under multiple angle loads. Thin-Walled Struct. 2019, 145, 106376. [Google Scholar] [CrossRef]
- Wagner, T.; Heimbs, S.; Burger, U. A simplified and semi-analytical bolted joint model for crash and impact simulations of composite structures. Compos. Struct. 2020, 233, 111628. [Google Scholar] [CrossRef]
- Grimsmo, E.L.; Clausen, A.H.; Langseth, M.; Aalberg, A. An experimental study of static and dynamic behaviour of bolted end-plate joints of steel. Int. J. Impact Eng. 2015, 85, 132–145. [Google Scholar] [CrossRef]
- Luyun, C.; Leixin, L.; Wei, X.; Xiaokun, Q.; Huaming, W.; Lin, C. Bolted connected optimization of composite-to-aluminium structure based on vibro-acoustic control: Numerical simulation and experimental. Appl. Acoust. 2021, 175, 107770. [Google Scholar] [CrossRef]
- Guo, Z.; Li, Z.; Zhu, H.; Cui, J.; Li, D.; Li, Y.; Luan, Y. Numerical simulation of bolted joint composite laminates under low-velocity impact. Mater. Today Commun. 2020, 23, 100891. [Google Scholar] [CrossRef]
- Verwaerde, R.; Guidault, P.-A.; Boucard, P.-A. A nonlinear finite element connector for the simulation of bolted assemblies. Comput. Mech. 2020, 65, 1531–1548. [Google Scholar] [CrossRef]
- Sun, Q.; Yuan, B.; Mu, X.; Sun, W. Bolt preload measurement based on the acoustoelastic effect using smart piezoelectric bolt. Smart Mater. Struct. 2019, 28, 055005. [Google Scholar] [CrossRef]
- Xie, Y.; Xiao, Y.; Lv, J.; Zhang, Z.; Zhou, Y.; Xue, Y. Influence of creep on preload relaxation of bolted composite joints: Modeling and numerical simulation. Compos. Struct. 2020, 245, 112332. [Google Scholar] [CrossRef]
- Klok, A.J.V. Mechanical Behavior of Bolted Joints under Impact Rates of Loading. Master’s Thesis, Michigan State University, East Lansing, MI, USA, 2012. [Google Scholar]
- Verma, S.; Jiang, Z.; Vedvik, N.P.; Gao, Z.; Ren, Z. Impact assessment of a wind turbine blade root during an offshore mating process. Eng. Struct. 2019, 180, 205–222. [Google Scholar] [CrossRef]
- Hu, J.; Zhang, K.; Cheng, H.; Qi, Z. An experimental investigation on interfacial behavior and preload response of composite bolted interference-fit joints under assembly and thermal conditions. Aerosp. Sci. Technol. 2020, 103, 105917. [Google Scholar] [CrossRef]
- Yang, F.; Veljkovic, M.; Liu, Y. Fracture simulation of partially threaded bolts under tensile loading. Eng. Struct. 2021, 226, 111373. [Google Scholar] [CrossRef]
- Kim, J.; Yoon, J.-C.; Kang, B.-S. Finite element analysis and modeling of structure with bolted joints. Appl. Math. Model. 2007, 31, 895–911. [Google Scholar] [CrossRef]
- Chang, J.; He, K.; Pang, D.; Li, D.; Li, C.; Sun, B. Influence of anchorage length and pretension on the working resistance of rock bolt based on its tensile characteristics. Int. J. Coal Sci. Technol. 2021, 8, 1384–1399. [Google Scholar] [CrossRef]
- Wulan, T.; Wang, P.; Li, Y.; You, Y.; Tang, F. Numerical investigation on strength and failure modes of thread-fixed one-side bolted t-stubs under tension. Eng. Struct. 2018, 169, 15–36. [Google Scholar] [CrossRef]
- Goswami, D.Y. The CRC Handbook of Mechanical Engineering; CRC Press: Boca Raton, FL, USA, 2004. [Google Scholar]
- Liu, K.; Wang, Z.; Tang, W.; Zhang, Y.; Wang, G. Experimental and numerical analysis of laterally impacted stiffened plates considering the effect of strain rate. Ocean. Eng. 2015, 99, 44–54. [Google Scholar] [CrossRef]
- Paul, S.K.; Roy, S.; Sivaprasad, S.; Bar, H.; Tarafder, S. Identification of post-necking tensile stress-strain behavior of steel sheet: An experimental investigation using digital image correlation technique. J. Mater. Eng. Perform. 2018, 27, 5736–5743. [Google Scholar] [CrossRef]
- Joun, M.; Choi, I.; Eom, J.; Lee, M. Finite element analysis of tensile testing with emphasis on necking. Comput. Mater. Sci. 2007, 41, 63–69. [Google Scholar] [CrossRef]
- Kamaya, M.; Kitsunai, Y.; Koshiishi, M. True stress-strain curve acquisition for irradiated stainless steel including the range exceeding necking strain. J. Nucl. Mater. 2015, 465, 316–325. [Google Scholar] [CrossRef]
- Zhu, F.; Bai, P.; Zhang, J.; Lei, D.; He, X. Measurement of true stress-strain curves and evolution of plastic zone of low carbon steel under uniaxial tension using digital image correlation. Opt. Lasers Eng. 2015, 65, 81–88. [Google Scholar] [CrossRef]
- Wang, S.H.; Li, Y.; Weng, Y.L.; Sun, K. Determination of true stress-strain relationship of metallic materials based on bar tension tests. Suxing Gongcheng Xuebao/J. Plast. Eng. 2017, 24, 138–143. [Google Scholar]

































| Type | Spider Web Model | Cylinder Model | Axisymmetric Model | Thread Rising Angle Model |
|---|---|---|---|---|
| Model | ![]() | ![]() | ![]() | ![]() |
| C | Si | Mn | Cr | Ni | P | S | Cu | Mo |
|---|---|---|---|---|---|---|---|---|
| 0.37~0.44 | 0.17~0.37 | 0.50~0.80 | 0.80~1.10 | ≤0.30 | ≤0.035 | ≤0.035 | ≤0.25 | ≤0.10 |
| Preload Torque (N·m) | Preload Force (kN) | Pre-Stress (Mpa) |
|---|---|---|
| 430 | 81.43 | 180.02 |
| 610 | 115.53 | 255.37 |
| 820 | 155.30 | 343.30 |
| Density (g/cm3) | Young Modulus (Gpa) | Poisson Ratio | Yield Strength (Mpa) |
|---|---|---|---|
| 7.85 | 206.08 | 0.3 | 835.27 |
| Mesh Size (mm) | Finite Element Model | F-EPS |
|---|---|---|
| 5 | ![]() | 0.24 |
![]() | ||
| 4 | ![]() | 0.30 |
![]() | ||
| 3 | ![]() | 0.40 |
![]() | ||
| 2 | ![]() | 0.42 |
![]() | ||
| 1 | ![]() | 0.45 |
![]() | ||
| 0.5 | ![]() | 0.47 |
![]() |
| Type | Tensile Force | Displacement | Initial Elastic Phase | ||||
|---|---|---|---|---|---|---|---|
| Data characteristics | A | B | C | OA | AB | BC | - |
| Relative errors (%) | −2.42 | −3.32 | 14.32 | 3.64 | 7.19 | −4.31 | 7.8 |
| Type | Shrinkage (%) | |
|---|---|---|
| Test1 | 14.88 | 38.67 |
| FEM-0 | 15.34 | 34.82 |
| Relative error (%) | 9.96 |
| Type | Case | Tensile Force | Displacement | Initial Elastic Phase | ||||
|---|---|---|---|---|---|---|---|---|
| Relative errors (%) | - | A | B | C | OA | AB | BC | Stiffness |
| FEM-180 | −8.10 | −1.4 | 5.3 | −27.67 | −8.4 | 42.56 | 6.23 | |
| FEM-255 | −3.74 | −2.74 | 8.87 | −10.00 | 2.61 | 2.17 | 1.40 | |
| FEM-343 | 5.61 | −1.70 | 9.51 | 1.54 | −1.02 | −1.75 | 0.88 | |
| Case | Initial Elastic Stiffness | Fracture Displacement DC | Maximum Tensile Force FB |
|---|---|---|---|
| FEM-0 | 109.09 | 9.73 | 275.17 |
| FEM-50 | 120.21 | 9.41 | 275.17 |
| FEM-100 | 148.61 | 9.31 | 275.18 |
| FEM-150 | 215.07 | 9.26 | 275.19 |
| FEM-180 | 222.02 | 9.12 | 275.17 |
| FEM-200 | 233.24 | 9.04 | 275.34 |
| FEM-250 | 253.95 | 8.80 | 275.19 |
| FEM-300 | 256.33 | 8.55 | 275.18 |
| FEM-350 | 272.60 | 8.23 | 275.82 |
| FEM-400 | 279.96 | 8.06 | 276.12 |
| FEM-450 | 290.00 | 7.74 | 275.81 |
| FEM-500 | 294.03 | 7.14 | 275.42 |
| FEM-550 | 294.00 | 6.91 | 275.62 |
| FEM-600 | 301.51 | 6.01 | 276.41 |
| FEM-650 | 305.57 | 4.69 | 279.41 |
Disclaimer/Publisher’s Note: The statements, opinions and data contained in all publications are solely those of the individual author(s) and contributor(s) and not of MDPI and/or the editor(s). MDPI and/or the editor(s) disclaim responsibility for any injury to people or property resulting from any ideas, methods, instructions or products referred to in the content. |
© 2023 by the authors. Licensee MDPI, Basel, Switzerland. This article is an open access article distributed under the terms and conditions of the Creative Commons Attribution (CC BY) license (https://creativecommons.org/licenses/by/4.0/).
Share and Cite
Yao, S.; Zhang, M. Effect of Preload on Tensile Fracture of Variable Cross-Section Bolts: Experiment and Simulation. Metals 2023, 13, 744. https://doi.org/10.3390/met13040744
Yao S, Zhang M. Effect of Preload on Tensile Fracture of Variable Cross-Section Bolts: Experiment and Simulation. Metals. 2023; 13(4):744. https://doi.org/10.3390/met13040744
Chicago/Turabian StyleYao, Shuguang, and Meng Zhang. 2023. "Effect of Preload on Tensile Fracture of Variable Cross-Section Bolts: Experiment and Simulation" Metals 13, no. 4: 744. https://doi.org/10.3390/met13040744
APA StyleYao, S., & Zhang, M. (2023). Effect of Preload on Tensile Fracture of Variable Cross-Section Bolts: Experiment and Simulation. Metals, 13(4), 744. https://doi.org/10.3390/met13040744
















