Study of Metal Leaching from Printed Circuit Boards by Improved Electrochemical Hydrochlorination Technique Using Alternating Current
Abstract
1. Introduction
2. Materials and Methods
3. Results and Discussion
3.1. Raw Material Characterisation
3.2. Influence of Process Parameters on the Efficiency of Metal Leaching from Raw Materials
3.2.1. Raw Material 1
Impact of Loading Option on the Degree of Chemical Leaching of Metals
Impact of Solid/Liquid Ratio on Metal Electrochemical Leaching Degree
Impact of Current Density on Metal Leaching Degree
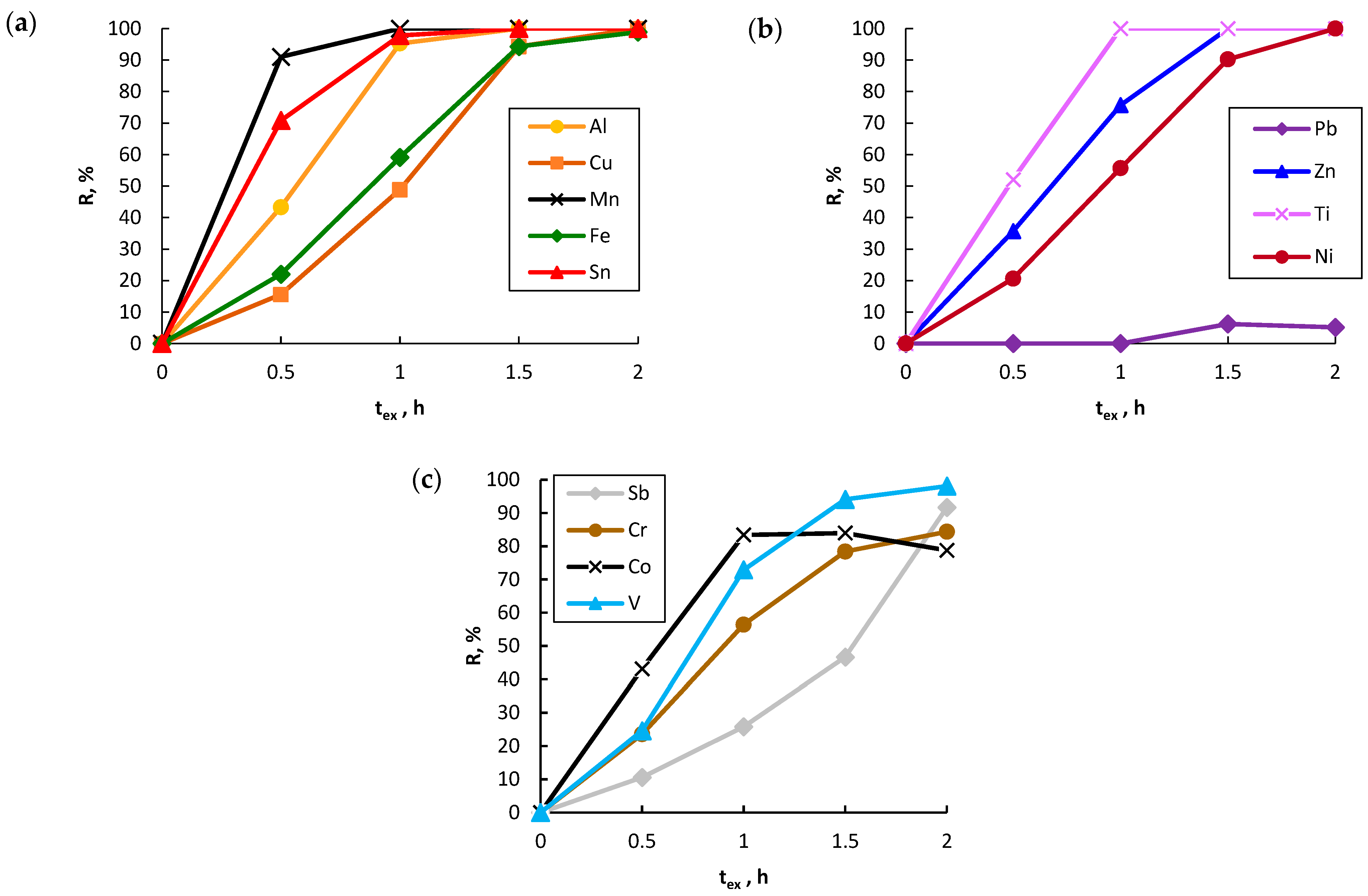
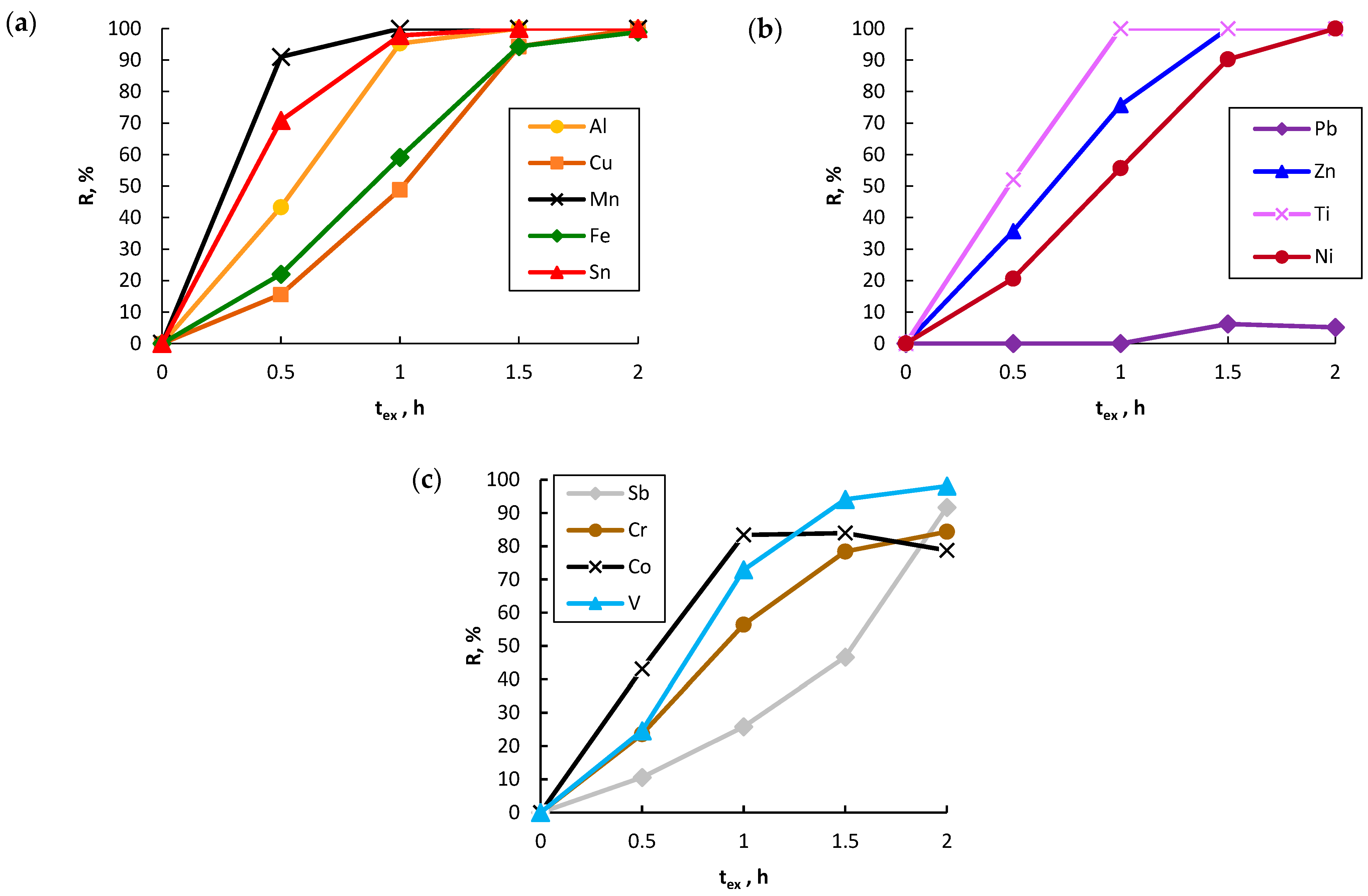
Impact of Experiment Duration on Metal Electrochemical Leaching Degree
Impact of HCl Concentration in Electrolyte Solution on the Degree of Metal Electrochemical Leaching
Impact of Electrolyte Temperature on the Degree of Metal Electrochemical Leaching
3.2.2. Raw Material 2
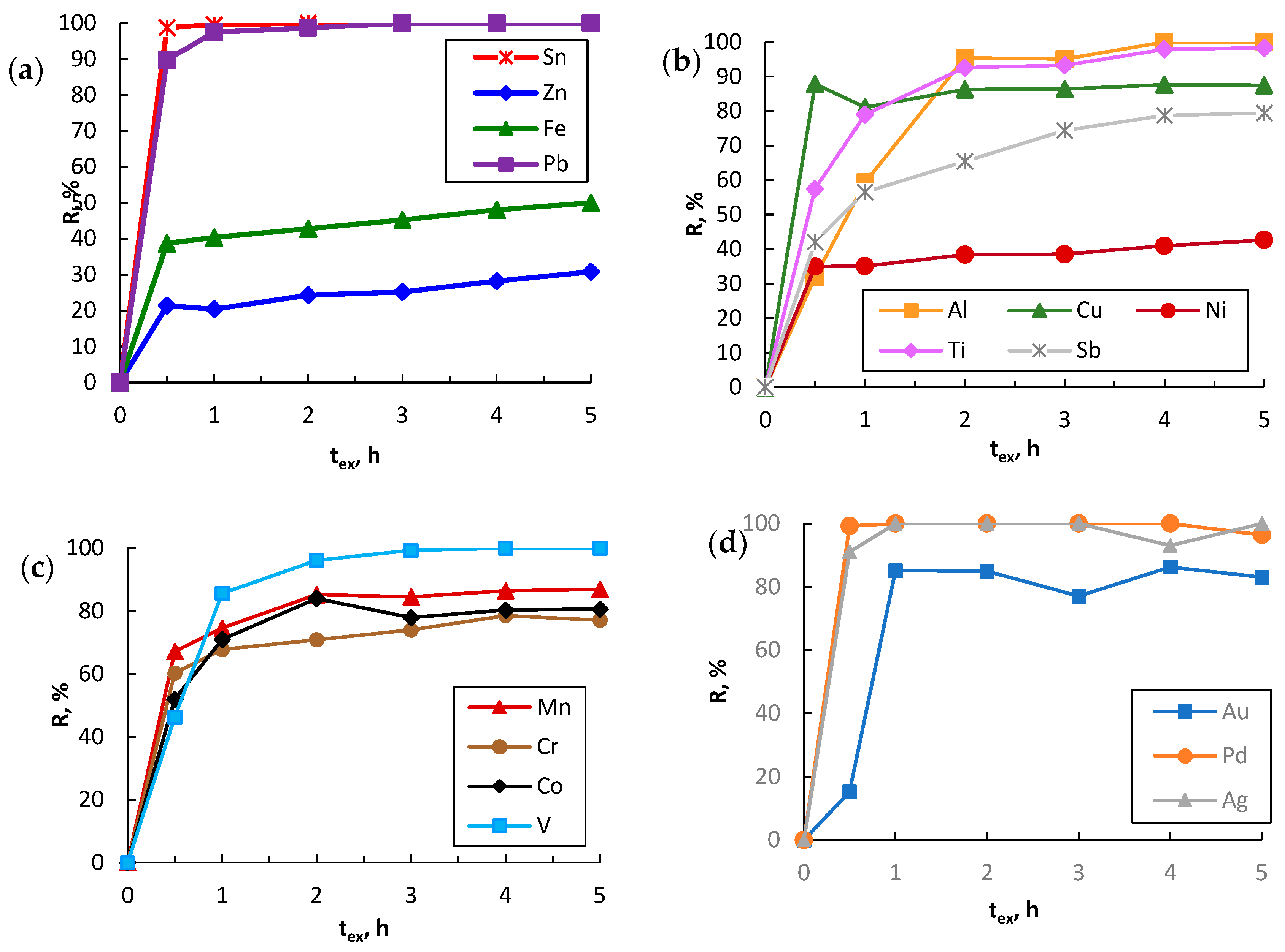
Impact of Experiment Duration on Metal Chemical Leaching Degree
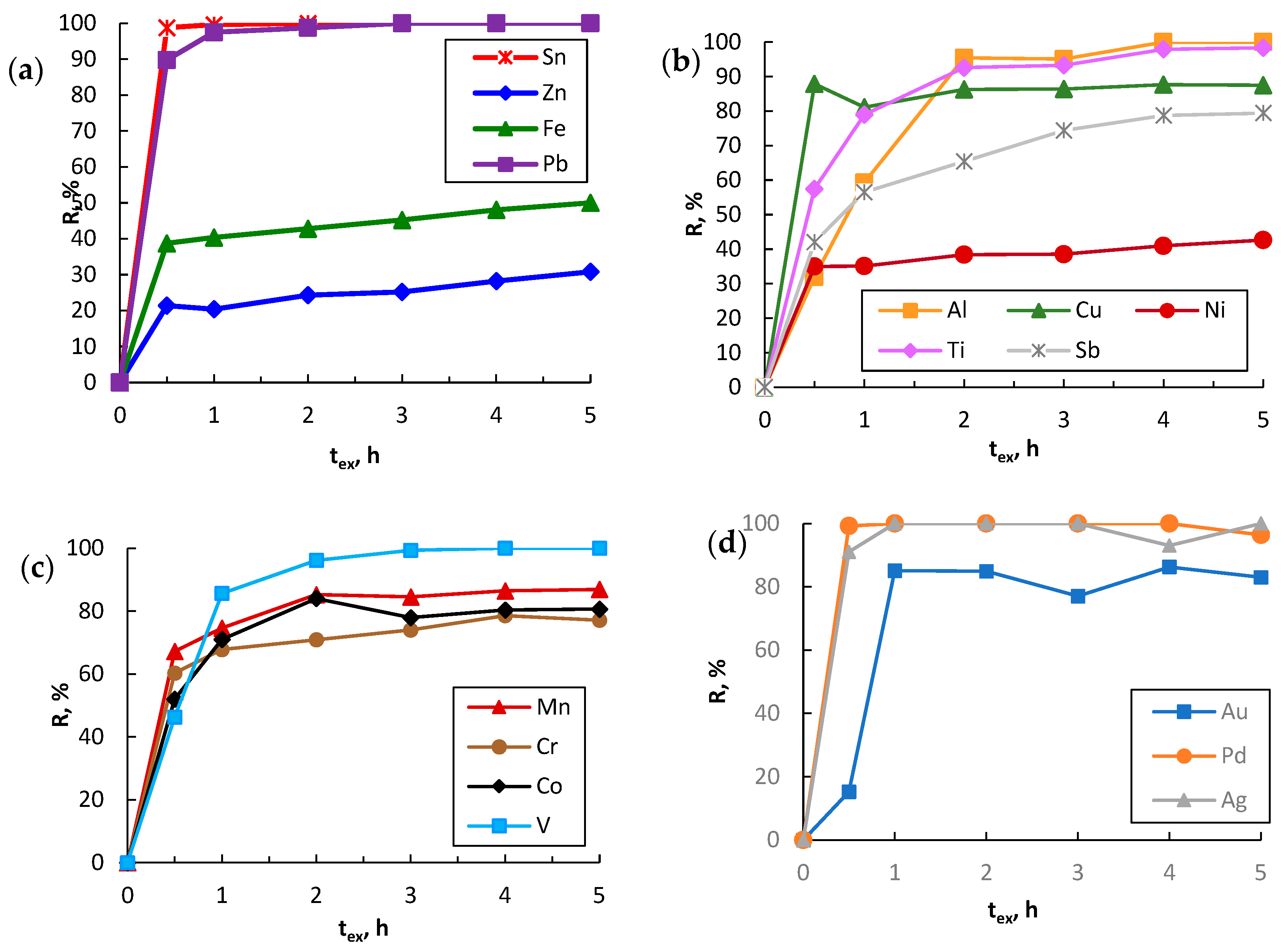
Impact of Experiment Duration on Metal Electrochemical Leaching Degree
4. Conclusions
Author Contributions
Funding
Data Availability Statement
Conflicts of Interest
References
- Akcil, A.; Erust, C.; Gahan, C.S.; Ozgun, M.; Sahin, M.; Tuncuk, A. Precious Metal Recovery from Waste Printed Circuit Boards Using Cyanide and Non-Cyanide Lixiviants—A Review. Waste Manag. 2015, 45, 258–271. [Google Scholar] [CrossRef] [PubMed]
- Barnwal, A.; Dhawan, N. Recycling of Discarded Mobile Printed Circuit Boards for Extraction of Gold and Copper. Sustain. Mater. Technol. 2020, 25, e00164. [Google Scholar] [CrossRef]
- Neag, E.; Kovacs, E.; Dinca, Z.; Török, A.I.; Varaticeanu, C.; Levei, E.A. Hydrometallurgical Recovery of Gold from Mining Wastes. In Strategies of Sustainable Solid Waste Management; IntechOpen: London, UK, 2021. [Google Scholar]
- Kim, K.; Candeago, R.; Rim, G.; Raymond, D.; Park, A.-H.A.; Su, X. Electrochemical Approaches for Selective Recovery of Critical Elements in Hydrometallurgical Processes of Complex Feedstocks. iScience 2021, 24, 102374. [Google Scholar] [CrossRef]
- Wu, Z.; Yuan, W.; Li, J.; Wang, X.; Liu, L.; Wang, J. A Critical Review on the Recycling of Copper and Precious Metals from Waste Printed Circuit Boards Using Hydrometallurgy. Front. Environ. Sci. Eng. 2017, 11, 8. [Google Scholar] [CrossRef]
- Birich, A.; Stopic, S.; Friedrich, B. Kinetic Investigation and Dissolution Behavior of Cyanide Alternative Gold Leaching Reagents. Sci. Rep. 2019, 9, 7191. [Google Scholar] [CrossRef] [PubMed]
- Konyratbekova, S.S.; Baikonurova, A.; Akcil, A. Non-Cyanide Leaching Processes in Gold Hydrometallurgy and Iodine-Iodide Applications: A Review. Miner. Process. Extr. Metall. Rev. 2015, 36, 198–212. [Google Scholar] [CrossRef]
- Aylmore, M.G. Alternative Lixiviants to Cyanide for Leaching Gold Ores. In Gold Ore Processing; Elsevier: Amsterdam, The Netherlands, 2016; pp. 447–484. [Google Scholar]
- Gökelma, M.; Birich, A.; Stopic, S.; Friedrich, B. A Review on Alternative Gold Recovery Re-Agents to Cyanide. J. Mater. Sci. Chem. Eng. 2016, 4, 8–17. [Google Scholar] [CrossRef]
- Birloaga, I.; De Michelis, I.; Ferella, F.; Buzatu, M.; Vegliò, F. Study on the Influence of Various Factors in the Hydrometallurgical Processing of Waste Printed Circuit Boards for Copper and Gold Recovery. Waste Manag. 2013, 33, 935–941. [Google Scholar] [CrossRef]
- Xu, B.; Kong, W.; Li, Q.; Yang, Y.; Jiang, T.; Liu, X. A Review of Thiosulfate Leaching of Gold: Focus on Thiosulfate Consumption and Gold Recovery from Pregnant Solution. Metals 2017, 7, 222. [Google Scholar] [CrossRef]
- Sethurajan, M.; van Hullebusch, E.D.; Fontana, D.; Akcil, A.; Deveci, H.; Batinic, B.; Leal, J.P.; Gasche, T.A.; Ali Kucuker, M.; Kuchta, K.; et al. Recent Advances on Hydrometallurgical Recovery of Critical and Precious Elements from End of Life Electronic Wastes—A Review. Crit. Rev. Environ. Sci. Technol. 2019, 49, 212–275. [Google Scholar] [CrossRef]
- Nikoloski, A.; Stockton, B. Application of Alternative Lixiviants for Secondary Heap Leaching of Gold. In Proceedings of the Seventh Mill Operators Conference, Kalgoorlie, Australia, 12–14 October 2000; Australasian Institute of Mining and Metallurgy Publication Series: Kalgoorlie, Australia, 2000; pp. 281–286. [Google Scholar]
- Ding, Y.; Zheng, H.; Li, J.; Zhang, S.; Liu, B.; Ekberg, C. An Efficient Leaching of Palladium from Spent Catalysts through Oxidation with Fe(III). Materials 2019, 12, 1205. [Google Scholar] [CrossRef] [PubMed]
- Nogueira, C.A.; Paiva, A.P.; Costa, M.C.; da Costa, A.M.R. Leaching Efficiency and Kinetics of the Recovery of Palladium and Rhodium from a Spent Auto-Catalyst in HCl/CuCl2 Media. Environ. Technol. 2020, 41, 2293–2304. [Google Scholar] [CrossRef] [PubMed]
- Zhang, Z.; Zhang, F.-S. Synthesis of Cuprous Chloride and Simultaneous Recovery of Ag and Pd from Waste Printed Circuit Boards. J. Hazard. Mater. 2013, 261, 398–404. [Google Scholar] [CrossRef] [PubMed]
- Pereira, M.M.; Costa, F.O.; Gomes, R.F.; Rodrigues, M.L.M.; da Silva, G.A.; Leão, V.A. Multivariate Study of a Novel Hydrometallurgical Route Employing Chloride/Hypochlorite for Leaching Silver from Printed Circuit Boards. Chem. Eng. Res. Des. 2020, 163, 115–124. [Google Scholar] [CrossRef]
- Herreros, O.; Quiroz, R.; Viñals, J. Dissolution Kinetics of Copper, White Metal and Natural Chalcocite in Cl2/Cl−Media. Hydrometallurgy 1999, 51, 345–357. [Google Scholar] [CrossRef]
- Tran, T.; Lee, K.; Fernando, K. Halide as an Alternative Lixiviant for Gold Processing—An Update. In Cyanide: Social, Industrial and Economic Aspects; Young, C.A., Twidwell, L.G., Anderson, C.G., Eds.; The Minerals, Metals and Materials Society: Warrendale, PA, USA, 2001; pp. 501–508. [Google Scholar]
- Filmer, A.O.; Lawrence, P.R.; Hoffman, W.A. A Comparison of Cyanide, Thiourea, and Chlorine as Lixiviants for Gold; Australasian Institute of Mining and Metallurgy: Melbourne, Australia, 1984; pp. 279–287. [Google Scholar]
- Hine, F.; Inuta, S. Solubility of Chlorine in Hydrochloric Acid. Bull. Chem. Soc. Jpn. 1968, 41, 71–75. [Google Scholar] [CrossRef]
- Kim, M.; Lee, J.; Park, S.; Jeong, J.; Kumar, V. Dissolution Behaviour of Platinum by Electro-Generated Chlorine in Hydrochloric Acid Solution. J. Chem. Technol. Biotechnol. 2013, 88, 1212–1219. [Google Scholar] [CrossRef]
- Kim, E.; Kim, M.; Lee, J.; Yoo, K.; Jeong, J. Leaching Behavior of Copper Using Electro-Generated Chlorine in Hydrochloric Acid Solution. Hydrometallurgy 2010, 100, 95–102. [Google Scholar] [CrossRef]
- Kim, E.; Kim, M.; Lee, J.; Jeong, J.; Pandey, B.D. Leaching Kinetics of Copper from Waste Printed Circuit Boards by Electro-Generated Chlorine in HCl Solution. Hydrometallurgy 2011, 107, 124–132. [Google Scholar] [CrossRef]
- Kim, E.; Kim, M.; Lee, J.; Pandey, B.D. Selective Recovery of Gold from Waste Mobile Phone PCBs by Hydrometallurgical Process. J. Hazard. Mater. 2011, 198, 206–215. [Google Scholar] [CrossRef]
- Pilone, D.; Kelsall, G.H. Metal Recovery from Electronic Scrap by Leaching and Electrowinning IV. In Electrometallurgy and Environmental Hydrometallurgy; John Wiley & Sons, Inc.: Hoboken, NJ, USA, 2013; pp. 1565–1575. [Google Scholar]
- Winand, R. Chloride Hydrometallurgy. Hydrometallurgy 1991, 27, 285–316. [Google Scholar] [CrossRef]
- Zhao, J.; Liu, Z.; He, C.; Yang, Y.; Li, J.; Fujita, T.; Wang, G.; Shen, F. Improved Leaching of Cu, Sn, Pb, Zn, and Al from Waste Printed Circuit Boards by Electro-Generated Cl2 in HCl Solution. Waste Manag. 2022, 153, 386–396. [Google Scholar] [CrossRef] [PubMed]
- Ilyas, S.; Srivastava, R.R.; Kim, H. Gold Recovery from Secondary Waste of PCBs by Electro-Cl2 Leaching in Brine Solution and Solvo-Chemical Separation with Tri-Butyl Phosphate. J. Clean. Prod. 2021, 295, 126389. [Google Scholar] [CrossRef]
- Lister, T.E.; Wang, P.; Anderko, A. Recovery of Critical and Value Metals from Mobile Electronics Enabled by Electrochemical Processing. Hydrometallurgy 2014, 149, 228–237. [Google Scholar] [CrossRef]
- Bagotsky, V.S. Fundamentals of Electrochemistry; Khimiya Press: Moscow, Russia, 1988; p. 400. [Google Scholar]
- Shulgin, L.P. Electrochemical Processes on Alternating Current; Nauka: Leningrad, Russia, 1974; p. 70. [Google Scholar]
- Shulgin, L.P. Overvoltage of Electrode Reactions in Solutions during the Passage of a Symmetrical Alternative Current. J. Phys. Chem. 1979, 3, 2048–2051. [Google Scholar]
- Myrzabekov, B.E.; Bayeshov, A.B.; Makhanbetov, A.B.; Mishra, B.; Baigenzhenov, O.S. Dissolution of Platinum in Hydrochloric Acid Under Industrial-Scale Alternating Current Polarization. Metall. Mater. Trans. B 2018, 49, 23–27. [Google Scholar] [CrossRef]
- Sarbayeva, M.T.; Bayeshev, A.B.; Sarbayeva, G.T.; Sarbayeva, K.T.; Bayesheva, A.K.; Zhurinov, M.Z. Dissolution of Iron Electrodes during Polarization with Three-Phase AC in Hydrochloric and Sulfuric Acids Solutions. Am. J. Adv. Drug Deliv. 2014, 2, 454–462. [Google Scholar]
- Serga, V.; Zarkov, A.; Blumbergs, E.; Shishkin, A.; Baronins, J.; Elsts, E.; Pankratov, V. Leaching of Gold and Copper from Printed Circuit Boards under the Alternating Current Action in Hydrochloric Acid Electrolytes. Metals 2022, 12, 1953. [Google Scholar] [CrossRef]
- Blumbergs, E.; Serga, V.; Shishkin, A.; Goljandin, D.; Shishko, A.; Zemcenkovs, V.; Markus, K.; Baronins, J.; Pankratov, V. Selective Disintegration–Milling to Obtain Metal-Rich Particle Fractions from E-Waste. Metals 2022, 12, 1468. [Google Scholar] [CrossRef]
- Frumina, N.S.; Lisenko, N.F.; Chernova, M.A. Analytical Chemistry of Elements. Chlorine; Nauka: Moscow, Russia, 1983; p. 200. [Google Scholar]
- Lobko, S.V.; Kuzas, E.A.; Naboychenko, S.S.; Voinov, V.N. Electrochlorination of Secondary Raw Materials Containing Noble Metals Using Bulk Current Lead. Tsvetnye Metall. 2017, 3, 45–49. [Google Scholar] [CrossRef]
- Muller, F.; Caillard, L. Chlorophenols. In Ullmann’s Encyclopedia of Industrial Chemistry; Wiley-VCH Verlag GmbH & Co. KGaA: Weinheim, Germany, 2011. [Google Scholar]















| Component, Content | Raw Material 1 | Raw Material 2 [36] |
|---|---|---|
| Fe, wt.% | 81.4 | 7.56 |
| Sn, wt.% | 0.887 | 4.76 |
| Mn, wt.% | 0.665 | 0.170 |
| Al, wt.% | 0.488 | 1.31 |
| Cu, wt.% | 0.386 | 1.40 |
| Zn, wt.% | 0.220 | 2.00 |
| Pb, wt.% | 0.208 | 7.50 |
| Ni, wt.% | 0.206 | 1.03 |
| Ti, wt.% | 0.208 | 1.74 |
| Sb, wt. ppm | 129 | 1365 |
| Cr, wt. ppm | 102 | 188 |
| Co, wt. ppm | 19 | 224 |
| V, wt. ppm | 18 | 29 |
| Mo, wt. ppm | BDL * | 17 |
| Ag, wt. ppm | BDL * | 8450 |
| Pd, wt. ppm | BDL * | 1550 |
| Au, wt. ppm | BDL * | 824 |
| Solid residue, wt.% | 4.84 | 45.8 |
| Other, wt.% | 10.4 | 26.5 |
Disclaimer/Publisher’s Note: The statements, opinions and data contained in all publications are solely those of the individual author(s) and contributor(s) and not of MDPI and/or the editor(s). MDPI and/or the editor(s) disclaim responsibility for any injury to people or property resulting from any ideas, methods, instructions or products referred to in the content. |
© 2023 by the authors. Licensee MDPI, Basel, Switzerland. This article is an open access article distributed under the terms and conditions of the Creative Commons Attribution (CC BY) license (https://creativecommons.org/licenses/by/4.0/).
Share and Cite
Serga, V.; Zarkov, A.; Shishkin, A.; Elsts, E.; Melnichuks, M.; Maiorov, M.; Blumbergs, E.; Pankratov, V. Study of Metal Leaching from Printed Circuit Boards by Improved Electrochemical Hydrochlorination Technique Using Alternating Current. Metals 2023, 13, 662. https://doi.org/10.3390/met13040662
Serga V, Zarkov A, Shishkin A, Elsts E, Melnichuks M, Maiorov M, Blumbergs E, Pankratov V. Study of Metal Leaching from Printed Circuit Boards by Improved Electrochemical Hydrochlorination Technique Using Alternating Current. Metals. 2023; 13(4):662. https://doi.org/10.3390/met13040662
Chicago/Turabian StyleSerga, Vera, Aleksej Zarkov, Andrei Shishkin, Edgars Elsts, Maksims Melnichuks, Mikhail Maiorov, Ervins Blumbergs, and Vladimir Pankratov. 2023. "Study of Metal Leaching from Printed Circuit Boards by Improved Electrochemical Hydrochlorination Technique Using Alternating Current" Metals 13, no. 4: 662. https://doi.org/10.3390/met13040662
APA StyleSerga, V., Zarkov, A., Shishkin, A., Elsts, E., Melnichuks, M., Maiorov, M., Blumbergs, E., & Pankratov, V. (2023). Study of Metal Leaching from Printed Circuit Boards by Improved Electrochemical Hydrochlorination Technique Using Alternating Current. Metals, 13(4), 662. https://doi.org/10.3390/met13040662

