Sign in to use this feature.

Years

Between: -

Subjects

remove_circle_outline
remove_circle_outline
remove_circle_outline
remove_circle_outline
remove_circle_outline
remove_circle_outline
remove_circle_outline
remove_circle_outline
remove_circle_outline

Journals

remove_circle_outline
remove_circle_outline
remove_circle_outline
remove_circle_outline
remove_circle_outline
remove_circle_outline
remove_circle_outline
remove_circle_outline
remove_circle_outline
remove_circle_outline
remove_circle_outline
remove_circle_outline
remove_circle_outline
remove_circle_outline
remove_circle_outline
remove_circle_outline
remove_circle_outline
remove_circle_outline
remove_circle_outline
remove_circle_outline
remove_circle_outline
remove_circle_outline
remove_circle_outline
remove_circle_outline
remove_circle_outline
remove_circle_outline
remove_circle_outline
remove_circle_outline
remove_circle_outline
remove_circle_outline
remove_circle_outline
remove_circle_outline
remove_circle_outline
remove_circle_outline
remove_circle_outline
remove_circle_outline
remove_circle_outline
remove_circle_outline
remove_circle_outline
remove_circle_outline

Article Types

Countries / Regions

remove_circle_outline
remove_circle_outline
remove_circle_outline
remove_circle_outline
remove_circle_outline
remove_circle_outline
remove_circle_outline
remove_circle_outline

Search Results (23,874)

Search Parameters:
Keywords = base metals

Order results
Result details
Results per page
Select all
Export citation of selected articles as:
20 pages, 2818 KB  
Article
Tunable Fly Ash-Based Geopolymer Fibers for Multivariate Heavy-Metal Adsorption: Optimization and Mechanistic Insights
by Gongming Luo, Yuanbing Zhou, Shuangquan Liao and Sujitra Onutai
Materials 2025, 18(20), 4698; https://doi.org/10.3390/ma18204698 (registering DOI) - 13 Oct 2025
Abstract
This study presents the fabrication and performance optimization of porous fly ash-based geopolymer (FAGP)–polyethersulfone (PES) composite fibers with tunable FAGP loading for the multivariate adsorption of heavy-metal ions from aqueous solutions. Fibers containing 20 wt%, 40 wt%, and 60 wt% FAGP were prepared [...] Read more.
This study presents the fabrication and performance optimization of porous fly ash-based geopolymer (FAGP)–polyethersulfone (PES) composite fibers with tunable FAGP loading for the multivariate adsorption of heavy-metal ions from aqueous solutions. Fibers containing 20 wt%, 40 wt%, and 60 wt% FAGP were prepared using phase inversion method and were characterized using X-ray computed tomography and mechanical testing. Adsorption experiments were conducted to assess the removal efficiencies of Pb2+, Cd2+, Cu2+, and Ni2+ at different pH values, temperatures, contact times, adsorbent dosage and initial metal-ion concentrations. The composite containing 60 wt% FAGP exhibited the high performance for all ions, and its performance was especially high for Pb2+. The isotherm and kinetic modeling revealed that the adsorption process followed Freundlich and Redlich–Peterson models, with mixed chemisorption–physisorption mechanisms depending on the metal-ion type. Compared with conventional adsorbents, the optimized composite fibers exhibited high adsorption capacity, enhanced handling suitability, and scalability in addition to their sustainability owing to the use of industrial by-products as precursors. These findings provide new insights into the structure–function relationships of FAGP composite fiber adsorbents and their potential for wastewater treatment applications. Full article
(This article belongs to the Section Construction and Building Materials)
Show Figures

Graphical abstract

19 pages, 2166 KB  
Article
Life Cycle Assessment and Critical Raw Materials Analysis of Innovative Palladium-Substituted Membranes for Hydrogen Separation
by Ali Mohtashamifar, Simone Battiston, Stefano Fasolin, Stefania Fiameni, Francesca Visentin and Simona Barison
Membranes 2025, 15(10), 310; https://doi.org/10.3390/membranes15100310 (registering DOI) - 13 Oct 2025
Abstract
Palladium-based membranes for hydrogen separation offer the most promising gas permeation and selectivity, but their large-scale application has been limited due to the high environmental burdens and criticality of palladium. Herein, the possibility of substituting Pd with candidate elements in the composition of [...] Read more.
Palladium-based membranes for hydrogen separation offer the most promising gas permeation and selectivity, but their large-scale application has been limited due to the high environmental burdens and criticality of palladium. Herein, the possibility of substituting Pd with candidate elements in the composition of metallic micro-scale membranes (with permeability in the range of 5–50 × 10−12 mol m–1 Pa–1 s−1) deposited via High Power Impulse Magnetron Sputtering was investigated. This study proposed an innovative framework for a more comprehensive investigation of the sustainability challenges related to this lab-scale technology by integrating Life Cycle Assessment (LCA) and criticality analyses, thereby supporting materials selection efforts. First, the criticality status of several elements used in hydrogen separation membranes was screened with two different approaches. Furthermore, the environmental impacts of novel membrane compositions were compared with a high Pd-content reference membrane (Pd77Ag23) through cradle-to-gate LCA. For robust LCA modeling, uncertainty analysis was performed via Monte Carlo simulation, exploiting errors estimated for both primary and secondary data. A direct relationship was identified between the Pd content in membranes and the associated environmental impacts. VPd proved to be a promising candidate by exhibiting lower total impacts than the PdAg (65% or 71% considering thickness of 3.16 µm or permeance of 2.03 × 10−6 mol m−2 Pa−1 s−1, respectively). Full article
57 pages, 1829 KB  
Systematic Review
Artificial Intelligence and Machine Learning in Cold Spray Additive Manufacturing: A Systematic Literature Review
by Habib Afsharnia and Javaid Butt
J. Manuf. Mater. Process. 2025, 9(10), 334; https://doi.org/10.3390/jmmp9100334 (registering DOI) - 13 Oct 2025
Abstract
Due to its unique benefits over conventional subtractive manufacturing, additive manufacturing methods continue to attract interest in both academia and industry. One such method is called Cold Spray Additive Manufacturing (CSAM), a solid-state coating deposition technology to manufacture repair metallic components using a [...] Read more.
Due to its unique benefits over conventional subtractive manufacturing, additive manufacturing methods continue to attract interest in both academia and industry. One such method is called Cold Spray Additive Manufacturing (CSAM), a solid-state coating deposition technology to manufacture repair metallic components using a gas jet and powder particles. CSAM offers low heat input, stable phases, suitability for heat-sensitive substrates, and high deposition rates. However, persistent challenges include porosity control, geometric accuracy near edges and concavities, anisotropy, and cost sensitivities linked to gas selection and nozzle wear. Interdisciplinary research across manufacturing science, materials characterisation, robotics, control, artificial intelligence (AI), and machine learning (ML) is deployed to overcome these issues. ML supports quality prediction, inverse parameter design, in situ monitoring, and surrogate models that couple process physics with data. To demonstrate the impact of AI and ML on CSAM, this study presents a systematic literature review to identify, evaluate, and analyse published studies in this domain. The most relevant studies in the literature are analysed using keyword co-occurrence and clustering. Four themes were identified: design for CSAM, material analytics, real-time monitoring and defect analytics, and deposition and AI-enabled optimisation. Based on this synthesis, core challenges are identified as small and varied datasets, transfer and identifiability limits, and fragmented sensing. Main opportunities are outlined as physics-based surrogates, active learning, uncertainty-aware inversion, and cloud-edge control for reliable and adaptable ML use in CSAM. By systematically mapping the current landscape, this work provides a critical roadmap for researchers to target the most significant challenges and opportunities in applying AI/ML to industrialise CSAM. Full article
26 pages, 4381 KB  
Article
Biocomposite-Based Biomimetic Plate for Alternative Fixation of Proximal Humerus Fractures
by Miguel Suffo, Irene Fernández-Illescas, Ana María Simonet, Celia Pérez-Muñoz and Pablo Andrés-Cano
Biomimetics 2025, 10(10), 688; https://doi.org/10.3390/biomimetics10100688 (registering DOI) - 13 Oct 2025
Abstract
Proximal humerus fractures are frequent injuries that often require internal fixation. Conventional metallic plates, however, present significant drawbacks such as corrosion, secondary removal surgeries, and adverse reactions in patients with metal hypersensitivity. This study evaluates biocomposite plates fabricated from polylactic acid (PLA) and [...] Read more.
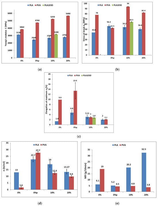
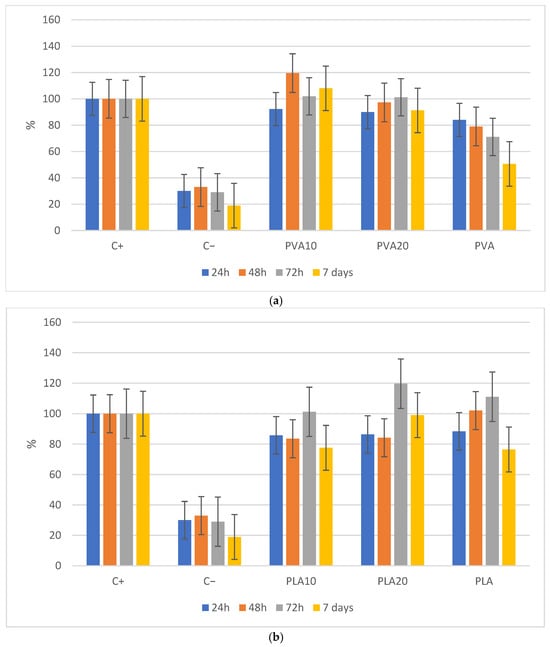
Proximal humerus fractures are frequent injuries that often require internal fixation. Conventional metallic plates, however, present significant drawbacks such as corrosion, secondary removal surgeries, and adverse reactions in patients with metal hypersensitivity. This study evaluates biocomposite plates fabricated from polylactic acid (PLA) and polyvinyl alcohol (PVA), reinforced with hydroxyapatite (HA) derived from sugar industry by-products (BCF) at 10% and 20% concentrations. These composites are compatible with both injection molding and 3D printing, enabling the design of patient-specific implants. Characterization by SEM, FTIR, XRD, and DSC confirmed that BCF incorporation enhances strength, stiffness, osteoconductivity, and biocompatibility. Mechanical testing showed that PVA/BCF exhibited greater tensile strength and stiffness, suggesting suitability for load-bearing applications, though their water solubility restricts use in humid environments and prevents filament-based 3D printing. PLA/BCF composites demonstrated better processability, favorable mechanical performance, and compatibility with both manufacturing routes. Finite element analysis highlighted the importance of plate–humerus contact in stress distribution and fixation stability. Compared with non-biodegradable thermoplastics such as PEI and PEEK, PLA/BCF and PVA/BCF offer the additional advantage of controlled biodegradation, reducing the need for secondary surgeries. Cell viability assays confirmed cytocompatibility, with optimal outcomes at 10% BCF in PVA and 20% in PLA. These results position PLA/BCF and PVA/BCF as sustainable, patient-tailored alternatives to metallic implants, combining adequate mechanical support with bone regeneration potential. Full article
(This article belongs to the Special Issue Biomimetic Materials for Bone Tissue Engineering)
Show Figures

Figure 1

24 pages, 9203 KB  
Article
Iron-Modified Alkaline Lignin Chitosan Aerogel Microspheres for Sb(III) Removal in Water
by Yaping Cheng, Haimin Liao, Huimei Shan, Yunquan Liu and Huinan Mo
Molecules 2025, 30(20), 4067; https://doi.org/10.3390/molecules30204067 (registering DOI) - 13 Oct 2025
Abstract
Antimony (Sb), as a toxic heavy metal, has drawn worldwide attention, and its efficient removal from water has become increasingly urgent. In this study, an iron-modified alkaline lignin chitosan (Fe-ALCS) gel bead is prepared by the freeze-drying method to remove Sb(III) from the [...] Read more.
Antimony (Sb), as a toxic heavy metal, has drawn worldwide attention, and its efficient removal from water has become increasingly urgent. In this study, an iron-modified alkaline lignin chitosan (Fe-ALCS) gel bead is prepared by the freeze-drying method to remove Sb(III) from the aqueous solution. The static adsorption experiment discusses the various environmental influences on the adsorption performance of Fe-ALCS for Sb(III) removal. The adsorption mechanism is explored by combining adsorption kinetics, isothermal adsorption, and characterization methods (such as FTIR, XRD, XPS, etc). The results show that the equilibrium adsorption capacity of Sb(III) decreases with the increase in pH and mass–volume ratio. With the increase in the initial Sb(III) concentration, Qe showed a rapid increasing trend in the range of 50–100 mg/L and continued to rise with the extension of contact time (t), reaching the maximum value at 3540 min. Under the optimal conditions of pH = 3, m/v = 1.0 g/L, and C0 = 20 mg/L, the removal efficiency (Re) value is 95.07%, which is still approximately 86.8% after five adsorption–desorption cycles. The maximum adsorption capacity is 266.58 mg/g fitted by the Langmuir model. The adsorption mechanism is mainly related to the iron-based active site of Fe–O(OH), where the O–H on its surface undergoes ligand exchange with Sb(OH)3 to form a stable Fe–O–Sb coordination structure. Additionally, C–OH, C–O, and other functional groups in ALCS also contribute to Sb adsorption. Fe-ALCS is an environmentally friendly, renewable, and convenient biomass adsorbent with good potential for wastewater treatment. Full article
Show Figures

Figure 1

9 pages, 1622 KB  
Communication
Scalable Graphene–MoS2 Lateral Contacts for High-Performance 2D Electronics
by Woonggi Hong
Materials 2025, 18(20), 4689; https://doi.org/10.3390/ma18204689 (registering DOI) - 13 Oct 2025
Abstract
As the scaling of silicon-based CMOS technology approaches its physical limits, two-dimensional (2D) materials have emerged as promising alternatives for future electronic devices. Among them, MoS2 is a leading candidate due to its fascinating semiconducting nature and compatibility with CMOS processes. However, [...] Read more.
As the scaling of silicon-based CMOS technology approaches its physical limits, two-dimensional (2D) materials have emerged as promising alternatives for future electronic devices. Among them, MoS2 is a leading candidate due to its fascinating semiconducting nature and compatibility with CMOS processes. However, high contact resistance at the metal–MoS2 interface remains a major bottleneck, limiting device performance. In this study, we report the fabrication and characterization of graphene–MoS2 (Gr–MoS2) lateral heterostructure FETs, where monolayer graphene, synthesized by inductively coupled plasma chemical vapor deposition (ICP-CVD), is directly used as the source and drain. Bilayer MoS2 is selectively grown along graphene edges via edge-guided CVD, forming a chemically bonded in-plane junction without transfer steps. Electrical measurements reveal that the Gr–MoS2 FETs exhibit a threefold increase in average field-effect mobility (3.9 vs. 1.1 cm2 V−1 s−1) compared to conventional MoS2 FETs. Y-function analysis shows that the contact resistance is significantly reduced from 85.8 kΩ to 20.5 kΩ at VG = 40 V. These improvements are attributed to the replacement of the conventional metal–MoS2 contact with a graphene–metal contact. Our results demonstrate that lateral heterostructure engineering with graphene provides an effective and scalable strategy for high-performance 2D electronics. Full article
(This article belongs to the Special Issue Advances in Flexible Electronics and Electronic Devices)
Show Figures

Figure 1

16 pages, 1026 KB  
Article
Multi-Criteria Evaluation of Bioavailable Trace Elements in Fine and Coarse Particulate Matter: Implications for Sustainable Air-Quality Management and Health Risk Assessment
by Elwira Zajusz-Zubek and Zygmunt Korban
Sustainability 2025, 17(20), 9045; https://doi.org/10.3390/su17209045 (registering DOI) - 13 Oct 2025
Abstract
Bioavailable fractions of particulate-bound trace elements are key determinants of inhalation toxicity, yet air-quality assessments typically rely on total metal concentrations, which may underestimate health risks. This study integrates the exchangeable (F1) and reducible (F2) fractions of trace elements in fine (PM2.5 [...] Read more.
Bioavailable fractions of particulate-bound trace elements are key determinants of inhalation toxicity, yet air-quality assessments typically rely on total metal concentrations, which may underestimate health risks. This study integrates the exchangeable (F1) and reducible (F2) fractions of trace elements in fine (PM2.5) and coarse (PM10) particulate matter with multi-criteria decision-making (TOPSIS) and similarity-based classification (Czekanowski’s method). Archival weekly-integrated samples from the summer season were collected at eight industrially influenced sites in southern Poland. Sequential extraction (F1–F2) and ICP-MS were applied to quantify concentrations of cadmium, cobalt, chromium, nickel, and lead in PM2.5 and PM10. Aggregated hazard values were then derived with TOPSIS, and site similarity was explored using Czekanowski’s reordered distance matrices. Regulatory targets for cadmium and nickel, and the limit for lead in PM10 were not exceeded, but F1/F2 profiles revealed pronounced site-to-site differences in potential mobility that were not evident from total concentrations. Rankings were consistent across size fractions, with site P1 exhibiting the lowest hazard indices and P8 the highest, while mid-rank sites formed reproducible similarity clusters. The proposed chemical-fractionation and multivariate framework provides a reproducible screening tool for multi-element exposure, complementing compliance checks and supporting prioritisation of sites for targeted investigation and environmental management. In the sustainability context, bioavailability-based indicators strengthen air-quality assessment by linking monitoring data with health-relevant and cost-effective management strategies, supporting efficient resource allocation and reducing exposure in vulnerable populations. Full article
Show Figures

Figure 1

19 pages, 4382 KB  
Article
Prediction of Spatial Distribution of Soil Heavy Metal Pollution Using Integrated Geochemistry and Three-Dimensional Electrical Resistivity Tomography
by Wangming Li, Haifei Liu, Shizhen Yang, Daowei Zhu, Yanglian Zhao, Min Luo, Bin Zeng and Xiang Xiao
Appl. Sci. 2025, 15(20), 10969; https://doi.org/10.3390/app152010969 - 13 Oct 2025
Abstract
Soil heavy metal contamination poses a serious threat to soil ecosystems and human health. Geochemistry is often used in soil heavy metal contamination research to identify pollution sources, identify elemental cycling mechanisms, and assess the spatial distribution and risk of contamination. However, it [...] Read more.
Soil heavy metal contamination poses a serious threat to soil ecosystems and human health. Geochemistry is often used in soil heavy metal contamination research to identify pollution sources, identify elemental cycling mechanisms, and assess the spatial distribution and risk of contamination. However, it is difficult to directly reflect the spatial continuity and deep distribution patterns of contamination. Three-dimensional electrical resistivity tomography (3D ERT) technology often indirectly predicts the distribution of soil contamination by leveraging the electrical structure of the subsurface medium. However, many factors influence this electrical structure, leading to biased predictions. This paper combines geochemistry with 3D ERT technology. A nonlinear statistical model is established based on the geochemical analysis results and resistivity of soil samples. A 3D ERT model is then constructed. This model is used to further investigate the spatial distribution patterns of soil heavy metal contamination and assess the extent of contamination. This study investigated soil sample collection and chemical analysis of heavy metal content at a heavy metal contaminated site in Hunan Province. Antimony contamination was particularly severe in the soil. The 3D ERT data collection and inversion imaging were performed in the soil sample collection area. A 3D ERT model was established to analyze and evaluate the distribution range and extent of antimony contamination in the area. Comparing the antimony content predicted by the model with the actual test data, the results show that the error range is 0.6–16.6%, and the average error is 5.8%. The model has high accuracy, achieving good overall prediction and evaluation results. Full article
Show Figures

Figure 1

18 pages, 91562 KB  
Article
Mineralogy and Critical Metal Distribution in Upper Carboniferous Aluminum-Bearing Strata from the Yangquan Mining Area, Northeastern Qinshui Basin: Insights from TIMA
by Ning Wang, Yingxia Xu, Jun Zhao, Shangqing Zhang, Zhiyi Liu and Menghuai Hou
Minerals 2025, 15(10), 1069; https://doi.org/10.3390/min15101069 - 12 Oct 2025
Abstract
Critical metals associated with aluminum-bearing strata have garnered increasing attention due to their considerable economic potential. Recent investigations have identified notable enrichment of Li, Ga, Zr, Nb, REEs (rare earth elements), etc., within the Upper Carboniferous Benxi Formation in the Yangquan mining area, [...] Read more.
Critical metals associated with aluminum-bearing strata have garnered increasing attention due to their considerable economic potential. Recent investigations have identified notable enrichment of Li, Ga, Zr, Nb, REEs (rare earth elements), etc., within the Upper Carboniferous Benxi Formation in the Yangquan mining area, the Northeastern Qinshui Basin, Northern China. However, their mineralogical characteristics and micro-scale modes of occurrence remain insufficiently constrained. In this study, we employed the TESCAN Integrated Mineral Analyzer (TIMA) in combination with X-ray diffraction (XRD) and clay-separation experiments to provide direct mineralogical evidence for the occurrence of Ti, Li, Ga, Zr, and REEs in claystone and aluminous claystone from the Benxi Formation, Yangquan mining area, Northeastern Qinshui Basin. Our results indicate that both lithologies are primarily composed of kaolinite and diaspore, with minor amounts of anatase and cookeite; illite is additionally present in the claystone. Titanium predominantly occurs as anatase in both lithologies, though a portion in aluminous claystone may be incorporated into kaolinite and other Ti-bearing minerals such as rutile and leucoxene. Lithium is primarily hosted by cookeite in both rock types. Mineral assemblage variations further suggest that kaolinite may have partially transformed into Li-rich chlorite (i.e., cookeite) during the transformation from aluminous claystone to claystone. Gallium is chiefly associated with diaspore and kaolinite, with a stronger correlation with diaspore in the aluminous claystone. Zircon is the sole carrier of Zr in both lithologies. Importantly, La and Ce show a consistent spatial association with O–Al–Si–Ti–P mixed aggregates in TIMA maps, particularly in aluminous claystone. Based on these spatial patterns, textural relationships, and comparisons with previous studies, phosphate minerals are inferred to be the dominant REE hosts, although minor contributions from other phases cannot be completely excluded. These findings highlight a previously underexplored mode of critical-metal enrichment in Northern Chinese bauxite-bearing strata and provide a mineralogical basis for future extraction and utilization. Full article
Show Figures

Figure 1

36 pages, 4822 KB  
Review
Converting Wastewater Sludge into Slow-Release Fertilizers via Biochar and Encapsulation Technologies
by Babar Azeem
Appl. Sci. 2025, 15(20), 10954; https://doi.org/10.3390/app152010954 - 12 Oct 2025
Abstract
The rising demand for sustainable agriculture and circular resource management has intensified interest in converting wastewater sludge into value-added products. This review explores the transformation of sewage sludge into slow- and controlled-release fertilizers (CRFs), with a focus on biochar production and encapsulation technologies. [...] Read more.
The rising demand for sustainable agriculture and circular resource management has intensified interest in converting wastewater sludge into value-added products. This review explores the transformation of sewage sludge into slow- and controlled-release fertilizers (CRFs), with a focus on biochar production and encapsulation technologies. Sewage sludge is rich in essential macronutrients (N, P, K), micronutrients, and organic matter, making it a promising feedstock for agricultural applications. However, its use is constrained by challenges including compositional variability, presence of heavy metals, pathogens, and emerging contaminants such as microplastics and PFAS (Per- and Polyfluoroalkyl Substances). The manuscript discusses a range of stabilization and conversion techniques, such as composting, anaerobic digestion, pyrolysis, hydrothermal carbonization, and nutrient recovery from incinerated sludge ash. Special emphasis is placed on coating and encapsulation technologies that regulate nutrient release, improve fertilizer efficiency, and reduce environmental losses. The role of natural, synthetic, and biodegradable polymers in enhancing release mechanisms is analyzed in the context of agricultural performance and soil health. While these technologies offer environmental and agronomic benefits, large-scale adoption is hindered by technical, economic, and regulatory barriers. The review highlights key challenges and outlines future perspectives, including the need for advanced coating materials, improved contaminant mitigation strategies, harmonized regulations, and field-scale validation of CRFs. Overall, the valorisation of sewage sludge into CRFs presents a viable strategy for nutrient recovery, waste minimization, and sustainable food production. With continued innovation and policy support, sludge-based fertilizers can become a critical component of the green transition in agriculture. Full article
(This article belongs to the Section Green Sustainable Science and Technology)
Show Figures

Figure 1

14 pages, 4295 KB  
Article
Ti-Fe-Based Alloys Modified with Al and Cr for Next-Generation Biomedical Implants
by Katia Itzel Rodríguez-Escobedo, Wilian Jesús Pech-Rodríguez, Zaira Itzel Bedolla-Valdez, Carlos Adrián Calles-Arriaga, José Guadalupe Miranda-Hernández and Enrique Rocha-Rangel
Eng 2025, 6(10), 273; https://doi.org/10.3390/eng6100273 (registering DOI) - 11 Oct 2025
Abstract
Titanium and, in particular, its alloys are widely used in biomedical applications due to their favorable combination of mechanical properties, such as high strength, low density, low elastic modulus, and excellent biocompatibility. In this study, novel titanium-based alloys were developed using powder metallurgy [...] Read more.
Titanium and, in particular, its alloys are widely used in biomedical applications due to their favorable combination of mechanical properties, such as high strength, low density, low elastic modulus, and excellent biocompatibility. In this study, novel titanium-based alloys were developed using powder metallurgy techniques. The chemical composition of the studied alloys was 93%Ti-7%Fe, 90%Ti-7%Fe-3%Al, and 88%Ti-7%Fe-5%Cr. The metallic powders were processed in a planetary mill, uniaxially compacted, and subsequently sintered at 1300 °C during 2 h under an inert atmosphere. The primary objective was to evaluate the corrosion behavior of these alloys in simulated body fluid solutions, as well as to determine some of the properties, such as the relative density, microhardness, and elastic modulus. The resulting microstructures were homogeneous, with micrometer-scale grain sizes and the formation of intermetallic precipitates generated during sintering. Mechanical tests revealed that the Ti-Fe-Cr alloy exhibited the highest microhardness and Young’s modulus values, followed by Ti-Fe and Ti-Fe-Al. These results confirm a strong correlation between hardness and stiffness, showing that Cr enhances mechanical and elastic properties, while Al reduces them. Corrosion tests demonstrated that the alloys possess high resistance and stability in physiological environments, with a low current density, minimal mass loss, and strong performance even under prolonged exposure to acidic conditions. Full article
(This article belongs to the Section Materials Engineering)
28 pages, 1660 KB  
Review
Air Pollutants in Puerto Rico: Key Pollutants and Carcinogenic Properties
by Devrim Kaya, Clara Santiago, Enrique Pernas, Sammy Truong, Greicha Martinez, Loyda B. Méndez and Yamixa Delgado
Int. J. Environ. Res. Public Health 2025, 22(10), 1549; https://doi.org/10.3390/ijerph22101549 - 11 Oct 2025
Abstract
Air pollutants pose a growing public health concern in Puerto Rico (PR), particularly from rapid industrialization, military activities, environmental changes and natural disasters. A total of 193 pollutants, comprising the 187 hazardous air pollutants and the 6 criteria air pollutants—including particulate matter (PM), [...] Read more.
Air pollutants pose a growing public health concern in Puerto Rico (PR), particularly from rapid industrialization, military activities, environmental changes and natural disasters. A total of 193 pollutants, comprising the 187 hazardous air pollutants and the 6 criteria air pollutants—including particulate matter (PM), carbon monoxide (CO), volatile organic compounds (VOC), and heavy metals—coincide with rising respiratory disease rates (e.g., lung cancer) documented in national and regional health registries. This study aimed to review major air pollutants in PR, their molecular carcinogenic mechanisms (mostly focused on respiratory-related cancers), and the geographic areas impacted significantly. We conducted an extensive literature search utilizing peer-reviewed scientific articles (PubMed and Web of Science), governmental reports (EPA, WHO, State of Global Air), public health registries, (Puerto Rico Central Cancer Registry and International Agency for Research on Cancer) and local reports. Data on pollutant type, source, molecular pathways, and carcinogenic properties were extracted and synthesized. Our analysis identified ethylene oxide (EtO), polycyclic aromatic hydrocarbons, and PM from industrial sites as key pollutants. The municipalities of Salinas and Vieques, hubs of industrial activity and military exercises, respectively, emerged as critical hotspots where high concentrations of monitored pollutants (e.g., EtO, formaldehyde, 2,3,7,8-tetrachlorodibenzo-p-dioxin (TCDD) and diesel PM) are associated with a significant prevalence of cancer and respiratory diseases. These agents, known to induce genomic instability and chromosomal aberrations, were correlated with elevated local cancer incidence. Our findings underscore the urgent need for targeted public health interventions and support a multi-pronged strategy that includes: (1) enhanced regulatory oversight of EtO and other hazardous air pollutant emissions; (2) community-based biomonitoring of high-risk populations; and (3) investment in public health infrastructure and a transition to cleaner energy sources. Integrating rigorous environmental science with public health advocacy is essential to strengthen PR’s cancer-control continuum and foster resilience in its most vulnerable communities. Full article
(This article belongs to the Special Issue Air Pollution Exposure and Its Impact on Human Health)
Show Figures

Figure 1

14 pages, 2691 KB  
Article
Evaluation of the Effect of Post-Processing Methods on the Surface Parameters of Parts Produced by FFF/FDM Technology
by Marek Kočiško, Lukáš Štafura, Karol Goryl and Zuzana Mitaľová
Materials 2025, 18(20), 4672; https://doi.org/10.3390/ma18204672 (registering DOI) - 11 Oct 2025
Abstract
This article focuses on evaluating selected roughness parameters on samples created by material extrusion, specifically FFF (Fused Filament Fabrication). The experiment was divided into two separate phases. The first phase of the experiment involved creating a four-level model A from PLA (poly (lactic [...] Read more.
This article focuses on evaluating selected roughness parameters on samples created by material extrusion, specifically FFF (Fused Filament Fabrication). The experiment was divided into two separate phases. The first phase of the experiment involved creating a four-level model A from PLA (poly (lactic acid)) material without any additives. The variable parameter was the height of the printed layer, where each level was printed at a different print height. Subsequently, the sandblasting method was applied to the samples using a selected abrasive. The roughness parameters were evaluated using a Mitutoyo Surftest SJ-400 roughness tester. Based on the results of the roughness parameters of model A, model B was prepared, using a constant print height. Each level of model B was made with different metallic additives based on PLA material. The findings demonstrate the effectiveness of mechanical post-processing in achieving the desired surface characteristics of additively manufactured components. The experiment confirms the suitability of sanding and grinding to improve surface quality at different layer heights and for PLA-based materials with metal additives. In addition, grinding and sanding of PLA-based composites filled with metal particles can create a realistic metallic appearance comparable to conventionally manufactured metals. Full article
Show Figures

Figure 1

26 pages, 15886 KB  
Review
Coal-Based Direct Reduction for Dephosphorization of High-Phosphorus Iron Ore: A Critical Review
by Hongda Xu, Rui Li, Jue Kou, Xiaojin Wen, Jiawei Lin, Jiawen Yin, Chunbao Sun and Tichang Sun
Minerals 2025, 15(10), 1067; https://doi.org/10.3390/min15101067 - 11 Oct 2025
Abstract
Conventional separation methods often prove ineffective for complex, refractory high-phosphorus iron ores. Recent advances propose a coal-based direct reduction dephosphorization-magnetic separation process, achieving significant dephosphorization efficiency. This review systematically analyzes phosphorus occurrence states in high-phosphorus oolitic iron ores across global deposits, particularly within [...] Read more.
Conventional separation methods often prove ineffective for complex, refractory high-phosphorus iron ores. Recent advances propose a coal-based direct reduction dephosphorization-magnetic separation process, achieving significant dephosphorization efficiency. This review systematically analyzes phosphorus occurrence states in high-phosphorus oolitic iron ores across global deposits, particularly within iron minerals. We categorize contemporary research and elucidate dephosphorization mechanisms during coal-based direct reduction. Key factors influencing iron mineral phase transformation, iron enrichment, and phosphorus removal are comprehensively evaluated. Phosphorus primarily exists as apatite and collophane gangue m horization agents function by: (1) inhibiting phosphorus-bearing mineral reactions or binding phosphorus into soluble salts to prevent incorporation into metallic iron; (2) enhancing iron oxide reduction and coal gasification; (3) disrupting oolitic structures, promoting metallic iron particle growth, and improving the intergrowth relationship between metallic iron and gangue. Iron mineral phase transformations follow the sequence: Fe2O3 → Fe3O4 → FeO (FeAl2O4, Fe2SiO4) → Fe. Critical parameters for effective dephosphorization under non-reductive phosphorus conditions include reduction temperature, duration, reductant/dephosphorization agent types/dosages. Future research should focus on: (1) investigating phosphorus forms in iron minerals for targeted ore utilization; (2) reducing dephosphorization agent consumption and developing sustainable alternatives; (3) refining models for metallic iron growth and improving energy efficiency; (4) optimizing reduction atmosphere control; (5) implementing low-carbon emission strategies. Full article
(This article belongs to the Section Mineral Processing and Extractive Metallurgy)
Show Figures

Figure 1

14 pages, 3628 KB  
Article
Model Construction and Prediction of Combined Toxicity of Arsenic(V) and Lead(II) on Chlamydomonas reinhardtii
by Zhongquan Jiang, Tianyi Wei, Chunhua Zhang, Xiaosheng Shen, Zhemin Shen, Tao Yuan and Ying Ge
Biology 2025, 14(10), 1395; https://doi.org/10.3390/biology14101395 - 11 Oct 2025
Abstract
With the acceleration of industrialization, the impact of the toxic metalloid arsenic (As) and metal lead (Pb) on aquatic ecosystems has garnered widespread concern. However, the specific toxic effects of how these two metals jointly impact aquatic organisms are not yet fully understood. [...] Read more.
With the acceleration of industrialization, the impact of the toxic metalloid arsenic (As) and metal lead (Pb) on aquatic ecosystems has garnered widespread concern. However, the specific toxic effects of how these two metals jointly impact aquatic organisms are not yet fully understood. This study aims to investigate the toxic effects of As and Pb individually and in combination of the mixture on the growth of Chlamydomonas reinhardtii (C. reinhardtii) in a lab setup using the Concentration Addition (CA) model and the Independent Action (IA) model to predict the toxic effects at different concentrations. The results indicated that As and Pb had significant inhibitory effects on the growth of algae, and the toxicity of As was greater than that of Pb (As EC50 = 374.87 μg/L, Pb EC50 = 19,988.75 μg/L), measured by Spectrophotometer. As the metal concentrations increased, both metals demonstrated classic sigmoidal concentration-effect curves. Furthermore, we discovered that in mixtures of As and Pb at varying concentration ratios, the combined toxic effect shifted from additive to synergistic with increasing As concentration, exhibiting a pronounced concentration ratio dependency. Utilizing nonlinear least squares regression, we successfully constructed concentration-response models for both As and Pb, employing Observation-based Confidence Intervals (OCIs) to reflect the uncertainty of the data. By comparing experimental data with model predictions, the EC50 was used as an index to compare the toxicity magnitude of As/Pb mixtures. The toxicity of As and Pb mixtures gradually increases with the increase in their concentration ratios. Scanning and transmission electron microscopic observations revealed that the combination of 200 μg/L As and 2000 μg/L Pb resulted in the greatest synergistic toxic effect, with severe breakage and indentation to C. reinhardtii cells. This study not only provided new insights into the environmental behavior and ecological risks of As and Pb but also held significant implications for effective water pollution management strategies by offering a validated model-based framework for predicting mixture toxicity across different concentration regimes. Full article
(This article belongs to the Section Toxicology)
Show Figures

Figure 1

Back to TopTop