Cold Compaction Behavior of Unsaturated Titanium Hydride Powders: Validation of Two Compaction Equations
Abstract
1. Introduction
2. Materials and Methods
3. Results and Discussion
3.1. Powder Characterization
3.2. Green Compact Characterization
3.3. Compressive Curve Fitting and Densification Mechanism Analysis
3.3.1. Cooper–Eaton Equation
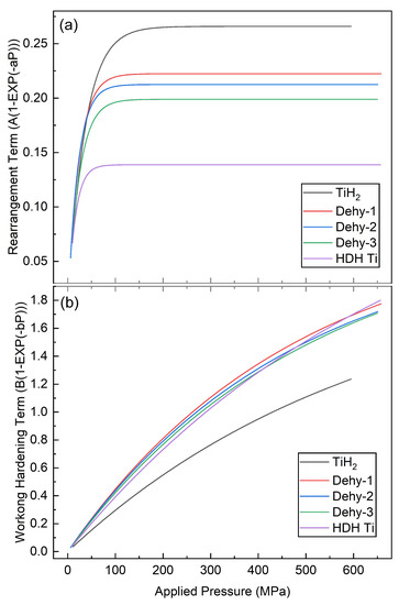
3.3.2. The Gerdemann–Jablonski Equation
3.3.3. Analysis of the Densification Mechanism of Powder
4. Conclusions
Author Contributions
Funding
Institutional Review Board Statement
Informed Consent Statement
Data Availability Statement
Conflicts of Interest
References
- Fang, Z.G.Z.; Paramore, J.D.; Sun, P.; Chandran, K.S.R.; Zhang, Y.; Xia, Y.; Cao, F.; Koopman, M.; Free, M. Powder metallurgy of titanium—Past, present, and future. Int. Mater. Rev. 2018, 63, 407–459. [Google Scholar] [CrossRef]
- Qian, M.; Froes, F.H. Titanium Powder Metallurgy: Science, Technology and Applications; Butterworth-Heinemann: Waltham, MA, USA, 2015; pp. 1–628. [Google Scholar]
- Kumar, P.; Chandran, K.S.R. Strength–Ductility Property Maps of Powder Metallurgy (PM) Ti-6Al-4V Alloy: A Critical Review of Processing-Structure-Property Relationships. Met. Mater. Trans. A 2017, 48, 2301–2319. [Google Scholar] [CrossRef]
- Gerdemann, S.J.; Jablonski, P.D. Compaction of Titanium Powders. Met. Mater. Trans. A 2010, 42, 1325–1333. [Google Scholar] [CrossRef]
- Walker, E.E. The properties of powders. Part VI. The compressibility of powders. Trans. Faraday Soc. 1923, 19, 73–82. [Google Scholar] [CrossRef]
- Sonnergaard, J. A critical evaluation of the Heckel equation. Int. J. Pharm. 1999, 193, 63–71. [Google Scholar] [CrossRef]
- Kawakita, K.; Lüdde, K.-H. Some considerations on powder compression equations. Powder Technol. 1971, 4, 61–68. [Google Scholar] [CrossRef]
- Panelli, R.; Ambrozio, F. A study of a new phenomenological compacting equation. Powder Technol. 2001, 114, 255–261. [Google Scholar] [CrossRef]
- Ge, R. A new powder compaction equation. Int. J. Powder Met. 1991, 27, 211–216. [Google Scholar]
- Shapiro, I. Compaction of powders X. Development of a general compaction equation. Adv. Powder Metall. Part. Mater. 1993, 3, 229–243. [Google Scholar]
- Cooper, A.R.; Eaton, L.E. Compation behavior of several ceramic powders. J. Am. Ceram. Soc. 1962, 45, 97–101. [Google Scholar] [CrossRef]
- Dong, S.; Wang, B.; Song, Y.; Ma, G.; Xu, H.; Savvakin, D.; Ivasishin, O. Comparative Study on Cold Compaction Behavior of TiH2 Powder and HDH-Ti Powder. Adv. Mater. Sci. Eng. 2021, 2021, 9999541. [Google Scholar] [CrossRef]
- Esteban, P.G.; Thomas, Y.; Baril, E.; Ruiz-Navas, E.M.; Gordo, E. Study of compaction and ejection of hydrided-dehydrided titanium powder. Met. Mater. Int. 2011, 17, 45–55. [Google Scholar] [CrossRef]
- Hadadzadeh, A.; Whitney, M.A.; Wells, M.A.; Corbin, S.F. Analysis of compressibility behavior and development of a plastic yield model for uniaxial die compaction of sponge titanium powder. J. Mater. Process. Technol. 2017, 243, 92–99. [Google Scholar] [CrossRef]
- Lou, J.; Gabbitas, B.; Zhang, D.; Yang, F. Effects of Initial Powder Compact Thickness, Lubrication, and Particle Morphology on the Cold Compaction Behavior of Ti Powder. Met. Mater. Trans. A 2015, 46, 3646–3655. [Google Scholar] [CrossRef]
- Machaka, R.; Chikwanda, H.K. An Experimental Evaluation of the Gerdemann–Jablonski Compaction Equation. Met. Mater. Trans. A 2015, 46, 2194–2200. [Google Scholar] [CrossRef]
- Robertson, I.M.; Schaffer, G.B. Comparison of sintering of titanium and titanium hydride powders. Powder Met. 2010, 53, 12–19. [Google Scholar] [CrossRef]
- Ivasishin, O.M.; Bondareva, K.; Bondarchuk, V.; Gerasimchuk, O.; Savvakin, D.; Gryaznov, B. Fatigue resistance of powder metallurgy Ti–6Al–4V alloy. Strength Mater. 2004, 36, 225–230. [Google Scholar] [CrossRef]
- Ivasishin, O.M.; Savvakin, D.G. The Impact of Diffusion on Synthesis of High-Strength Titanium Alloys from Elemental Powder Blends. Key Eng. Mater. 2010, 436, 113–121. [Google Scholar] [CrossRef]
- Robertson, I.M.; Schaffer, G.B. Review of densification of titanium based powder systems in press and sinter processing. Powder Met. 2010, 53, 146–162. [Google Scholar] [CrossRef]
- Machio, C.; Machaka, R.; Chikwanda, H. Consolidation of titanium hydride powders during the production of titanium PM parts: The effect of die wall lubricants. Mater. Des. 2016, 90, 757–766. [Google Scholar] [CrossRef]
- Machio, C.; Machaka, R.; Shabalala, T.; Chikwanda, H.K. Analysis of the Cold Compaction Behaviour of TiH2-316L Nanocomposite Powder Blend Using Compaction Models. Mater. Sci. Forum 2015, 828–829, 121–128. [Google Scholar] [CrossRef]
- Ueta, M.C.C.; Fracote, C.A.; Henriques, V.A.R.; de Alencastro Graça, M.L.; Cairo, C.A.A. Densification Study of Titanium Powder Compacts. Mater. Sci. Forum 2005, 498–499, 211–216. [Google Scholar] [CrossRef]
- Dong, S.; Ma, G.; Lei, P.; Cheng, T.; Savvakin, D.; Ivasishin, O. Comparative study on the densification process of different titanium powders. Adv. Powder Technol. 2021, 32, 2300–2310. [Google Scholar] [CrossRef]
- Wei, Y.; Wang, C.; Zhang, Y.; Mei, L.; Xiao, S.; Chen, Y. The Compactibility of Unsaturated Titanium Hydride Powders. J. Mater. Eng. Perform. 2018, 27, 5752–5761. [Google Scholar] [CrossRef]
- Rietveld, H.M. A profile refinement method for nuclear and magnetic structures. J. Appl. Crystallogr. 1969, 2, 65–71. [Google Scholar] [CrossRef]
- Wang, C.; Pan, L.; Zhang, Y.; Xiao, S.; Chen, Y. Deoxidization mechanism of hydrogen in TiH2 dehydrogenation process. Int. J. Hydrogen Energy 2016, 41, 14836–14841. [Google Scholar] [CrossRef]
- Dong, S.; Qiu, F.; Lei, P.; Cheng, T.; Ma, G.; Qu, L.; Ivasishin, O. Evaluation and parameter analysis of compaction equations applied to titanium powder. Powder Met. 2021, 65, 181–199. [Google Scholar] [CrossRef]
- Machaka, R.; Chikwanda, H.K. Analysis of the Cold Compaction Behavior of Titanium Powders: A Comprehensive Inter-model Comparison Study of Compaction Equations. Met. Mater. Trans. A 2015, 46, 4286–4297. [Google Scholar] [CrossRef]
- Petroni, S.L.G. PM compaction equations applied for the modelling of titanium hydride powders compressibility data. Powder Met. 2020, 63, 35–42. [Google Scholar] [CrossRef]










| Sample No. | Dehydrogenation Temperature (°C) | Dehydrogenation Time |
|---|---|---|
| TiH2 | 0 | 0 min |
| Dehy-1 | 640 | 1 min |
| Dehy-2 | 640 | 5 min |
| Dehy-3 | 640 | 15 min |
| HDH Ti | 640 | 4 h |
| Sample. No | PSD (μm) | D10 (μm) | D50 (μm) | D90 (μm) | Oxygen (wt%) |
|---|---|---|---|---|---|
| TiH2 | 0–115 | 58.29 | 76.85 | 98.94 | 0.17 |
| Dehy-1 | 0–115 | 37.27 | 75.27 | 98.95 | 0.14 |
| Dehy-2 | 0–115 | 37.15 | 75.05 | 98.19 | 0.20 |
| Dehy-3 | 0–115 | 36.76 | 74.68 | 98.14 | 0.23 |
| HDH Ti | 0–115 | 37.19 | 72.73 | 96.78 | 0.16 |
| Sample. No |
Theoretical Density (g/cm3) | Phase Composition | Space Group | Portion (wt%) | Lattice Parameters (Å) | V (Å3) | |
|---|---|---|---|---|---|---|---|
| TiH2 | 3.75 | δ | F m-3 m | 100.00 | a | 4.4500 | 88.1211 |
| Dehy-1 | 3.79 | δ | F m-3 m | 3.00 | a | 4.4212 | 86.4189 |
| ε | I 4/m m m | 95.61 | a | 3.1663 | 43.8074 | ||
| c | 4.3697 | ||||||
| α | P 63/m m c | 1.39 | a | 2.9474 | 40.4241 | ||
| c | 4.6533 | ||||||
| Dehy-2 | 3.85 | δ | F m-3 m | 9.55 | a | 4.4163 | 86.1335 |
| ε | I 4/m m m | 84.30 | a | 3.1638 | 43.6661 | ||
| c | 4.3623 | ||||||
| α | P 63/m m c | 6.15 | a | 2.9514 | 40.6855 | ||
| c | 4.6708 | ||||||
| Dehy-3 | 3.89 | δ | F m-3 m | 54.92 | a | 4.4109 | 85.8199 |
| ε | I 4/m m m | 31.31 | a | 3.1614 | 43.5763 | ||
| c | 4.3599 | ||||||
| α | P 63/m m c | 13.77 | a | 2.9537 | 40.7924 | ||
| c | 4.6757 | ||||||
| HDH Ti | 4.51 | α | P 63/m m c | 100.00 | a | 2.9493 | 40.7270 |
| Sample No. | Particle Rearrangement | Fragmentation/Plastic Deformation | Correlation Coefficient | Particle Rearrangement /% | Fragmentation/Plastic Deformation /% | ||
|---|---|---|---|---|---|---|---|
| a1 | k1 | a2 | k2 | R2 | |||
| TiH2 | 0.6419 | 3.4303 | 0.3583 | 185.7217 | 0.9968 | 64.18 | 35.82 |
| Dehy-1 | 0.4434 | 13.0164 | 0.6412 | 172.7629 | 0.9986 | 40.88 | 59.12 |
| Dehy-2 | 0.4315 | 12.8420 | 0.6327 | 174.8165 | 0.9982 | 40.55 | 59.45 |
| Dehy-3 | 0.4272 | 14.2781 | 0.6349 | 186.2967 | 0.9986 | 40.22 | 59.78 |
| HDH Ti | 0.2971 | 11.4522 | 0.7442 | 204.9790 | 0.9968 | 28.53 | 71.47 |
| Sample. No | Initial Density | Particle Rearrangement | Work Hardening | Correlation Coefficient | Particle Rearrangement/% | Work Hardening/% | ||
|---|---|---|---|---|---|---|---|---|
| D0 | A | a | B | b | R2 | |||
| TiH2 | 1.510 | 0.3253 | 0.0605 | 1.8581 | 0.0020 | 0.9995 | 14.90 | 85.10 |
| Dehy-1 | 1.498 | 0.2224 | 0.0431 | 2.3805 | 0.2224 | 0.9996 | 8.55 | 91.45 |
| Dehy-2 | 1.496 | 0.2125 | 0.0480 | 2.3070 | 0.0021 | 0.9995 | 8.44 | 91.56 |
| Dehy-3 | 1.471 | 0.1990 | 0.0426 | 2.3770 | 0.0020 | 0.9997 | 7.72 | 92.28 |
| HDH Ti | 1.770 | 0.1388 | 0.0658 | 2.9945 | 0.0014 | 0.9998 | 4.43 | 95.57 |
Disclaimer/Publisher’s Note: The statements, opinions and data contained in all publications are solely those of the individual author(s) and contributor(s) and not of MDPI and/or the editor(s). MDPI and/or the editor(s) disclaim responsibility for any injury to people or property resulting from any ideas, methods, instructions or products referred to in the content. |
© 2023 by the authors. Licensee MDPI, Basel, Switzerland. This article is an open access article distributed under the terms and conditions of the Creative Commons Attribution (CC BY) license (https://creativecommons.org/licenses/by/4.0/).
Share and Cite
Luo, L.; Sun, Y.; Tang, Y. Cold Compaction Behavior of Unsaturated Titanium Hydride Powders: Validation of Two Compaction Equations. Metals 2023, 13, 360. https://doi.org/10.3390/met13020360
Luo L, Sun Y, Tang Y. Cold Compaction Behavior of Unsaturated Titanium Hydride Powders: Validation of Two Compaction Equations. Metals. 2023; 13(2):360. https://doi.org/10.3390/met13020360
Chicago/Turabian StyleLuo, Liu, Yuchu Sun, and Yongbai Tang. 2023. "Cold Compaction Behavior of Unsaturated Titanium Hydride Powders: Validation of Two Compaction Equations" Metals 13, no. 2: 360. https://doi.org/10.3390/met13020360
APA StyleLuo, L., Sun, Y., & Tang, Y. (2023). Cold Compaction Behavior of Unsaturated Titanium Hydride Powders: Validation of Two Compaction Equations. Metals, 13(2), 360. https://doi.org/10.3390/met13020360
