A Study of the Crystallization Properties of CaO-SiO2-Al2O3 Glass Phase in Sinter
Abstract
1. Introduction
2. Experimental Procedures
2.1. Preparation of Samples
2.2. Sinter Preparation
2.3. Phase Determination
3. Results and Discussion
3.1. Synthesis of Glass Phase
3.2. Study of the Crystallization Mechanism of the CaO-SiO2-Al2O3 Glass Phase
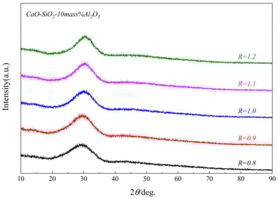
3.3. Effect of Basicity on the Crystallization of the CaO-SiO2-Al2O3 Glass Phase
3.4. Effect of Al2O3 on the Crystallization of the CaO-SiO2-Al2O3 Glass Phase
4. Conclusions
- (1)
- The glass phase of sintered ore is mainly composed of CaO-SiO2-Al2O3, while the structure of slag is primarily composed of Q0, Q1, Q2, and Q3 structural units, which can be controlled by adjusting the distribution of Qn in the slag sample.
- (2)
- The R and Al2O3 values significantly affect the crystallization of the CaO-SiO2-Al2O3 glass phase. At the range of 0.8~1.2, the increasing R is not beneficial for the crystallization of the glass phase. Increasing the content of Al2O3 (9~12%) inhibits the crystallization of the glass phase.
- (3)
- When the chemical composition of the glass phase sample is 45mass%CaO-45mass%SiO2-10mass%Al2O3, the crystallization order is CaSiO3 → CaAl2O4, by recrystallization at 950 °C.
- (4)
- Raman spectroscopic analysis showed that the polymerization (Q3/Q2) degree was enhanced with the increase in R, resulting in the deterioration of the crystallinity of the glass phase. Although increasing the content of Al2O3 has little effect on the polymerization degree, the formation of [SiO4] tetrahedra (Q0) was promoted, which is the main reason for the deterioration of glass phase crystallization.
Author Contributions
Funding
Data Availability Statement
Conflicts of Interest
References
- Cores, A.; Babich, A.; Muñiz, M.; Ferreira, S.; Mochon, J. The Influence of Different Iron Ores Mixtures Composition on the Quality of Sinter. ISIJ Int. 2010, 50, 1089–1098. [Google Scholar] [CrossRef]
- Nicol, S.; Chen, J.; Pownceby, M.I.; Webster, N.A.S. A Review of the Chemistry, Structure and Formation Conditions of Silico-Ferrite of Calcium and Aluminum (‘SFCA’) Phases. ISIJ Int. 2018, 58, 2157–2172. [Google Scholar] [CrossRef]
- Pimenta, H.P.; Seshadri, V. Influence of Al2O3 and TiO2 degradation behavior of sinter and hematite at low temperatures on reduction. Ironmak. Steelmak. 2013, 29, 175–179. [Google Scholar] [CrossRef]
- Goldring, D.C.; Fray, T.A.T. Characterization of iron ores for production of high-quality sinter. Ironmak. Steelmak. 1989, 16, 83–89. [Google Scholar]
- Loo, C.E.; Wan, K.T.; Howes, V.R. Mechanical properties of natural and synthetic mineral phases in sinters having varying reduction degradation indices. Ironmak. Steelmak. 1988, 15, 279–285. [Google Scholar]
- Guo, H.; Guo, X.M. Effect of Aluminum Dissolved in Hematite on Formation of Calcium Ferrites at 1473 K. Metall. Mater. Trans. B 2018, 49, 1974–1984. [Google Scholar] [CrossRef]
- Ding, C.Y.; Lv, X.W.; Chen, Y.; Bai, C.G. Crystallization Kinetics of 2CaO·Fe2O3 and CaO·Fe2O3 in the CaO–Fe2O3 System. ISIJ Int. 2016, 56, 1157–1163. [Google Scholar] [CrossRef]
- Ojovan, M.I. The Modified Random Network (MRN) Model within the Configuron Percolation Theory (CPT) of Glass Transition. Ceramics 2021, 4, 121–134. [Google Scholar] [CrossRef]
- Ojovan, M.I.; Petrov, V.I.; Yudintsev, S.V. Glass Crystalline Materials as Advanced Nuclear Wasteforms. Sustainability 2021, 13, 4117. [Google Scholar] [CrossRef]
- Patrick, T.R.C.; Pownceby, M.I. Stability of silico-ferrite of calcium and aluminum (SFCA) in air-solid solution limits between 1240 °C and 1390 °C and phase relationships within the Fe2O3-CaO-Al2O3-SiO2 (FCAS) system. Metall. Mater. Trans. B 2002, 33, 79–89. [Google Scholar] [CrossRef]
- Webster, N.A.S.; Pownceby, M.I.; Madsen, I.C.; Kimpton, J.A. Silico-ferrite of Calcium and Aluminum (SFCA) Iron Ore Sinter Bonding Phases: New Insights into Their Formation During Heating and Cooling. Metall. Mater. Trans. B 2012, 43, 1344–1357. [Google Scholar] [CrossRef]
- Webster, N.A.S.; Churchill, J.G.; Tufaile, F.; Pownceby, M.I.; Manuel, J.R.; Kimpton, J.A. Fundamentals of Silico-Ferrite of Calcium and Aluminium (SFCA) and SFCA-I Iron Ore Sinter Bonding Phase Formation: Effects of Titanomagnetite-based Ironsand and Titanium Addition. ISIJ Int. 2016, 56, 1715–1722. [Google Scholar] [CrossRef]
- Yajima, K.; Jung, S.M. Data Arrangement and Consideration of Evaluation Standard for Silico-Ferrite of Calcium and Aluminum (SFCA) Phase in Sintering Process. ISIJ Int. 2012, 52, 535–537. [Google Scholar] [CrossRef][Green Version]
- Hsieh, L.H.; Whiteman, J.A. Effect of Raw Material Composition on the Mineral Phases in Lime-fluxed Iron Ore Sinter. ISIJ Int. 1993, 33, 462–473. [Google Scholar] [CrossRef]
- Webster, N.A.S.; O’Dea, D.P.; Ellis, B.G.; Pownceby, M.I. Effects of Gibbsite, Kaolinite and Al-rich Goethite as Alumina Sources on Silico-Ferrite of Calcium and Aluminium (SFCA) and SFCA-I Iron Ore Sinter Bonding Phase Formation. ISIJ Int. 2017, 57, 41–47. [Google Scholar] [CrossRef]
- Kim, G.H.; Sohn, I. Effect of Al2O3 on the viscosity and structure of calcium silicate-based melts containing Na2O and CaF2. J. Non-Cryst. Solids 2012, 358, 1530–1537. [Google Scholar] [CrossRef]
- Cho, J.W.; Blazek, K.; Frazee, M.; Yin, H.B.; Park, J.H.; Moon, S.W. Assessment of CaO–Al2O3 Based Mold Flux System for High Aluminum TRIP Casting. ISIJ Int. 2013, 53, 62–70. [Google Scholar] [CrossRef]
- Lu, B.; Chen, K.; Wang, W.L.; Jiang, B. Effects of Li2O and Na2O on the Crystallization Behavior of Lime-Alumina-Based Mold Flux for Casting High-Al Steels. Metall. Mater. Trans. B 2014, 45, 1496–1509. [Google Scholar] [CrossRef]
- Kim, G.H.; Kim, C.S.; Sohn, I. Viscous Behavior of Alumina Rich Calcium-Silicate Based Mold Fluxes and Its Correlation to the Melt Structure. ISIJ Int. 2013, 53, 170–176. [Google Scholar] [CrossRef]
- Tian, Y.L.; Sun, S.B. New Glass Technology; China Light Industry Press: Beijing, China, 2011; pp. 1–17. [Google Scholar]
- Long, H.M. Iron Ore Powder Sintering Principle and Technology; Metallurgical Industry Press: Beijing, China, 2010; pp. 32–50. [Google Scholar]
- Mysen, B.O.; Virgo, D.; Neumann, E.R.; Seifert, F.A. Redox equilibria and the structural states of ferric and ferrous iron in melts in the system CaO-MgO-Al2O3-SiO2-Fe-O; relationships between redox equilibria, melt structure and liquidus phase equilibria. Am. Mineral. 1985, 70, 317–331. [Google Scholar]
- Shin, S.H.; Cho, J.W.; Kim, S.H. Shear Thinning Behavior of Calcium Silicate-Based Mold Fluxes at 1623 K. Am. Ceram. Soc. 2014, 10, 3263–3269. [Google Scholar] [CrossRef]
- McMillan, P.; Piriou, B. Raman spectroscopy of calcium aluminate glasses and crystals. J. Non-Cryst. Solids 1983, 55, 221–242. [Google Scholar] [CrossRef]












| Samples | R | CaO | SiO2 | Al2O3 | LT* (°C) |
|---|---|---|---|---|---|
| 1 | 0.8 | 40.00 | 50.00 | 10 | 1427 |
| 2 | 0.9 | 42.63 | 47.37 | 10 | 1422 |
| 3 | 1.0 | 45.00 | 45.00 | 10 | 1403 |
| 4 | 1.1 | 47.14 | 42.86 | 10 | 1370 |
| 5 | 1.2 | 49.09 | 40.91 | 10 | 1374 |
| Samples | R | CaO | SiO2 | Al2O3 | LT* (°C) |
|---|---|---|---|---|---|
| 6 | 1.0 | 45.5 | 45.5 | 9 | 1420 |
| 7 | 1.0 | 45 | 45 | 10 | 1403 |
| 8 | 1.0 | 44.5 | 44.5 | 11 | 1386 |
| 9 | 1.0 | 44 | 44 | 12 | 1367 |
| Marked Points | R | Elements(At Pct) | |||
|---|---|---|---|---|---|
| Ca | Si | Al | O | ||
| P1 | 0.8 | 23.73 | 29.14 | 6.29 | 40.84 |
| P2 | 0.9 | 26.92 | 29.10 | 6.30 | 37.68 |
| P3 | 1.0 | 28.90 | 29.22 | 6.5 | 35.39 |
| P4 | 1.1 | 30.22 | 29.32 | 6.6 | 33.86 |
| Basicity (CaO/SiO2) | 0.8 | 0.9 | 1.0 | 1.1 | 1.2 | Vibration Mode | References |
|---|---|---|---|---|---|---|---|
| Raman shift/cm−1 | 508 | 504 | 506 | 508 | 509 | Al-O-Al vibration | [19,24] |
| 580 | 587 | 587 | 582 | 580 | Si-O0 bending vibration in [SiO3]2− | [22] | |
| 655 | 646 | 675 | 662 | 672 | Al-O− symmetric stretching vibration in [AlO4] | [19,24] | |
| 709 | 693 | 680 | 695 | 698 | Si-O-Al stretching vibration | [19,24] | |
| 869 | 874 | 872 | 867 | 865 | Si-O− symmetric stretching vibration in [SiO4]4− | [22] | |
| 952 | 956 | 958 | 943 | 939 | Si-O− symmetric stretching vibration in [Si2O7]6− | [22] | |
| 1037 | 1041 | 1045 | 1038 | 1046 | Si-O− symmetric stretching vibration in [SiO3]2− | [22] | |
| 1083 | 1084 | 1085 | 1086 | 1085 | Si-O− symmetric stretching vibration in [Si2O5]2− | [22] |
| Basicity (CaO/SiO2) | 0.8 | 0.9 | 1.0 | 1.1 | 1.2 | Vibration Mode | References |
|---|---|---|---|---|---|---|---|
| Peak area percentage | 3.17 | 1.92 | 1.44 | 0.59 | 1.44 | Al-O-Al vibration | [19,24] |
| 7.72 | 3.31 | 2.57 | 1.01 | 1.21 | Si-O0 bending vibration in [SiO3]2− | [22] | |
| 10.68 | 8.67 | 1.53 | 5.67 | 4.40 | Al-O− symmetric stretching vibration in [AlO4] | [19,24] | |
| 1.97 | 3.14 | 10.39 | 3.00 | 2.13 | Si-O-Al stretching vibration | [19,24] | |
| 5.88 | 7.06 | 13.61 | 16.06 | 20.20 | Si-O− symmetric stretching vibration in [SiO4]4− | [22] | |
| 46.10 | 49.14 | 59.98 | 57.35 | 56.84 | Si-O− symmetric stretching vibration in [Si2O7]6− | [22] | |
| 19.84 | 23.49 | 8.09 | 10.71 | 4.98 | Si-O− symmetric stretching vibration in [SiO3]2− | [22] | |
| 4.12 | 2.63 | 1.86 | 6.51 | 8.80 | Si-O− symmetric stretching vibration in [Si2O5]2− | [22] | |
| Polymerization (Q3/Q2) | 0.21 | 0.11 | 0.23 | 0.61 | 1.77 |
| w (Al2O3) | 9% | 10% | 11% | 12% | Vibration Mode | References |
|---|---|---|---|---|---|---|
| Raman shift /cm−1 | 509 | 506 | 504 | 505 | Al-O-Al vibration | [19,24] |
| 588 | 587 | 584 | 583 | Si-O0 bending vibration in [SiO3]2− | [22] | |
| 656 | 675 | 672 | 679 | Al-O− symmetric stretching vibration in [AlO4] | [19,24] | |
| 708 | 712 | 713 | 696 | Si-O-Al stretching vibration | [19,24] | |
| 859 | 857 | 862 | 871 | Si-O− symmetric stretching vibration in [SiO4]4− | [22] | |
| 896 | 889 | 897 | 938 | Si-O− symmetric stretching vibration in [Si2O7]6− | [22] | |
| 962 | 962 | 962 | 1009 | Si-O− symmetric stretching vibration in [SiO3]2− | [22] | |
| 1053 | 1060 | 1049 | 1073 | Si-O− symmetric stretching vibration in [Si2O5]2− | [22] |
| w (Al2O3) | 9% | 10% | 11% | 12% | Vibration Mode | References |
|---|---|---|---|---|---|---|
| Peak area percentage | 0.56 | 0.52 | 0.57 | 1.14 | Al-O-Al vibration | [19,24] |
| 1.88 | 1.44 | 2.58 | 2.40 | Si-O0 bending vibration in [SiO3]2− | [22] | |
| 11.32 | 2.57 | 8.86 | 4.79 | Al-O− symmetric stretching vibration in [AlO4] | [19,24] | |
| 3.19 | 1.53 | 1.44 | 3.99 | Si-O-Al stretching vibration | [19,24] | |
| 9.39 | 10.39 | 9.18 | 14.55 | Si-O− symmetric stretching vibration in [SiO4]4− | [22] | |
| 10.08 | 13.61 | 13.65 | 43.07 | Si-O− symmetric stretching vibration in [Si2O7]6− | [22] | |
| 53.27 | 59.98 | 50.96 | 25.42 | Si-O− symmetric stretching vibration in [SiO3]2− | [22] | |
| 10.31 | 8.09 | 12.68 | 4.38 | Si-O− symmetric stretching vibration in [Si2O5]2− | [22] | |
| Polymerization (Q3/Q2) | 0.19 | 0.13 | 0.24 | 0.17 |
Publisher’s Note: MDPI stays neutral with regard to jurisdictional claims in published maps and institutional affiliations. |
© 2022 by the authors. Licensee MDPI, Basel, Switzerland. This article is an open access article distributed under the terms and conditions of the Creative Commons Attribution (CC BY) license (https://creativecommons.org/licenses/by/4.0/).
Share and Cite
Xin, R.-F.; Guo, X.-M. A Study of the Crystallization Properties of CaO-SiO2-Al2O3 Glass Phase in Sinter. Metals 2022, 12, 915. https://doi.org/10.3390/met12060915
Xin R-F, Guo X-M. A Study of the Crystallization Properties of CaO-SiO2-Al2O3 Glass Phase in Sinter. Metals. 2022; 12(6):915. https://doi.org/10.3390/met12060915
Chicago/Turabian StyleXin, Rui-Feng, and Xing-Min Guo. 2022. "A Study of the Crystallization Properties of CaO-SiO2-Al2O3 Glass Phase in Sinter" Metals 12, no. 6: 915. https://doi.org/10.3390/met12060915
APA StyleXin, R.-F., & Guo, X.-M. (2022). A Study of the Crystallization Properties of CaO-SiO2-Al2O3 Glass Phase in Sinter. Metals, 12(6), 915. https://doi.org/10.3390/met12060915

