Predicting High Temperature Flow Stress of Nickel Alloy A230 Based on an Artificial Neural Network
Abstract
:1. Introduction
2. Experimental Methods
2.1. Material and Gleeble Test
2.2. ANN Model
3. Results and Discussion
3.1. Flow Stress of A230 Alloy
3.2. Prediction of Flow Stress
3.2.1. Arrhenius Constitutive Equation Modeling
- Calculation of n′ and β
- Calculation for n and Tp
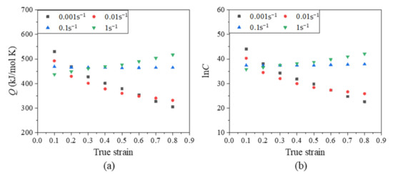
- Calculation for Q, C and Z
- Flow stress prediction
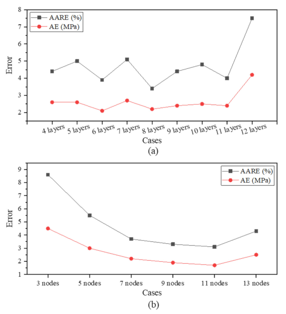
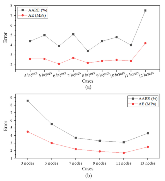
3.2.2. Result of ANN Model
4. Conclusions
Author Contributions
Funding
Institutional Review Board Statement
Informed Consent Statement
Data Availability Statement
Conflicts of Interest
References
- Chen, F.; Cui, Z.; Chen, S. Recrystallization of 30Cr2Ni4MoV ultra-super-critical rotor steel during hot deformation. Part I: Dynamic recrystallization. Mater. Sci. Eng. A 2011, 528, 5073–5080. [Google Scholar] [CrossRef]
- Lv, B.J.; Peng, J.; Shi, D.W.; Tang, A.T.; Pan, F.S. Constitutive modeling of dynamic recrystallization kinetics and processing maps of Mg–2.0 Zn–0.3 Zr alloy based on true stress–strain curves. Mater. Sci. Eng. A 2013, 560, 727–733. [Google Scholar] [CrossRef]
- Yang, Q.; Ji, C.; Zhu, M. Modeling of the dynamic recrystallization kinetics of a continuous casting slab under heavy reduction. Metall. Mater. Trans. A 2019, 50, 357–376. [Google Scholar] [CrossRef]
- Kumar, S.S.; Raghu, T.; Bhattacharjee, P.P.; Rao, G.A.; Borah, U. Work hardening characteristics and microstructural evolution during hot deformation of a nickel superalloy at moderate strain rates. J. Alloy. Compd. 2017, 709, 394–409. [Google Scholar] [CrossRef]
- Xu, Y.; Hu, L.; Sun, Y. Deformation behaviour and dynamic recrystallization of AZ61 magnesium alloy. J. Alloy. Compd. 2013, 580, 262–269. [Google Scholar] [CrossRef]
- Xu, D.; Zhu, M.; Tang, Z.; Sun, C. Determination of the dynamic recrystallization kinetics model for SCM435 steel. J. Wuhan Univ. Technol. Mater. Sci. Ed. 2013, 28, 819–824. [Google Scholar] [CrossRef]
- Rajput, S.K.; Chaudhari, G.P.; Nath, S.K. Characterization of hot deformation behavior of a low carbon steel using processing maps, constitutive equations and Zener-Hollomon parameter. J. Mater. Process. Technol. 2016, 237, 113–125. [Google Scholar] [CrossRef]
- Liu, Y.; Hu, R.; Li, J.; Kou, H.; Li, H.; Chang, H.; Fu, H. Deformation characteristics of as-received Haynes230 nickel base superalloy. Mater. Sci. Eng. A 2008, 497, 283–289. [Google Scholar] [CrossRef]
- Ji, H.; Cai, Z.; Pei, W.; Huang, X.; Lu, Y. DRX behavior and microstructure evolution of 33Cr23Ni8Mn3N: Experiment and finite element simulation. J. Mater. Res. Technol. 2020, 9, 4340–4355. [Google Scholar] [CrossRef]
- Poletti, C.; Six, J.; Hochegger, M.; Degischer, H.P.; Ilie, S. Hot deformation behaviour of low alloy steel. Steel Res. Int. 2011, 82, 710–718. [Google Scholar] [CrossRef]
- Chen, X.M.; Lin, Y.C.; Wen, D.X.; Zhang, J.L.; He, M. Dynamic recrystallization behavior of a typical nickel-based superalloy during hot deformation. Mater. Des. 2014, 57, 568–577. [Google Scholar] [CrossRef]
- Lin, Y.C.; Chen, M.S.; Zhong, J. Prediction of 42CrMo steel flow stress at high temperature and strain rate. Mech. Res. Commun. 2008, 35, 142–150. [Google Scholar] [CrossRef]
- Torquato, S.; Haslach, H.W., Jr. Random heterogeneous materials: Microstructure and macroscopic properties. Appl. Mech. Rev. 2002, 55, B62–B63. [Google Scholar] [CrossRef]
- Yang, Z.; Yabansu, Y.C.; Jha, D.; Liao, W.K.; Choudhary, A.N.; Kalidindi, S.R.; Agrawal, A. Establishing structure-property localization linkages for elastic deformation of three-dimensional high contrast composites using deep learning approaches. Acta Mater. 2019, 166, 335–345. [Google Scholar] [CrossRef]
- Cang, R.; Li, H.; Yao, H.; Jiao, Y.; Ren, Y. Improving direct physical properties prediction of heterogeneous materials from imaging data via convolutional neural network and a morphology-aware generative model. Comput. Mater. Sci. 2018, 150, 212–221. [Google Scholar] [CrossRef] [Green Version]
- Iyer, A.; Dey, B.; Dasgupta, A.; Chen, W.; Chakraborty, A. A conditional generative model for predicting material microstructures from processing methods. arXiv 2019, arXiv:1910.02133. [Google Scholar]
- Lee, J.W.; Goo, N.H.; Park, W.B.; Pyo, M.; Sohn, K.S. Virtual microstructure design for steels using generative adversarial networks. Eng. Rep. 2021, 3, e12274. [Google Scholar] [CrossRef]
- Shouwu, G.; Leina, Z. A comparison study at the flow stress prediction of Ti-5Al-5Mo-5V-3Cr-1Zr alloy based on BP-ANN and Arrhenius model. Mater. Res. Express 2018, 5, 066505. [Google Scholar] [CrossRef]
- Liu, J.; Chang, H.; Hsu, T.Y.; Ruan, X. Prediction of the flow stress of high-speed steel during hot deformation using a BP artificial neural network. J. Mater. Process. Technol. 2000, 103, 200–205. [Google Scholar] [CrossRef]
- Sani, S.A.; Ebrahimi, G.R.; Vafaeenezhad, H.; Kiani-Rashid, A.R. Modeling of hot deformation behavior and prediction of flow stress in a magnesium alloy using constitutive equation and artificial neural network (ANN) model. J. Magnes. Alloy. 2018, 6, 134–144. [Google Scholar] [CrossRef]
- Moon, I.Y.; Lee, H.W.; Kim, S.J.; Oh, Y.S.; Jung, J.; Kang, S.H. Analysis of the Region of Interest According to CNN Structure in Hierarchical Pattern Surface Inspection Using CAM. Materials 2021, 14, 2095. [Google Scholar] [CrossRef] [PubMed]
- Jha, R.; Dulikravich, G.S. Discovery of new Ti-based alloys aimed at avoiding/minimizing formation of α” and ω-phase using CALPHAD and artificial intelligence. Metals 2021, 11, 15. [Google Scholar] [CrossRef]
- Jedamski, R.; Epp, J. Non-destructive micromagnetic determination of hardness and case hardening depth using linear regression analysis and artificial neural networks. Metals 2021, 11, 18. [Google Scholar] [CrossRef]
- Lee, H.W.; Im, Y.T. Numerical modeling of dynamic recrystallization during nonisothermal hot compression by cellular automata and finite element analysis. Int. J. Mech. Sci. 2010, 52, 1277–1289. [Google Scholar]
- Jung, K.H.; Lee, H.W.; Im, Y.T. Numerical prediction of austenite grain size in a bar rolling process using an evolution model based on a hot compression test. Mater. Sci. Eng. A 2009, 519, 94–104. [Google Scholar] [CrossRef]
- Wang, L.; Liu, F.; Cheng, J.J.; Zuo, Q.; Chen, C.F. Arrhenius-type constitutive model for high temperature flow stress in a Nickel-based corrosion-resistant alloy. J. Mater. Eng. Perform. 2016, 25, 1394–1406. [Google Scholar] [CrossRef]
- Wei, H.L.; Liu, G.Q.; Xiao, X.; Zhang, M.H. Dynamic recrystallization behavior of a medium carbon vanadium microalloyed steel. Mater. Sci. Eng. A 2013, 573, 215–221. [Google Scholar] [CrossRef]
- Wan, P.; Zou, H.; Wang, K.; Zhao, Z. Research on hot deformation behavior of Zr-4 alloy based on PSO-BP artificial neural network. J. Alloy. Compd. 2020, 826, 154047. [Google Scholar] [CrossRef]









| Material | Chemical Composition (wt%) | |||||||||||||
|---|---|---|---|---|---|---|---|---|---|---|---|---|---|---|
| A230 | Fe | Mn | Si | Cr | C | Al | Nb | Co | Ti | Mo | La | B | W | Ni |
| 3 | 0.5 | 0.4 | 22 | 0.1 | 0.3 | 0.5 | 5 | 0.1 | 2 | 0.02 | 0.02 | 14 | Bal. | |
| Conditions | ||
|---|---|---|
| Temperature (°C) | Strain | Strain Rate (s−1) |
| 900, 1000, 1100, 1200 | ~0.9 | 0.001, 0.01, 0.1, 1 |
| Data States | Input | Output | ||
|---|---|---|---|---|
| Temperature | Strain Rate | Strain | Stress | |
| Range of raw data | 900–1200 °C | 0.001–1 s−1 | 0.1–0.9 | 15–240 MPa |
| Range of normalized data | 0.1–0.9 | 0.1–0.9 | 0.1–0.9 | 0.1–0.9 |
| Case | No. Layers | No. Nodes | AE (MPa) | AARE (%) | Case | No. Layers | No. Nodes | AE (MPa) | AARE (%) |
|---|---|---|---|---|---|---|---|---|---|
| 1 | 4 | 3 | 5.0 | 9.0 | 28 | 8 | 9 | 1.6 | 2.3 |
| 2 | 5 | 2.9 | 4.6 | 29 | 11 | 1.6 | 2.0 | ||
| 3 | 7 | 2.5 | 4.2 | 30 | 13 | 1.7 | 2.6 | ||
| 4 | 9 | 2.3 | 3.6 | 31 | 9 | 3 | 5.1 | 9.1 | |
| 5 | 11 | 1.3 | 2.4 | 32 | 5 | 2.7 | 5.9 | ||
| 6 | 13 | 1.5 | 2.5 | 33 | 7 | 1.9 | 3.9 | ||
| 7 | 5 | 3 | 5.7 | 10.0 | 34 | 9 | 1.4 | 2.1 | |
| 8 | 5 | 2.7 | 5.2 | 35 | 11 | 1.4 | 2.4 | ||
| 9 | 7 | 1.9 | 3.1 | 36 | 13 | 1.6 | 3.2 | ||
| 10 | 9 | 2.0 | 4.0 | 37 | 10 | 3 | 5.2 | 10.1 | |
| 11 | 11 | 1.3 | 2.9 | 38 | 5 | 3.7 | 7.1 | ||
| 12 | 13 | 2.2 | 5.0 | 39 | 7 | 2.0 | 3.5 | ||
| 13 | 6 | 3 | 3.1 | 5.8 | 40 | 9 | 1.6 | 3.2 | |
| 14 | 5 | 3.4 | 7.3 | 41 | 11 | 1.5 | 2.6 | ||
| 15 | 7 | 1.8 | 3.6 | 42 | 13 | 1.1 | 2.6 | ||
| 16 | 9 | 1.8 | 2.9 | 43 | 11 | 3 | 4.1 | 6.3 | |
| 17 | 11 | 1.2 | 2.0 | 44 | 5 | 2.8 | 4.5 | ||
| 18 | 13 | 1.2 | 2.0 | 45 | 7 | 2.1 | 3.4 | ||
| 19 | 7 | 3 | 4.5 | 11.7 | 46 | 9 | 1.9 | 3.2 | |
| 20 | 5 | 3.3 | 5.2 | 47 | 11 | 2.0 | 4.6 | ||
| 21 | 7 | 2.8 | 4.3 | 48 | 13 | 1.2 | 2.1 | ||
| 22 | 9 | 1.6 | 2.8 | 49 | 12 | 3 | 5.1 | 10.4 | |
| 23 | 11 | 2.0 | 3.4 | 50 | 5 | 2.8 | 4.2 | ||
| 24 | 13 | 1.9 | 3.5 | 51 | 7 | 2.5 | 4.4 | ||
| 25 | 8 | 3 | 3.0 | 4.7 | 52 | 9 | 2.6 | 5.3 | |
| 26 | 5 | 3.0 | 5.3 | 53 | 11 | 2.8 | 5.2 | ||
| 27 | 7 | 2.3 | 3.4 | 54 | 13 | 9.6 | 15.4 |
Publisher’s Note: MDPI stays neutral with regard to jurisdictional claims in published maps and institutional affiliations. |
© 2022 by the authors. Licensee MDPI, Basel, Switzerland. This article is an open access article distributed under the terms and conditions of the Creative Commons Attribution (CC BY) license (https://creativecommons.org/licenses/by/4.0/).
Share and Cite
Moon, I.Y.; Jeong, H.W.; Lee, H.W.; Kim, S.-J.; Oh, Y.-S.; Jung, J.; Oh, S.; Kang, S.-H. Predicting High Temperature Flow Stress of Nickel Alloy A230 Based on an Artificial Neural Network. Metals 2022, 12, 223. https://doi.org/10.3390/met12020223
Moon IY, Jeong HW, Lee HW, Kim S-J, Oh Y-S, Jung J, Oh S, Kang S-H. Predicting High Temperature Flow Stress of Nickel Alloy A230 Based on an Artificial Neural Network. Metals. 2022; 12(2):223. https://doi.org/10.3390/met12020223
Chicago/Turabian StyleMoon, In Yong, Hi Won Jeong, Ho Won Lee, Se-Jong Kim, Young-Seok Oh, Jaimyun Jung, Sehyeok Oh, and Seong-Hoon Kang. 2022. "Predicting High Temperature Flow Stress of Nickel Alloy A230 Based on an Artificial Neural Network" Metals 12, no. 2: 223. https://doi.org/10.3390/met12020223
APA StyleMoon, I. Y., Jeong, H. W., Lee, H. W., Kim, S.-J., Oh, Y.-S., Jung, J., Oh, S., & Kang, S.-H. (2022). Predicting High Temperature Flow Stress of Nickel Alloy A230 Based on an Artificial Neural Network. Metals, 12(2), 223. https://doi.org/10.3390/met12020223

