Hot-Wire Laser-Directed Energy Deposition: Process Characteristics and Benefits of Resistive Pre-Heating of the Feedstock Wire
Abstract
1. Introduction
2. Materials and Methods
2.1. HW-LDED Processing and Monitoring Setups
The Deposition of Beads
2.2. Metallographic Investigation
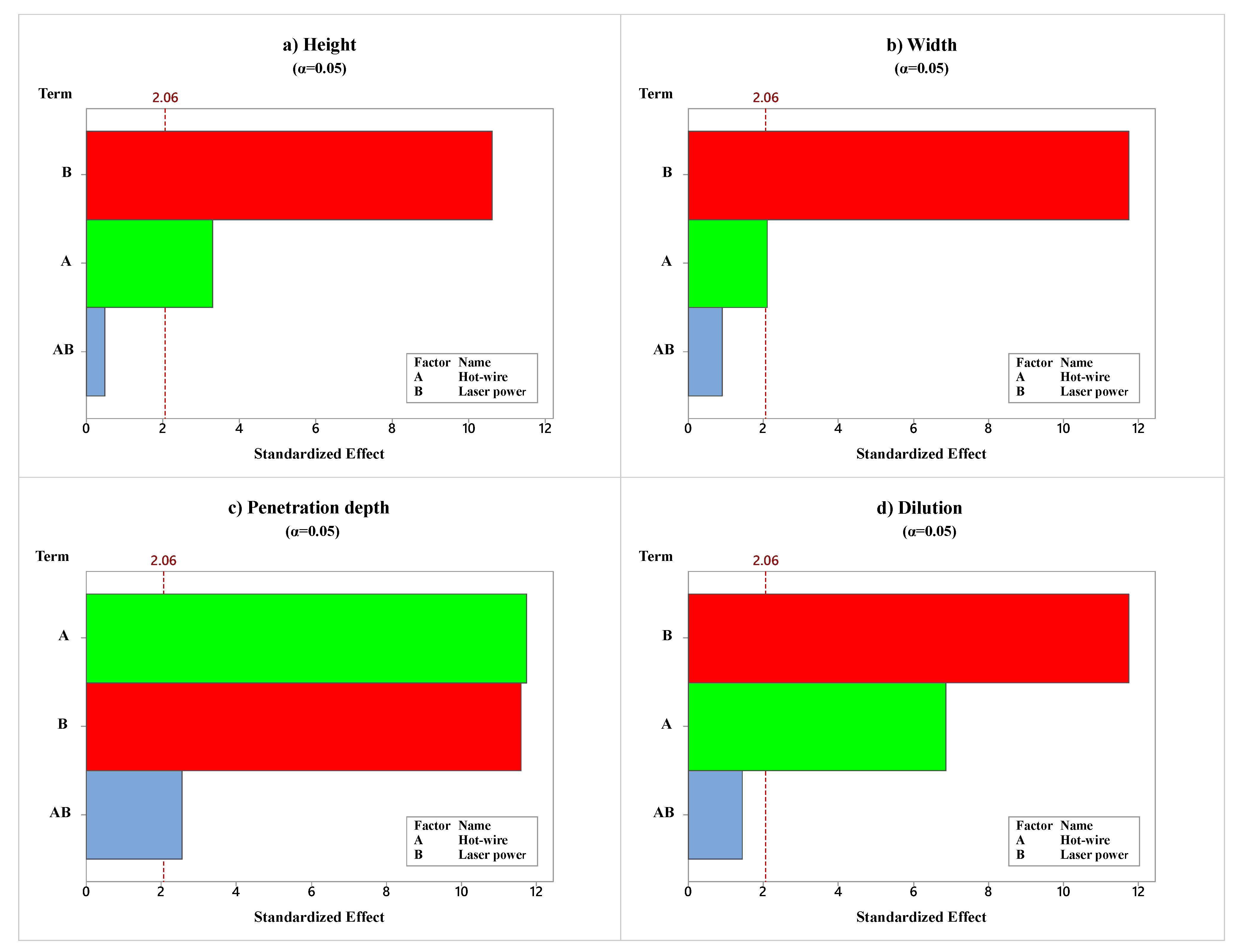
2.3. Statistical Analysis
3. Results and Discussion
3.1. Hot-Wire: Modes
3.1.1. Stable Mode
3.1.2. Unstable Mode
3.2. Monitoring of the Metal Transfer
3.3. The Influence of the Hot-Wire on the Deposition Stability
3.4. The Influence of the Hot-Wire on the Deposited Beads’ Characteristics
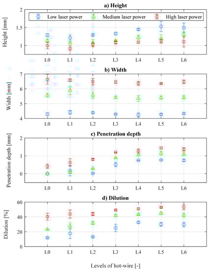
3.4.1. Height
3.4.2. Width
3.4.3. Penetration Depth
3.4.4. Dilution
3.4.5. Internal Defects and Surface Condition
4. Conclusions and Perspectives
Author Contributions
Funding
Institutional Review Board Statement
Informed Consent Statement
Data Availability Statement
Acknowledgments
Conflicts of Interest
Abbreviations
| DED | Directed Energy Deposition |
| AM | Additive Manufacturing |
| LoF | Lack of Fusion |
| LDEDw | Laser-Directed Energy Deposition with wire |
| LMDw | Laser–Metal Deposition with wire |
| WAAM | Wire-Arc Additive Manufacturing |
| EPS | Electrical Power Source |
| GTAW | Gas Tungsten Arc Welding |
| AC | Alternating Current |
| HWAAM | Hot-Wire-Arc Additive Manufacturing |
| LBW | Laser Beam Welding |
| HW-LDED | Hot-Wire Laser-Directed Energy Deposition |
| PLC | Programmable Logic Controller |
| DC | Direct Current |
| LED | Light Emitting Diode |
| CMOS | Complementary Metal Oxide Semiconductor |
References
- International Organization for Standardization. ISO/ASTM 52900:2015 Additive Manufacturing—General Principles—Terminology. Available online: https://www.iso.org/cms/render/live/en/sites/isoorg/contents/data/standard/06/96/69669.html (accessed on 7 October 2020).
- Ding, D.; Pan, Z.; Cuiuri, D.; Li, H. Wire-feed additive manufacturing of metal components: Technologies, developments and future interests. Int. J. Adv. Manuf. Technol. 2015, 81, 465–481. [Google Scholar] [CrossRef]
- GKN Aerospace. GKN Aerospace Expands RRSP Contract with Pratt & Whitney and Injects New Additive Manufacturing and Composite Technologies in Key Components. Available online: https://www.gknaerospace.com/en/newsroom/news-releases/2019/gkn-aerospace-expands-rrsp-contract-with-pratt--whitney-and-injects-new-additive-manufacturing-and-composite-technologies-in-key-components/ (accessed on 3 September 2020).
- GKN Aerospace. GKN Aerospace Delivers Revolutionary Ariane 6 Nozzle to Airbus Safran Launchers. Available online: https://www.gknaerospace.com/en/newsroom/news-releases/2017/gkn-delivers-revolutionary-ariane-6-nozzle-to-airbus-safran-launchers/ (accessed on 9 September 2020).
- GKN Aerospace. GKN Aerospace Engine Systems Journey to Introduce Additive Manufacturing | GKN Aerospace. Available online: https://www.gknaerospace.com/en/our-technology/2017/gkn-aerospace-engine-systems-journey-to-introduce-additive-manufacturing/ (accessed on 9 September 2020).
- Lervåg, M.; Sørensen, C.; Robertstad, A.; Brønstad, B.M.; Nyhus, B.; Eriksson, M.; Aune, R.; Ren, X.; Akselsen, O.M.; Bunaziv, I. Additive Manufacturing with Superduplex Stainless Steel Wire by CMT Process. Metals 2020, 10, 272. [Google Scholar] [CrossRef]
- Stützer, J.; Totzauer, T.; Wittig, B.; Zinke, M.; Jüttner, S. GMAW Cold Wire Technology for Adjusting the Ferrite–Austenite Ratio of Wire and Arc Additive Manufactured Duplex Stainless Steel Components. Metals 2019, 9, 564. [Google Scholar] [CrossRef]
- Silwal, B.; Walker, J.; West, D. Hot-wire GTAW cladding: Inconel 625 on 347 stainless steel. Int. J. Adv. Manuf. Technol. 2019, 102, 3839–3848. [Google Scholar] [CrossRef]
- Dhinakaran, V.; Ajith, J.; Fathima Yasin Fahmidha, A.; Jagadeesha, T.; Sathish, T.; Stalin, B. Wire Arc Additive Manufacturing (WAAM) process of nickel based superalloys—A review. Mater. Today Proc. 2020, 21, 920–925. [Google Scholar] [CrossRef]
- Evangeline, A.; Sathiya, P. Structure—Property relationships of Inconel 625 Cladding on AISI 316L substrate produced by Hot Wire (HW) TIG metal deposition technique. Mater. Res. Express 2019, 6, 106539. [Google Scholar] [CrossRef]
- Dinovitzer, M.; Chen, X.; Laliberte, J.; Huang, X.; Frei, H. Effect of wire and arc additive manufacturing (WAAM) process parameters on bead geometry and microstructure. Addit. Manuf. 2019, 26, 138–146. [Google Scholar] [CrossRef]
- Yuan, D.; Shao, S.; Guo, C.; Jiang, F.; Wang, J. Grain refining of Ti-6Al-4V alloy fabricated by laser and wire additive manufacturing assisted with ultrasonic vibration. Ultrason. Sonochem. 2021, 73. [Google Scholar] [CrossRef]
- Lu, T.; Liu, C.; Li, Z.; Wu, Q.; Wang, J.; Xu, T.; Liu, J.; Wang, H.; Ma, S. Hot-wire arc additive manufacturing Ti–6.5Al–2Zr–1Mo–1V titanium alloy: Pore characterization, microstructural evolution, and mechanical properties. J. Alloys Compd. 2020, 817, 153334. [Google Scholar] [CrossRef]
- Rosli, N.A.; Alkahari, M.R.; Abdollah, M.F.b.; Maidin, S.; Ramli, F.R.; Herawan, S.G. Review on effect of heat input for wire arc additive manufacturing process. J. Mater. Res. Technol. 2021, 11, 2127–2145. [Google Scholar] [CrossRef]
- Shamsaei, N.; Yadollahi, A.; Bian, L.; Thompson, S.M. An overview of Direct Laser Deposition for additive manufacturing; Part II: Mechanical behavior, process parameter optimization and control. Addit. Manuf. 2015, 8, 12–35. [Google Scholar] [CrossRef]
- Wang, L.; Xue, J.; Wang, Q. Correlation between arc mode, microstructure, and mechanical properties during wire arc additive manufacturing of 316L stainless steel. Mater. Sci. Eng. A 2019, 751, 183–190. [Google Scholar] [CrossRef]
- Aldalur, E.; Veiga, F.; Suárez, A.; Bilbao, J.; Lamikiz, A. High deposition wire arc additive manufacturing of mild steel: Strategies and heat input effect on microstructure and mechanical properties. J. Manuf. Process. 2020, 58, 615–626. [Google Scholar] [CrossRef]
- Hosseini, V.; Högström, M.; Hurtig, K.; Valiente Bermejo, M.A.; Stridh, L.E.; Karlsson, L. Wire-arc additive manufacturing of a duplex stainless steel: Thermal cycle analysis and microstructure characterization. Weld. World 2019, 63, 975–987. [Google Scholar] [CrossRef]
- DebRoy, T.; Wei, H.L.; Zuback, J.S.; Mukherjee, T.; Elmer, J.W.; Milewski, J.O.; Beese, A.M.; Wilson-Heid, A.; De, A.; Zhang, W. Additive manufacturing of metallic components—Process, structure and properties. Prog. Mater. Sci. 2018, 92, 112–224. [Google Scholar] [CrossRef]
- Derekar, K.S.; Addison, A.; Joshi, S.S.; Zhang, X.; Lawrence, J.; Xu, L.; Melton, G.; Griffiths, D. Effect of pulsed metal inert gas (pulsed-MIG) and cold metal transfer (CMT) techniques on hydrogen dissolution in wire arc additive manufacturing (WAAM) of aluminium. Int. J. Adv. Manuf. Technol. 2020, 107, 311–331. [Google Scholar] [CrossRef]
- Xia, C.; Pan, Z.; Polden, J.; Li, H.; Xu, Y.; Chen, S.; Zhang, Y. A review on wire arc additive manufacturing: Monitoring, control and a framework of automated system. J. Manuf. Syst. 2020, 57, 31–45. [Google Scholar] [CrossRef]
- Hagqvist, P. Non-Intrusive Instrumentation and Estimation-Applications for Control of an Additive Manufacturing Process. Ph.D. Thesis, Chalmers University of Technology, Gothenburg, Sweden, 2015. [Google Scholar]
- Heralic, A. Monitoring and Control of Robotized Laser Metal-Wire Deposition. Ph.D. Thesis, Chalmers University of Technology, Gothenburg, Sweden, 2012. ISBN 9789173856553. [Google Scholar]
- Wu, B.; Pan, Z.; Ding, D.; Cuiuri, D.; Li, H.; Xu, J.; Norrish, J. A review of the wire arc additive manufacturing of metals: Properties, defects and quality improvement. J. Manuf. Process. 2018, 35, 127–139. [Google Scholar] [CrossRef]
- Tabernero, I.; Paskual, A.; Álvarez, P.; Suárez, A. Study on Arc Welding Processes for High Deposition Rate Additive Manufacturing. Procedia CIRP 2018, 68, 358–362. [Google Scholar] [CrossRef]
- Chen, J.; Lu, Y.; Li, X.; Zhang, Y. Gas tungsten arc welding using an arcing wire. Weld. J. 2012, 91, 261–269. [Google Scholar]
- Bambach, M.; Sizova, I.; Silze, F.; Schnick, M. Comparison of laser metal deposition of Inconel 718 from powder, hot and cold wire. Procedia CIRP 2018, 74, 206–209. [Google Scholar] [CrossRef]
- Peng, W.; Jiguo, S.; Shiqing, Z.; Gang, W. Control of wire transfer behaviors in hot wire laser welding. Int. J. Adv. Manuf. Technol. 2016, 83, 2091–2100. [Google Scholar] [CrossRef]
- Fu, R.; Tang, S.; Lu, J.; Cui, Y.; Li, Z.; Zhang, H.; Xu, T.; Chen, Z.; Liu, C. Hot-wire arc additive manufacturing of aluminum alloy with reduced porosity and high deposition rate. Mater. Des. 2021, 199, 109370. [Google Scholar] [CrossRef]
- Liu, S.; Liu, W.; Kovacevic, R. Experimental investigation of laser hot-wire cladding. Proc. Inst. Mech. Eng. Part B J. Eng. Manuf. 2017, 231, 1007–1020. [Google Scholar] [CrossRef]
- Hori, K.; Watanabe, H.; Myoga, T.; Kusano, K. Development of hot wire TIG welding methods using pulsed current to heat filler wire—research on pulse heated hot wire TIG welding processes. Weld. Int. 2004, 18, 456–468. [Google Scholar] [CrossRef]
- Zhang, Z.; Kong, F.; Kovacevic, R. Laser hot-wire cladding of Co-Cr-W metal cored wire. Opt. Lasers Eng. 2020, 128, 105998. [Google Scholar] [CrossRef]
- Kottman, M.; Zhang, S.; McGuffin-Cawley, J.; Denney, P.; Narayanan, B.K. Laser Hot Wire Process: A Novel Process for Near-Net Shape Fabrication for High-Throughput Applications. JOM 2015, 67, 622–628. [Google Scholar] [CrossRef]
- Pangsrivinij, S.; McGuffin-Cawley, J.; Quinn, R.; Narayanan, B.; Zhang, S.; Denney, P. Calculation of energy balance and efficiency in Laser Hot-Wire (LHW) cladding process. In Proceedings of the 2016 International Symposium on Flexible Automation (ISFA), Cleveland, OH, USA, 1–3 August 2016; pp. 217–222. [Google Scholar] [CrossRef]
- Valiente Bermejo, M.A.; Thalavai Pandian, K.; Axelsson, B.; Harati, E.; Kisielewicz, A.; Karlsson, L. Microstructure of laser metal deposited duplex stainless steel: Influence of shielding gas and heat treatment. Weld. World 2020. [Google Scholar] [CrossRef]
- Sainte-Catherine, C.; Jeandin, M.; Kechemair, D.; Ricaud, J.P.; Sabatier, L. Study of Dynamic Absorptivity at 10.6 μm (CO2) and 1.06 μm (Nd-YAG) Wavelengths as a Function of Temperature. J. Phys. 1991, 1, C7–C151. [Google Scholar] [CrossRef]
- Xie, J.; Kar, A.; Rothenflue, J.A.; Latham, W.P. Temperature-dependent absorptivity and cutting capability of CO2, Nd:YAG and chemical oxygen-iodine lasers. J. Laser Appl. 1997, 9, 77–85. [Google Scholar] [CrossRef]
- Liu, S.; Liu, W.; Harooni, M.; Ma, J.; Kovacevic, R. Real-time monitoring of laser hot-wire cladding of Inconel 625. Opt. Laser Technol. 2014, 62, 124–134. [Google Scholar] [CrossRef]
- Dilthey, U.; Fuest, D.; Scheller, W. Laser welding with filler wire. Opt. Quantum Electron. 1995, 27, 1181–1191. [Google Scholar] [CrossRef]
- Pinkerton, A.J. 16—Laser direct metal deposition: Theory and applications in manufacturing and maintenance. In Advances in Laser Materials Processing; Lawrence, J., Pou, J., Low, D.K.Y., Toyserkani, E., Eds.; Woodhead Publishing Series in Welding and Other Joining Technologies; Woodhead Publishing: Sawston, UK, 2010; pp. 461–491. [Google Scholar] [CrossRef]
- Alya, S.; Vundru, C.; Ankamreddy, B.; Birla, S.; Singh, R. Development and Modeling of a Robotic Restoration System Based on Laser Directed Energy Deposition. Trans. Indian Inst. Met. 2021. [Google Scholar] [CrossRef]
- Lancaster, J.F. Metallurgy of Welding; Elsevier: Amsterdam, The Netherlands, 1999. [Google Scholar]
- du Plessis, A.; Yadroitsava, I.; Yadroitsev, I. Effects of defects on mechanical properties in metal additive manufacturing: A review focusing on X-ray tomography insights. Mater. Des. 2020, 187, 108385. [Google Scholar] [CrossRef]











| Laser Power | Wire-Feed Rate | Traverse Speed | Stick-Out | Feeding Angle | |
|---|---|---|---|---|---|
| [-] | [W] | [m/min] | [mm/s] | [mm] | [deg] |
| low | 2500 | 2 | 10 | 6.5 | 18.6 |
| medium | 3500 | 2 | 10 | 6.5 | 18.6 |
| high | 4500 | 2 | 10 | 6.5 | 18.6 |
| Hot-Wire Level | [-] | L0 | L1 | L2 | L3 | L4 | L5 | L6 |
| [V] | 0 | 0.5 | 1.0 | 1.5 | 2.0 | 2.5 | 3.0 |
| Material | C | Si | Mn | Ni | Cr | Mo | N | S | P | Cu | Co |
|---|---|---|---|---|---|---|---|---|---|---|---|
| Substrate | 0.016 | 0.32 | 1.77 | 5.50 | 22.77 | 3.07 | 0.177 | <0.001 | 0.027 | 0.21 | 0.096 |
| Wire | 0.016 | 0.45 | 1.45 | 8.62 | 23.23 | 3.29 | 0.160 | 0.001 | 0.016 | 0.04 | - |
Publisher’s Note: MDPI stays neutral with regard to jurisdictional claims in published maps and institutional affiliations. |
© 2021 by the authors. Licensee MDPI, Basel, Switzerland. This article is an open access article distributed under the terms and conditions of the Creative Commons Attribution (CC BY) license (https://creativecommons.org/licenses/by/4.0/).
Share and Cite
Kisielewicz, A.; Thalavai Pandian, K.; Sthen, D.; Hagqvist, P.; Valiente Bermejo, M.A.; Sikström, F.; Ancona, A. Hot-Wire Laser-Directed Energy Deposition: Process Characteristics and Benefits of Resistive Pre-Heating of the Feedstock Wire. Metals 2021, 11, 634. https://doi.org/10.3390/met11040634
Kisielewicz A, Thalavai Pandian K, Sthen D, Hagqvist P, Valiente Bermejo MA, Sikström F, Ancona A. Hot-Wire Laser-Directed Energy Deposition: Process Characteristics and Benefits of Resistive Pre-Heating of the Feedstock Wire. Metals. 2021; 11(4):634. https://doi.org/10.3390/met11040634
Chicago/Turabian StyleKisielewicz, Agnieszka, Karthikeyan Thalavai Pandian, Daniel Sthen, Petter Hagqvist, Maria Asuncion Valiente Bermejo, Fredrik Sikström, and Antonio Ancona. 2021. "Hot-Wire Laser-Directed Energy Deposition: Process Characteristics and Benefits of Resistive Pre-Heating of the Feedstock Wire" Metals 11, no. 4: 634. https://doi.org/10.3390/met11040634
APA StyleKisielewicz, A., Thalavai Pandian, K., Sthen, D., Hagqvist, P., Valiente Bermejo, M. A., Sikström, F., & Ancona, A. (2021). Hot-Wire Laser-Directed Energy Deposition: Process Characteristics and Benefits of Resistive Pre-Heating of the Feedstock Wire. Metals, 11(4), 634. https://doi.org/10.3390/met11040634

