Abstract
La0.8Sr0.2MnO3 (LSM) catalyst is prepared via a sol-gel method and modified via a typical silver mirror reaction. Silver ammonia solution is reduced in a polyvinylpyrrolidone (PVP)-containing solution to obtain silver nanoparticles and sodium dodecyl sulfate (SDS) is added as a surfactant. The microstructure and morphology of the LSM-Ag composite powder are characterized. According to the results, the Ag particles precipitate on the LSM surface in elemental form and the grain size is about one hundred nanometers. The analysis of electrocatalytic performance of LSM-Ag cathodes with different amounts of silver loading reveals that the number of electrons transferred during the oxygen reduction reaction (ORR) of the cathode with an Ag content of 14% by weight reached 3.9, which is very close to that of commercial Pt/C catalysts. Similarly, the maximum power density of the air battery made of LSM-14%Ag is 73 mW/cm2, which exceeds that of 63 mW/cm2, found for the LSM battery. Finally, increasing the amount of silver loading allows one to improve the electrochemical performance of LSM catalysts. The best effect is achieved when the Ag loading exceeds 14%.
1. Introduction
The magnesium metal-air battery is a power generation device that directly converts the chemical energy of metal materials into electrical energy. In that regard, it is considered promising for new high-efficiency green power sources. The core component of a metal-air battery is the air electrode that plays an important role in the oxygen reduction reaction (ORR) control [1]. Meanwhile, the performance of the air electrode is restricted by the activity of the catalyst used. The most common ORR catalysts are precious metals and their alloys [2], carbon-based materials [3,4,5], and metal oxides [6,7,8,9,10,11,12]. Among them, perovskite oxides are considered to be ideal substitutes for traditional catalysts due to their excellent performance, low cost, high activity, and high stability [13]. Perovskite oxides belong to a new type of inorganic non-metallic materials with unique structure and outstanding physical and chemical properties. Their general formula is ABO3, where A-site ion is a rare-earth or alkaline earth element and B-site ion is a transition metal element. Among these, titanite-type oxides have excellent structural stability, meaning that, even after the complete or partial replacement of A and B sites, their crystal structure remains basically unchanged, which is ideal for replacing precious metal catalysts. Some examples of effective enhancement of catalytic activity for perovskite-like oxides were reported in works [14,15,16], where doping of the A/B site ions enabled one to increase the amount of defects and dislocations in the A1-xA′xB1-yB′yO3 structure. Furthermore, introducing low-valent metal elements in perovskites allows one to obtain the ion-electron mixed conductivity. In this respect, the use of such elements as dopants will result in two effects. One is that oxygen defects and oxygen vacancies will be generated regardless of whether these metals tend to maintain the neutral valence state of the perovskite, which is favorable for adsorption and desorption of oxygen atoms. The second is that the valence state of such atoms is mixed, resulting in high electronic conductivity and, consequently, the better efficiency of charge transfer. The modification of catalyst materials with precious Pt [17,18] and Ag [19,20,21] metals is a reliable way to improve their conductivity. So far, the metal platinum has been shown to exert the best effect on the ORR reaction. La0.8Sr0.2MnO3 (LSM) nanorods have been synthesized by a soft template method, and the half-wave potential and initial potential of LSM nanorods are 0.638 V and 0.785 V, respectively [22].On the other hand, silver nanoparticles are the emerging functional materials with good electrical conductivity, stable physical and chemical properties, and low cost compared to platinum, which makes it possible to replace silver for platinum in the air-electrode catalysts [23,24]. Many studies have reported on improving the conductivity of LaMnO3. For example, Wang et al. [25] have reported that a silver-modified catalyst has been applied to the air electrode of a metal zinc-air battery, and a series of tests evaluating ORR, charge and discharge, impedance, and other characteristics revealed its excellent catalytic activity and good cycling stability. Moreover, Van Cleve et al. [26] prepared spherical and cubic Ag-LaMnO3 electrocatalysts and tested their electrocatalytic oxygen reduction reaction activity in 0.1 M sodium hydroxide which shows a great improvement in the onset potential and half-wave potential. Furthermore, Jie et al. [27] synthesized silver-modified LaMnO3–reduced graphene oxide (RGO) composites via a sol–gel method with citric acid as a chelating agent. The 2 wt % Ag/LaMnO3–RGO as the air cathode catalyst shows a high voltage plateau.
In this work, perovskite LaMnO3 nano-powders with good dispersibility and small particle size were doped with Sr atoms via a sol-gel method and modified using various Ag loadings via a silver mirror reaction. Particular attention was paid to the study of their morphology and electrocatalytic performance as well as the discharge performance of perovskite composite powders as the cathode catalysts of magnesium metal-air batteries. The optimal loading of Ag, allowing one to achieve the better catalytic activity and electrochemical performance of the prepared powder catalysts, was established as well.
2. Materials and Methods
2.1. Preparation of LSM Powder
Sr-doped LaMnO3 nano-powders (LSM) were prepared via a sol-gel method as follows. First, the required weights of lanthanum nitrate, strontium nitrate and manganese nitrate powders were dissolved in distilled water and stirred to get 0.1 mol/L nitrate solution. After that, citric acid monohydrate and surfactant PEG-2000 with corresponding weights were dissolved in water and stirred until 0.2 mol/L citric acid solution and 0.0018 mol/L surfactant solution were obtained, respectively. Both solutions were afterwards mixed with a nitrate solution at constant stirring, and the pH of the blend was adjusted to 10 by adding ammonia. This enabled one to obtain a transparent sol that was successively exposed to 1 h of treatment in an ultrasonic cleaning instrument. The sol was then heated in a water bath at 80 °C, forming a thin layer of wet gel. The latter was placed in a vacuum drying oven and dried at 120 °C for 12 h, transforming in xerogel which was afterwards ground into a powder and transferred to a crucible, put into a muffle furnace and calcined in an air atmosphere for 3 h at 700 °C.
2.2. Preparation of LSM-Ag Composite Powder
LSM-Ag composite powders were synthesized via a chemical reduction method. For this, sodium dodecyl sulfate (SDS) was put as a surfactant in a silver ammonia solution, and different quantities of LSM perovskite powders were added while stirring in an ultrasonic environment. A certain amount of polyvinylpyrrolidone (PVP) was afterwards mixed with a prepared glucose (C6H12O6) reduction solution, where PVP served as a protective agent. The uniformly mixed reduction solution was added dropwise to a silver ammonia solution with LSM powder, and magnetically stirred for 6 h. The product was then collected by high-speed centrifugation, and rinsed several times with absolute ethanol and deionized water to wash away residual PVP and C6H12O6. The precipitate obtained after centrifugation was put into a vacuum drying oven and dried for 12 h at 40 °C. Finally, various weights of LSM powder were added to obtain 2 wt % (LSM-2%Ag), 8 wt % (LSM-8%Ag), 14 wt % (LSM-14%Ag), and 20 wt % (LSM-20%Ag) LSM-Ag composites.
2.3. Characterization of LSM-Ag Composite Powders
The phase analysis of the composites was performed using an X-ray diffractometer (XRD, D/Max 2550, Rigaku, Tokyo, Japan) equipped with a CuKα X-ray radiation source. The XRD profiles were recorded within a 2θ range from 10° to 90° at a scanning speed of 8 (°)/min. The morphology and elemental composition of specimens were examined via energy dispersive X-ray spectroscopy (EDX) and field emission scanning electron microscopy (SEM) by means of a Nova NanoSEM230 (FEI, Hillsboro, OR, USA) installation.
2.4. Electrocatalytic Performance Test of LSM-Ag Composite Powder
The ORR performance of the samples was measured using a rotating disk electrode (RDE) and an electrochemical workstation (CHI660E, CH Instruments Inc., Shanghai, China). A three-electrode system was used in this experiment. The reference electrode and counter electrode were Hg/HgO electrode and Pt electrode, respectively. For this, the catalyst ink was first prepared by mixing 10 mg of catalyst, 5 mg of VXC-72, 1 mL of water, 1 mL of ethanol, and an appropriate amount of Nafion solution (5 wt %). The ink was afterwards exposed to 1 h of ultrasonic treatment. The catalyst loading in the catalyst ink was 0.3 mg/cm2. After that, two drops of ink (2 μL each) were formed on a glassy carbon electrode with a diameter of 3 mm and left for drying at room temperature. The cyclic voltammetry (CV) and linear voltammetry scan tests (LSV) were performed at room temperature (25 ± 0.5 °C) at a scan rate of 10 mV/s using 0.1 M O2-saturated KOH solution as the electrolyte. The voltage window was 0.1 to 1 V (vs. RHE) and the LSV rotational speeds were 1600, 1225, 900, 625, and 400 rpm. The K-L equation was used to calculate the electron transfer number (n) of the ORR, and the relevant calculation formulae were as follows [28]:
where j and jk are the current density and kinetic current density measured by the rotating disk electrode, respectively; ω is the angular velocity of the disk; n is the number of electrons transferred in the ORR reaction; F is the Faraday constant (96,485 C/mol); k is the rate constant of the oxygen reduction reaction (m/s); CO is the O2 concentration in the electrolyte (1.2 × 10−6 mol/cm3), and DO is the diffusion coefficient of O2 in 0.1 M KOH solution (1.9 × 10−5 cm/s); v is the kinematic viscosity of the electrolyte (0.01 cm2/s).
2.5. Assembly and Testing of Magnesium Air Battery
The magnesium-air battery contained three following parts: an anode of Mg-3 wt % Al-1 wt % Zn (AZ31) alloy, a self-made air cathode, and a 15 wt % NaCl solution as the electrolyte. The air cathode composed of a catalytic layer, a gas diffusion layer, and foamed nickel as a current collector was produced in obedience to the procedures below. First, the catalyst, the carbon black and polytetrafluoroethylene (PTFE) were weighed in a ratio of 1:1:1.5 and mixed uniformly. After that, the mixture was applied on a nickel mesh and heated in a vacuum drying oven for 3 h at 120 °C to obtain a catalytic layer. Next, the carbon black and PTFE were mixed at a certain ratio and covered the other side of the nickel mesh to form a gas diffusion layer. The prepared air cathode was afterwards heated for 12 h in a vacuum drying oven at 120 °C, rolled with a roller press and sintered for 30 min at 300 °C. The assembled magnesium air battery was charged and discharged.
3. Results
3.1. Microstructure Characterization
Figure 1 displays the XRD patterns of LSM and LSM-14% Ag powders along with the standard cards of La0.8Sr0.2MnO3 and Ag. It is obvious that LSM-Ag powder only contained the metallic phase of Ag and La0.8Sr0.2MnO3 phase, exhibiting no diffraction peak of other phase. In this respect, the XRD results reveal a successful synthesis of LSM-Ag powder where Ag is modified on the LSM surface in the form of a simple substance.
Figure 1.
XRD patterns of LSM and LSM-Ag powders in comparison with standard XRD cards of pure LSM and Ag.
Figure 2a,b depicts the SEM optical images of Ag nanoparticles and LSM-14%Ag powders. According to Figure 2b, the particle sizes of LSM-Ag powders are of the submicron range. In order to further study the distribution of silver on the surface of the LSM powder, the EDX mapping was performed, and the results are shown in Figure 2. From Figure 2c,d, one can see that the silver particles are evenly distributed across the LSM surface. Meanwhile, using the correspond EDS analysis as shown in Figure 2h, indicating that silver is evenly distributed on the surface of LSM powder in the form of an elemental substance.
Figure 2.
SEM images of (a) Ag nanoparticles and (b) LSM-14%Ag powder. EDX images of element distribution in LSM-14%Ag powder: (c) all elements; (d) Ag; (e) La; (f) Sr; (g) Mn; (h) Corresponding EDS spectrum of point.
3.2. Electrochemical Performance
The electrocatalytic performance of the samples was evaluated by acquiring the CV and LSV curves of the catalysts. Figure 3 displays CV curves and Figure 4 shows a series of ORR LSV curves recorded at the rotation rates from 400 to 1600 rpm.
Figure 3.
CV curves of different kinds of catalysts (the electrolyte is the O2-saturated 0.01 M KOH solution, and the scanningg rate is 10 mV/s).

Figure 4.
(a,c,e,g,i,k) LSV curves of various catalysts at different rotational speeds; (b,d,f,h,j,l) K-L plots derived from the LSV curves and electron transfer numbers (inset diagrams) of various catalysts at different potentials.
According to the CV curves in Figure 3, obviously all LSM catalysts have typical oxygen reduction peaks at sharp increase in cathodic currents. However, compared with the oxygen reduction peak potential of pure LSM (0.56 V vs. RHE), the Ag-LSM composite shows a higher potential, and the peak oxygen reduction potential becomes more positive as the Ag content increases. In addition, Ag-LSM has a larger oxygen reduction current than pure LSM catalyst, and with the increase of Ag content, the oxygen reduction current is greater, which indicates that LSM modified by silver provides more catalytic active sites, resulting in compared with pure LSM, Ag-LSM composites have higher catalytic activity.
Besides the catalysts obtained in this work, the experiments were also conducted on the commercial 20% Pt/C catalyst as a reference sample. According to the results from Figure 4, the numbers of electrons transferred on the pure LSM, LSM-2% Ag, LSM-8% Ag, LSM-14% Ag, and LSM-20% Ag catalysts at a voltage of 0.5 V were 2.96, 3.05, 3.15, 3.5, and 3.59, respectively. In turn, the number of electrons transferred on LSM-14%Ag and LSM-20%Ag catalysts at a voltage of 0.2 V were 3.90 and 3.91 respectively, meaning that there was almost a four-electron transfer reaction. Both values were found to be very close to that of the commercial 20% Pt/C catalyst and the number of electrons transferred is 4.0. This indicates that the use of LSM-Ag catalysts under alkaline conditions enabled one to directly generate the OH− anions, which was attributed to a strong synergistic effect from LSM powder and modified Ag particles, enhancing the interface redox reaction and thereby improving the ORR performance and the number of transferred electrons. As seen in Figure 4, the ORR reactions catalyzed by Ag-modified LSM powders were mainly due to the four-electron process, whereas those induced by unmodified LSM powders passed via the two- and four-electron mechanisms.
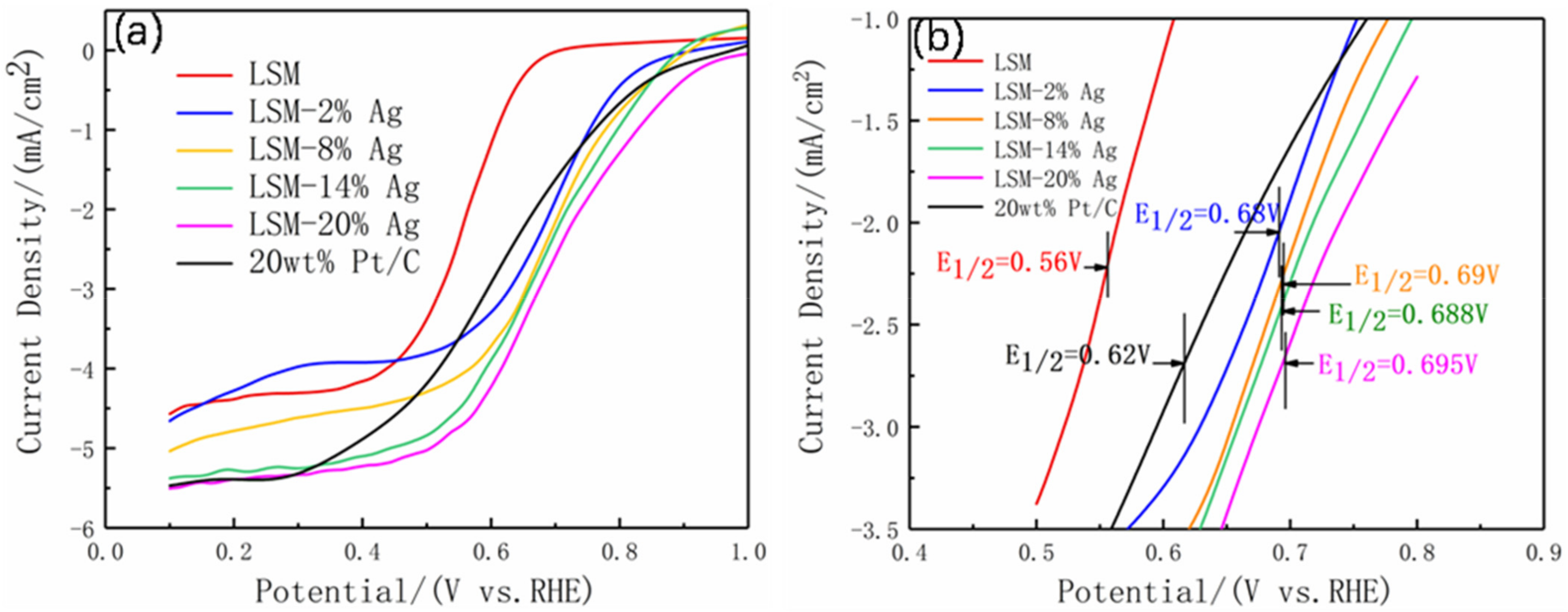
Figure 5 displays the oxygen electrode activities of LSM, LSM-2% Ag, LSM-8% Ag, LSM-14% Ag, and LSM-20% Ag powders at 1600 rpm in comparison with a commercially available Pt/C catalyst. In turn, the main ORR parameters of these catalysts are given in Table 1.
Figure 5.
(a) Oxygen electrode activity and (b) half-wave potential of different kinds of catalysts (the rotational speed is 1600 rpm, the electrolyte is the O2-saturated 0.01 M KOH solution, and the scanning rate is 10 mV/s).
Table 1.
Comparison ORR activities of different samples in 0.1 M alkaline solutions at rotation rate of 1600 rpm.
As seen from Table 1, Ag modifying enabled one to significantly improve the starting potential and half-wave potential of the LSM catalysts. Furthermore, the half-wave potentials of Ag-modified LSM catalysts even exceeded that of 20 wt % commercial Pt/C. The starting potential of LSM-14% Ag was about 60 mV lower than that of commercial Pt/C. However, an increase of Ag content led to an increase in the limiting current density and the number of electrons transferred during the ORR reaction. This means that pure and Ag-modified LSM powders exert a strong synergistic effect, which is beneficial to the improvement of ORR performance. It is worth noting that the changes in the initial potential, half-wave potential, limiting current density, and number of transferred electrons for LSM powders with silver contents of 14% and 20% are not as obvious as for samples with lower Ag concentrations, Moreover, the limiting current densities of LSM-14% Ag and LSM-20% Ag are very close to that of 20 wt % commercial Pt/C. This is because the metallic silver used to modify LSM can expand the active area of O2 adsorption and shorten the conduction path of adsorbed oxygen, thereby resulting in excellent electrocatalytic performance that is favorable for the ORRs.
3.3. Magnesium-Air Battery
In order to further assess the performance of the LSM-Ag catalysts for practical applications, these were embedded into a magnesium-air battery that was afterwards exposed to a constant current discharge. Given that Ag is relatively expensive and the ORR performances of LSM-14% Ag and LSM-20% Ag are quite close, the pure LSM and LSM-14% Ag catalysts were chosen for the preparation of air cathode batteries. A schematic diagram of a self-made battery is shown in Figure 6a, where the effective contact area is 64 cm2 and the effective mass of the cathode is 9.6 g. The reactions mainly occurring in the magnesium-air battery are described as follows [30]:
Figure 6.
(a) Schematic diagram of the discharged Mg-air battery; (b) cell voltage and power density vs. current density; (c) discharge curves; (d) capacity density and energy density of Mg-air batteries at 50 mA cm−2.
According to Equation (4), magnesium loses two electrons at the anode and passes through an oxidation reaction, achieving the Mg2+ state. In turn, the lost electrons reach the cathode through an external circuit, and O2 undergoes a reduction reaction on the cathode to generate the OH− anions. Figure 6b depicts the discharge and power density curves of a self-made magnesium-air battery under different current densities. Here, the power density was calculated according to the formula below:
It can be seen from the figure that the voltage of the assembled air battery drops with increasing current density, which is caused by the ohmic polarization. At the same time, the LSM-14% Ag battery exhibits the higher discharge voltage than the LSM battery at the same current density, which coincides with LSV curves as shown in Figure 4. Furthermore, the power density of the LSM-14% Ag battery exceeds that of the LSM battery. The power densities of both batteries first increase and, after reaching their extreme values at 110 mA/cm2, gradually decrease with a further increase in the current density. It is also evident that the maximum power density of the LSM-14% Ag battery (73 mW/cm2) is far greater than that of the LSM battery (63 mW/cm2).
Figure 6c depicts the discharge curves of a single battery under the constant current discharge and the current density of 50 mA/cm2. As can be seen, the voltage gradually increases within the first seven hours and then stabilizes after a certain period of time. In turn, the battery reaches a relatively stable and balanced state, revealing the emergence of a discharge plateau. For the LSM-14% Ag battery, the discharge plateau is 1.14V, which is higher than that of the LSM battery (1.04 V). Moreover, the discharge time of the LSM battery voltage at 1.0 V is 14.5 h, whereas that of the LSM-14% Ag battery enriches 19 h, which indicates excellent stability of the latter. In order to further analyze the performance of the battery, the specific capacity density and energy density were calculated as follows:
The results are shown in Figure 6d. It is obvious that the specific capacity density (6333.33 mAh/g) and energy density (7220 mWh/g) of the LSM-14% Ag battery are significantly higher than those (4833.33 mAh/g and 5050.83 mWh/g, respectively) of the LSM battery. This indicates the improvement of discharge performance and, consequently, the better catalytic activity of the LSM-14% Ag battery.
4. Discussion
The half-wave potential and initial potential of LSM-14%Ag in this work are much higher than other samples in Table 1. Among them, the limiting current density and the number of transferred electrons of Ag/LaMnO3-RGO are relatively close to commercial Pt/C, but the preparation of this sample is more complicated, and the recombination of Ag and RGO needs to be carried out in two steps. However, in this work La0.8Sr0.2MnO3 (LSM) catalyst can be modified via a typical silver mirror reaction, and the limiting current density and the number of transferred electrons of LSM-14%Ag are very similar to those of Pt/C, showing good electrocatalytic performance.
A series of oxygen reduction reactions on the LSM cathode can be described as follows [31]. First, oxygen is adsorbed and dissociated on the LSM surface, become adsorbed oxygen (Oad):
Then, the adsorbed oxygen (Oad) obtains electrons to form a negatively charged oxygen ion ():
After that, oxygen ions () diffuse into the reaction zone via a three-phase boundary of the cathode (TPB) (OTPB):
Finally, oxygen ions () get another electron in the three-phase boundary reaction zone (TPB) and are incorporated into the oxygen vacancies through the process of charge transfer to generate lattice oxygen ():
As a cathode, Ag can also catalyze oxidation-reduction reactions according to a sequence of the processes below [32]. First, the oxygen molecules in the gas phase are adsorbed on the Ag surface to form adsorbed oxygen (Oad):
Since this step reduces the dissociation reaction barrier of O2 on the Ag surface, the reaction speed is faster. Furthermore, Ag has good conductivity to O [21], and adsorbed oxygen (Oad) directly enters the TPB reaction zone (OTPB) through Ag:
At last, OTPB acquires two electrons before combining with oxygen vacancies, generating lattice oxygen ():
The Ag nanoparticles modified with LSM powder will create additional effective surface active-sites for oxygen adsorption and dissociation. In addition, it will also provide a shorter path for oxygen to diffuse into the TPB reaction zone, thereby accelerating the ORR reaction.
The Ag particles prepared by a typical silver mirror reaction are nano-sized and evenly distributed across the LSM surface, which not only shortens the conduction path of adsorbed oxygen, but also allows oxygen ions () to receive electrons for further generation of lattice oxygen () (see Equation (13)). This enables one to induce the combined effects of adsorbed oxygen and oxygen vacancies [33], decreasing the charge transfer resistance and improving the performance of the battery.
Increasing the amount of silver loading allows one to improve the electrochemical performance of LSM catalysts. The best effect is achieved when the Ag loading exceeds 14%.
5. Conclusions
In this paper, LSM powder catalysts were synthesized by a sol-gel route and modified with different contents of silver via a simple chemical reduction method. The microstructure and morphology of LSM-Ag powders were characterized via SEM and XRD techniques, and their electrocatalytic activity was assessed through the ORR performance tests. Furthermore, pure LSM and LSM-14%Ag powders were used as the catalysts of air cathodes that were afterwards assembled into self-made primary magnesium-air batteries for successive discharge performance measurements. Based on the observed results, the following conclusions can be drawn.
(1) In the LSM-Ag powder, Ag was modified on the LSM surface in the form of a simple substance, without destroying the crystal structure of the powder.
(2) The grain size of pure LSM and Ag-modified LSM powders was between tens of nanometers to hundreds of nanometers, and the Ag particles were as small as tens of nanometers.
(3) Increasing the amount of silver loading allows one to improve the electrochemical performance of LSM catalysts. The best effect is achieved when the Ag loading exceeds 14%.
(4) Ag nanoparticles created additional effective surface active-sites for oxygen adsorption and dissociation. Therefore, the assembled air battery was found to be more stable, exhibiting the longer discharge time along with improved specific capacity density and energy density of the cathode.
Author Contributions
Conceptualization, X.W. and H.L.; formal analysis, X.W.; funding acquisition, K.Y. and W.X.; investigation, J.Z.; methodology, X.W. and J.H.; resources, K.Y., J.S., and Y.Y.; writing—original draft, X.W. All authors have read and agreed to the published version of the manuscript.
Funding
This work was supported by the Fundamental Research Funds for the Central Universities of Central South University Project, China (GCX20190897Y); R & D of Key Technology of Light Metal Air Battery, Transformation and Industrialization of Scientific and Technological Achievements of Hunan Province (S2020GXKJGG0058) and R & D of Key Technology and Materials of Magnesium Air Battery, Transformation of Scientific and Technological Achievements of Chang Sha City (Kh2005186).
Institutional Review Board Statement
Not applicable.
Informed Consent Statement
Not applicable.
Data Availability Statement
The data presented in this study are available on request from the corresponding author. The data are not publicly available due to privacy.
Acknowledgments
Thanks for the help from Peng Yu (Hunan Hydro Dynamic New Materials Co. Ltd., Xiang Tan 411101, China) and Changbo Lu (Institute of Systems Engineering, Academy of Military Sciences, Beijing 102300, China).
Conflicts of Interest
The authors declare no conflict of interest. The funders had no role in the design of the study, in the collection, analyses, or interpretation of data, in the writing of the manuscript, or in the decision to publish the results.
References
- Xiang, F.W.; Chen, X.H.; Yu, J.; Ma, W.H.; Li, Y.P.; Ni, Y. Synthesis of three-dimensionally ordered porous perovskite type LaMnO3 for Al-air batter. J. Mater. Sci. Technol. 2018, 34, 1532–1537. [Google Scholar] [CrossRef]
- Jayasayee, K.; Veen, R.V.; Manivasagam, T.G.; Celebi, S.; Hensen, E.J.M.; Bruijn, F.A.D. Oxygen reduction reaction (ORR) activity and durability of carbon supported PtM (Co, Ni, Cu) alloys: Influence of particle size and non-noble metals. Appl. Catal. B-Environ. 2012, 111, 515–526. [Google Scholar] [CrossRef]
- Tang, Q.W.; Wang, L.M.; Wu, M.J.; Xu, N.N.; Jiang, L.; Qiao, J.L. Achieving high-powered Zn/air fuel cell through N and S co-doped hierarchically porous carbons with tunable active-sites as oxygen electrocatalysts. J. Power Sources 2017, 365, 348–353. [Google Scholar] [CrossRef]
- Li, X.M.; Dong, F.; Xu, N.N.; Zhang, T.; Li, K.X.; Qiao, J.L. Co3O4/MnO2/hierarchically porous carbon as superior bifunctional electrodes for liquid and all-solid-state rechargeable zinc-air batteries. ACS Appl. Mater. Int. 2018, 10, 15591–15601. [Google Scholar] [CrossRef] [PubMed]
- Ma, Z.; Wang, K.X.; Qiu, Y.F.; Liu, X.Z.; Cao, C.Y.; Feng, Y.J.; Hu, P.A. Nitrogen and sulfur co-doped porous carbon derived from bio-waste as a promising electrocatalyst for zinc-air battery. Energy 2018, 143, 43–55. [Google Scholar] [CrossRef]
- Li, L.Q.; Yang, J.; Yang, H.B.; Zhang, L.P.; Shao, J.J.; Huang, W.; Liu, B.; Dong, X.C. Anchoring Mn3O4 nanoparticles on oxygen functionalized carbon nanotubes as bifunctional catalyst for rechargeable zinc-air battery. ACS Appl. Energy Mater. 2018, 1, 963–969. [Google Scholar] [CrossRef]
- Li, G.; Mezaal, M.A.; Zhang, R.; Zhang, K.; Lei, L. Electrochemical Performance of MnO2-based Air Cathodes for Zinc-air Batteries. Fuel Cells 2016, 16, 395–400. [Google Scholar] [CrossRef]
- Chen, Z.; Yu, A.P.; Ahmed, R.; Wang, H.J.; Li, H.; Chen, Z.W. Manganese dioxide nanotube and nitrogen-doped carbon nanotube based composite bifunctional catalyst for rechargeable zinc-air battery. Electrochim. Acta 2012, 69, 295–300. [Google Scholar] [CrossRef]
- Wu, X.; Scott, K. A non-precious metal bifunctional oxygen electrode for alkaline anion exchange membrane cells. J. Power Sources 2012, 206, 14–19. [Google Scholar] [CrossRef]
- De Koninck, M.; Marsan, B. MnxCu1-xCo2O4 used as bifunctional electrocatalyst in alkaline medium. Electrochim. Acta 2008, 53, 7012–7021. [Google Scholar] [CrossRef]
- Chen, D.J.; Chen, C.; Baiyee Zarah, M.; Shao, Z.P.; Ciucci, F. Nonstoichiometric oxides as low-cost and highly-efficient oxygen reduction/evolution catalysts for low-temperature electrochemical devices. Chem. Rev. 2015, 115, 9869–9921. [Google Scholar] [CrossRef]
- Hardin, W.G.; Mefford, J.T.; Slanac, D.A.; Patel, B.B.; Wang, X.Q.; Dai, S.; Zhao, X.; Ruoff, R.S.; Johnston, K.P.; Stevenson, K.J. Tuning the electrocatalytic activity of perovskites through active site variation and support interactions. Chem. Mater. 2014, 26, 3368–3376. [Google Scholar] [CrossRef]
- Lopez, K.; Park, G.; Sun, H.-J.; An, J.-C.; Eom, S.; Shim, J. Electrochemical characterizations of LaMO3 (M = Co, Mn, Fe, and Ni) and partially substituted LaNixM1−xO3 (x = 0.25 or 0.5) for oxygen reduction and evolution in alkaline solution. J. Appl. Electrochem. 2015, 45, 313–323. [Google Scholar] [CrossRef]
- Seo, M.H.; Park, H.W.; Lee, D.U.; Park, M.G.; Chen, Z.W. Design of Highly Active Perovskite Oxides for Oxygen Evolution Reaction by Combining Experimental and ab Initio Studies. ACS Catal. 2015, 5, 4337–4344. [Google Scholar] [CrossRef]
- Zhou, W.; Sunarso, J. Enhancing Bi-functional Electrocatalytic Activity of Perovskite by Temperature Shock: A Case Study of LaNiO3−δ. J. Phys. Chem. Lett. 2013, 4, 2982–2988. [Google Scholar] [CrossRef]
- Pelosato, R.; Cordaro, G.; Stucchi, D.; Cristiani, C.; Dotelli, G. Cobalt based layered perovskites as cathode material for intermediate temperature Solid Oxide Fuel Cells: A brief review. J. Power Sources 2015, 298, 46–67. [Google Scholar] [CrossRef]
- Uchida, H.; Arisaka, S.; Watanabe, M. High performance electrodes for mediumtemperature solid oxide fuel cells: Activation of La(Sr)CoO cathode with highly dispersed-Pt metal electrocatalysts. Solid State Ion. 2000, 135, 347–351. [Google Scholar] [CrossRef]
- Uchida, H.; Watanabe, M. High-Performance Electrodes for Medium-Temperature Solid Oxide Fuel Cells. Mod. Asp. Electrochem. 2008, 149, 53–87. [Google Scholar] [CrossRef]
- Chen, K.; Ai, N.; Jiang, S.P. Enhanced electrochemical performance and stability of (La,Sr)MnO3-(Gd,Ce)O2 oxygen electrodes of solid oxide electrolysis cells by palladium infiltration. Int. J. Hydrog. Energy 2012, 37, 1301–1310. [Google Scholar] [CrossRef]
- Wang, L.S.; Barnett, S.A. Ag-perovskite cermets for thin film solid oxide fuel cell air-electrode applications. Solid State Ion. 1995, 76, 103–113. [Google Scholar] [CrossRef]
- Sholklapper, T.Z.; Radmilovic, V.; Jacobson, C.P.; Visco, S.J.; Jonghe, L.D. Nanocomposite Ag-LSM solid oxide fuel cell electrodes. J. Power Sources 2008, 175, 206–210. [Google Scholar] [CrossRef]
- Lu, F.; Wang, Y.; Jin, C.; Li, F.; Yang, R.; Chen, F. Microporous La0.8Sr0.2MnO3 perovskite nanorods as efficient electrocatalysts for lithium–air battery. J. Power Sources 2015, 293, 726–733. [Google Scholar] [CrossRef]
- Chen, B.; Cheng, D.; Zhu, J. Synthesis of PtCu nanowires in nonaqueous solvent with enhanced activity and stability for oxygen reduction reaction. J. Power Sources 2014, 267, 380–387. [Google Scholar] [CrossRef]
- Goh FW, T.; Liu, Z.; Ge, X.; Zong, Y.; Du, G.; Hor, T.S.A. Ag nanoparticle-modified MnO2 nanorods catalyst for use as an air electrode in zinc–air battery. Electrochim. Acta 2013, 114, 598–604. [Google Scholar] [CrossRef]
- Wang, Z.; Xu, C.; Lou, Z.; Qiao, J.; Ren, B.; Sun, K. Preparation and characterization of silver-modified La0.8Sr0.2MnO3 cathode powders for solid oxide fuel cells by chemical reduction method. Int. J. Hydrog. Energy 2013, 38, 1074–1081. [Google Scholar] [CrossRef]
- Van Cleve, T.; Gibara, E.; Linic, S. Electrochemical Oxygen Reduction Reaction on Ag Nanoparticles of Different Shapes. ChemCatChem 2015, 8, 256–261. [Google Scholar] [CrossRef]
- Hu, J.; Shi, L.; Liu, Q.; Huang, H.; Jiao, T. Improved oxygen reduction activity on silver-modified LaMnO3–graphene via shortens the conduction path of adsorbed oxygen. RSC Adv. 2015, 5, 92096–92106. [Google Scholar] [CrossRef]
- Phuoca, L.T.; Viet, C.D.; Doh, W.H.; Bonnefont, A.; Janowska, I.; Begin, D.; Savinova, E.R.; Granger, P.; Huu, C.P. Influence of the reaction temperature on the oxygen reduction reaction on nitrogen-doped carbon nanotube catalysts. Catal. Today 2015, 249, 236–243. [Google Scholar] [CrossRef]
- Lee, D.U.; Park, M.G.; Park, H.W.; Seo, M.H.; Ismayilov, V.; Ahmed, R.; Chen, Z. Highly active Co-doped LaMnO3 perovskite oxide and N-doped carbon nanotube hybrid bi-functional catalyst for rechargeable zinc–air batteries. Electrochem. Commun. 2015, 60, 38–41. [Google Scholar] [CrossRef]
- Rahman, A.; Wang, X.; Wen, C.; Rani, J.V.; Kanakaiah, V.; Dadmal, T.; Rao, M.S.; Bhavanarushi, S. High Energy Density Metal-Air Batteries: A Review. J. Electrochem. Soc. 2013, 160, A1759–A1771. [Google Scholar] [CrossRef]
- Heuveln, F.H.; Bouwmeester, H.J.M. Electrode Properties of Sr-Doped LaMnO3 on Yttria-Stabilized Zirconia II: Electrode kinetics. J. Electrochem. Soc. 1997, 144, 134–140. [Google Scholar] [CrossRef]
- Sasaki, K.; Hosoda, K.; Lan, T.; Yasumoto, K.; Wang, S.; Dokiya, M. Ag–Zr(Sc)O cermet cathode for reduced temperature SOFCs. Solid State Ion. 2004, 174, 97–102. [Google Scholar] [CrossRef]
- Lee, K.T.; Manthiram, A. Electrochemical performance of Nd0.6Sr0.4Co0.5Fe0.5O3−δ–Ag composite cathodes in intermediate temperatur solid oxide fuel cells. J. Power Sources 2006, 160, 903–908. [Google Scholar] [CrossRef]
Publisher’s Note: MDPI stays neutral with regard to jurisdictional claims in published maps and institutional affiliations. |
© 2021 by the authors. Licensee MDPI, Basel, Switzerland. This article is an open access article distributed under the terms and conditions of the Creative Commons Attribution (CC BY) license (https://creativecommons.org/licenses/by/4.0/).






