Abstract
The problem of identifying correlations between catalytic and electrocatalytic processes is one of the fundamental problems of catalysis among “simple” organic substances, and the oxidation of CO and rCO2 is of great interest, since CO and CO2 are considered in pairs both during catalytic and electrocatalytic transformations. In the case of electrocatalysis, this analysis is important in the study of fuel cells. In this paper, we studied the correlation between the oxidation of reduced forms of CO2 (rCO2) under potentiodynamic-galvanoctatic electrochemical and open-circuit conditions of measurements on polycrystalline (pc)Pt in H2CO3. Periodic oscillations are revealed at the oxidation of Had and rCO2 on (pc)Pt. Quantum chemical calculations were carried out on the Pt13 cluster in order to identify the mechanisms of the rCO2 oxidation reaction. The correspondence in the energy parameters of the oxidation process of rCO2 under open-circuit conditions and electrochemical conditions is shown. The preliminary analysis of the system using density functional (DFT) calculations is carried out and the most stable systems that are based on Pt13 are found, namely rOH-Pt13-(CO)n, rOH-Pt13-(COH) and rOH-Pt13-(rCOOH). OH• species was chosen as the most likely candidate for the role of the oxidant for rCO2. Preliminary calculations for the expected reactions were carried out, and the optimal PES is revealed.
1. Introduction
The interest to the electrochemical transformations of CO2 mainly originates from the identification of electrochemical conditions for СО2 reduction in order to obtain useful products. As to the global challenges, this is related to CO2 utilization. The catalytic reaction of reverse water gas shift—the conversion of CO2 to CO—is well known to proceed on Pt. The main product of the electrochemical reduction of CO2 on Pt is CO. The low solubility of CO2 in water, significant energy costs, and low quantitative yields of products due to the hydrogen reduction reaction (HRR) are the main problems with the electrochemical conversion of CO2 in water [1].
Among the “simple” organic substances, CO and CO2 are of utmost interest. These substances are often considered in a pair in both the course of the catalytic and electrocatalytic transformations. In the case of the electrocatalysis, this analysis is important in the study from the point of view of effective fuel cells. There are two problems that arise when creating fuel cells that are based on organic fuel processing: poisoning of the catalyst surface with fuel chemisorption products, which leads to a decrease in the efficiency of the fuel cell, and the fuel crossover from the anode space to the cathode of the fuel cell. The latter can lead to the polarization of the anode and a decrease in its potential and additional fuel consumption due to its interaction with the oxidizer. The performance of a hydrogen-oxygen fuel cell can significantly deteriorate as a result of the adsorption of CO, which is usually present in H2 as an impurity. One way to reduce the poisoning of catalysts with carbon monoxide is to add small amounts of O2 to the oxidized H2. Therefore, investigations that are focused on the O2 reduction reaction (ORR) and the transformation of its products, for example, H2O2 on the cathode in conjugated electrocatalytic reactions, are extremely important. To date, there has been extensive literature on these reactions. In the last five years, more than 1000 review articles have been published on various electrodes, in different systems, and under different conditions. Much attention continues to be paid to the Pt electrode in relation to the above reactions [2,3,4,5,6,7,8]. This is also important in view of the development of highly sensitive oxygen sensors.
On the other hand, the problem of identifying the correlations between catalytic and electrocatalytic processes is one of the fundamental problems of catalysis [9,10,11,12,13]. Previously, the problems of the theory of current transients arising upon introducing “neutral” CO-type particles into the contact with Pt-group metal electrodes were considered [10,11,12,13] on the basis of thermodynamic ideas regarding the full charge of the electrode [14,15]. These ideas were further developed while analyzing the relationship between the transients of the current (the use of potentiostatic current transients (I, t—curves) (potentiostatic chronoamperometry) is an important method in electrocatalysis, because it allows one to study, in detail, the kinetics of electrocatalytic reactions and to determine the amount of electricity during electrolysis, thereby correlating the measured I values with the chosen value of the potential in stationary conditions, electrocatalytic reactions.) and the potential in the absence of the current upon adsorption of some neutral particles [13]. Kinetics studies were carried out in relation to the oxidation reactions of “simple” organic substances containing only one carbon atom (C1) with adsorbed oxygen Oads on Pt under open circuit conditions with the registration of transients of the no-current potential. CO, HCOOH [16,17], CH3OH [18], HCHO [19], and molecules with the number of carbon atoms more than 1, i.e., homologs of aliphatic alcohols ROH [20] were chosen as substrates for oxidation. The correlation of the data that were obtained under the conditions of catalytic and electrocatalytic measurements was revealed in the calculations of the CH3OH oxidation dynamics [21]. It was shown from the first principles that the main difference between the catalytic oxidation of methanol in the gas phase and the electrocatalytic oxidation of CH3OH in an aqueous electrolyte was related to the difference in the nature of oxidizing particles—atomic O and OH species, respectively. In addition, molecules of diols can be formed in the aqueous medium, while they are absent in the gas-phase process.
The oscillation nature of oxidation reactions in both electrocatalytic and catalytic conditions has been found for many C1 substrates, including CO on Pt [22,23,24,25,26]. In the study of oxidation reactions of ROH [20] in an H2SO4 aqueous solution by the methods of the no-current potential transients (Enc,t curves) in combination with potentiodynamic pulses, the oscillations were revealed on the experimental Enc,t curves [27]. When comparing the analysis results of these transients that are determined by the different methods [20,27], it turned out that they are complementary to each other, and they are not contradictory and expand the understanding of the chemistry of the processes. The data that were obtained under open-circuit conditions correlated with the experimental data under electrochemical measurements for CH3OH, with the oxidation of the latter resulting in the formation of CO2, HCOOH, HCHO [28], and C2H5OH, with the main oxidation products being CH3COOH or CH3CHO [29], as well as small amounts of CO2.
A new method for removing dissolved gases from water has been proposed in [30]. It is based on a “helium washing” procedure. For electrocatalytic processes, this technique is useful for obtaining ultra-low concentrations of dissolved O2 in H2O. This makes it possible to perform electrochemical measurements on a smooth Pt electrode under both electrochemical and open circuit conditions, while minimizing the contribution of the conjugated ORR. This allows for one to study, in detail, the oxidation of adsorbates on electrodes with dissolved O2 under conditions of long-term measurements. Therefore, the use of such a technique can create favorable conditions for the development of electrochemical sensors for the ultra-low O2 content in the volume of the solution. The oxidation reaction of rCO2 on a smooth polycrystalline (pc) Pt electrode in a saturated solution of carbonic acid under open-circuit and electrochemical conditions was chosen as a model system for studying the oxidation of adsorbates under the conditions of ultra-low dissolved O2 concentrations.
It is known that, when CO2 is reduced in the region of hydrogen adsorption potentials (Had) on Pt-electrodes in aqueous solutions, a surface reaction occurs with the formation of a chemisorbed “reduced form of CO2” (rCO2), which includes, among other species, various forms of COads [31,32,33,34]. Various authors discuss the composition of rCO2 on Pt-group metals and their alloys [34], depending on the catalyst nature and the cationic and anionic composition of the electrolyte, the electrochemical mechanism of rCO2 oxidation, the properties of CO in the rCO2 composition, and COads obtained during the chemisorption of CO that is dissolved in the electrolyte on Pt metals, including a (pc) Pt electrode. Some questions that are related to the oxidation of rCO2 on Pt also remain open, in particular:
- (1).
- Whether the features of electrochemical oxidation of rCO2 into carbon dioxide saturated aqueous H2CO3 solution without electrolyte additives can be detected?
- (2).
- Is there any correlation between the electrocatalytic oxidation and open-circuit oxidation of rCO2?
- (3).
- Does the oxidation of rCO2 under electrocatalytic and open-circuit conditions proceed as an oscillatory reaction, and, if so, what useful physicochemical information can be derived from this process?
To date, we have not found any published results on electrocatalytic measurements aimed at identifying the correspondence between the electrochemical and catalytic effects, oscillation effects for the oxidation reaction of rCO2.
In accordance with the above, the goal of this work was to identify the relationship and find correlations for the oxidation dynamics of rCO2 on (pc)Pt in a CO2-saturated aqueous solution of “helium washed” water under electrochemical and open-circuit conditions and propose a probable mechanism of the oxidation process under these conditions.
2. Materials and Methods
The measurements under electrochemical and open-circuit conditions were carried out in a glass three-electrode electrochemical cell without separating the cathode and anode space to reduce resistance in the solution at room temperature (~20 °C). The electrochemical cell was placed in a Faraday box. The supply of the test substance from the side vessel of the cell to its working space was carried out by means of electromagnetic valves or a glass faucet. The solenoid valves were disconnected during the measurements.
A (pc)Pt electrode (99.999%) in the plate form lightly etched in Aqua regia with a geometric surface area Sg ≈ 0.5 cm2 was used as the working electrode. Before each experiment, the smooth (pc)Pt electrode was cleaned in a mixture of H2O2 and H2SO4 in a ratio of 1:1; after that it was thoroughly washed with water (Millipore–Merck, Ω = 18.2 MOhm) to eliminate the contaminants on the Pt surface. This method of pretreatment of polycrystalline platinum is quite typical for electrochemical studies. The real surface area of the electrode was determined by integrating the anode parts of cyclic voltammograms from 0.06 V (R.H.E.) by the desorption of hydrogen adatoms Had in solutions of 1.95 × 10−4 M HClO4 and 0.5 M H2SO4, while assuming that the electricity quantity q = 210 µC was spent per 1 cm2 of Sr. The obtained values of in the selected electrolytes were close to each other. The roughness factor for the pcPt electrode defined as Sr/Sg was ~1.7–1.8. The 0.5 M H2SO4 solution was only used to compare the obtained Sr values in the sulfuric acid solution with the values obtained in 1.95 × 10−4 M HClO4. In order to assess the concentration of dissolved oxygen in water, a Pt-wire soldered into glass was used as the working micro-(pc)Pt electrode (Metrohm) (d = 10 μm). Pt wire was used as the counter electrode. A hydrogen electrode in 1.95 × 10−4 M HClO4 was used as a reference electrode. The HClO4 concentration is chosen to bring the pH value of this acid solution as close as possible to pH of the saturated H2CO3 solution, which is equal to 3.85.
Water (Millipore–Merck) with Ω = 18.2 MOhm was used as a solvent for all working electrolytes. The water purification was carried out on the Direct-Q3®UV (Millipore Corporation, Molsheim, France) device. H2O and a 1.95 × 10−4 M HClO4 solution that was prepared by the successive dilution of 70% (wt.) HClO4 (suprapure, Merck) was used as a background electrolyte. The HClO4 solution was used as a model “background” electrolyte, because, as, in the case of [35], no specific adsorption of anions occurs on the Pt electrode [36].
At the beginning, the electrochemical cell and then H2O in the side vessel were thoroughly deaerated by blowing He (Linde-Gas, 99.9999% vol.). According to the available publication [30,37], after a prolonged bubbling of pure He through H2O, dissolved oxygen and other atmospheric gases remain in water in trace amounts, and the final pH value is equal to ~7. An analysis of cyclic voltammograms (CVA) obtained in water on a micro-Pt electrode showed that the final concentration of residual oxygen in water after blowing He for 1.5 h is minimal and it is not more than ~10−9 M. The concentration was determined by the equation for the stationary current I = nFDcOδ for the microelectrode [38], where δ is the diameter of the Pt wire, n is the number of electrons (4), F is the Faraday number, I is the measured stationary current at different potential sweep rates with the extrapolation to v = 0, D is the diffusion coefficient of oxygen (2.0 × 10−5 cm2/s), and cO is the desired concentration. The preliminary removal of oxygen from H2O by He made it possible in subsequent catalytic measurements to relate the data on the oxidation of rCO2 by dissolved O2 mainly to the residual concentration of oxygen presented in CO2 after a further purification of carbon dioxide from O2 impurities on a special filter for gas chromatography.
The resulting deaerated H2O was saturated with CO2 in a lateral vessel for 1.5 h. CO2 at a pressure of 1 bar (99.9999% vol.) being supplied from a CO2 cylinder (Linde-Gas, 99.9993% vol.) was purified on the SGT-CO1005 filter for gas chromatography. The residual O2 concentration in an H2CO3 solution after purging CO2 was equal to ~10−6–10−7 M. The working electrolyte was a saturated solution of ~0.036 M CO2 (gas) (20 °C) with a pH of 3.85 [39]. Dissolved CO2, O2, , and H+ species are present in significant amounts in aqueous solutions saturated with CO2 at pH < 4 [40]. Trace impurities of indifferent ClO4− ions from the reference electrode vessel may also be present.
The working electrolyte that was saturated with carbon dioxide was transferred to the working space of the cell and then measurements were started. The total time of each experiment was >10 h. CO2 was slowly purged over the solution through a water seal in order to minimize the possible reverse diffusion of atmospheric O2 through cell connections into the working space and to maintain a steady concentration of the oxidant in the working solution. Electrocatalytic and open-circuit measurements were carried out while using a potentiostat-galvanostat Autolab 100N.
2.1. Electrocatalytic Measurements under Potentiodynamic Conditions
First, the electrode was cycled in the region of potentials E 0.03–1.5 V (10 cycles; v = 10 mV/s) with a registration of CVA curves, and the reproducibility of the resulting potentiodynamic curves was achieved, when the currents on the curves differed by no more than 2%. The chosen speed of potential sweep approximated the conditions of the process stationarity. Further, we registered the anodic CVA curve to the complete oxidation potential of chemisorbed rCO2, changed the potential of the working electrode for the selected potential for the formation and accumulation of rCO2 in the range of the Had adsorption potentials, and registered the potentiostatic current transient (I,t—curve) during 400 s. The criterion for choosing the potential delay time (td) was determined by the time of achieving the current stationarity on the I,t—curve and the current values in the maxima of the oxidation peaks Had and rCO2 when registering the subsequent anode branches of CVA. The selected value of td allowed for us to obtain the limit values of the surface coverages of Had and rCO on the (pc)Pt electrode at the corresponding accumulation potentials. Further, from the selected accumulation E, the anode branch of CVA was recorded with the corresponding oxidation peaks. Before recording each subsequent potentiostatic I,t—curve of rCO2 accumulation, intermediate CVA curves (2–3 cycles) were always recorded in the 0.03—1.5 V potential region to control the reproducibility of the electrode surface after rCO2 oxidation. The amounts of electricity that were spent for the oxidation of Had and rCO2 were estimated from the anode currents in CVA. For this purpose, anodic parts of the potentiodynamic curve were integrated in the desorption potentials range of residual Had in the presence of chemisorbed rCO2 that was adjusted for the charging current of the double electrical layer (DEL) , and in the oxidation potentials range of rCO2 adjusted for anodic currents of the CVA curve recorded after the potential delay at 0.480 V There is no Had on the (pc)Pt surface at 0.480 V and, as result, no rCO2 is formed. In addition, the value is located in the initial region of the oxidation potentials of rCO2 and, therefore, does not significantly affect the coverage estimates. In the model “background” solution of 1.95 × 10−4 M HClO4, the surface coverage of Had ( was estimated by integrating the corresponding anodic CVA in the desorption potentials region of Had adjusted for the charging current in the region E corresponding to DEL. After that, the dependences of , , and on the potentials of accumulation E were plotted, which allowed for us to estimate the coverages of chemisorbed rCO2 on the surface of the (pc)Pt electrode.
2.2. Catalytic Measurements under Open-Circuit Conditions
The method (see Section 2.1) served as the basis for measuring the transients of the non-current potentials. After achieving the reproducibility of the initial CVA curves during 10 cycles, the potential was switched to 0.880 V (200 s) for the complete removal of chemisorbed substances from the (pc)Pt surface, and then the potential is switched to a chosen value of the corresponding accumulation potentials in the Had adsorption potentials region during td 400 s and the I,t-curve was recorded. Next, the cell was switched off and the Enc,t-curve was registered to the Enc value of the potential of the complete rCO2 oxidation. For the chosen maximum discreteness of points on the recording device, it was necessary to obtain the maximum number of points on the obtained experimental dependences. In addition, it is obvious that the correct mathematical processing of the original Enc,t-dependencies required a high reproducibility of experimental data. The reproducibility of the recorded Enc, t-curves was maximal, and deviations in values were <7%.
2.3. Electrocatalytic Measurements under Galvanostatic Conditions
A number of measurements were also carried out under galvanostatic conditions. The basis for the registration method of the galvanostatic chronopotentiometric curves was the method (Section 2.2), with the exception that after the delay of the potential of rCO2 accumulation, a small anode current was switched on, and the E,t-curve was registered up to the potential of the complete rCO2 oxidation.
2.4. Other Measurements
We used a scanning electron microscope LEO EVO 50 XVP (Karl Zeiss) with EHT = 25.00 kV and WD = 6.0 and 7.5 mm in order to analyze the morphology of the working electrode surface by the SEM method.
The XRD analysis of Pt was performed using the CCDC database to identify the crystal phases of the (pc)Pt electrode. The data were obtained while using an ARL X‘TRA (Thermo Fisher Scientific, Waltham, MA, USA) diffractometer that was equipped with a Theta-Theta goniometer (CuKα-radiation, 40 kV, 40 mA). X-ray diffraction patterns were recorded at the speed of scan 1.2 deg/min in the region of 20 < 2Ɵ < 70.
We used a triaxial seismometer Anchar-Geo with the frequency range 0.08–45 Hz, maximum sensitivity not worse than 0.1 nm (at a frequency of 3 Hz), digitization bit rate 24 bits, digitization frequency 92 Hz, and the X-Y-Z coordinate independence up to 50 dB in order to monitor mechanic vibrations inside the laboratory room with the aim to estimate their influence on the processes occurring in the electrochemical cell.
2.5. Quantum-Chemical Calculations
Preliminary quantum chemical calculations were carried out on the simplest Pt13 cluster in order to only estimate the probability and possibility of process occurring and suggest a likely mechanism and energies for the process of the rCO2 oxidation reaction. The electronic structure of cluster was calculated by the density functional (DFT) method using B3 as the exchange functional [41], LYP [42], and VWN5 [43] as correlation functionals (U-B3LYP). In order to reduce the calculation time, the SBK pseudo potential [44] and the corresponding basis set supplemented by polarization functions on all atoms were used. All of the calculations were performed while using a Firefly quantum chemical software package [45,46]. The analysis of natural orbital occupation was performed using the NBO software package [47].
3. Results
3.1. Morphology of pcPt Electrode Surface
Figure 1a shows the SEM images of the working (pc)Pt electrode. It can be seen that, after lightly treating the surface of (pc)Pt in Aqua regia and performing the experiment, the surface of the electrode as a whole retained its smoothness in general (Figure 1a). However, a detailed examination of the surface morphology at large magnifications (Figure 1b–f) demonstrates that there are many etching pits on the surface. The grain boundaries did not appear noticeably, but a noticeable number of the etching pits are formed (Figure 1b–f). It can be seen that the resulting etching pits are not randomly distributed, but rather are located along the zones—light and dark areas of the surface. The shape of the etching pits corresponds to a cubic face-centered structure of Pt (Figure 1f). The square base of the etching pits is bounded by octahedra and, in the first approximation, it can be considered to be Pt(111).

Figure 1.
SEM images of the working (pc)Pt electrode of a general view (a) and two sections of the surface (b–d) and (e,f) with WD = 7.5 mm (a–d) and WD = 6.0 mm (e,f) at different magnifications: 1000× (a); 10,000× (b); 30,000× (c); 50,000× (d,e) and 100,000× (f).
Let us consider Figure 1d. We estimated the total number of etching pits with sizes ~26–260 nm. Figure 2 shows the distribution of pits by their size.
Figure 2.
The distribution of the pits by their size for Figure 1d.
We then determined the total surface area shown in Figure 1d, estimated the total surface area related to the etching pits in question, and estimated their contribution to the total surface area of the platinum in question. It turned out that, on the considered surface area, the total area increases by ~10%. Thus, the contribution of defects to the total surface area of polycrystalline platinum is quite significant.
It is obvious that the distribution of defects may be different at other areas of the (pc) Pt surface, and the number of defects may differ both up and down. The appearance of etching pits can be caused by both the influence of etching of the electrode in Aqua regia and influence of chemisorbed rCO2. Based on the obtained SEM data, it is impossible to clearly identify the effect of adsorbed rCO2 on the surface morphology of Pt. This task will require further research and it was not a part of the presented work.
3.2. Electrochemical Oxidation of rCO2 under Potentiodynamic Conditions
Figure 3a shows the anode branches of CVA curves in water saturated with CO2 in the potential region of 0.03–1.5 V.
Figure 3.
Anode branches of cyclic voltammograms (CVA) curves (a) in water saturated with CO2 after the delay of potentials E in Volts (the number of curve): black line: 0. 03 (1); red line: 0.05 (2); green line: 0.08 (3); blue line: 0.130 (4); cyan line: 0.180 (5); magenta line: 0.200 (6); dark yellow line: 0.230 (7); purple line: 0.280 (8); wine line: 0.330 (9); olive line: 0.380 (10); orange line: 0.430 (11); violet line: 0.480 (12). Dotted black line (13): anode branch of CVA curve in 1.95 × 10−4 M HClO4 solution after a delay of the initial potential of 0.03 V. Scan rate 0.01 Vs−1. (b) The diffractogram for (pc)Pt electrode.
The cathodic branches of the obtained CVA curves coincide and they are not presented here. After the E = 0.03 V delay, the oxidation of a small amount of molecular H2 formed at this potential at the initial stage of the hydrogen evolution reaction is observed, in addition to the Had oxidation. In the Had desorption potentials region 0.05–0.35 V (Figure 3a) after the corresponding E delays, one can see the desorption peaks of Had appearing on the anode curves and corresponding to the oxidation of residual Had remaining on the (pc)Pt- surface after the formation of chemisorbed rCO2. The Pt(111) face is maximally inert with respect to CO2 adsorption and, consequently, the formation of rCO2 on this face is difficult, according to T. Iwasita [48]. It can be seen, from the diffractogram obtained by the XRD method for the (pc)Pt electrode (Figure 3b), that the Pt(111) facet contribution is significant. Therefore, there is a sufficient number of sites on the surface of the (pc)Pt electrode that are not available for the formation of rCO2, but are available for the adsorption of Had, which is consistent with the data of Figure 3a. The complete oxidation potential of rCO2, according to Figure 3a, is equal to ~0.88 V. A significant width of the oxidation peaks of rCO2 (up to ~0.4 V) may indicate the energy heterogeneity of the Pt surface.
The CVA curves for rCO2 oxidation are close to CVA that was obtained earlier in the works of B.I. Podlovchenko, T. Ivasita [35,49], and other researchers [34] in background solutions of various acids without the strong anion adsorption, but at lower pH values. Therefore, the pH values in our measurements did not fundamentally affect the shape and position of the oxidation peaks of rCO2 on CVA, and the energy of the process in a wide range of acidic pH values is close. Obviously, in a saturated solution of H2CO3, it is impossible to obtain a background curve to estimate the surface coverage of Had, because dissolved gaseous CO2 is always present. Therefore, a model “background” system 1.95 × 10−4 M HClO4 was chosen in order to assess the surface coverages (see the method section). Figure 3a shows the anode branch of the CVA curve, which is recorded in the 1.95 × 10−4 M HClO4 solution after a delay of the initial potential of 0.03 V (as shown with the dotted line).
Double oxidation peaks are observed on some CVA curves (Figure 3a). The delay on the CVA curves that were recorded from the potential values of 0.23 and 0.28 V corresponding to the region of medium coverages is manifested as the presence of the double rCO2 oxidation peaks in the transition region in the vicinity of 0.6 V. The peak doubling is weakly manifested on the potentiodynamic curves that were obtained after the E delays in the region of high coverages (<0.23 V) (Figure 3a). However, after differentiating these curves (Figure 4), it is possible to see that there are also small delays near 0.6 V. The electrochemical oxidation of Had and rCO2 obeys the exponential dependence of I versus E, the parts of which are linearized in the region of the desorption potentials of Had and oxidation of rCO2 in the lgI, E coordinates.
Figure 4.
Anode branches of CVA curves in dI/dE scale after the delay of potentials (E in Volts). Black line: 0.03; red line: 0.05; green line: 0.08; blue line: 0.13; cyan line: 0.18; magenta line: 0.20. Scan rate 0.01 Vs−1.
Figure 5 presents the Tafel dependence of the slopes for the rCO2 oxidation (R = 0.995) for the CVA curve that was obtained after a delay of 0.08 V. It is evident that the slope equals 0.099 V in the region of potentials 0.5–0.6 V, thereafter the slope increases and reaches 0.165 V in the 0.6–0.7 V range.
Figure 5.
Tafel plots (black line) for the anodic CVA part of rCO2 oxidation in water saturated with CO2 after the delay of E = 0.08 V (green circles).
The Tafel dependences were obtained at nonstationary conditions. However, the rCO2 oxidation dynamics is obviously markedly different after passing the critical value of 0.6 V. A number of papers have discussed the reasons for the existence of the maxima during CO oxidation [28], but the unambiguous cause of this effect has not been determined. Two oxidation regions are usually considered: the regions of 0.35–0.6 V (R.H.E.) before the oxidation peak [50,51,52,53] and from 0.6 V to higher potentials [54,55,56,57,58]. The authors [57] suggested, on the basis of differential electrochemical mass spectrometry data, that the changes of the Tafel slope at the variation of the scan speed are caused by the changes in the degree of the Pt surface coverage by OH particles and not by different CO oxidation mechanisms. A more detailed discussion of the oxidation mechanism is presented in the Discussion section. Thus, the obtained differences in the slopes of the Tafel dependences at 0.6 V qualitatively coincide with the literature data.
On the basis of the data that were obtained from oxidation peaks, the dependences , E were plotted (Figure 6a). The dependences for the residual Had desorption (Figure 6b) are linearized in the coordinates lnQ,E, which corresponds in the first approximation to the Temkin isotherm of the Had adsorption on Pt.
Figure 6.
Charges (a) Qox of the oxidation: magenta triangles: ; blue circles: ; blue rings: . Charges (b) of the Had oxidation in the presence of rCO2 in ln, E scale.
It can be seen from Figure 6a that there is a transition region of values in the region of potentials 0.180–0.200 V. In the potentials range <0.180 V, reaches the limit value. The estimate of the adsorbed amount of rCO2 in the range of high coverages gives the value of ~3 µg (~0.1 µM), assuming that the main product of the CO2 recovery is CO. Taking the amount of electricity consumed to oxidize the residual Had into account, the total surface coverage of rCO2 is equal to ~0.7 ± 0.05 of the monolayer. This value is consistent with the literature data for Pt [34]. If we assume that the main components in rCO2 are chemisorbed molecules of COads, which exist in the bridged (b) and/or in the linear (l) forms bound to (pc)Pt, and also make the correction for the Sr surface that is occupied by residual adsorbed hydrogen (the final value of Sr equals ~0.54 cm2 in this case), then we can write the ratio to determine the contributions of the currents that correspond to these two different forms of chemisorbed CO in the total oxidation current of rCO2 for the case of the mixed forms of COad interacting with Pt atoms on the surface of the pcPt electrode that are not occupied by Had:
where θСО(l) is the monolayer fraction of COads in the linear form, θco(b) is the monolayer fraction of COads in the bridged form, and Qox is the amount of electricity that is required for the oxidation of the COads monolayer. The assessment of the contributions of each form of chemisorbed carbon monoxide molecules into Qox showed that, in the case of high coverages at the potentials 0.03–0.230 V, the fraction of CO(l) is between ~0.71 (0.230 V) and 0.84 (0.180 V) of the monolayer capacity, i.e., the COads mainly exists in the linear form. In the case of the medium coverages (0.280 V), the fraction of CO(l) decreases markedly and reaches the value of 0.3 of the overall capacity of the monolayer. In the region of low coverages, the fraction of CO(l) generally takes negative values, which is meaningless from a physical point of view, if we consider the COads adsorption on the surface of the (pc)Pt electrode as a monolayer. This may mean that, in addition to COads, there may be other particles in the l– and/or b-forms, for instance, triple-bonded bridged CO, that are not taken into account in (1). Indeed, three forms of COads were recorded by the in-situ FTIRS method on a (pc)Pt electrode in a 0.5 M H2SO4 solution saturated with CO2, with the absorption band at 1991 cm−1 corresponding to COads(l), which at 1854 cm−1 assigned to multi-linked COads and the band at 1878 cm−1 attributed to COads(b) [49]. The obtained data correspond to the data for particles that were adsorbed from the gas phase. In an 0.5 M HClO4 solution, COOH and COH particles were also observed [49]. The COads(l), COads(b) and CO in the multi-linked form, as well as COH and HCOO species were detected in other studies [48,59] on Pt. The possible chemical composition of rCO2 on the Pt surface is discussed and described in detail [34], namely: CO, COOH, CHO, COH, C(OH)2, (H, CO2, H2O) according to the data of various methods of surface characterization. Currently, the net rCO2 oxidation reaction is described, as follows [34]:
420•θСО(l) + 210• θСО(b) = Qox [μC/cm2],
θСО(l) + θСО(b) = 1,
MnCOxHy + (2 − x)H2O → CO2 + (4 − 2x + y)[H+ + ē] + nM
Some preliminary information regarding the nature of the adsorbate can be obtained from the analysis of the value of eps (electron per site) as the number of electrons involved in the oxidation of the adsorbate accommodated at one site at the surface:
eps = (4 − 2x + y)/n
According to the equation that was proposed by Tokarz [60]:
where is the amount of electricity that is required to oxidize rCO2, the difference between the amount of electricity consumed in the oxidation of Had in the absence and in the presence of rCO2, and is the surface fraction covered by Had. The calculations by Equation (5) on the basis of Figure 6 allowed for us to estimate the eps values that are given in Table 1.
Table 1.
Determination of eps in the CO2–H2O system on the (pc)Pt electrode according to the data presented in Figure 4.
According to the data that are presented in Table 1, the eps values are within 1.99–1.4 for the range of high coverages (0.03–0.18 V). In the range of medium age (0.23–0.28 V), the eps values are varying within 1.33–0.98 and they decrease to 0.59–0.26 in the range of low coverages (0.33–0.38 V). In this case, according to the data (Figure 5 in the publication [34]), the formation of PtСO particles can be expected on the surface of (pc)Pt in the range of high coverages, whereas Pt2CO, PtCOOH can be formed at medium coverages and Pt3COH and Pt3CO species in the region of low coverages. These species were observed [49] by FTIRS in other electrolytes. In this case, the electrochemical reduction of CO2 on Pt can be expected in accordance with the following net reactions [34] for СO(l) (n = 1), CO(b) (n = 2) and CO in the multi-bonded form:
for СOOH:
and for СOH:
CO2 + 2Pt + 2H+ + 2ē → PtnCO + H2O + (2 − n)Pt,
CO2 + Pt + H+ + ē → PtCOOH
CO2 + 3Pt + 3H+ + 3 ē → Pt3COH + H2O
The final answer to the question of what is the nature of the particles together with COads could be included in the rCO2 forms in our experimental conditions should be given by using other, non-electrochemical, spectroscopic methods that are applied for the study of the Pt surface in a saturated solution of carbonic acid. The obtained eps values (Table 1) are consistent with the eps values that were earlier obtained for Pt [61].
At the values of potentials E in the vicinity of 0.200 V, there is a transition from medium to high coverages of rCO2, where some increase in the amount of electricity spent for oxidation of rCO2 is observed (Figure 6a). The “anomalous” increase in the initial rate of COads formation from CO2 on Pt(110), Pt(331) and Pt(221) surfaces of Pt electrodes was found at the adsorption potential of 0.2 V (R.H.E) in an 0.1 M HClO4 solution [1]. The phenomenon of a sharp transition from medium to high coverages during the adsorption of CO from the gas phase at 310 K for the work function change of 200 mV was observed at Pt(100) [62]. These effects can probably be explained not only in terms of the influence of the Pt surface structure [1], but also by the influence of the electronic structure of Pt with respect to chemisorbed CO [63]. By using in situ SFG spectroscopy, the authors identified this critical region of CO chemisorption potentials and showed that there is a maximum resonance effect between the Fermi electron level of a Pt electrode with an anti-bonding 5σa orbital of chemisorbed CO in the vicinity of E = 0.2 V. Thus, the binding energy between COad molecules and Pt surface is maximal in this region of E values.
Thus, the electrochemical data that were obtained by us in a moderately acidic solution of saturated H2СO3 are in good agreement with the previously obtained data for the region of low pH values in the absence of specific adsorption. This allowed for us to refer the investigated system to the classical electrochemical system and proceed further to the catalytic measurements on the oxidation of adsorbates on the (pc)Pt electrode under galvanostatic and open-circuit conditions of measurements in the studied solution.
3.3. Oxidation of rCO2 under Galvanostatic and Open-Circuit Conditions
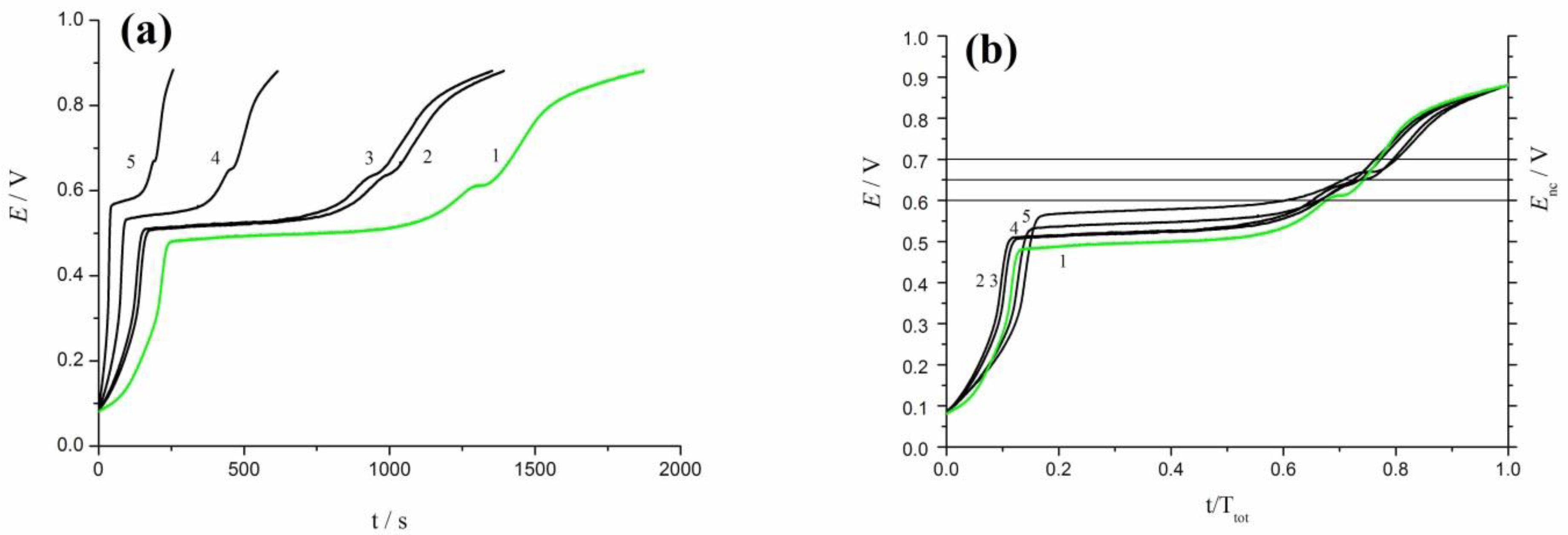
Figure 7a depicts a number of galvanostatic potentiometric oxidation curves (curves 2–5) recorded after the accumulation of rCO2 at E = 0.08 V under conditions of small currents (0.101–1.189 µA).
Figure 7.
(a) Transient of non-current potential (green lines) (1) and galvanostatic potentiometric curves (black lines) at set DC (μA): (2)—0.101; (3)—0.161; (4)—0.437; and, (5)—1.189, in water saturated with CO2 solution after rCO2 accumulation at E = 0.08 V. (b) Corrected transients of non-current potential (green line) (1) and galvanostatic potentiometric curves (black lines) at set DC (μA): (2)—0.101; (3)—0.161; (4)—0.437; and, (5)—1.189, in water saturated with CO2 solution after rCO2 accumulation at E = 0.08 V in E,t/Ttot scale.
The chosen potential value corresponded to the value E providing high surface coverages, whereas hydrogen was present in the adsorbed form Had. The shape of the curves qualitatively coincides with the corresponding curves that were obtained earlier by Breiter [32]. The proximity of curves 2 and 3 is obviously due to small differences in the values of the external current. As the value of the set current increases, the time to reach the oxidation potential of rCO2 decreases, and the delay potential in the vicinity of 0.6 V shifts to the region of more positive potential values.
Figure 8a presents Enc,t-curves in the H2CO3 saturated solution. The selected values of the accumulation potentials corresponded to the region of high, medium, and low coverages of rCO2. The general view of the obtained transients is qualitatively similar to the galvanostatic chronopotentiometric curves presented in Figure 7a. However, the total time that is necessary to reach the oxidation potential of rCO2 on Pt in the reported electrochemical galvanostatic conditions was substantially less than in our-open circuit conditions.

Figure 8.
(a) Transients of non-current potential in water saturated with CO2 after the delay of potentials E in Volts (the number of curve): black line: 0. 03 (1); green line: 0.08 (2); blue line: 0.130 (3); cyan line: 0.180 (4); magenta line: 0.200 (5); dark yellow line: 0.230 (6); purple line: 0.280 (7); wine line: 0.330 (8); and, olive line: 0.380 (9). (b) Corrected transients of non-current potential by the shift each of the curves (Figure 8a) on the t-axis at the corresponding times of achievement of their initial individual values of the starting potentials on the curve registered from 0.03 V. (c) Corrected transients of non-current potential by the shift each of the curves (Figure 8A) on the t-axis by the value Δt to reach the complete oxidation potential of rCO2. (d) Normalized corrected curve (Figure 8c) for the individual total Ttot time to reach the Enc potential of complete oxidation of rCO2.
When correcting the obtained curves (Figure 7a) for the total time that is required for reaching the oxidation potential (~0.88 V) (Figure 8b), one can see that the curve 1 (Figure 7a) recorded under open-circuit conditions from 0.08 V is close to the curves obtained under galvanostatic conditions at the lowest current values (0.1 and 0.16 µA, curves 2, 3 in Figure 7a).
In this case, the slopes of the curves that were obtained under different measurement conditions are close to each other. At larger values of the set anode currents, the difference between curves 4, 5 and curve 1 (Figure 7b) is more pronounced. Figure 8a demonstrates that the initial part of the curves in the potential region <0.35 V corresponds to the oxidation of residual Had species, and the curve then reaches a plateau that corresponds to the potential region of DEL. A similar course of the dependence is observed for curves 2, 3 (Figure 7a). At E~0.48–0.5 V, the oxidation of rCO2 begins to manifest, a small potential delay is observed in the vicinity of E ≈ 0.6 V, after which the oxidation of rCO2 continues. The potential delay on galvanostatic potentiometric curves (curves 2, 3 Figure 7a) is slightly shifted by ~0.025 V to the region of higher anode potential values. Adsorption of OHad on Pt occurs at potentials above 0.6 V [64,65]. The comparison with the data of [64,65] is correct, because the potential scale used in our work (the pH value of the solution in the vessel of the comparison electrode is close to the pH value of the working electrolyte, with no specific adsorption of anions) does not differ very much from the potential scale of the reversible hydrogen electrode used in [64,65]. The final part of the transient at E > 0.85 corresponds to the oxygen adsorption region (according to Figure 3a) [64,65]. The curves that were recorded from 0.03 and 0.05 V in Figure 8a are characterized by a long initial period due to the oxidation of residual Had and a small amount of molecular H2 that formed in electrochemical conditions during the accumulation of rCO2 at E located in the region of the potentials of the initial part of the hydrogen evolution reaction (according to Figure 3a). We will see that the corrected initial experimental curves are divided into groups if we shift each of the resulting curves in Figure 8a to the right on the t-axis at the corresponding times of achievement of their initial individual values of the starting potentials on the curve registered from 0.03 V (Figure 8b). The obtained transients are almost identical for accumulated forms of rCO2 in the potentials region of high coverages. For oxidation curves of the rCO2 forms that accumulated at potentials in the region of medium and low coverages, the time necessary to reach the full oxidation potential of rCO2 is markedly reduced. The time that is required for reaching the complete oxidation potential of the chemisorbed substance (at a constant concentration of an oxidant in the solution) is determined by the adsorbate amount on the Pt surface. Therefore, obviously, in the case of high coverages, when the amounts of oxidizable substances are close (Figure 6a), the Enc, t-curves should coincide. Additionally, then, in the region of low and medium coverages of rCO2 (Figure 6a), the achievement time of the complete oxidation potential (Figure 8b) should be decreased. If we shift the original curves (Figure 8a) on the t axis to the right by the value Δt to reach the complete oxidation potential of rCO2 (Figure 8c), then we will see that the slopes of the sections of the curves in the oxidation region of rCO2 coincide. However, if we will normalize each corrected curve (Figure 8c) for the individual total Ttot time to reach the Enc potential of complete oxidation of rCO2, then all of the thus obtained corrected Enc,t-dependences practically coincide in the region of oxidation potentials of rCO2 (Figure 8d). This means that the mechanism of catalytic oxidation of rCO2 is the same, regardless of the selected initial values of the accumulation potentials. The previous stage of oxidation of the residual Had does not affect the mechanism of the subsequent stage of oxidation of rCO2 in the general oxidation process, and these processes are separated in the time scale.
Figure 9a–c show anamorphoses (anamorphosis is a coordinate transformation that provides piecewise linear approximations of empirical data and allows one to determine the system of critical points where the process mechanism is changed; this approach is widely used in the nomography [27]) for the transient of the non-current potential, which was recorded from the starting value 0.08 V in the lnEnc, t (Figure 9a) and Enc, log(t/Ttot) (the part of transient) (Figure 9b) scale, respectively, and Figure 9c shows the part of this transient in the dE/dt,t scale. It can be seen that the obtained curve is described by linear sections of slopes, which differ sharply for the Had and rCO2 (Figure 9a) oxidation stages. In the case of the oxidation stage of rCO2, the logarithmic slopes also differ in the potentials regions <0.6 V and >0.6 V (Figure 9a) and they are equal to 0.00085 and 0.00141, respectively. Additionally, in the case of the oxidation stage of rCO2, the slopes of curves clearly differ in the potentials regions <0.6 V and >0.6 V (Figure 9b,c).
Figure 9.
(a) Anamorphoses for the transient of the non-current potential, which was recorded from the starting value 0.08 V on Figure 6a in the lnEnc, t scale (a) and parts of this transient in Enc, log(t/Ttot) (b) and the dE/dt,t (c) scales.
This means that the process rate decreases in the region >0.6 V, as in the case of electrochemical measurement under potentiodynamic, galvanostatic as open-circuit conditions (Figure 5, Figure 7 and Figure 8). It can be assumed that the change in the slope of the straight lines is due to the participation of some new limiting processes in the rCO2 oxidation reaction at E > 0.6 V, in particular, the participation of adsorbed oxygen forms in the rCO2 oxidation, as it has been already mentioned above. This will be discussed in more detail in the Discussion section.
3.4. Oscillation Effects in Oxidation of rCO2
The analysis of the I,E, E,t, and Enc,t curves revealed oscillations for all of the experimental curves presented in Figure 3a, Figure 7a and Figure 8a correspondingly. As an example, the only transient of the potential is presented in Figure 10a–c, which is registered from the starting potential 0.08 V under open-circuit conditions with some separate parts shown in Figure 10a–c. This paper does not consider a detailed analysis of the observed effects.
Figure 10.
(a–c) Different parts of the transient of the non-current potential, which was recorded from the starting value 0.08 V on Figure 8a.
The application of mathematical analysis in [27] for the ROH oxidation to the revealed fine oscillations allowed one, for the first time (a), to detect differential characteristics of the processes, such as the locations of critical points at the boundaries of consecutive stages, linear trends for each separate stage, and corresponding slopes and (b) to find the maximum level of reliability upon the data transformations into a linear form and characteristic almost-periods for each of the identified reaction stages. On the basis of the latter, it became possible to determine three consecutive stages of the catalytic oxidation process for CH3OH and two consecutive stages for C2H5OH, n-C3H7OH, n-C4H9OH, and n-C5H11OH with individual oscillations for each of the stages under open-circuit conditions. Furthermore, such a mathematical approach made it possible to separate slow and fast processes, and to propose a general dynamic model of oxidation of alcohol homologs by adsorbed oxygen (it was problematic [20] to obtain more detailed information regarding the chemistry of the alcohol oxidation process, for example, by differentiating the experimental smooth Enc, t -dependences, since the oscillations for different sites were inhomogeneous, and there were no correct criteria for differentiation).
It is seen (Figure 10a–c) that the values of the oscillation periods are close to each other for the whole curve in the entire potential range, and the oscillations are uniform. The total number of complete near-periods (the near-period τ is the value closest to the period at which the value of the shift function—Johnson function [66] a(τ)—takes minimum values [27]) is equal to 11 for all selected parts with a time interval of 100 s. The durations of the near-periods are equal to ~8.5 s (0.118 Hz) and ~0.4 s (2.5 Hz) in the entire region of potentials for investigated compounds, and they are obtained by the trend elimination while using the shift function in accordance with literature data [27]. The obtained values of near-periods are the same for all the transients presented in Figure 8a and they do not depend on the starting value of the potential.
We carried out similar measurements using the standard equivalent of the electrochemical cell (Dummy cell) for the potentiostat–galvanostat Autolab in order to exclude the possible influence of the measuring device on the oscillations in the experimental system. It turned out that the oscillations that were recorded for the Dummy cell differed dramatically from the oscillations that were obtained upon rCO2 oxidation. In contrast to catalytic measurements, only high-frequency oscillations were recorded with the Dummy cell, which significantly differed in the shape from the oscillations in the studied system on (pc)Pt. To exclude the possible influence of mechanical vibrations inside the laboratory room, we carried out measurements while using a triaxial seismometer Anchar-Geo. It turned out that the microseismic background in the laboratory and on the laboratory table corresponded to normal laboratory conditions. The overwhelming component in this background was the stable presence of constant vibrations of a small level, in the range of approximately tenths of a micron at a frequency of about 16–17 Hz. These vibrations are caused by the asynchronous electric motors of the ventilation system of the entire building and usually do not cause problems. As to the electrochemical cell under study, these vibrations do not influence in any way and there are no electrical vibrations with this frequency. At frequencies that are below 11 Hz, no specific fluctuations are observed in the microseismic background and its spectrum has the appearance of white noise of a sufficiently low level. Therefore, there was no reason to believe that these weak mechanical vibrations, which have a random noise character, can be the cause of the observed electrical oscillations in the electrochemical cell, which have a strictly regular character in this frequency range. This allowed for us to conclude that the recorded oscillations for the curves presented in Figure 10 mainly responded to electrocatalytic and catalytic processes occurring on the surface of (pc)Pt and they were not related to the device interference and mechanical vibrations.
The homogeneity of the obtained oscillations (Figure 10a–c) is markedly different from the inhomogeneity of oscillations for the case of oxidation of ROH by adsorbed oxygen on Pt under open-circuit conditions [27]. This means that the stages of the process in the oxidation of adsorbed particles as different in nature as Had and rCO2 are not manifested in the case of homogeneous oscillations. Therefore, it can be assumed that the observed homogeneous oscillations (Figure 10) have a self-oscillatory nature and can be caused, for example, by concentration fluctuations of the oxidizer located in the volume of the solution in the near-electrode layer and do not depend on the concentration and nature of adsorbates with reducing properties, i.e., Had or rCO2.
4. Discussion
The analysis of transients of the non-current potential, galvanostatic potentiometric curves, and anodic branches of the CVA curves for the oxidation of rCO2 revealed the fundamental common feature of energy characteristics of the rCO2 oxidation on the (pc)Pt electrode under open-circuit (catalytic measurements) and electrochemical conditions, i.e., at a small speed sweep of potentials in potentiodynamic measurements and small values of the specified currents in galvanostatic measurements.
Currently, two main interpretations are used when discussing the mechanisms of the electrochemical oxidation of rCO2: either H2O [34,61] or OH• [67,68,69] is considered as an oxidant. According to the publication [28], when considering the mechanism of oxidation of COads with the participation of OHads, it was noted that the nature of these particles is not clear.
Two conjugate processes are observed during the oxidation of Had and rCO2 on the surface of the Pt electrode under the conditions of electrochemical and catalytic measurements in an aqueous solution: on the one hand, this is the oxidation of these adsorbed substances and, on the other hand, the reduction of dissolved oxygen. Correlating the kinetics of the rCO2 oxidation process with the kinetics of the conjugate ORR under open-chain conditions is not an easy task, since, a priori, we do not know what are the kinetics of the conjugate reduction of dissolved O2 under open-circuit conditions. The kinetics of ORR on Pt has not yet been fully studied and is debatable; in particular, it is not known under what conditions the complete reduction of molecular O2 to H2O occurs with the participation of four electrons, and under what conditions the process ends at the stage of formation of H2O2 with the participation of two electrons. On the part of the Pt surface that is free from rCO2, processes of electrochemical reduction of soluble O2 may be described by the following net reaction at low pH values [70,71,72,73]:
O2 + 4H+ + 4e → 2H2O
As is known, the O2 reduction is a multi-stage process, with one of them being the formation of H2O2 [70,71]. In acidic solutions, this reaction can take the following form (first stage) by the following net reaction:
O2 + 2H+ + 2e → H2O2 E0 = +0.713 В (N.H.E.)
Because the simultaneous participation of two electrons is unlikely, the reaction can be considered in the first stage:
O2 + e → O2−
In acidic solutions, the further fate of H2O2 may be related to the electrochemical reduction of hydrogen peroxide (second stage) by the following net reaction:
and/or its catalytic net decomposition:
H2O2 + 2H+ + 2e → 2H2O E0 = +1.744 В (N.H.E.)
2H2O2 → O2 + 2H2O
It is known that the catalytic decomposition of hydrogen peroxide can proceed by a chain mechanism with the formation of OH• [71]. The influence of defects of the Pt surface significantly accelerates the process of decomposition on a smooth Pt surface, as shown by W. Spring in the XIX century.
The addition of the first electron is the first stage of hydrogen peroxide reduction [70].
H2O2 + e → OH• + OH−
Currently, a number of researchers believe that the difficult oxygen reduction reaction (ORR) proceeds with the formation of an adsorbed radical OOH• [74,75,76,77], in agreement with the following reactions:
Pt + O2 → Pt (O2)ads
Pt (O2)ads + H+ + e− → Pt (OOH)ads
In a bifurcation mechanism, it is assumed that the adsorbed OOH• species is an intermediate that is capable of producing H2O2 or H2O [78]. Therefore, the process of О2 reduction may include either two or four electrons in an acidic media on Pt(111) at potential in the region of hydrogen adsorption [79]. A possibility of reduction of adsorbed OOH• to H2O2 followed by the catalytic decomposition of peroxide Оads and OH has also been considered [80]. An even more complicated mechanism that occurs at low concentrations of oxygen in solutions has been proposed [81]:
O2 + Pt − H2O → Pt − OH + OOH•
Pt + OOH• + H+ + e− → Pt − H2O2
Pt + Pt − H2O2 → 2Pt − OH
3 × (Pt − OH + H+ + e− → Pt + H2O)
Thus, the mechanism of oxygen reduction on Pt is presently disputable and not established. However, one may see that H2O2 is one of the key products produced in the course of ORR. The presence of hydrogen peroxide in a constant concentration in water depends significantly on pH of the solution. According to Schumb et al. [82], H2O2 is most stable in aqueous solutions at pH 4.0, which is close to the value of pH 3.85 in the studied electrolyte.
It is known [70,71,72,73] that the extent of oxidation of the Pt surface exerts a significant influence on the kinetics of the first (reaction 10) and second (reaction 12, 13) stage. The pre-oxidation of the electrode results in a decrease of the rate of O2 reduction to H2O2 (reaction 10), as oxygen is mainly reduced at the sites that are free of oxides. For acidic solutions, it has been shown that the H2O2 yield on the reduced Pt surface increases by 70–90%. Under the conditions of our experiment, the concentration of dissolved oxygen is low (see Experimental). In this case, it can be expected that the oxygen reduction process should proceed under conditions of a latent limiting diffusion current. Therefore, in the conjugate reduction reaction of O2, as we assume, the process of its reduction is only completed at the stage of addition of two electrons. This is due to the fact that oxygen reduction products participate in rCO2 oxidation and they are removed from the O2 reduction reaction zone. The oxygen reduction process takes place under quasi-equilibrium conditions on the part of the Pt surface that is free from adsorbed rCO2.
Electrochemical and non-electrochemical reactions in the H2O2-CO system on a Pt electrode were studied in 2M H2SO4 with cyclic voltammetry and on-line mass spectrometry [83]. It was found that the complete CO monolayer is chemically stable in the presence of dissolved H2O2. However, H2O2 oxidizes adsorbed CO to CO2 at lower potentials than those that are required for the electrochemical COads oxidation when the Pt electrode is partially covered by CO. It was observed that the complete CO monolayer on Pt inhibits the electrochemical reduction of H2O2 to H2O in the CO-containing solution. It has been proposed [83] that the non-electrochemical hydrogen peroxide decomposition proceeds in the vacancies of the COads adlayer. In studying the preparation of Pt deposits that are included in the Nafion films on glassy carbon, it was shown that hydrogen peroxide oxidizes chemisorbed CO on Pt. Up to 70% of COads can be removed with peroxide, depending on the concentration of hydrogen peroxide [84]. The pre-ignition region of the peak oxidation of COads in the region E = 0.36–0.6 V that is associated with the oxidation of CO on defect sites of Pt is discussed in the literature on the oxidation of COads. The nature of the defect sites is not clear for this reaction and it is still being discussed [28]. A significant number of pcPt surface defects in the form of etching pits (Figure 1b–f) having a significant contribution to the total surface area of Pt, but not to the rCO2 formation on Pt(111) can be a real source of active oxidant particles involved in oxidation in the vicinity of the defects of chemisorbed rCO2. Under our conditions, the total surface coverage of rCO2 is equal to ~0.7 ± 0.05 of the monolayer only. Therefore, there are many sites for the H2O2 formation. It was shown [85] that a negative surface charge inhibits the hydrogen peroxide reduction on Pt(111); this inhibition is not related to hydrogen adsorption and the OHads particle favors the reduction of hydrogen peroxide. It is known that Pt(111) is most catalytically active with respect to oxygen reduction [8].
Under our conditions, the amount of H2O2 on the electrode surface may be equal to ~10−7–10−8 M, which is commensurable with the amount of adsorbed rCO2. For the stage (12, 13), the presence of oxides on the Pt surface may cause an accelerating effect by also providing catalytic decomposition of hydrogen peroxide. Thus, the oxidized areas of the Pt surface may also be a source of the active oxidizer (reaction 13). Hydrogen peroxide is formed in the entire range of oxygen reduction potentials. For the reaction of O2 reduction in acidic solutions, the change of the surface activity of a smooth Pt electrode under the influence of the anions adsorbed can be observed. Accordingly, it is known that the potential of the half-wave reduction of O2 is shifted to the region to lower values of potentials in the following order of acids: HClO4 < H2SO4 < HCl < HBr, i.e., as the specific adsorption of the anion increases [70]. This means that the half-wave potential of O2 reduction should be located at a high value of the anode potential under our conditions in the H2CO3 solution in the absence of the specific adsorption of , which is probably quite close to the half-wave potential in HClO4 of the same concentration. For the reduction of O2 under conditions that are close to stationary ones in the 0.5 M H2SO4 solution at positive potentials under oxidized electrode conditions, it was shown that the total reaction rate is determined by the rate of hydrogen peroxide formation. On the other hand, when the potential is shifted to the region of lower values on the reduced Pt electrode, the rate of H2O2 reduction determines the overall reaction rate [70] and then OH• will be able to form (reaction 14).
The next question is what are other species that can be a source of hydroxyl radicals in the system under consideration? According to [86], after the active bubbling of air through water after collapsing microbubbles in the absence of dynamic stimulus, the authors found the presence of OH• in the solution volume. The electron paramagnetic resonance method was used with 5,5-dimethyl-1-pyrroline-N-oxide (DMPO) as a spin trap reagent in order to identify the radicals. The formation of reactive oxygen species was observed when water was irradiated with visible, infrared light and with a cavitation collapse [87]. It was shown that additional free energy can be accumulated in the form of surface tension in air nanobubbles (bubble stabilized by ions) [88,89]. According to [90], all the values of the ζ-potential were negative, and absolute values were in the range between 34–45 mV (O2), 17–20 mV (air), 29–35 mV (N2), 20–27 mV (CO2), and 11–22 mV (Xe). Therefore, it is possible to expect the electrophoresis phenomenon of bubbles to the parts of the Pt surface. The potential fluctuations that are observed by us when registering transients (Figure 10a–c) can qualitatively reflect the picture of interaction of Pt with dissolved CO2 and O2 bubbles, during which local resistances of surface areas can change [22,23,24]. It becomes obvious that, in the future, it is necessary to consider the dynamics of the behavior of CO2 bubbles in the electrolyte under consideration in accordance with the methods that were proposed by Bunkin et al. [30,37,88,89]. Finally, when obtaining ultra-pure water (see Methods), it was irradiated with ultraviolet light. This could also lead to the formation of reactive oxygen forms in water, in particular, the formation of OH•. The question as to what extent these factors can affect the oxidation of rCO2 in our conditions will require a separate research.
When considering the mechanisms of rCO2 oxidation on the surface of the (pc)Pt electrode, it is necessary to identify particles that may be considered as candidates for the role of an oxidant under open-circuit and electrochemical conditions. By using electrochemical and catalytic methods, it is a serious problem to determine a number of the particles that are capable of acting as an oxidizer for rCO2, because the lifetime of such particles is small, and the time of the product and chemical bond formation in molecules is equal to ~10−13–10−14 s in the volume of solutions [91]. Voltammetry experiments in the presence of spin traps on Pt and C electrodes allowed for one to detect OH• during the H2O2 oxidation. Under these conditions, the hydroperoxide radical OOH• was not detected [92]. These results identify the hydroxyl radical as a key species responsible for the oxidation of H2O2 in both carbon and platinum electrode substrates. At present, interactions with OHads particles, in particular, OH− anions and/or OH• radicals, are considered during the oxidation of COads in an aqueous medium, as well as with adsorbed atomic O if the reaction proceeds in the gas phase [32]. Formally, the role of the oxidant in an aqueous medium can be played by dissolved O2, which is present in the soluble state mainly in the molecular form in the concentration that was estimated by us (see the Methods section), adsorbed particles as atomic oxygen O, OH− anion, radicals, such as O2− or OH• and H2O itself. We compared the anion OHads (aOH) and radical OH (rOH) as potential oxidizing particles in the rCO2 oxidation reaction using DFT calculations.
We have attempted to identify the possible candidates for the role of oxidants using the DFT calculation of the simplest magic platinum cluster Pt13 [41,42,43,44,45,46,47]. It is obvious that this simplest Pt model has a number of disadvantages, which make this cluster a very rough approximation of the actual experimental system. One of the disadvantages of the model, for example, is the lack of a rigid cluster framework and its very small size. However, it is known that the surface platinum atoms have fairly high mobility. On the other hand, it is known that COads at the surface of Pt exists in the form of two-dimensional islands that represent surface clusters [93,94], whereas the reaction of CO oxidation occurs in agreement with the Langmuir–Hinshelwood mechanism at the border of these islands. Consequently, the oxidation process takes place in an extremely narrow reaction zone. Therefore, the choice of cluster models for an analysis of the mechanism of rCO2 oxidation on Pt may be reasonable. We only used this model to obtain an estimate of the effects and only in the first approximation. This task needs to be solved in the future for more complex systems that require more serious computational resources.
Accordingly, to analyze the electrostatic component with the goal of determining the probability of interaction of the linear form of COads with OHads species on Pt, DFT calculations were performed and the charge distribution on the COads molecules with adsorbed OH− and OH• on the 13-atom Pt cluster were determined as a first step; Table 2 presents the results.
Table 2.
Natural charges in systems Pt13(CO)n, rOH-Pt13-(CO)n and aOH-Pt13-(CO)n, rOH-Pt13-(COH), aOH-Pt13-(COH), rOH-Pt13-(COOH), aOH-Pt13-(COOH).
It can be seen that the charge separation is observed on Pt13 and the adsorbed substrates in the systems under consideration. It can be seen from these data (Table 2) that the natural charge on Pt13 acquires an increasingly negative value as the number of adsorbed molecules COads on Pt increases. The composition of rCO2 is represented by COads. From electrochemical data, it is known that the potential of zero total charge will be shifted to the region of higher anode potential values during the adsorption of CO on the Pt surface and may even be unattainable under electrochemical conditions due to the oxidation of chemisorbed COads on Pt [10,11,13,95]. Under electrochemical conditions, the adsorption of cations will prevail in terms of electrostatic interaction, and anions will be removed to the outer layer of the DEL on the Pt surface covered rCO2.
A different pattern is observed in the presence of an OH• radical on the Pt surface (Table 2). In this case, Pt13 carries a significant positive surface charge, while the adsorbed ОН• species has a negative charge. In terms of electrostatic interaction, such a system can be expected to be more stable. It can also be expected that, in the presence of adsorbed OH•, the probability of the interaction of COads with OH• will be increased. The COads molecule remains practically as an electroneutral particle for all types of systems under consideration with a different number of CO molecules (Table 2), and it does not fundamentally affect the charge distribution on Pt and OHads. From the electrostatic point of view, it can also be seen that in the systems rOH-Pt13-(COH), aOH-Pt13-(COH), rOH-Pt13-(COOH), and aOH-Pt13-(COOH), complexes are most stable in the presence of the adsorbed OH• species. The DFT calculations have confirmed that Pt3COH is the most preferred form of bonding between the adsorbed COH radical and Pt surface. The Pt3COH complex is significantly more stable than the PtCOH complex by ~30 kcal/mol.
In the specified experimental conditions, a part of the (pc)Pt surface sites is free of rCO2 (Figure 3a,b). Let us assume that these are mainly the surface sites with the orientation Pt(111) according to Figure 1 and Figure 3b (the factor of roughness is small, see the Methods section). Subsequently, in this case, the potential of the zero total charge for these sites at the surface can be considered separately, while referring it to Pt(111). The application of this approach is reasonably considered in the publication [96]. The potential of the zero total charge (p.z.t.c.) on Pt(111) in a solution of HClO4 at pH 3.1 is 0.46 V (R. H. E.), both in the presence and absence of CO2 in the solution [97]. The same value corresponds to the potential of zero free charge. When the pH value changes from 1.98 to 3.1 (ΔpH is equal to 1.12), the change in the potential of the zero full charge is about 40 mV, then in our case (pH 3.85) compared to pH 3.1 (ΔpH is equal to 0.75) [97] the change in the potential of the zero full charge will be less than 40 mV. Therefore, under the conditions of the above measurements, the potential of the zero total charge will be in the range E = 0.46–0.5 V (0.48 ± 0.02 V). Subsequently, at potentials >0.48 V, the adsorption of anions (OH−, CO32−) on Pt(111) will begin to increase. According to the data that are presented in Figure 3a, Figure 7a and Figure 8a, the rCO2 oxidation begins in the region of 0.45–0.48 V and it clearly increases at a potential >0.5 V, i.e., in the vicinity of the Pt(111) p.z.t.c., and continues at more anodic E values. This allowed for us to proceed to the analysis to identify the possible candidates for the role of oxidants for rCO2, while taking into account the possible participation of OH-particles adsorbed on the surface of the (pc)Pt electrode.
We assume that the particles exist in their main unexcited states under our experimental conditions on the surface of the Pt electrode. This assumption may be supported, for example, by the fact that ~5–6 eV is required for the conversion of the CO molecules to an excited state, which is unlikely under the conditions of our measurements. The diamagnetic diatomic moieties under consideration will have the following configurations: СО (X1∑), CO2 (X1∑), OH• (X2∏), OH− (X1∑+), and O2 (X3∑−g); whereas, the monoatomic species can be represented as O (X3P), H(2S), and triatomic molecule—as H2O (X1A1) [98].
Under open-circuit conditions, in the case of oxidation, a periodic process is observed (Figure 10b). In gas-phase catalysis, the mechanism of alternating reduction–surface oxidation (the Mars–Van Krevelen mechanism) is known. If the hydrogen concentration is excessive and the surface coverage of Pt with oxygen is low, then hydrogen in the atomic form is involved in the reaction with adsorbed oxygen. The formation of water is preceded by the intermediate formation of adsorbed OH groups, which, upon further interaction with hydrogen, turn into water in the singlet state (X1A1). At the experimental conditions under consideration, such interactions may lead to periodic local changes of the local resistances on the electrode surface sections, leading to oscillations recorded in the current–voltage dependences, which is observed in Figure 10 [22,23,24]. The following reactions involving the Had and COad adsorbed species are possible in the region of hydrogen adsorption potentials and reduction of O2 for the case of an open circuit:
Had + OH• → Н2О
Under open-circuit conditions, the following surface reactions for adsorbed particles involving intermediates may be assumed:
this reaction (23) is followed by reaction (22). Formally, it is possible to record the oxidation reaction of COads with the participation of an adsorbed particle OH−:
СОads + ОHads• → СOOHads• + ОHads• → CO2 + H2O
COHads • + OHads• → С(OH)2ads• → COads + H2O
СОads + ОHads− → CO2 + H+ + 2e
However, the transfer of two electrons in one elementary act in an open circuit is less likely in reaction 24. This may indicate the course of the reaction (13), rather than the anodic oxidation of COads via the interaction with the OHads anion. The possible electrostatic repulsion of OH− anions from the part of the surface of the (pc)Pt electrode with rCO2, as was shown above, reduces the probability of the interaction of the COads species with the adsorbed OH− anion. Therefore, we assume that, under open-circuit conditions, OHads− cannot be considered to be an oxidant in the direct oxidation reaction of rCO2.
Thus, based on the above reasoning, we assume that the oxidation of Had and rCO2 preferably proceeds under open-circuit conditions by a radical mechanism, which is a rapid process. The recovery of dissolved molecular oxygen is the slow stage. The quantum chemical calculations were carried out to confirm or reject our working hypothesis. The two-stage reaction 22 is the key stage of the rCO2 oxidation reaction (reaction 23 proceeds via COads formation followed by reaction 22).
The quantum-chemical calculations (the potential energy surface, PES) of the reaction 22 carried out for the case of the spontaneous reaction in isobaric-isothermal conditions demonstrated that the obtained energy parameters of the process (Table 3 and Table 4) with OH• are more optimal for reaction 22 than with OH− for the same reaction. The quantum-chemical calculations shown in Table 3 were not performed on the two adjacent Pt atoms (O-Pt-Pt-O), but on two Pt atoms with another Pt atom in between (O-Pt-Pt-Pt-O). This was connected with the steric hindrances.
Table 3.
The results of quantum-chemical calculations of the potential energy surface (PES) for reaction 22 with radical OH (rOH) and OHads (aOH) in the gas phase.
Table 4.
The results of quantum-chemical calculations of the PES for reaction 22 with rOH and aOH in aqua media.
It can be seen (Table 3 and Table 4) that, in both the gas phase and aqueous medium, the reaction 22 with the participation of OH• is more preferable than with the participation of OH−, since it is less energy-intensive (column ΔG). The energy gain is ~5–10 kcal/mol (~0.25–0.5 eV). The obtained ΔG values (Table 3) correlate well with the experimental chemisorption energies of CO, where the binding energy of COads with Pt (100) from the gas phase at θ > 0.5 varies within 26.5 ± 2.5 kcal/mol [99]. For comparison, the quantum-chemical calculations were performed for the reaction
СОads + ОHads• → СOOHads• → CO2 + H.
It turned out that, in this case, the reaction is difficult to proceed for energy reasons, because the values ΔG are positive at all stages of the process.
Thus, the preliminary and tentative quantum-chemical calculations that were carried out on Pt13 as a first step of theoretical solutions of rCO2 oxidation confirm our assumptions regarding the radical mechanism of the oxidation process of rCO2 on Pt under open-circuit conditions.
Under electrochemical conditions, according to Noguchi [100], the number of adsorbed OHads particles on the Pt surface is small in the region of DES potentials. The H2O adsorption on the surface of the Pt electrode was studied in situ by SFR in the 0.1 M HClO4 solution in a wide range of potentials (0.05–1.3 V (R. H. E.)) [100]. The authors observed the formation of OHads species on Pt. Their concentration varied markedly, depending on the imposed external potential. The SFG dependences exhibited a U-shape in the region of potentials 0.05–0.8 V. The minimum intensity of the SFG signal was observed in the region of the DEL potentials (~0.4 V), the maximum value of the SFG signal was reached at ~0.8 V, whereas a decrease in the intensity of the SFG signal was observed at higher potential values. The considered region of oxidation potentials of OHads on Pt [100] corresponds to the oxidation region of rCO2, i.e., at potentials that are much more positive than the potentials of the adsorption–desorption region of Had. Glucose oxidation on Pt electrodes in acidic solutions was studied under electrochemical conditions [101]. The oxidation rate of organic molecules at potentials <0.7 V (R. H. E.) was determined by the interaction with OHads formed by the oxidation reaction of OH− to OHads. On Au electrodes in alkaline solutions, the adsorption of OH− can be accompanied by the formation of OH• [102]. When discussing the mechanisms of the electrochemical oxidation of rCO2, OH• is considered to be an oxidant [67,68,69].
The reaction (23) in the potentials region of the Had adsorption is possible for the Had oxidation under electrochemical conditions of measurements (Figure 1a and Figure 5a). However, obviously, the greatest contribution will be made by the other reaction:
because the affinity of the proton to the electron is maximal, the surface concentration of electrons on Pt is much higher than the concentration of OHads• radicals, and the electron is the fastest active particle.
Had → H+ + ē
It should be noted that the oxidation of aOH to rOH in the volume of an aqueous solution under normal conditions is thermodynamically unprofitable [103] and at T = 298.15 K is +110–+123 kcal/mol. The reason for this is the high hydration energy of aOH. At the same time, the hydration energy of rOH is negligible, i.e., it is a very weakly hydrated particle [103]. The dehydration energy of the adsorbed OH− is ~ +40 kcal/mol, according to our preliminary calculations for Pt13. There is a hope that the oxidation of aOH to rOH is still possible on Pt according to the reaction:
OHads− − ē → OHads•
The formation of OHads• under electrochemical conditions is also possible on the Pt surface by chain reactions (13) and (14).
The quantum-chemical calculations showed that, in the considered model complexes (Table 2), the vertical ionization potentials of OHads are equal to: in aOH-Pt13 3.40 eV (78.3 kcal/mol)); aOH-Pt13(CO)1 3.55 eV (81.80 kcal/mol); aOH-Pt13(CO)2 3.69 eV (85.01 kcal/mol); aOH-Pt13(CO)3 3.83 eV (88.23 kcal/mol); and, aOH-Pt13(CO)4 4.09 eV (94.21 kcal/mol). Taking the reference hydration energy of OH− species (−109.975 kcal/mol) into account, we obtained the following ionization potentials of the OHads− oxidation ΔG: aOH-Pt13 −1.375 eV(−31.675 kcal/mol); aOH-Pt13(CO)1 −1.223eV(−28.175 kcal/mol); aOH-Pt13(CO)2 −1.084eV(−24.969 kcal/mol); aOH-Pt13(CO)3 −0.944 eV (−21.745 kcal/mol); and, aOH-Pt13(CO)4 −0.684 eV(−15.765 kcal/mol). It follows from the obtained data that, as the number of COads increases, the oxidation potential of OHads− in accordance with the reaction (26) decreases. Similar calculations were also performed while taking into account the influence of the presence of water in the system on the Pt13 cluster. According to the calculated data for Pt13, the ΔG values for the oxidation of adsorbed OH− demonstrate a linear trend in units of V presented as the E, NCO dependence (Figure 11, curves 1,2), where NCO is the number of COads molecules in the linear form on the Pt13 cluster. It is clearly seen that, when extrapolated to the formal value n = 5–10, the oxidation potential is located in the vicinity of 0.5 eV, which correlates with experimental data on the oxidation of rCO2 on (pc)Pt under electrochemical conditions in potentiodynamic and galvanostatic measurements (Figure 3a and Figure 7a).
Figure 11.
Potentials of the anion oxidation, depending the number of CO on the cluster Pt13 (1) and while taking the influence of water at solutions (2) into account.
Under electrochemical conditions of the measurements, the rCO2 oxidation will proceed by reactions 22 and 23 as follows:
this reaction is followed by reaction (27).
СOадс + OHads• → COOHads• + OHads• → СО2 + H2O − ē
COHads• + OHads•→ С(OH)2ads• → COads + H2O − ē,
The electrochemical mechanism (reactions 26, 27, 28) of rCO2 oxidation can be based on the mechanism proposed in the literature and presented in the form of a ladder-matrix scheme [28].
When moving from the pre-ignition region to the region of higher anode potential values under electrochemical conditions, the slopes change on the Tafel (Figure 5) dependences and on the dependences at Figure 9a–c, because the deceleration of the oxidation process takes place. We assume that the slope 0.099 V of Tafel dependences is defined by the electrochemical stage of the electron transfer according to the reaction 26, followed by a rapid step according to the reaction 27 and/or 28 in the pre-ignition region. This process takes place in the vicinity of the islands of the platinum surface that is covered with chemisorbed rCO2. As already noted above, there were no changes in the frequency of oscillations of the current and potential values (Figure 10). Consequently, no new oxidizing particles were detected in the near-electrode layer of Pt, the resulting intermediates do not pass into the volume of the solution, which is consistent with spectroscopic data. Therefore, we can also assume that no change of the mechanism of the rCO2 oxidation reaction occurs upon passing the potential >0.6 V. As to the change of the slope on the Tafel dependences (Figure 6) and anamorphoses (Figure 9a–c), it results from the new limiting surface reactions: H2O → OHads + H+ + ē occurring in the presence of chemisorption forms of rСО2 with the subsequent formation of radicals OHads• according to reaction 26 at the potentials over 0.6 V, which can lead to a noticeable deceleration of the oxidation process of rСО2. This conclusion is consistent with the conclusion that was drawn earlier [57]. Under the considered electrochemical conditions and in open-circuit conditions, H2O acts as a precursor in the formation of the active form of OHad on the Pt surface and it is not as an oxidizer.
It is known that, depending on the chosen basis set in quantum-chemical model calculations (the density functional theory), the electron can be either delocalized or localized [104] on the particle. Therefore, the results of the calculations may differ and, in the future, when considering quantum-chemical models that describe our system, it will be necessary to take this factor into account.
5. Conclusions
The electrochemical data that were obtained by us for a saturated aqueous solution of CO2 + H2CO3 are in good agreement with the results obtained earlier for electrolytes with low pH values in solutions that do not contain specifically adsorbed anions on the surface of (pc)Pt. The measurements revealed a correlation between the oxidation of rCO2 under electrochemical and open-circuit conditions of measurements. The correspondence in the energy parameters of the oxidation process of rCO2 under open-circuit conditions and electrochemical conditions is shown. Periodic oscillations are revealed at the oxidation of Had and rCO2 on (pc)Pt. The possibility of the formation of a radical particle as an intermediate due to the radical oxidation mechanism of rCO2 is considered in the framework of our consideration. Preliminary quantum-chemical calculations on Pt13 confirm this assumption. OH• species was chosen as the most likely candidate for the role of the oxidant. The optimal PES for the main reaction СОads + ОHads• → СOOHads• + ОHads• → CO2 + H2O is revealed. It is shown that radical particles can be involved in a radical mechanism, being a fast stage of reactions. The ionization potentials of OHads− oxidation are revealed, which confirms the conclusion regarding the radical mechanism of the rCO2 oxidation. The precursor of OHads• radicals in electrochemical conditions can be at potentials in the vicinity of 0.5–0.6 V, and also H2O at more anodic values of potentials. In this case, neither nor H2O are oxidants and they do not participate in the elementary act of the reaction. In open-circuit conditions, the precursor is mainly hydrogen peroxide, which is formed from dissolved oxygen during its reduction. It is assumed that under electrochemical conditions as a slow stage of the rCO2 oxidation is the oxidation of with a formation of OHads•. As a slow stage in open-circuit conditions, it is proposed to consider the accumulation of an oxidant during the reduction of molecular oxygen on the surface of Pt. Under our conditions, the accumulation of the oxidant is based on the periodic nature of the process.
It is important to note that the electrochemical processes of CO2 reduction and rCO2 oxidation should be considered to be conjunct processes occurring via similar transitions states and intermediates [105,106,107,108]. Therefore, the solution of the problem of rCO2 oxidation may help to develop efficient ways for the CO2 electrochemical reduction. The method of the thorough purification of the electrolyte from dissolved oxygen impurities using ultra-pure He allows us to more accurately control the impurities of the dissolved oxygen and analyze the kinetics of the oxidation on smooth electrodes. The proposed method will allow for us to create sensors for small concentrations of the dissolved oxygen. On the other hand, the use of small H2O2 additives in the fuels of fuel cells may favorably affect the solution of the first problem of the fuel cell—the poisoning of the catalyst surface with fuel chemisorption products.
Author Contributions
A.V.S.—Methodology, Investigation; Writing—original draft preparation, A.F.G.—Vizualization, Formal analysis, M.N.M.—Software, Data curation, Validation, L.M.K.—Conceptualization, Supervision, Writing—Editing. All authors have read and agreed to the published version of the manuscript.
Funding
The reported study was funded in the part related to the materials preparation by Russian Science Foundation, project number 20-63-46013, and in the part related to materials electrochemical studies by the Ministry of Science and Higher Education of the Russian Federation in the framework of Increase Competitiveness Program of NUST «MISiS» (No. K1–2015–045).
Institutional Review Board Statement
Not applicable.
Informed Consent Statement
Not applicable.
Data Availability Statement
Not applicable.
Acknowledgments
The authors thank K. Kalmykov (Chemistry Department of Moscow State University) for SEM measurements, V. Kuzmin (MIREA) and S. Vasiliev (Chemistry Department of Moscow State University) for valuable comments and discussion.
Conflicts of Interest
There is no conflict to declare.
References
- Hori, Y. Electrochemical CO2 Reduction on Metal Electrodes. Modern Aspects of Electrochemistry; Springer Inc.: New York, NY, USA, 2008; pp. 89–189. [Google Scholar]
- Gómez-Marín, A.M.; Feliu, J.M. Oxygen reduction at platinum electrodes: The interplay between surface and surroundings properties. Curr. Opin. Electrochem. 2018, 9, 166–172. [Google Scholar] [CrossRef]
- Briega-Martos, V.; Herrero, E.; Feliu, J.M. Pt(hkl) surface charge and reactivity. Curr. Opin. Electrochem. 2019, 17, 97–105. [Google Scholar] [CrossRef]
- Malara, A.; Leonardi, S.G.; Bonavita, A.; Fazio, E.; Stelitano, S.; Neri, G.; Neri, F.; Santangelo, S. Origin of the different behavior of some platinum decorated nanocarbons towards the electrochemical oxidation of hydrogen peroxide. Mater. Chem. Phys. 2016, 184, 269–278. [Google Scholar] [CrossRef]
- Chen, Y.; Li, Q.; Jiang, H.; Wang, X. Pt modified carbon fiber microelectrode for electrochemically catalytic reduction of hydrogen peroxide and its application in living cell H2O2 detection. J. Electroanal. Chem. 2016, 781, 233–237. [Google Scholar] [CrossRef]
- Zheng, Y.; Chen, W.; Zuo, X.-Q.; Cai, J.; Chen, Y.-X. The kinetics of the oxidation and reduction of H2O2 at a Pt electrode: A differential electrochemical mass spectrometric study. Electrochem. Commun. 2016, 73, 38–41. [Google Scholar] [CrossRef]
- Sitta, E.; Da Silva, K.N.; Feliu, J.M. Hydrogen Peroxide Oxidation/Reduction Reaction on Platinum Surfaces. In Encyclopedia of Interfacial Chemistry: Surface Science and Electrochemistry; Wandelt, K., Ed.; Elsevier Inc.: Amsterdam, The Netherlands, 2018; Volume 5.2, pp. 682–689. [Google Scholar]
- Gómez-Marín, A.M.; Feliu, J.M. Oxygen Reduction on Platinum Single Crystal Electrodes. In Encyclopedia of Interfacial Chemistry: Surface Science Electrochemistry; Wandelt, K., Ed.; Elsevier Inc.: Amsterdam, The Netherlands, 2018; Volume 5.2, pp. 820–830. [Google Scholar]
- Conway, B.E. Some theoretical problems in electrocatalysis with charge transfer. J. Molec. Catal. 1989, 54, 353–369. [Google Scholar] [CrossRef]
- Podlovchenko, B.I.; Gladysheva, T.D. Adsorption and electrooxidation of carbon monoxide on platinized platinum at low anodic potentials. Russ. J. Electrochem. 1998, 34, 256–262. [Google Scholar]
- Smolin, A.V.; Podlovchenko, B.I. Electrochemical behavior of carbon monoxide on electrolytic deposits of palladium in sulfuric acid solutions. Russ. J. Electrochem. 1998, 34, 263–270. [Google Scholar]
- Podlovchenko, B.I.; Gladysheva, T.D.; Smolin, A.V. Transients of current at the adsorption of carbon monoxide on platinum and palladium electrodes. Mendeleev Commun. 1999, 3, 97–99. [Google Scholar] [CrossRef]
- Podlovchenko, B.I. Interrelation between transients of current and open-circuit potential during adsorption of neutral particles. Russ. J. Electrochem. 2000, 36, 821–824. [Google Scholar]
- Frumkin, A.N.; Petrii, O.A.; Damaskin, B.B. Potentials of zero charge. In Comprehensive Treatise of Electrochemistry; Bocris, J.O.M., Conway, B.E., Yeager, E., Eds.; Plenum Press: New York, NY, USA; London, UK, 1980; Volume 1, pp. 221–289. [Google Scholar]
- Frumkin, A.N.; Petrii, O.A. The Dependence of Free Surface Energy of Platinum Electrode on Solution Potential and Composition. Dokl. Akad. Nauk Sssr 1971, 196, 1387–1390. [Google Scholar]
- Manzhos, R.A.; Podlovchenko, B.I.; Maksimov, Y.M. Interaction of HCO-substances with adsorbed oxygen on platinum electrodes open-circuit transient reactions of HCOOH and CO. Electrochim. Acta 2005, 50, 4807–4813. [Google Scholar]
- Manzhos, R.A.; Podlovchenko, B.I.; Maksimov, Y.M. Kinetics and mechanism of interaction between methanol and adsorbed oxygen on a smooth polycrystalline platinum electrode: Transients of the open-circuit potential. Russ. J. Electrochem. 2006, 42, 1061–1066. [Google Scholar]
- Manzhos, R.A.; Podlovchenko, B.I.; Maksimov, Y.M. Special features of methanol interaction with adsorbed oxygen at platinized platinum electrode: Transients of the open-circuit potential. Russ. J. Electrochem. 2007, 43, 1268–1272. [Google Scholar] [CrossRef]
- Podlovchenko, B.I.; Smolin, A.V.; Maksimov, Y.M. Formaldehyde interaction with adsorbed oxygen on open-circuit platinum electrodes in aqueous sulfuric acid solutions. Russ. J. Electrochem. 2009, 45, 246–251. [Google Scholar]
- Smolin, A.V.; Podlovchenko, B.I. The Effect of Hydrocarbon Chain Length in Normal Aliphatic Alcohols on Their Reaction with Oxygen Adsorbed on Polycrystalline Platinum Electrode. Russ. J. Electrochem. 2010, 46, 367–373. [Google Scholar] [CrossRef]
- Sakong, S.; Gross, A. Methanol Oxidation on Pt(111) from First-Principles in Heterogeneous and Electrocatalysis. Electrocatalysis 2017, 8, 577–586. [Google Scholar] [CrossRef]
- Malkhandi, S.; Bauer, P.R.; Bonnefont, A.; Krischer, K. Mechanistic aspects of oscillations during CO electrooxidation on Pt in the presence of anions: Experiments and simulations. Catal. Today 2013, 202, 144–153. [Google Scholar] [CrossRef]
- Orlik, M. Self-Organization in Electrochemical Systems I-II; Springer: Berlin/Heidelberg, Germany, 2012. [Google Scholar]
- Machado, E.G.; Varela, H. Kinetic Instabilities in Electrocatalysis. In Encyclopedia of Interfacial Chemistry: Surface Science and Electrochemistry; Wandelt, K., Ed.; Elsevier Inc.: Amsterdam, The Netherlands, 2018; Volume 5.2, pp. 701–718. [Google Scholar]
- Makeev, A.G.; Slinko, M.M.; Luss, D. Mathematical modeling of oscillating CO oxidation on Pt-group metals at near atmospheric pressure: Activity of metallic and oxidized surfaces. Appl. Catal. A Gen. 2019, 571, 127–136. [Google Scholar] [CrossRef]
- Kim, M.; Bertram, M.; Pollmann, M.; Von Oertzen, A.; Mikhailov, A.S.; Rotermund, H.H.; Ertl, G. Controlling chemical turbulence by global delayed feedback: Pattern formation in catalytic CO oxidation on Pt(110). Science 2001, 292, 1357–1360. [Google Scholar] [CrossRef] [PubMed]
- Kuzmin, V.I.; Tytik, D.L.; Gadzaov, A.F.; Abaturov, M.A.; Belashchenko, S.A.; Busev, D.K.; Kasatkin, V.E.; Smolin, A.V.; Tsetlin, V.V. Discreteness and Continuity in the Properties of Physical-Chemical Systems; Kuzmin, V.I., Tytik, D.L., Gadzaov, A.F., Eds.; FIZMATLIT: Moscow, Russia, 2014; p. 176. Available online: https://www.rfbr.ru/rffi/ru/books/o_1915369 (accessed on 31 December 2020).
- Petrii, O.A. The progress in understanding the mechanisms of methanol and formic acid electrooxidation on platinum group metals (Review). Russ. J. Electrochem. 2019, 55, 1–33. [Google Scholar] [CrossRef]
- Camara, G.A.; Iwasita, T. Parallel pathways of ethanol oxidation: The effect of ethanol concentration. J. Electroanal. Chem. 2005, 578, 315–321. [Google Scholar] [CrossRef]
- Bunkin, N.F.; Ninham, B.W.; Babenko, V.A.; Suyazov, N.V.; Sychev, A.A. Role of Dissolved Gas in Optical Breakdown of Water: Differences between Effects Due to Helium and Other Gases. J. Phys. Chem. B 2010, 114, 7743–7752. [Google Scholar] [CrossRef] [PubMed]
- Giner, J. Electrochemical reduction of co2 on platinum electrodes in acid solutions. Electrochim. Acta 1963, 8, 857–865. [Google Scholar] [CrossRef]
- Breiter, M.W. On the nature of reduced carbon dioxide. Electrochim. Acta 1967, 12, 1213–1218. [Google Scholar] [CrossRef]
- Vassiliev, Y.B.; Bagotzky, V.S.; Osetrova, N.V.; Mikhailova, A.A. Electroreduction of carbon dioxide part iii. adsorption and reduction of co2, on platlnum metals. J. Electroanal. Chem. Interfacial Electrochem. 1985, 189, 311–324. [Google Scholar] [CrossRef]
- Łukaszewski, M.; Siwek, H.; Czerwiński, A. Electrosorption of carbon dioxide on platinum group metals and alloys—A review. J. Solid. State Electrochem. 2009, 13, 813–827. [Google Scholar] [CrossRef]
- Podlovchenko, B.I.; Stenin, V.F.; Ekibaeva, A.A. On the influence of the solution composition upon the carbon dioxide chemisorption on a platinized platinum electrode. Sov. Electrochem. 1968, 4, 1374–1378. [Google Scholar]
- Vasina, S.Y.; Petry, O.A. Perchlorate anions adsorption on platinum and rhodium electrodes. Sov. Electrochem. 1970, 6, 242–246. [Google Scholar]
- Bunkin, N.F.; Yurchenko, S.O.; Suyazov, N.V.; Shkirin, A.V. Structure of the nanobubble clusters of dissolved air in liquid media. J. Biol. Phys. 2012, 38, 121–152. [Google Scholar] [CrossRef]
- Heinze, J. Ultramicroelectrodes in Electrochemistry. Angew. Chem. Int. Ed. Engl. 1993, 32, 1268–1288. [Google Scholar] [CrossRef]
- Wilhelm, E.; Battino, R.; Wilcock, R.J. Low-Pressure Solubility of Gases in Liquid Water. Chemical. Rev. 1977, 77, 219–262. [Google Scholar] [CrossRef]
- Palmer, D.A.; Eldik, R.V. The chemistry of metal carbonato and carbon dioxide complexes. Chem. Rev. 1983, 83, 651–731. [Google Scholar] [CrossRef]
- Becke, A.D. Density-functional thermochemistry. III. The role of exact exchange. J. Chem. Phys. 1993, 98, 5648–5652. [Google Scholar] [CrossRef]
- Lee, C.; Yang, W.; Parr, R. Development of the Colle-Salvetti Correlation-Energy Formula into a Functional of the Electron Density. J. Phys. Rev. B 1988, 37, 785–789. [Google Scholar] [CrossRef] [PubMed]
- Vosko, S.H.; Wilk, L.; Nusair, M. Accurate spin-dependent electron liquid correlation energies for local spin density calculations: A critical analysis. Can. J. Phys. 1980, 58, 1200–1211. [Google Scholar] [CrossRef]
- Stevens, W.J.; Krauss, M.; Basch, H.; Jasien, P.G. Relativistic compact effective potentials and efficient, shared-exponent basis sets for the third-, fourth-, and fifth-row atoms. Can. J. Chem. 1992, 70, 612–630. [Google Scholar] [CrossRef]
- Schmidt, M.W.; Baldridge, K.K.; Boatz, J.A.; Elbert, S.T.; Gordon, M.S.; Jensen, J.J.; Koseki, S.; Matsunaga, K.A.; Nguyen, S.S.; Windus, T.L.; et al. General atomic and molecular electronic structure system. J. Comput. Chem. 1993, 14, 1347–1363. [Google Scholar] [CrossRef]
- Granovsky, A.A. Firefly, Version 8. Available online: www http://classic.chem.msu.su/gran/firefly/index.html (accessed on 31 December 2020).
- Glendening, E.D.; Badenhoop, J.K.; Reed, A.E.; Carpenter, J.E.; Bohmann, J.A.; Morales, C.M.; Weinhold, F. NBO 5.9; Theoretical Chemistry Institute, University of Wisconsin: Madison, WI, USA, 2012. [Google Scholar]
- Rodes, A.; Pastor, E.; Iwasita, T. Structural effects on CO2 reduction at Pt single-crystal electrodes. Part 2. Pt(111) and vicinal surfaces in the [Oī1] zone. J. Electroanal. Chem. 1994, 373, 167–175. [Google Scholar] [CrossRef]
- Iwasita, T.; Nart, F.C.; Lopez, B.; Vielstich, W. On the study of adsorbed species at platinum from methanol, formic acid and reduced carbon dioxide via in situ ft-ir spectroscopy. Electrochim. Acta 1992, 37, 2361–2367. [Google Scholar] [CrossRef]
- Markovic, N.M.; Ross, P.N. Surface science studies of model fuel cell electrocatalysts. Surf. Sci. Rep. 2002, 45, 117–229. [Google Scholar] [CrossRef]
- Mayrhofer, K.J.J.; Arenz, M.; Blizanak, B.; Stamenkovich, V.; Ross, P.N.; Markovic, N.M. CO surface electrochemistry on Pt-nanoparticles: A selective review. Electrochim. Acta 2005, 50, 5144–5154. [Google Scholar] [CrossRef]
- Cuesta, A. The oxidation of adsorbed CO on Pt(100) electrodes in the pre-peak region. Electrocatalysis 2010, 1, 7–18. [Google Scholar] [CrossRef]
- Cuesta, A. Electrooxidation of C1 organic molecules on Pt electrodes. Curr. Opin. Electrochem. 2017, 4, 32–38. [Google Scholar] [CrossRef]
- Brimaud, S.; Pronier, S.; Contanceau, C.; Leger, J.M. New findings on CO electrooxidation at platinum nanoparticle surfaces. Electrochem. Commun. 2008, 10, 1703–1707. [Google Scholar] [CrossRef]
- Urchada, P.; Baranton, S.; Coutanceau, C.; Jerkiewicz, G. Electro-oxidation of COchem on Pt Nanosurfaces: Solution of the Peak Multiplicity Puzzle. Langmuir 2012, 28, 3658–3663. [Google Scholar] [CrossRef] [PubMed]
- Wang, H.; Jusus, Z.; Behm, R.J.; Abruna, H.D. New Insights into the Mechanism and Kinetics of Adsorbed CO Electrooxidation on Platinum: Online Mass Spectrometry and Kinetic Monte Carlo Simulation Studies. J. Phys. Chem. C 2012, 116, 11040–11053. [Google Scholar] [CrossRef]
- Wang, H.; Abruna, H.D. Origin of Multi-peaks in the Potentiodynamic Oxidation of CO Adlayers on Pt and Ru-modified Pt Electrodes. J. Phys. Chem. Lett. 2015, 6, 1899–1906. [Google Scholar] [CrossRef]
- Farias, M.J.S.; Buso-Rogero, C.; Vidal-Iglesias, F.J.; Solla-Gullon, J.; Camara, G.A.; Feliu, J.M. Mobility and Oxidation of Adsorbed CO on Shape-Controlled Pt Nanoparticles in Acidic Medium. Langmuir 2017, 33, 865–871. [Google Scholar] [CrossRef]
- Arevalo, M.C.; Gomis-Bas, C.; Hahn, F.; Beden, B.; Arevalo, A.; Arvia, A.J. A contribution to the mechanism of “reduced” co2 adsorbates electro-oxidation from combined spectroelectrochemical and voltammetric data. Electrochim. Acta 1994, 39, 793–799. [Google Scholar] [CrossRef]
- Tokarz, W.; Siwek, H.; Piela, P.; Czerwiński, A. Electro-oxidation of methanol on Pt-Rh alloys. Electrochim. Acta 2007, 52, 5565–5573. [Google Scholar] [CrossRef]
- Łukaszewski, M.; Czerwiński, A. Comparative EQCM study on electrooxidation of carbon oxides adsorption products on noble metals and their alloys. Polycrystalline Pd-based systems. J. Electroanal. Chem. 2007, 606, 117–133. [Google Scholar]
- Behm, R.J.; Thiel, P.A.; Norton, P.R.; Ertl, G. The interaction of CO and Pt(100). I. Mechanism of adsorption and Pt phase transition. J. Chem. Phys. 1983, 78, 7437–7447. [Google Scholar] [CrossRef]
- Yang, S.; Noguchi, H.; Uosaki, K. Broader energy distribution of CO adsorbed at polycrystalline Pt electrode in comparison with that at Pt(111) electrode in H2SO4 solution confirmed by potential dependent IR/visible double resonance sum frequency generation spectroscopy. Electrochim. Acta 2017, 235, 280–286. [Google Scholar] [CrossRef]
- Lykianycheva, V.I.; Bagotskii, V.S. Oxygen adsorption on smooth degassed platinum in electrolyte solutions. Dokl. Akad. Nauk SSSR 1964, 155, 160–163. [Google Scholar]
- Tikhomirova, V.I.; Lukyanychev, V.I.; Bagotsky, V.S. Oxygen-hydrogen peroxide equilibrium on outgassed platinum in the presence of oxygen traces. Sov. Electrochem. 1965, 1, 645–650. [Google Scholar]
- Johnson, M. Correlations of Cycles in Weather, Solar Activity, Geomagnetic Values and Planetary Configurations; Phillips and Van Orden: San Fransisco, CA, USA, 1944; p. 149. [Google Scholar]
- Martins, M.E. Electrochemical behaviour of carbon dioxide on platinum and rhodium. J. Argent. Chem. Soc. 2005, 93, 143–153. [Google Scholar]
- Baruzzi, A.M.; Leiva, E.P.M.; Giordano, M.C. The influence of solution composition on the kinetiks of “reduced” co2, electrooxidation at p0lycrystalllne platinum. J. Electroanal. Chem. Interfacial Electrochem. 1985, 189, 257–269. [Google Scholar] [CrossRef]
- Baruzzi, A.M.; Leiva, E.P.M.; Giordano, M.C. Complex kinetic behaviour of “reduced” CO2 electro-oxidation at Pt electrodes. J. Electroanal. Chem. Interfacial Electrochem. 1983, 158, 103–114. [Google Scholar]
- Bagotskii, V.S.; Nekrasov, L.N.; Shumilova, N.A. Electrochemical Reduction of Oxygen. Russ. Chem. Rev. (Uspekhi Khimii) 1965, 34, 717–730. [Google Scholar] [CrossRef]
- Noel, J.-M.; Latus, A.; Lagrost, C.; Volanschi, E.; Hapiot, P. Evidence for OH Radical Production during Electrocatalysis of Oxygen Reduction on Pt Surfaces: Consequences and Application. J. Am. Chem. Soc. 2012, 134, 2835–2841. [Google Scholar] [CrossRef]
- Chen, J.; Fang, L.; Luo, S.; Liu, Y.; Chen, S. Electrocatalytic O2 Reduction on Pt: Multiple Roles of Oxygenated Adsorbates, Nature of Active Sites and Origin of Overpotential. J. Phys. Chem. C 2017, 121, 6209–6217. [Google Scholar] [CrossRef]
- Gomez-Marín, A.M.; Feliu, J.M.; Ticianelli, E. Oxygen Reduction on Platinum Surfaces in Acid Media: Experimental Evidence of a CECE/DISP Initial Reaction Path. ACS Catal. 2019, 9, 2238–2251. [Google Scholar]
- Nørskov, J.K.; Rossmeisl, J.; Logadottir, A.; Lindqvist, L.; Kitchin, J.R.; Bligaard, T.; Jónsson, H. Origin of the Overpotential for Oxygen Reduction at a Fuel-Cell Cathode. J. Phys. Chem. B 2004, 108, 17886–17892. [Google Scholar] [CrossRef]
- Damjanovic, A.; Brusic, V. Electrode kinetics of oxygen reduction on oxide-free platinum electrodes. Electrochim. Acta 1967, 12, 615–628. [Google Scholar] [CrossRef]
- Jinnouchi, R.; Kodama, K.; Hatanaka, T.; Morimoto, Y. First principles based mean field model for oxygen reduction reaction. Phys. Chem. Chem. Phys. 2011, 13, 21070–21083. [Google Scholar] [CrossRef]
- Hansen, H.A.; Viswanathan, V.; Nørskov, J.K. Unifying Kinetic and Thermodynamic Analysis of 2 e− and 4 e− Reduction of Oxygen on Metal Surfaces. J. Phys. Chem. C 2014, 118, 6706–6718. [Google Scholar] [CrossRef]
- Staszak-Jirkovský, J.; Ahlberg, E.; Panas, I.; Schiffrin, D.J. The bifurcation point of the oxygen reduction reaction on Au–Pd nanoalloys. Faraday Discuss. 2016, 188, 257–278. [Google Scholar] [CrossRef]
- Gómez-Marín, A.M.; Rizo, R.; Feliu, J.M. Oxygen reduction reaction at Pt single crystals: A critical overview. Catal. Sci. Technol. 2014, 4, 1685–1698. [Google Scholar] [CrossRef]
- Ruvinskiy, P.S.; Bonnefont, A.; Pham-Huu, C.; Savinova, E.R. Using Ordered Carbon Nanomaterials for Shedding Light on the Mechanism of the Cathodic Oxygen Reduction Reaction. Langmuir 2011, 27, 9018–9027. [Google Scholar] [CrossRef]
- Gomez-Marin, A.M.; Feliu, J.M. New Insights into the Oxygen Reduction ReactionMechanism on Pt(111): A Detailed Electrochemical Study. Chemsuschem 2013, 6, 1091–1100. [Google Scholar] [CrossRef]
- Schumb, W.C.; Satterfield, C.N.; Wentworth, R.L. Hydrogen Peroxide; Reinold Publishing Corp.: New York, NY, USA; Chapman & Nall, Ltd.: London, UK, 1956; p. 579. [Google Scholar]
- Schmidt, V.M.; Rodriguez, J.L.; Pastor, E. The Influence of H2O2 on the Adsorption and Oxidation of CO on Pt Electrodes in Sulfuric Acid Solution. J. Electrochem. Soc. 2001, 148, A293–A298. [Google Scholar] [CrossRef]
- Martinez, S.; Zinola, F.; Planes, G.; Guillén-Villafuerte, O.; Rodríguez, J.L.; Pastor, E. The influence of hydrogen peroxide on carbon monoxide electrooxidation at Pt/C and Pt:Ru/C electrodes. J. Solid State Electrochem. 2007, 11, 1521–1529. [Google Scholar] [CrossRef]
- Briega-Martos, V.; Herrero, E.; Feliu, J.M. The inhibition of hydrogen peroxide reduction at low potentials on Pt(111): Hydrogen adsorption or interfacial charge? Electrochem. Commun. 2017, 85, 32–35. [Google Scholar] [CrossRef][Green Version]
- Takahashi, M.; Chiba, K.; Li, P. Free-Radical Generation from Collapsing Microbubbles in the Absence of a Dynamic Stimulus. J. Phys. Chem. B. 2007, 111, 1343–1347. [Google Scholar] [CrossRef] [PubMed]
- Gudkov, S.; Bruskov, V.; Astashev, M.; Chernikov, A.; Yaguzhinsky, L.; Zakharov, S. Oxygen Dependent Auto-Oscillations of Water Luminescence Triggered by the 1264 nm Radiation. J. Phys. Chem. B 2011, 115, 7693–7698. [Google Scholar] [CrossRef] [PubMed]
- Bunkin, N.F.; Shkirin, A.V.; Ignatiev, P.S.; Chaikov, L.L.; Burkhanov, I.S.; Starosvetskij, A.V. Nanobubble clusters of dissolve gas in aqueous solutions of electrolyte. I. Experimental proof. J. Chem. Phys. 2012, 137, 054706-1–054706-10. [Google Scholar]
- Bunkin, N.F.; Suyazov, N.V.; Shkirin, A.V.; Ignatiev, P.S.; Indukaev, K.V. Nanoscale structure of dissolved air bubbles in water as studied by measuring the elements of the scattering matrix. J. Chem. Phys. 2009, 130, 134308-1–134308-12. [Google Scholar] [CrossRef]
- Ushikubo, F.Y.; Enari, M.; Furukawa, T.; Nakagawa, R.; Makino, Y.; Kawagoe, Y.; Oshita, S. Zeta-potential of micro-and/or nano-bubbles in water formed by certain types of gases. Ifac Proc. Vol. 2010, 43, 283–288. [Google Scholar] [CrossRef]
- Buchachenko, A. Magneto–Biology and Medicine; Nova Science Publishers: New York, NY, USA, 2014; p. 225. [Google Scholar]
- Roberts, J.G.; Voinov, M.A.; Schmidt, A.C.; Smirnova, T.I.; Sombers, L.A. The Hydroxyl Radical is a Critical Intermediate in the Voltammetric Detection of Hydrogen Peroxide. J. Am. Chem. Soc. 2016, 138, 2516–2519. [Google Scholar] [CrossRef]
- Villegas, I.; Weaver, M.J. Carbon monoxide adlayer structures on platinum (111) electrodes: A synergy between insitu scanning tunneling microscopy and infrared spectroscopy. J. Chem. Phys. 1994, 101, 1648–1660. [Google Scholar] [CrossRef]
- Inukai, J.; Tryk, D.A.; Abe, T.; Wakisaka, M.; Uchida, H.; Watanabe, M. Direct STM Elucidation of the Effects of Atomic-Level Structure on Pt(111) Electrodes for Dissolved CO Oxidation. J. Am. Chem. Soc. 2013, 135, 1476–1490. [Google Scholar] [CrossRef] [PubMed]
- Podlovchenko, B.I.; Gladysheva, T.D.; Kolyadko, E.A. Experimental check-up of the relationship between transients of current and open circuit potential for strong adsorption of neutral species and ions on a hydrogen electrode. J. Electroanal. Chem. 2003, 552, 85–96. [Google Scholar] [CrossRef]
- Petrii, O.A. Zero Charge Potentials of Platinum Metals and Electron Work Functions (Review). Russ. J. Electrochem. 2013, 49, 401–422. [Google Scholar] [CrossRef]
- Martínez-Hincapié, R.; Berná, A.; Rodes, A.; Climent, V.; Feliu, J.M. Surface Acid−Base Properties of Anion-Adsorbed Species at Pt(111) Electrode Surfaces in Contact with CO2-Containing Perchloric Acid Solutions. J. Phys. Chem. C 2016, 120, 16191–16199. [Google Scholar] [CrossRef]
- Huber, K.P.; Herzberg, G. Molecular Spectra and Molecule Structure. IV. Constants of Diatomic Molecules; Van Nostrand Renhold Comp.: New York, NY, USA; Cincinnati, OH, USA; Atlanta, GA, USA; Dallas, TX, USA; San Francisco, CA, USA; London, UK; Toronto, ON, Canada; Melbourne, Australia, 1979. [Google Scholar]
- Thiel, P.A.; Behm, R.J.; Norton, P.R.; Ertl, G. The interaction of CO and Pt(100). II. Energetic and kinetic parameters. J. Chem. Phys. 1983, 78, 7448–7458. [Google Scholar] [CrossRef]
- Noguchi, H.; Okada, T.; Uosaki, K. SFG study on potential-dependent structure of water at Pt electrode/electrolyte solution interface. Electrochim. Acta 2008, 53, 6841–6844. [Google Scholar] [CrossRef]
- Vassilyev, Y.B.; Khazova, O.A.; Nikolaeva, N.N. Kinetics and mechanism of glucose electrooxidation on different electrode-catalysts. Part, I. Adsorption and oxidation on platinum. J. Electroanal. Chem. Interfacial Electrochem. 1985, 196, 105–125. [Google Scholar] [CrossRef]
- Vassilyev, Y.B.; Khazova, O.A.; Nikolaeva, N.N. Kinetics and mechanism of glucose electrooxidation on different electrode-catalysts part II. effect of the nature of the electrode and the electrooxidation mechanism. J. Electroanal. Chem. Interfacial Electrochem. 1985, 196, 127–144. [Google Scholar] [CrossRef]
- Lavrik, N.L.; Bazhin, N.M. On the Impossibility of OH Radical Formation from the Hydroxyl Ion in Water. Biophysics 2011, 56, 535–536. [Google Scholar] [CrossRef]
- Solans-Monfort, X.; Branchadell, V.; Sodupe, M.; Sierka, M.; Sauer, J. Electron hole formation in acidic zeolite catalysts. J. Chem. Phys. 2004, 121, 6034–6040. [Google Scholar] [CrossRef]
- Chen, H.; Handoko, A.D.; Xiao, J.; Feng, X.; Fan, Y.; Wang, T.; Legut, D.; Seh, Z.W.; Zhang, Q. Catalytic effect on CO2 electroreduction by hydroxyl terminated two-dimensional MXenes. ACS Appl. Mater. Interfaces 2019, 11, 36571–36579. [Google Scholar] [CrossRef] [PubMed]
- Handoko, A.D.; Khoo, K.H.; Tan, T.L.; Jin, H.; Seh, Z.W. Establishing new scaling relations on two-dimensional MXenes for CO2 electroreduction. J. Mater. Chem. A 2018, 6, 21885–21890. [Google Scholar] [CrossRef]
- Handoko, A.D.; Wei, F.; Yeo, B.S.; Seh, Z.W. Understanding heterogeneous electrocatalytic carbon dioxide reduction through operando techniques. Nat. Catal. 2018, 1, 922–934. [Google Scholar] [CrossRef]
- Handoko, A.D.; Steinmann, S.N.; Seh, Z.W. Theory-guided materials design: Two-dimensional MXenes in electro- and photocatalysis. Nanoscale Horiz. 2019, 4, 809–827. [Google Scholar] [CrossRef]
Publisher’s Note: MDPI stays neutral with regard to jurisdictional claims in published maps and institutional affiliations. |
© 2021 by the authors. Licensee MDPI, Basel, Switzerland. This article is an open access article distributed under the terms and conditions of the Creative Commons Attribution (CC BY) license (http://creativecommons.org/licenses/by/4.0/).



















