Bias Polarity Dependent Threshold Switching and Bipolar Resistive Switching of TiN/TaOx/ITO Device
Abstract
1. Introduction
2. Materials and Methods
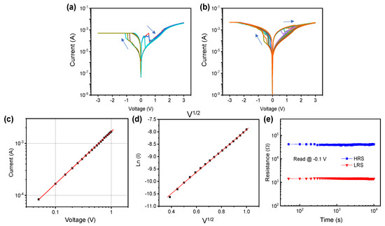
3. Results and Discussion
4. Conclusions
Author Contributions
Funding
Data Availability Statement
Acknowledgments
Conflicts of Interest
References
- Russo, U.; Ielemini, D.; Cagli, C.; Lacaita, A.L. Self-Accelerated Thermal Dissolution Model for Reset Programming in Unipolar Resistive-Switching Memory (RRAM) Devices. IEEE Trans. Electron. Dev. 2009, 56, 193–200. [Google Scholar] [CrossRef]
- Guo, M.Q.; Chen, Y.C.; Lin, C.Y.; Chang, Y.F.; Fowler, B.; Li, Q.Q.; Lee, J.; Zhao, Y.G. Unidirectional threshold resistive switching in Au/NiO/Nb:SrTiO3 devices. Appl. Phys. Lett. 2017, 110, 233504. [Google Scholar] [CrossRef]
- Kim, K.M.; Kim, G.H.; Song, S.J.; Seok, J.Y.; Lee, M.H.; Yoon, J.H.; Hwang, C.S. Electrically configurable electroforming and bipolar resistive switching in Pt/TiO2/Pt structures. Nanotechnology 2010, 21, 305203. [Google Scholar] [CrossRef]
- Lanza, M.; Wong, H.-S.P.; Pop, E.; Ielmini, D.; Strukov, D.; Regan, B.C.; Larcher, L.; Villena, M.A.; Yang, J.J.; Goux, L.; et al. Recommended Methods to Study Resistive Switching Devices. Adv. Electron. Mater. 2018, 5, 1800143. [Google Scholar] [CrossRef]
- Pan, F.; Gao, S.; Chen, C.; Song, C.; Zeng, F. Recent progress in resistive random access memories: Materials, switching mechanisms, and performance. Mater. Sci. Eng. R Rep. 2014, 83, 1–59. [Google Scholar] [CrossRef]
- Ryu, H.; Kim, S. Gradually Modified Conductance in the Self-Compliance Region of an Atomic-Layer-Deposited Pt/TiO2/HfAlOx/TiN RRAM Device. Metals 2021, 11, 1199. [Google Scholar] [CrossRef]
- Maikap, S.; Banergee, W. In Quest of Nonfilamentary Switching: A Synergistic Approach of Dual Nanostructure Engineering to Improve the Variability and Reliability of Resistive Random-Access-Memory Devices. Adv. Electron. Mater. 2020, 6, 2000209. [Google Scholar] [CrossRef]
- Choi, J.; Kim, S. Nonlinear Characteristics of Complementary Resistive Switching in HfAlOx-Based Memristor for High-Density Cross-Point Array Structure. Coatings 2020, 10, 765. [Google Scholar] [CrossRef]
- Mikhaylov, A.; Belov, A.; Korolev, D.; Antonov, I.; Kotomina, V.; Kotina, A.; Gryaznov, E.; Sharapov, A.; Koryazhkina, M.; Kryukov, R.; et al. Multilayer Metal-Oxide Memristive Device with Stabilized Resistive Switching. Adv. Mater. Technol. 2020, 5, 1900607. [Google Scholar] [CrossRef]
- Ismail, M.; Kim, S. Negative differential resistance effect and dual resistive switching properties in a transparent Ce-based devices with opposite forming polarity. Appl. Sur. Sci. 2020, 530, 147284. [Google Scholar] [CrossRef]
- Peng, C.S.; Chang, W.Y.; Lin, M.H.; Chen, W.S.; Chen, F.; Tsai, M.J. Polarity Reversion of the Operation Mode of HfO2-Based Resistive Random Access Memory Devices by Inserting Hf Metal Layer. J. Nanosci. Nanotechnol. 2013, 13, 1733–1737. [Google Scholar] [CrossRef] [PubMed][Green Version]
- Ryu, H.; Kim, S. Gradually Tunable Conductance in TiO2/Al2O3 Bilayer Resistors for Synaptic Device. Metals 2021, 11, 440. [Google Scholar] [CrossRef]
- Cho, H.; Kim, S. Emulation of Biological Synapse Characteristics from Cu/AlN/TiN Conductive Bridge Random Access Memory. Nanomaterials 2020, 10, 1709. [Google Scholar] [CrossRef] [PubMed]
- Choi, J.; Kim, S. Coexistence of Long-Term Memory and Short-Term Memory in an SiN x-Based Memristor. Phys. Status Solidi RRL 2020, 14, 2000357. [Google Scholar] [CrossRef]
- Park, M.; Kang, M.; Kim, S. Pulse frequency dependent synaptic characteristics in Ta/SiN/Si Memristor Device for Neuromorphic System. J. Alloys Compd. 2021, 882, 160760. [Google Scholar] [CrossRef]
- Lee, M.J.; Lee, C.B.; Lee, D.; Lee, S.R.; Chang, M.; Hur, J.H.; Kim, Y.B.; Kim, C.J.; Seo, D.H.; Seo, S.; et al. A fast, high-endurance and scalable non-volatile memory device made from asymmetric Ta2O5−x/TaO2−x bilayer structures. Nat. Mater. 2011, 10, 625–630. [Google Scholar] [CrossRef]
- Ryu, H.; Kim, S. Irregular Resistive Switching Behaviors of Al2O3 -Based Resistor with Cu Electrode. Metals 2021, 11, 653. [Google Scholar] [CrossRef]
- Yang, J.; Ryu, H.; Kim, S. Resistive and synaptic properties modulation by electroforming polarity in CMOS-compatible Cu/HfO2/Si device. Chaos Solitons Fractals 2021, 145, 110783. [Google Scholar] [CrossRef]
- Park, J.; Ryu, H.; Kim, S. Nonideal resistive and synaptic characteristics in Ag/ZnO/TiN device for neuromorphic system. Sci. Rep. 2021, 11, 16601. [Google Scholar] [CrossRef]
- Chandrasekaran, S.; Simanjuntak, F.M.; Saminathan, S.; Panda, D.; Tseng, T.Y. Improving linearity by introducing Al in HfO2 as a memristor synapse device. Nanotechnology 2019, 30, 445205. [Google Scholar] [CrossRef]
- Ryu, H.; Choi, J.; Kim, S. Voltage Amplitude-Controlled Synaptic Plasticity from Complementary Resistive Switching in Alloying HfOx with AlOx-Based RRAM. Metals 2020, 10, 1410. [Google Scholar] [CrossRef]
- Ryu, H.; Kim, S. Pseudo-Interface Switching of a Two-Terminal TaOx/HfO2 Synaptic Device for Neuromorphic Applications. Nanomaterials 2020, 10, 1550. [Google Scholar] [CrossRef] [PubMed]
- Kim, T.H.; Nili, H.; Kim, M.H.; Min, K.K.; Park, B.G.; Kim, H. Reset-voltage-dependent precise tuning operation of TiOx/Al2O3 memristive crossbar array. Appl. Phys. Lett. 2020, 117, 152103. [Google Scholar] [CrossRef]
- Govoreanu, B.; Adelmann, C.; Redolfi, A.; Zhang, L.; Clima, S.; Jurczak, M. High-Performance Metal-Insulator-Metal Tunnel Diode Selectors. IEEE Electron. Dev. Lett. 2013, 35, 63–65. [Google Scholar] [CrossRef]
- Fong, S.W.; Neumann, C.M.; Wong, H.S.P. Phase-Change Memory—Towards a Storage-Class Memory. IEEE Trans. Electron. Mater. 2017, 64, 4374–4385. [Google Scholar] [CrossRef]
- Li, S.; Pam, M.E.; Li, Y.; Chen, L.; Chien, Y.C.; Fong, X.; Chi, D.; Ang, K.W. Wafer-Scale 2D Hafnium Diselenide Based Memristor Crossbar Array for Energy-Efficient Neural Network Hardware. Adv. Mater. 2021, 2103376. [Google Scholar] [CrossRef] [PubMed]
- Lee, Y.; Mahata, C.; Kang, M.; Kim, S. Short-term and long-term synaptic plasticity in Ag/HfO2/SiO2/Si stack by controlling conducting filament strength. Appl. Sur. Sci. 2021, 565, 150563. [Google Scholar] [CrossRef]
- Lee, K.J.; Chang, Y.C.; Lee, C.J.; Wang, L.W.; Wang, Y.H. Bipolar Resistive Switching Characteristics in Flexible Pt/MZT/Al Memory and Ni/NbO2/Ni Selector Structure. IEEE J. Electron. Dev. Soc. 2018, 6, 518–524. [Google Scholar] [CrossRef]
- Huang, Y.; Huang, R.; Cai, Y.; Wu, H.; Yue, P.; Zhang, Y.; Chen, C.; Wang, Y. A TaOx based threshold switching selector for the RRAM crossbar array memory. In Proceedings of the 12th Annual Non-Volatile Memory Technology Symposium Proceedings, Singapore, 31 October–2 November 2012. [Google Scholar] [CrossRef]
- Lin, Z.H.; Wang, Y.H. Observation of indium ion migration-induced resistive switching in Al/Mg0.5Ca0.5TiO3/ITO. Appl. Phys. Lett. 2016, 109, 053507. [Google Scholar] [CrossRef]




Publisher’s Note: MDPI stays neutral with regard to jurisdictional claims in published maps and institutional affiliations. |
© 2021 by the authors. Licensee MDPI, Basel, Switzerland. This article is an open access article distributed under the terms and conditions of the Creative Commons Attribution (CC BY) license (https://creativecommons.org/licenses/by/4.0/).
Share and Cite
Ryu, H.; Park, B.; Kim, S. Bias Polarity Dependent Threshold Switching and Bipolar Resistive Switching of TiN/TaOx/ITO Device. Metals 2021, 11, 1531. https://doi.org/10.3390/met11101531
Ryu H, Park B, Kim S. Bias Polarity Dependent Threshold Switching and Bipolar Resistive Switching of TiN/TaOx/ITO Device. Metals. 2021; 11(10):1531. https://doi.org/10.3390/met11101531
Chicago/Turabian StyleRyu, Hojeong, Beomjun Park, and Sungjun Kim. 2021. "Bias Polarity Dependent Threshold Switching and Bipolar Resistive Switching of TiN/TaOx/ITO Device" Metals 11, no. 10: 1531. https://doi.org/10.3390/met11101531
APA StyleRyu, H., Park, B., & Kim, S. (2021). Bias Polarity Dependent Threshold Switching and Bipolar Resistive Switching of TiN/TaOx/ITO Device. Metals, 11(10), 1531. https://doi.org/10.3390/met11101531

