Abstract
The aim of this work was to weld thin sheets (2 mm) of Al 7075 in a butt joint configuration using friction stir welding and to identify the appropriate tool geometry and optimum process parameters. Two tools were produced with heat treatable low alloy steel WNr 1.6582/DIN 34CrNiMo6 with a different pin diameter (3 mm and 4 mm). Welding was performed at a range of rotation speeds 1000–2500 rpm and various welding speeds 80–800 mm/min. The tensile strength was measured to evaluate mechanical properties. Results showed that despite the difficulties in friction stir welding thin plates, sound joints can be produced in a repeatable manner, without visible wear on the welding tool. The mechanical strength of the welds showed a decrease (33.75%) over that of the parent material. The mechanical strength was less affected by rotation speed than welding speed and there was a significant decrease in tensile strength compared to the parent material.
1. Introduction
Welding is the metallurgical joining of parts to produce a single component. The most widely used welding techniques, which are fusion welding and solid-state welding, depend on the state reached at the joint during welding [1].
Fusion welding is a group of the most widely used and effective techniques for joining parts by localized melting. The weight of the workpiece increases due to deposition of filler material which is added to the joint and which solidifies together with the base metal to form the weld. Aluminum alloys are extensively used in a wide range of industries where weight is a consideration. Because of aluminum’s high thermal and electrical conductivity, conventional fusion welding cannot be used with several alloys because of hot cracking [2,3,4]. For a limited number of applications, aluminum alloys can be fusion welded under controlled settings to avoid weld defects such as oxides, porosity, hot cracking and hydrogen embrittlement [5].
These limitations of aluminum alloys can be overcome when friction stir welding (FSW), a solid-state joining technique, is employed. In the early 1990s, Thomas and his colleagues at The Welding Institute (TWI) in the UK, invented FSW [6]. Its development targeted joints whose materials are difficult to weld with conventional fusion welding, both in similar and dissimilar material combinations. Over the past two decades this technique has been one of the most widely used joining techniques with applications in a wide range of industries, including aerospace, automotive, railway, marine and aerospace [7,8,9].
During friction stir welding, joints are produced by plunging a non-consumable rotating tool into the joint. The tool consists of a probe and a shoulder and generates heat through both friction and plastic deformation while traversing the joint line [10,11]. The side of the joint, where the rotating and traversing tool speed are in the same direction, is called the advancing side (AS), whereas the opposite side is the retreating side (RS), and both are associated with material movement relative to the welding direction [12]. As a result of the process characteristics and mode of heat generation, welds are composed of two main areas which are referred to as the thermo-mechanically affected zone (TMAZ) and the heat-affected zone (HAZ) [13]. In the HAZ, the temperatures reached affect material microstructure and mechanical properties without plastic deformation, whereas in the TMAZ, material deforms plastically by the high temperature produced by the welding tool [14]. In the TMAZ there are two additional areas, one with elongated grains, deformed in the tool rotation direction, and another one with a fully recrystallized microstructure. The fully recrystallized area is often called the nugget or the stirred zone, and it can be considered as a separate FSW microstructural area [12]. The minimal distortion of the components due to focused low-heat input and the high reproducibility of it, make this technique technically and financially appealing to various industries [15,16,17].
The alloys of the 7XXX series contain zinc (between 1–8%) as the main alloying element. When this alloying element is combined with magnesium (at a lower ratio, 1–3%), the result is the creation of heat-treatable alloys of medium to high strength [18]. The precipitation of MgZn2 hardens the structure, which following appropriate heat treatments improve their mechanical properties [19]. It is common that other elements, such as copper and chromium, are added in smaller quantities to these alloys. The 7XXX alloys are of higher strength and show reduced resistance to stress corrosion cracking [20,21]. They are characterized by moderate adhesion, while their main disadvantage is their reduced high temperature strength, allowing them to be used up to 120 °C. These alloys are mainly used in aeronautics (e.g., aircraft wings), and various high stress components [22,23,24,25]. There are limited published works on conventional FSW of thin 7075 sheets, with one on welding 1.6 mm thick cladded sheets [25] and another paper on thinner sheets of 1.1 mm thickness [24].
The welding speed affects productivity in manufacturing, and it is related to weld quality that is set in product specifications and welding standards. In this study the effect of tool rotation and welding speed, for two different probe diameters on the mechanical properties of friction stir welded 2 mm thick AA7075 aluminum alloy butt joints is investigated. A large number of experiments were conducted, and the tensile strength was measured. As literature review has shown, there are very few papers on conventional FSW of thin 7075 sheets, which highlights the contribution of the current submission.
2. Materials and Methods
A modified vertical TM-1P Series Toolroom Mills CNC machining center (Haas Automation, Oxnard, CA, USA) of the Laboratory of Precision and Reverse Mechanical Engineering, was used to perform friction stir welding, using custom made steel tools, while specimens were held firmly in a horizontal position. The flat welding table had no groove below the specimen weld seam, as it limits heat transfer away from the seam. This gap under the weld seam normally ensures that the temperature field in the specimens is not affected by the heat sink effect of the welding table. Additionally, it was not applicable to these experiments due to the small thickness of the sheets (2 mm), as the tool would bend the specimens to the groove shape when the tool penetrated the sheets and produced holes along the weld.
The tools used for welding were made of WNr 1,6582/DIN 34CrNiMo6, which is a heat treatable low alloy steel, out of 16 mm diameter bars (Table 1). The welding tool was used with welding speeds up to 800 mm/min and the total weld length produced by each tool was almost 2 m, without appreciable wear to the tool itself.
Table 1.
Chemical composition of tool steel.
The design of welding tools is of great importance to FSW, as tools with different geometries produce welds of different microstructures and mechanical properties, as their design affects the heat produced as well as material flow.
A number of welding tools were produced in order to select the tool geometry suitable for producing sound welds and withstand stresses that develop during welding. From the tool geometries studied it was found that tools with a cylindrical pin of small diameter and large shoulder produced sound welds with limited material waste while preserving tool integrity for a large number of runs.
Initially, one of the welding tools used in test welds had a 16 mm diameter shoulder with a pin with a thread diameter of 3 mm and a height of 1.8 mm, for uniform flow of material. This tool produced excellent welds but the pin thread due to its very small pitch (0.5 mm) and depth (0.3 mm) was filled with material and behaved as a simple cylindrical pin.
The two tool designs selected (Figure 1), the first one has a 16 mm diameter shoulder and 3 mm diameter cylinder pin of height of 1.8 mm and the second design has a 16 mm diameter shoulder and a 4 mm diameter cylindrical pin of height of 1.8 mm. Both tools were heated treated to 350 °C for 10 min and then cooled in oil.
Figure 1.
(A) Tool with flat 16 mm shoulder diameter and 3 mm diameter cylindrical pin of 1.8 mm height. (B) Tool with flat 16 mm shoulder diameter and 4 mm diameter cylindrical pin of 1.8 mm height.
The dimensions of the specimens to be welded were (40 mm × 100 mm × 2 mm). The length of each weld was 75 mm and the welded sheets were cut into five identical rectangular test pieces (80 mm × 10 mm × 2 mm) for tensile strength testing along the entire length of the weld. Because of the sample size and the sheets thickness custom made samples were produced for tensile testing. The test pieces had the weld seam in the middle of their length. In order to avoid end effects in the weld, the test pieces were cut at 25 mm from the ends of the specimens. In addition, the tensile strength of the base metal was measured as part of these experiments and was found to be 58,195 ΜPa. The chemical composition of 7075 aluminum alloy is shown in Table 2.
Table 2.
Chemical composition of 7075 aluminum alloy.
Welding was performed at various combinations of rotational speed and welding speed with the two different geometry tools (Table 3). Figure 2 and Figure 3 show a typical test specimen produced out of a weld. The dimensions of the specimens to be welded were the same for all experiments and the tool tilt angle was constant at 0°.
Table 3.
Process parameters.
Figure 2.
Typical welded specimen.
Figure 3.
Typical test specimens (all dimensions in mm).
The welding was evaluated with tensile tests performed on an Imada MX2 (IMADA, Northbrook, IL, USA) tension test apparatus, using standardized grips, with 10 mm/min speed of testing. Rectangular specimens were prepared from the welded aluminum sheets with 10 mm width and 100 mm length. Five (5) specimens have been tested for each case at room temperature of 23 °C to 25 °C.
Additionally, atomic force microscopy (AFM) images were taken on a Park System XE7 (Park Systems Corp., Suwon, Korea) apparatus from the fracture area of the tensile test specimens, after they were tested, to evaluate the welding, since all specimens failed at the welding area during the tensile tests.
3. Results and Discussion
From the tensile tests performed on every test specimen cut from the welds it was observed that the first and last ones along the weld were of lower strength compared to the other three test specimens cut from the welded sheet due to clamping issues. This effect relates to the thickness of the sheets and led to the removal of the specific tests.
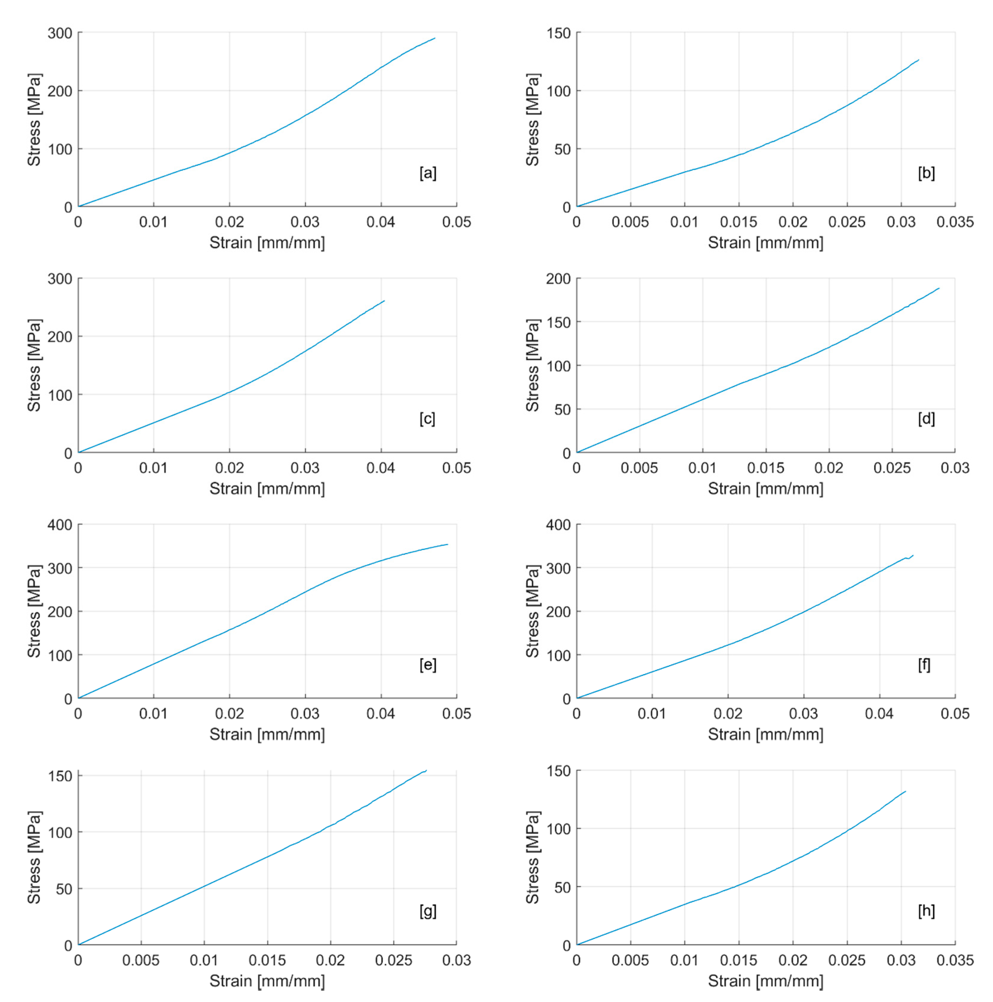
In Figure 4 typical stress strain curves are presented as calculated from the tensile tests for selected FSW specimens. All specimens showed a rather brittle behavior, with no significant plastic region in the experiment before their failure, explaining the changes in mechanical strength. Figure 5 shows the average tensile strength and the deviation error for various welding speeds, in welds performed with both the welding tools manufactured in this study for the tests, while Figure 6 presents a comparison of the tensile strength of specimens welded with Pin3 and Pin4 tool at 1500 rpm. Figure 7 and Figure 8 show the corresponding comparison for 2000 rpm and 2500 rpm, respectively.
Figure 4.
Stress-strain curves of 2 mm Al7075 FSW specimens: (a) Pin3 1000 rpm 80 mm/min; (b) Pin3 1000 rpm 300 mm/min; (c) Pin3 2000 rpm 400 mm/min; (d) Pin3 2000 rpm 800 mm/min; (e) Pin4 1000 rpm 80 mm/min; (f) Pin4 1000 rpm 300 mm/min; (g) Pin4 2000 rpm 400 mm/min; (h) Pin4 2000 rpm 800 mm/min.
Figure 5.
Tensile strength of joints prepared at rotation speed 1000 rpm for various welding speeds (Pin3 is 3 mm diameter pin tool, Pin4 is 4 mm diameter pin tool).
Figure 6.
Comparison of Pin3 and Pin4 tool at 1500 rpm.
Figure 7.
Comparison of Pin3 and Pin4 tool at 2000 rpm.
Figure 8.
Comparison of Pin3 and Pin4 tool at 2500 rpm.
From Figure 5 it can be seen that there is practically no welding speed effect when the rotation speed is at 1000 rpm provided the welding speed is below 300 mm/min, whereas the size of the tool pin does not affect mechanical strength as well. Above this welding speed the joint strength reduces, and the thicker pin tool produces improved joints.
From Figure 6 it can be seen that there is no appreciable welding speed effect when the rotation speed is at 1500 rpm provided the welding speed is below 150 mm/min, while the thicker sized tool pin does produce stronger joints. Over this welding speed the joint strength reduces, and the thinner tool pin produces improved joints.
From Figure 7 it can be seen that there is no appreciable welding speed effect when the rotation speed is at 2000 rpm for all welding speeds for the thicker tool pin tool, with the exception of 600 mm/min rotation speed. However, in the thicker tool pin there are no welding speed effects when the rotation speed is below 500 mm/min, while the tensile strength drops and remains unchanged for the higher rotation speeds from 600 to 800 rpm.
From Figure 8 it can be seen that there is no rotation speed effect when the rotation speed is at 2500 rpm for the two welding speeds employed in this work, and the size of the tool pin does not affect mechanical strength in a strong manner.
When welding at low tool rotation speed and low welding speed, tensile strength is the highest achieved as adequate heat is generated through friction and plastic deformation. In addition, for the same conditions, there are smaller error bars as welding seam is uniform along its entire length (Figure 5, Figure 6, Figure 7 and Figure 8).
From Figure 9 it can be seen that the highest mechanical strength was observed in joints prepared with rotation speeds of 1000 and 1500 rpm and welding speeds of 110 to 200 mm/min.
Figure 9.
Comparison of tensile strength for joints for three different rotational speeds.
From Figure 10 it can be seen that welds with the 3 mm diameter tool pin show a small decrease in strength at 1000 rpm as the welding speed is increased, whereas there is a small increase in strength at 1500 rpm with welding speed. On the other hand, from Figure 11 welds with the 4 mm diameter tool pin show an inverse relationship between tensile strength and welding speed. Overall, welding with the 3 mm diameter tool pin produces consistent results across a range of welding parameters compared to those produced with the 4 mm diameter tool pin. However, the 4 mm diameter tool pin produces a joint with the highest strength value for a rotation speed of 1500 rpm and a welding speed of 110 mm/min.
Figure 10.
Comparison of tensile strength for joints for different welding speeds for 3 mm diameter pin tool.
Figure 11.
Comparison of tensile strength for joints for different welding speeds for 4 mm diameter pin tool.
The 3-dimensional fracture surface of selected tensile strength specimens, whose tensile testing plots are shown in Figure 4, were studied with AFM and are shown in Figure 12. The pin diameter increase from 3 to 4 mm was shown to increase the size of surface abnormalities for the same rotation and welding speeds, while for the same pin diameter the effect was observed only in the highest rotation and welding speed.
Figure 12.
AFM images of a fractured 2 mm Al7075 FSW specimens: (a) Pin3 1000 rpm 80 mm/min; (b) Pin3 1000 rpm 300 mm/min; (c) Pin3 2000 rpm 400 mm/min; (d) Pin3 2000 rpm 800 mm/min; (e) Pin4 1000 rpm 80 mm/min; (f) Pin4 1000 rpm 300 mm/min; (g) Pin4 2000 rpm 400 mm/min; (h) Pin4 2000 rpm 800 mm/min.
4. Conclusions
Friction stir welding of thin plates (2 mm) of Al 7075 presents several difficulties because of the sheet thickness and the particular composition of the alloy. The following conclusions can be reached:
In total, 38 sound welds of Al 7075 were produced in a repeatable manner.
It was shown that the mechanical strength was less affected by rotation speed than welding speed.
The position of tensile strength specimen affected the values recorded as poor welding quality was observed at the beginning of the weld (piece 1) and at the end of it (piece 5) due to specimen clamping difficulties associated with the thin specimens.
The mechanical strength of the welds showed a significant decrease (33.75%) over the parent material.
For the two diameter tool pins employed (3 and 4 mm) there were no significant differences in mechanical strength or the quality of the weld. In the highest tensile strength measured welds the 4 mm diameter tool pin produced a 5.33% stronger weld than the 3 mm one.
The minor differences in mechanical strength produced between the two tools identified that the smaller sized pin produced consistent results for the whole range of welding parameters compared to the 4 mm diameter tool pin, However, the latter produced the strongest joints for rotation speed of 1500 rpm and welding speed of 110 mm/min. It was also observed that at the rotation speed of 1000 rpm mechanical strength was not affected by tool size while at 1500 rpm the larger size tool had improved strength.
In all tensile strength specimens fracture occurred in the thermomechanically affected zone (TMAZ), confirming the employment of the appropriate welding conditions.
An important point to raise is the effect of the welding table, which in the current setting did not have a groove below the seam of the weld. This gap under the weld seam normally ensures that the temperature field in the specimens is not affected by the heat sink effect of the welding table. In addition, this was not applicable to the experiments performed in this work due to the small thickness of the sheets (2 mm), as the tool would bending the specimens to the groove shape when the tool penetrated the sheets and produced holes along the weld.
It was identified that tools of simple geometry with a cylindrical pin of small diameter and shoulder of large diameter produce sound welds without excessive wear and waste and without damage to the tool after long runs.
The welding tool was used with welding speeds up to 800 mm/min and the total weld length produced by each tool was almost 2 m.
Author Contributions
Conceptualization, A.V. and M.P.; methodology, A.V..; validation, A.V., N.V., M.P.; formal analysis, A.D.; investigation, A.D.; resources, A.V. and N.V.; data curation, A.D.; writing—original draft preparation, A.D.; writing—review and editing, A.V. and M.P.; visualization, A.D.; supervision, A.V. and N.V.; project administration, A.V. All authors have read and agreed to the published version of the manuscript.
Funding
This research received no external funding.
Institutional Review Board Statement
Not applicable.
Informed Consent Statement
Not applicable.
Data Availability Statement
The data presented in this study are available in the article.
Conflicts of Interest
The authors declare no conflict of interest.
References
- Liu, Z.; Ji, S.; Meng, X. Joining of magnesium and aluminum alloys via ultrasonic assisted friction stir welding at low temperature. Int. J. Adv. Manuf. Technol. 2018, 97, 4127–4136. [Google Scholar] [CrossRef]
- Mubiayi, M.P.; Akinlabi, E.T. Friction Stir Welding of Dissimilar Materials between Aluminum Alloys and Copper—An Overview. In Proceedings of the World Congress on Engineering, London, UK, 3–5 July 2013; Volume 3. [Google Scholar]
- Galvao, I.; Verdera, D.; Gesto, D.; Loureiro, A.; Rodrigues, D.M. Influence of aluminum alloy type on dissimilar friction stir lap welding of aluminum to copper. J. Mater. Process. Technol. 2013, 213, 1920–1928. [Google Scholar] [CrossRef]
- Wang, G.L.; Li, J.L.; Wang, W.L.; Xiong, J.T.; Zhang, F.S. Rotary friction welding on dissimilar metals of aluminum and brass by using pre-heating method. Int. J. Adv. Manuf. Technol. 2018, 99, 1293–1300. [Google Scholar] [CrossRef]
- Cicalăa, E.; Duffetb, G.; Andrzejewskib, H.; Greveyb, D.; Ignatab, S. Hot cracking in Al–Mg–Si alloy laser welding—Operating parameters and their effects. Mater. Sci. Eng. 2005, 395, 1–9. [Google Scholar] [CrossRef]
- Thomas, W.M.; Nicholas, E.D.; Needham, J.C.; Murch, M.G.; Temple-Smith, P.; Dawes, C.J. Improvements related to Friction Welding. International Patent Application No. PCT/GB92/02203, 8 December 1991. [Google Scholar]
- Saeid, T.; Abdollah-zadeh, A.; Sazgari, B. Weldability and mechanical properties of dissimilar aluminum copper lap joints made by friction stir welding. J. Alloy. Compd. 2010, 490, 652–655. [Google Scholar] [CrossRef]
- Cam, G. Friction stir welded structural materials: Beyond Al-alloys. Int. Mater. Rev. 2011, 56, 1–48. [Google Scholar] [CrossRef]
- Kallee, S.W.; Davenport, J.; Nicholas, E.D. Railway Manufacturers Implement Friction Stir Welding. Weld. J. 2002, 81, 47–50. [Google Scholar]
- Vishwanath, S.G.; Shivakumar, B. Comparison of friction stirs welding technique with conventional welding methods. IJRET 2014, 3, 2321–7308. [Google Scholar]
- Kumar, R.; Ghost, A.; Chattopadhyaya, S. Emerging friction stir welding for aluminium and its applications. J. Manuf. Ind. Eng. 2014, 14, 1–5. [Google Scholar] [CrossRef][Green Version]
- Mishra, R.S.; Ma, Z.Y. Friction stir welding and processing. Mater. Sci. Eng. R Rep. 2005, 50, 1–78. [Google Scholar] [CrossRef]
- Mahoney, M.W.; Rhodes, C.G.; Flintoff, J.G.; Bingel, W.H.; Spurling, R.A. Properties of Friction-stir-welded 7075 T651 Aluminum. Metall. Mater. Trans. A 1998, 29, 1955–1964. [Google Scholar] [CrossRef]
- Galvão, I.; Leitão, C.; Loureiro, A.; Rodrigues, D. Friction Stir Welding of Very Thin Plates. Soldag. Insp. 2012, 17, 2–10. [Google Scholar] [CrossRef]
- TWI. Microstructure Classification of Friction Stir Welds. Available online: http://www.twi.co.uk/content/fswqual.html (accessed on 25 September 2010).
- Zhang, D.; Wang, X.; Pan, Y.; Hou, S.; Zhang, J.; Zhuang, L.; Zhou, L. Friction stir welding of novel T-phase strengthened Zn-modified Al–Mg alloy. J. Mater. Sci. 2021, 56, 5283–5295. [Google Scholar] [CrossRef]
- Li, M.; Zhang, C.; Wang, D.; Zhou, L.; Wellmann, D.; Tian, Y. Friction Stir Spot Welding of Aluminum and Copper: A Review. Materials 2020, 13, 156. [Google Scholar] [CrossRef] [PubMed]
- Li, B.; Wang, X.M.; Chen, H. Influence of heat treatment on the strength and fracture toughness of 7N01 aluminum alloy. J. Alloy. Compd. 2016, 678, 160–166. [Google Scholar] [CrossRef]
- Oliveira, A.F.; De Barros, M.C.; Cardoso, K.R.; Travessa, D.N. The Effect of RRA on the Strength and SCC Resistance on AA7050 and AA7150 Aluminium Alloys. Mater. Sci. Eng. A 2004, 379, 321–326. [Google Scholar] [CrossRef]
- Zhang, S.F.; Wang, X.M.; Chen, H. Stress corrosion cracking of cabinet of 7003 aluminum alloy. J. Mater. Eng. 2015, 43, 105–112. [Google Scholar] [CrossRef]
- Wang, X.M.; Liao, X.Y.; Ma, C.P. Effects of chemical composition on the corrosion behavior of A7N01S-T5 Al alloys. Int. J. Mod. Phys. B 2015, 29, 27–36. [Google Scholar] [CrossRef]
- ASM Handbook. Properties and Selection: Nonferrous Alloys and Special-Purpose Materials, 10th ed.; ASM International: Metals Park, OH, USA, 1990; Volume 2. [Google Scholar]
- Campbell, F.C. Manufacturing Technology for Aerospace Structural Materials; Elsevier: Amsterdam, The Netherlands, 2006. [Google Scholar]
- Burek, R.; Wydrzyński, D.; Kubit, A.; Łogin, W. The influence of the shoulder depth on the properties of the thin sheet joint made by FSW technology. Aircr. Eng. Aerosp. Technol. 2020. [Google Scholar] [CrossRef]
- Mehri, A.; Abdollah-Zadeh, A.; Habibi, N.; Hajian, M.; Wang, J.T. The Effects of Rotational Speed on Microstructure and Mechanical Properties of Friction Stir-Welded 7075-T6 Thin Sheet. J. Mater. Eng. Perform. 2020, 29, 2316–2323. [Google Scholar] [CrossRef]
Publisher’s Note: MDPI stays neutral with regard to jurisdictional claims in published maps and institutional affiliations. |
© 2020 by the authors. Licensee MDPI, Basel, Switzerland. This article is an open access article distributed under the terms and conditions of the Creative Commons Attribution (CC BY) license (http://creativecommons.org/licenses/by/4.0/).











