Application of the Vienna Test System to Measure Training-Induced Changes in Choice Reaction Time in U20 Fencers: A 12-Week Training Program Pilot Study
Abstract
1. Introduction
2. Materials and Methods
2.1. Participants
2.2. Procedures
2.3. Intervention
2.4. Statistical Analysis
3. Results
3.1. Overall Pre–Post Results of RS, MS, CR, and HR
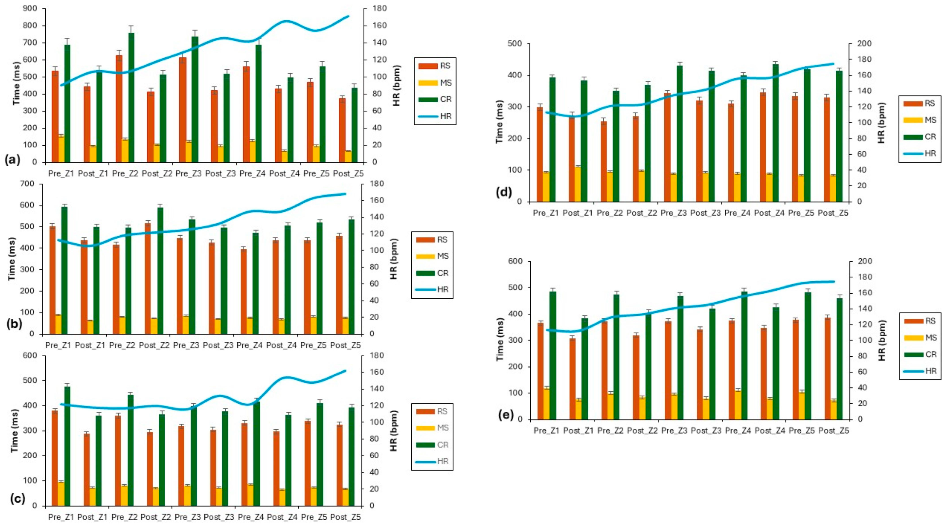
3.2. Individual Zone-Based Profiles of Athletes
4. Discussion
5. Conclusions
Author Contributions
Funding
Institutional Review Board Statement
Informed Consent Statement
Data Availability Statement
Acknowledgments
Conflicts of Interest
Abbreviations
| RT | Reaction time |
| VTS | Vienna test system |
| CR | Choice reaction |
| RS | Reaction speed |
| MS | Motor speed |
| m | mean |
| SD | Standard deviation |
| %Change | Percentage change |
| ms | milliseconds |
| Sub | subject |
| Min | minimum |
| Max | maximum |
| HR | Heart rate |
| bpm | beats per minute |
| Z | Zone |
Appendix A
| No. | Instructions | Dosage |
|---|---|---|
| 1 | Launch a tennis ball, let it bounce, and catch it with one hand while extending your arm (from the guard position) | 2 × 1 min + rest 30 s |
| 2 | Throw a reaction ball and grab it with one hand after it hits the ground. | 2 × 1 min + rest 30 s |
| 3 | In the same exercise, catch the ball during the drill, then immediately perform a forward lunge. | 2 × 1 min + rest 30 s |
| 4 | Agility leather exercises: step forward, then move your right foot outside the square boundary. | 2 × 1 min + rest 30 s |
| 5 | Agility leather exercises: step ahead, then shift your left foot beyond the edge of the box. | 2 × 1 min + rest 30 s |
| 6 | Begin in a defensive stance, take two strides forward, and one step back. | 2 × 1 min + rest 30 s |
| 7 | Start from the guard position, walk to the first marker, then retreat to the next, repeat this relay-style movement. | 2 × 1 min + rest 30 s |
| 8 | Practice fencing footwork from a ready stance, changing direction whenever the coach claps. | 2 × 1 min + rest 30 s |
| 9 | Moving into the fighting stance, the individual responds to cones of various colors. | 2 × 1 min + rest 30 s |
| 10 | Jogging in place in a fencing stance and striking the fencing target on a coach’s command. | 2 × 1 min + rest 30 s |
| No. | Instructions | Dosage |
|---|---|---|
| 1 | Throw the tennis ball up, catch it smoothly, and stretch your arm forward quickly. | 2 × 1 min + rest 30 s |
| 2 | Put two colored objects in front. When the coach says a color, touch the one that matches. | 2 × 1 min + rest 30 s |
| 3 | Two athletes stand apart 2 m and step forward to tap the object in front of them. | 2 × 1 min + rest 30 s |
| 4 | Each athlete has two colored items. When the coach gives the signal, they race to grab the right one (reaction play). | 2 × 1 min + rest 30 s |
| 5 | Agility leather exercises: Jump into each box using only the right foot. | 2 × 1 min + rest 30 s |
| 6 | Agility leather exercises: jump onto each box using only the left leg. | 2 × 1 min + rest 30 s |
| 7 | From the guard position, when told, take two fast steps forward and wait for the next signal. | 2 × 1 min + rest 30 s |
| 8 | Move around freely. When signaled, lunge forward, go back to ready stance, take two quick steps back, and repeat | 2 × 1 min + rest 30 s |
| 9 | Running in place in the fencing stance and catching the fencing glove with a lunge. | 2 × 1 min + rest 30 s |
| 10 | Jumping rope and catching the fencing gloves. | 2 × 1 min + rest 30 s |
| No. | Instructions | Dosage |
|---|---|---|
| 1 | Place two colored posts in front. When the coach says a color, the athlete quickly taps that one using their strong hand. | 2 × 1 min + rest 30 s |
| 2 | Two athletes stand facing each other with a post between them. When the coach gives the signal, they race to grab it—whoever gets it first wins. | 2 × 1 min + rest 30 s |
| 3 | Exercise no. 2 is repeated, and the coach shouts different commands: hand on knee, hand on head, etc. When he shouts and puts his hand on the pole, the athletes must quickly grab the pole. | 2 × 1 min + rest 30 s |
| 4 | While jumping rope, reach out and catch the fencing glove during the movement. | 2 × 1 min + rest 30 s |
| 5 | Step forward and backward like in fencing. When signaled, sprint in place with high knees from the guard position. | 2 × 1 min + rest 30 s |
| 6 | Do jumping jacks, then catch the fencing glove when prompted. | 2 × 1 min + rest 30 s |
| 7 | Run back and forth between two points, and catch tennis balls during the drill (Shuttle running). | 2 × 1 min + rest 30 s |
| 8 | Move freely. When the coach signals, take two fast steps back, then lunge forward with power. | 2 × 1 min + rest 30 s |
| 9 | Jump from a distant spot toward a closer one using agility leather. | 2 × 1 min + rest 30 s |
| 10 | Make two forward jumps with both feet, then jump backward once. | 2 × 1 min + rest 30 s |
References
- Chen, T.L.W.; Wong, D.W.C.; Wang, Y.; Ren, S.; Yan, F.; Zhang, M. Biomechanics of fencing sport: A scoping review. PLoS ONE 2017, 12, e0171578. [Google Scholar] [CrossRef]
- Torun, V.; Ince, G.; Durgun, B. The effects of basic fencing studies and velocity training on reaction time in the 9–12-year-old beginners of fencing. Sport Sci. 2012, 5, 59–66. [Google Scholar]
- Witkowski, M.; Bojkowski, Ł.; Karpowicz, K.; Konieczny, M.; Bronikowski, M.; Tomczak, M. Effectiveness and Durability of Transfer Training in Fencing. Int. J. Environ. Res. Public Health 2020, 17, 849. [Google Scholar] [CrossRef] [PubMed]
- Borysiuk, Z.; Markowska, N.; Konieczny, M.; Kręcisz, K.; Błaszczyszyn, M.; Nikolaidis, P.T.; Knechtle, B.; Pakosz, P. Flèche versus Lunge as the Optimal Footwork Technique in Fencing. Int. J. Environ. Res. Public Health 2019, 16, 2315. [Google Scholar] [CrossRef]
- Gutiérrez-Cruz, C.; Rojas, F.J.; Gutiérrez-Davila, M. Effect of defence response time during lunge in foil fencing. J. Sports Sci. 2015, 34, 651–657. [Google Scholar] [CrossRef]
- Sorel, A.; Plantard, P.; Bideau, N.; Pontonnier, C. Studying fencing lunge accuracy and response time in uncertain conditions with an innovative simulator. PLoS ONE 2019, 14, e0218959. [Google Scholar] [CrossRef]
- Chtara, H.; Negra, Y.; Chaabene, H.; Chtara, M.; Cronin, J.; Chaouachi, A. Validity and Reliability of a New Test of Change of Direction in Fencing Athletes. Int. J. Environ. Res. Public Health 2020, 17, 4545. [Google Scholar] [CrossRef]
- Milic, M.; Nedeljkovic, A.; Cuk, I.; Mudric, M.; García-Ramos, A. Comparison of reaction time between beginners and experienced fencers during quasi-realistic fencing situations. Eur. J. Sport Sci. 2020, 20, 896–905. [Google Scholar] [CrossRef]
- Balkó, S.; Zbigniev, B.; Simonek, J. The influence of different performance levels of fencers on simple and choice reaction time. Rev. Bras. Cineantropometria Desempenho Hum. 2016, 18, 391–400. [Google Scholar] [CrossRef]
- Jensen, A.R. Clocking the Mind: Mental Chronometry and Individual Differences, 1st ed.; Elsevier Science & Technology: Chantilly, VA, USA, 2006. [Google Scholar] [CrossRef]
- Van Maarseveen, M.J.J.; Savelsbergh, G.J.P.; Oudejans, R.R.D. In Situ Examination of Decision-Making Skills and Gaze Behaviour of Basketball Players. Hum. Mov. Sci. 2018, 57, 205–216. [Google Scholar] [CrossRef]
- Chang, C.L.; Lin, F.T.; Li, K.W.; Jou, Y.T.; Huang, C.D. A study of optimal handle shape and muscle strength distribution on the lower arm when holding a foil. Percept. Mot. Skills 2009, 108, 524–530. [Google Scholar] [CrossRef]
- De Quel, Ó.M.; Bennett, S.J. Perceptual-Cognitive Expertise in Combat Sports: A Narrative Review and a Model of Perception-Action/Habilidades Perceptivo-Cognitivas En Deportes de Combate: Una Revisión Narrativa y Un Modelo de Percepción-Acción. RICYDE Rev. Int. Cienc. Deporte 2019, 15, 323–338. [Google Scholar] [CrossRef]
- Bagot, P.; Fournier, J.F.; Kerivel, T.; Bossard, C.; Kermarrec, G.; Martinent, G.; Bernier, M. Visual Search Strategies of Elite Fencers: An Exploratory Study in Ecological Competitive Situation. J. Funct. Morphol. Kinesiol. 2023, 8, 106. [Google Scholar] [CrossRef]
- Llorens, F.; Sanabria, D.; Huertas, F. The influence of acute intense exercise on exogenous spatial attention depends on physical fitness level. Exp. Psychol. 2015, 62, 9–21. [Google Scholar] [CrossRef]
- Cereatti, L.; Casella, R.; Manganelli, M.; Pesce, C. Visual attention in adolescents: Facilitating effects of sport expertise and acute physical exercise. Psychol. Sport Exerc. 2009, 10, 136–145. [Google Scholar] [CrossRef]
- Delignières, D.; Brisswalter, J.; Legros, P. Influence of physical exercise on choice reaction time in sports experts: The mediating role of resource allocation. J. Hum. Mov. Stud. 1994, 27, 173–188. [Google Scholar]
- Mouelhi Guizani, S.; Bouzaouach, I.; Tenenbaum, G.; Ben Kheder, A.; Feki, Y.; Bouaziz, M. Simple and choice reaction times under varying levels of physical load in high-skilled fencers. J. Sports Med. Phys. Fitness 2006, 46, 344–351. [Google Scholar] [PubMed]
- Johne, M.; Poliszczuk, T.; Poliszczuk, D.; Dąbrowska-Perzyna, A. Asymmetry of Complex Reaction Time in Female Épée Fencers of Different Sports Classes. Pol. J. Sport Tour. 2013, 20, 25–29. [Google Scholar] [CrossRef]
- Di Martino, G.; Giommoni, S.; Esposito, F.; Alessandro, D.; della Valle, C.; Iuliano, E.; Fiorilli, G.; Calcagno, G.; di Cagno, A. Enhancing Focus and Short Reaction Time in Épée Fencing: The Power of the Science Vision Training Academy System. J. Funct. Morphol. Kinesiol. 2024, 9, 213. [Google Scholar] [CrossRef]
- Magyar, P.; Faur, M.; Nita, V.; Dintica, G.; Oravitan, M. Developing the speed of fencers at the level of the lower and upper limbs through a combined program of non-specific and fencing-specific exercises. Ann. Appl. Sport Sci. 2023, 11, 1–12. [Google Scholar] [CrossRef]
- Johne, M. The impact of fencing training symmetrisation on simple reaction time. Biomed. Hum. Kinet. 2021, 13, 231–236. [Google Scholar] [CrossRef]
- Roca, A.; Williams, A.M. Expertise and the Interaction Between Different Perceptual-Cognitive Skills: Implications for Testing and Training. Front. Psychol. 2016, 7, 792. [Google Scholar] [CrossRef]
- Schuhfried, G. Vienna Test System: Psychological Assessment; Schuhfried: Moedling, Austria, 2013. [Google Scholar]
- Patócs, Á.; Melia, L.; Kovács, S.; Fózer-Selmeci, B.; Révész, L.; Tóth, L. Reactive Stress Tolerance and Personality Characteristics of Hungarian Elite Fencers. Cogn. Brain Behav. 2016, 20, 171–184. [Google Scholar]
- Nesen, O.; Klimenchenko, V. Indicators of speed and strength abilities of young fencers 12–13 years old. Pedagog. Health 2022, 1, 23–28. [Google Scholar] [CrossRef]
- Aydın, Ö.; Doğan, E.; Sevilmiş, E.; Sağlam, Ç.K. Examining the effects of attention and concentration levels on reaction time in fencing. Phys. Educ. Stud. 2024, 28, 90–96. [Google Scholar] [CrossRef]
- Balkó, S.; Rous, M.; Balkó, I.; Hnízdil, J.; Borysiuk, Z. Influence of a 9-week training intervention on the reaction time of fencers aged 15 to 18 years. Phys. Act. Rev. 2017, 5, 146–154. [Google Scholar] [CrossRef]
- Witkowski, M.; Tomczak, E.; Bojkowski, Ł.; Borysiuk, Z.; Tomczak, M. Do Expert Fencers Engage the Same Visual Perception Strategies as Beginners? J. Hum. Kinet. 2021, 78, 49–58. [Google Scholar] [CrossRef]
- Gutiérrez-Davila, M.; Rojas, F.J.; Gutiérrez-Cruz, C.; Navarro, E. Effect of dual-attention task on attack and defensive actions in fencing. Eur. J. Sport Sci. 2017, 17, 1004–1012. [Google Scholar] [CrossRef]
- Petronijević, S.; Petrović, A.; Ćopić, N.; Jovanović, S.; Gajić, I. The influence of maturation on the speed of the individual hand movements in fencing. Homo Sport. 2019, 21, 1–5. [Google Scholar]
- Johne, M. The influence of three-year symmetrical training on the precision and frequency of the fencers’ movement. Cent. Eur. J. Sport Sci. Med. 2023, 1, 5–12. [Google Scholar] [CrossRef]
- Torbeyns, T.; de Geus, B.; Bailey, S.; De Pauw, K.; Decroix, L.; Van Cutsem, J.; Meeusen, R. Cycling on a Bike Desk Positively Influences Cognitive Performance. PLoS ONE 2016, 11, e0165510. [Google Scholar] [CrossRef]
- Oates, L.W.; Campbell, I.G.; Iglesias, X.; Price, M.J.; Muniz-Pumares, D.; Bottoms, L.M. The physiological demands of elite épée fencers during competition. Int. J. Perform. Anal. Sport 2019, 19, 76–89. [Google Scholar] [CrossRef]
- Tanaka, H.; Monahan, K.D.; Seals, D.R. Age-Predicted Maximal Heart Rate Revisited. J. Am. Coll. Cardiol. 2001, 37, 153–156. [Google Scholar] [CrossRef]
- Turna, B. The Effect of Agility Training on Reaction Time in Fencers. J. Educ. Learn. 2020, 9, 127–135. [Google Scholar] [CrossRef][Green Version]
- Sellés-Pérez, S.; Arévalo-Chico, H.; Fernández-Sáez, J.; Cejuela, R. Training Characteristics, Performance, and Body Composition of Three U23 Elite Female Triathletes throughout a Season. Sports 2024, 12, 53. [Google Scholar] [CrossRef] [PubMed]
- McMorris, T.; Turner, A.; Hale, B.J.; Sproule, J. Beyond the catecholamines hypothesis for an acute exercise-cognition interaction: A neurochemical perspective. In Exercise-Cognition Interaction: Neuroscience Perspectives; McMorris, T., Ed.; Academic Press: New York, NY, USA, 2016; pp. 65–104. [Google Scholar] [CrossRef]
- McMorris, T. Exercise and Cognitive Functions: A Neuroendocrinological Explanation. In Exercise and Cognitive Function; McMorris, T., Tomporowski, P.D., Audiffren, M., Eds.; John Wiley & Sons: Hoboken, NJ, USA, 2009; pp. 41–68. [Google Scholar]
- Zemková, E.; Miklovič, P.; Hamar, D. There is a relationship between intensity of exercise and reaction time on laterally concordant and discordant stimuli. Acta Kinesiol. 2009, 3, 59–63. [Google Scholar]
- Zemková, E. Effects of acute and chronic exercise on agility skills. Vidyabh. Int. Interdiscip. Res. J. 2021, 12, 500–504. [Google Scholar]
- Levitt, S.; Gutin, B. Multiple Choice Reaction Time and Movement Time During Physical Exertion. Res. Q. Am. Assoc. Health Phys. Educ. Recreat. 1971, 42, 405–410. [Google Scholar] [CrossRef]
- Mekari, S.; Fraser, S.; Bosquet, L.; Bonnéry, C.; Labelle, V.; Pouliot, P.; Lesage, F.; Bherer, L. The relationship between exercise intensity, cerebral oxygenation, and cognitive performance in young adults. Eur. J. Appl. Physiol. 2015, 115, 2189–2197. [Google Scholar] [CrossRef]
- Horváth, D.; Négyesi, J.; Győri, T.; Szűcs, B.; Tóth, P.J.; Matics, Z.; Ökrös, C.; Sáfár, S.; Szabó, N.; Takács, B.; et al. Application of a reactive agility training program using light-based stimuli to enhance the physical and cognitive performance of car racing drivers: A randomized controlled trial. Sports Med. Open 2022, 8, 113. [Google Scholar] [CrossRef]
- Davey, C. Physical exertion and mental performance. Ergonomics 1973, 16, 595–599. [Google Scholar] [CrossRef]
- Pesce, C.; Cereatti, L.; Forte, R.; Crova, C.; Casella, R. Acute and chronic exercise effects on attentional control in older road cyclists. Gerontology 2011, 57, 121–128. [Google Scholar] [CrossRef] [PubMed]
- Boobani, B.; Grants, J.; Glaskova-Kuzmina, T.; Zidens, J.; Litwiniuk, A. Effect of green exercise on stress level, mental toughness, and performance of taekwondo athletes. Arch. Budo J. Innov. Agonol. 2024, 20, 29–40. [Google Scholar]
- Boobani, B.; Grants, J.; Litwiniuk, A.; Boge, I.; Glaskova-Kuzmina, T. Effect of Walking in Nature on Stress Levels and Performance of Taekwondo Athletes in the Competition Period. J. Kinesiol. Exerc. Sci. 2024, 34, 17–27. [Google Scholar] [CrossRef]
- Boobani, B.; Kalnina, Z.; Glaskova-Kuzmina, T.; Erina, L.; Liepina, I. Utilizing Facial Emotion Analysis with FaceReader to Evaluate the Effects of Outdoor Activities on Preschoolers’ Basic Emotions: A Pilot Study in e-Health. Int. J. Online Biomed. Eng. 2025, 21, 61–75. [Google Scholar] [CrossRef]
- Van de Vegte, Y.J.; Tegegne, B.S.; Verweij, N.; Snieder, H.; van der Harst, P. Genetics and the heart rate response to exercise. Cell Mol. Life Sci. 2019, 76, 2391–2409. [Google Scholar] [CrossRef] [PubMed]
- Yamamoto, K.; Miyachi, M.; Saitoh, T.; Yoshioka, A.; Onodera, S. Effects of endurance training on resting and post-exercise cardiac autonomic control. Med. Sci. Sports Exerc. 2001, 33, 1496–1502. [Google Scholar] [CrossRef] [PubMed]
- Navia, J.A.; Avilés, C.; López, S.; Ruiz, L.M. A current approach to anticipation in sport. Stud. Psicol. 2018, 38, 1–19. [Google Scholar] [CrossRef]
- Hagemann, N.; Schorer, J.; Canal-Bruland, R.; Lotz, S.; Strauss, B. Visual perception in fencing: Do the eye movements of fencers represent their information pickup? Atten. Percept. Psychophys. 2010, 72, 2204–2214. [Google Scholar] [CrossRef]
- Badau, D.; Baydil, B.; Badau, A. Differences among Three Measures of Reaction Time Based on Hand Laterality in Individual Sports. Sports 2018, 6, 45. [Google Scholar] [CrossRef]
- Varesco, G.; Sarcher, A.; Doron, J.; Jubeau, M. Striking a balance: Exploring attention, attack accuracy and speed in fencing performance. Eur. J. Sport Sci. 2024, 24, 1278–1286. [Google Scholar] [CrossRef] [PubMed]
- Posner, M.I.; Dehaene, S. Attentional Networks. Trends Neurosci. 1994, 17, 75–79. [Google Scholar] [CrossRef] [PubMed]
- Sirotic, A.C.; Coutts, A.J. The reliability of physiological and performance measures during simulated team-sport running on a non-motorised treadmill. J. Sci. Med. Sport 2008, 11, 500–509. [Google Scholar] [CrossRef] [PubMed]
- Voss, M.W.; Kramer, A.F.; Basak, C.; Prakash, R.S.; Roberts, B. Are Expert Athletes ‘Expert’ in the Cognitive Laboratory? A Meta-Analytic Review of Cognition and Sport Expertise. Appl. Cogn. Psychol. 2010, 24, 812–826. [Google Scholar] [CrossRef]

| Subject | Age (Years) | Height (cm) | Body Mass (kg) | HR Rest (bpm) | EFC Rank * | FIE Rank * |
|---|---|---|---|---|---|---|
| S1 | 17.9 | 186 | 60 | 62 | - | 47 |
| S2 | 17.1 | 178 | 62 | 79 | 328 | - |
| S3 | 18.6 | 186 | 82.1 | 85 | - | 477 |
| S4 | 16.8 | 170 | 56 | 76 | 48 | 549 |
| S5 | 14.8 | 176 | 70 | 76 | 469 | - |
| Day | Monday | Tuesday | Wednesday | Thursday | Friday |
|---|---|---|---|---|---|
| Trainings | General training (60 min) | General (30 min) + special training (30 min) | Rest | General (30 min) + special training (30 min) | General training (60 min) |
| Variable | Sub | Test Phase | m ± SD | 95% CI Lower, Upper | Min | Max | %Change |
|---|---|---|---|---|---|---|---|
| RS (ms) | S1 | Pre | 560.4 ± 63.85 | 481.11, 639.69 | 467 | 625 | −25.87 |
| Post | 415.4 ± 27.55 | 381.18, 449.61 | 371 | 444 | |||
| S2 | Pre | 440.6 ± 40.78 | 389.96, 491.23 | 397 | 504 | 3.49 | |
| Post | 456 ± 36.47 | 410.70, 501.29 | 428 | 518 | |||
| S3 | Pre | 345.2 ± 24.89 | 314.29, 376.11 | 317 | 380 | −12.45 | |
| Post | 302.2 ± 14.09 | 284.69, 319.70 | 288 | 325 | |||
| S4 | Pre | 308.4 ± 34.81 | 265.17, 351.62 | 255 | 343 | 0 | |
| Post | 308.4 ± 33.97 | 266.21, 350.58 | 272 | 346 | |||
| S5 | Pre | 373.6 ± 4.03 | 368.58, 378.61 | 367 | 378 | −8.67 | |
| Post | 341.2 ± 30.77 | 302.98, 379.41 | 308 | 388 |
| Variable | Sub | Test Phase | m ± SD | 95% CI Lower, Upper | Min | Max | %Change |
|---|---|---|---|---|---|---|---|
| MS (ms) | S1 | Pre | 127.4 ± 21.36 | 100.87, 153.92 | 96 | 155 | −32.96 |
| Post | 85.40 ± 17.53 | 63.63, 107.16 | 66 | 103 | |||
| S2 | Pre | 82 ± 5.29 | 75.43, 88.57 | 75 | 89 | −15.36 | |
| Post | 69.4 ± 5.03 | 63.15, 75.64 | 62 | 75 | |||
| S3 | Pre | 84 ± 8.45 | 73.50, 94.49 | 74 | 97 | −17.14 | |
| Post | 69.6 ± 3.05 | 65.81, 73.38 | 65 | 72 | |||
| S4 | Pre | 90.6 ± 4.03 | 85.58, 95.61 | 85 | 95 | 4.85 | |
| Post | 95 ± 10.52 | 82.53, 108.67 | 85 | 112 | |||
| S5 | Pre | 106.6 ± 9.42 | 94.89, 118.30 | 96 | 120 | −26.64 | |
| Post | 78.2 ± 4.32 | 72.83, 83.56 | 73 | 84 |
| Variable | Sub | Test Phase | m ± SD | 95% CI Lower, Upper | Min | Max | %Change |
|---|---|---|---|---|---|---|---|
| CR (ms) | S1 | Pre | 687.8 ± 76.02 | 593.39, 782.20 | 563 | 760 | −27.18 |
| Post | 500.8 ± 38.8 | 452.61, 548.98 | 437 | 539 | |||
| S2 | Pre | 522.6 ± 45.88 | 465.62, 579.57 | 472 | 593 | 0.53 | |
| Post | 525.4 ± 39.51 | 476.33, 574.46 | 497 | 591 | |||
| S3 | Pre | 429.2 ± 31.09 | 390.59, 467.80 | 398 | 477 | −13.37 | |
| Post | 371.8 ± 13.55 | 354.97, 388.62 | 360 | 393 | |||
| S4 | Pre | 399 ± 31.49 | 359.89, 438.10 | 350 | 432 | 1.25 | |
| Post | 404 ± 25.65 | 327.14, 435.85 | 371 | 435 | |||
| S5 | Pre | 480.2 ± 7.69 | 470.64, 489.75 | 470 | 487 | −12.66 | |
| Post | 419.4 ± 28.97 | 383.42, 455.37 | 383 | 461 | |||
| HR (bpm) | S1 | Pre | 124.93 ± 26.4 | 92.14, 157.72 | 90 | 154 | 8.85 |
| Post | 141.43 ± 28.53 | 105.99, 176.86 | 106 | 171 | |||
| S2 | Pre | 133.2 ± 21.12 | 106.97, 159.42 | 113 | 163 | 1.35 | |
| Post | 135 ± 23.72 | 105.53, 164.46 | 106 | 168 | |||
| S3 | Pre | 125 ± 13.15 | 108.66, 141.33 | 116 | 148 | 9.6 | |
| Post | 137 ± 19.72 | 112.51, 161.48 | 118 | 162 | |||
| S4 | Pre | 138.8 ± 23.47 | 109.64, 167.95 | 113 | 169 | 1.5 | |
| Post | (141 ± 26.58) | 107.99, 174 | 108 | 175 | |||
| S5 | Pre | 142.2 ± 23.13 | 113.47, 170.92 | 113 | 173 | 2.39 | |
| Post | 145.6 ± 24.77 | 114.83, 176.36 | 112 | 175 |
| Sub | Test Phase | m ± SD | 95% CI Lower, Upper | t | p | d |
|---|---|---|---|---|---|---|
| RS (ms) | Pre | 405.64± 99.13 | −36.92, 118.92 | 1.46 | 0.218 | 0.65 |
| Post | 364.64 ± 68.07 | |||||
| MS (ms) | Pre | 98.12 ± 19 | −3.14, 40.34 | 2.37 | 0.076 | 1.06 |
| Post | 79.52 ± 10.91 | |||||
| CR (ms) | Pre | 503.76 ± 113.26 | −37.30, 156.26 | 1.70 | 0.163 | 0.76 |
| Post | 444.28 ± 65.7 | |||||
| HR (bpm) | Pre | 133.82 ± 6.86 | −12.53, 0.17 | −2.69 | 0.054 | −1.20 |
| Post | 140 ± 4.13 |
Disclaimer/Publisher’s Note: The statements, opinions and data contained in all publications are solely those of the individual author(s) and contributor(s) and not of MDPI and/or the editor(s). MDPI and/or the editor(s) disclaim responsibility for any injury to people or property resulting from any ideas, methods, instructions or products referred to in the content. |
© 2025 by the authors. Licensee MDPI, Basel, Switzerland. This article is an open access article distributed under the terms and conditions of the Creative Commons Attribution (CC BY) license (https://creativecommons.org/licenses/by/4.0/).
Share and Cite
Teteris, L.E.; Saulite, S.; Licis, R.; Greve, M.; Boobani, B. Application of the Vienna Test System to Measure Training-Induced Changes in Choice Reaction Time in U20 Fencers: A 12-Week Training Program Pilot Study. Sports 2025, 13, 400. https://doi.org/10.3390/sports13110400
Teteris LE, Saulite S, Licis R, Greve M, Boobani B. Application of the Vienna Test System to Measure Training-Induced Changes in Choice Reaction Time in U20 Fencers: A 12-Week Training Program Pilot Study. Sports. 2025; 13(11):400. https://doi.org/10.3390/sports13110400
Chicago/Turabian StyleTeteris, Lukass Edmunds, Sergejs Saulite, Renars Licis, Mara Greve, and Behnam Boobani. 2025. "Application of the Vienna Test System to Measure Training-Induced Changes in Choice Reaction Time in U20 Fencers: A 12-Week Training Program Pilot Study" Sports 13, no. 11: 400. https://doi.org/10.3390/sports13110400
APA StyleTeteris, L. E., Saulite, S., Licis, R., Greve, M., & Boobani, B. (2025). Application of the Vienna Test System to Measure Training-Induced Changes in Choice Reaction Time in U20 Fencers: A 12-Week Training Program Pilot Study. Sports, 13(11), 400. https://doi.org/10.3390/sports13110400

