Diversity Characteristics and Composition of Gut Microbiota in Antheraea pernyi (Lepidoptera: Saturniidae) Larvae Across Different Instars
Simple Summary
Abstract
1. Introduction
2. Materials and Methods
2.1. Laboratory Rearing of A. pernyi Larvae
2.2. Extraction of Microbiota Total DNA from the Gut of A. pernyi Larvae
2.3. 16S rRNA Amplification and Sequencing of Gut Microbiota
2.4. Processing of Sequencing Data from the Gut of A. pernyi Larvae
2.5. Statistical Analysis of Sequencing Data from the Gut of A. pernyi Larvae
3. Results
3.1. General Sequencing Data Results of Gut Microbiota in A. pernyi Larvae
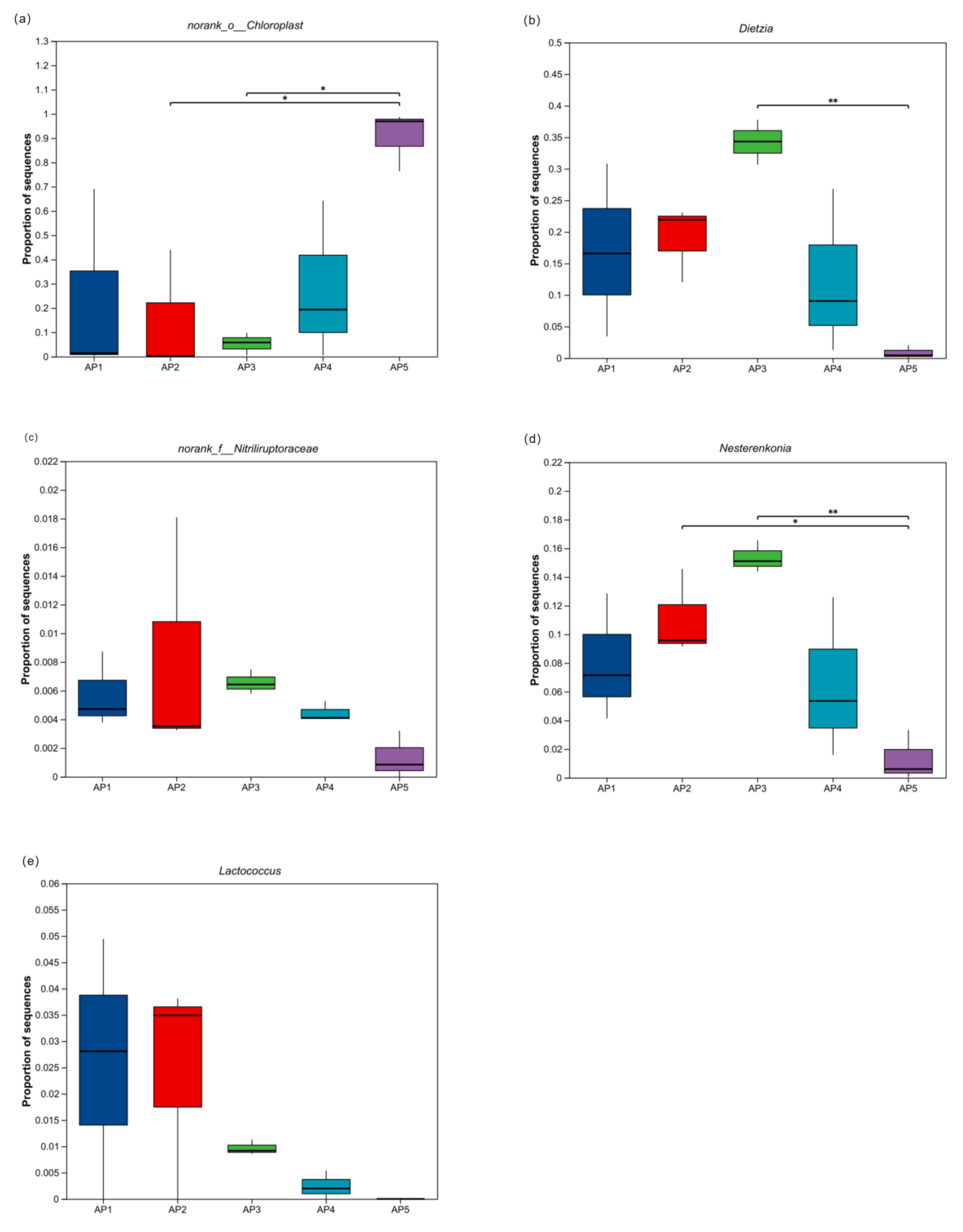
3.2. Composition and Differences In The Gut Microbiota in A. pernyi Larvae
3.3. Diversity Characteristics of the Gut Microbiota in A. pernyi Larvae
3.3.1. Alpha Diversity Analysis
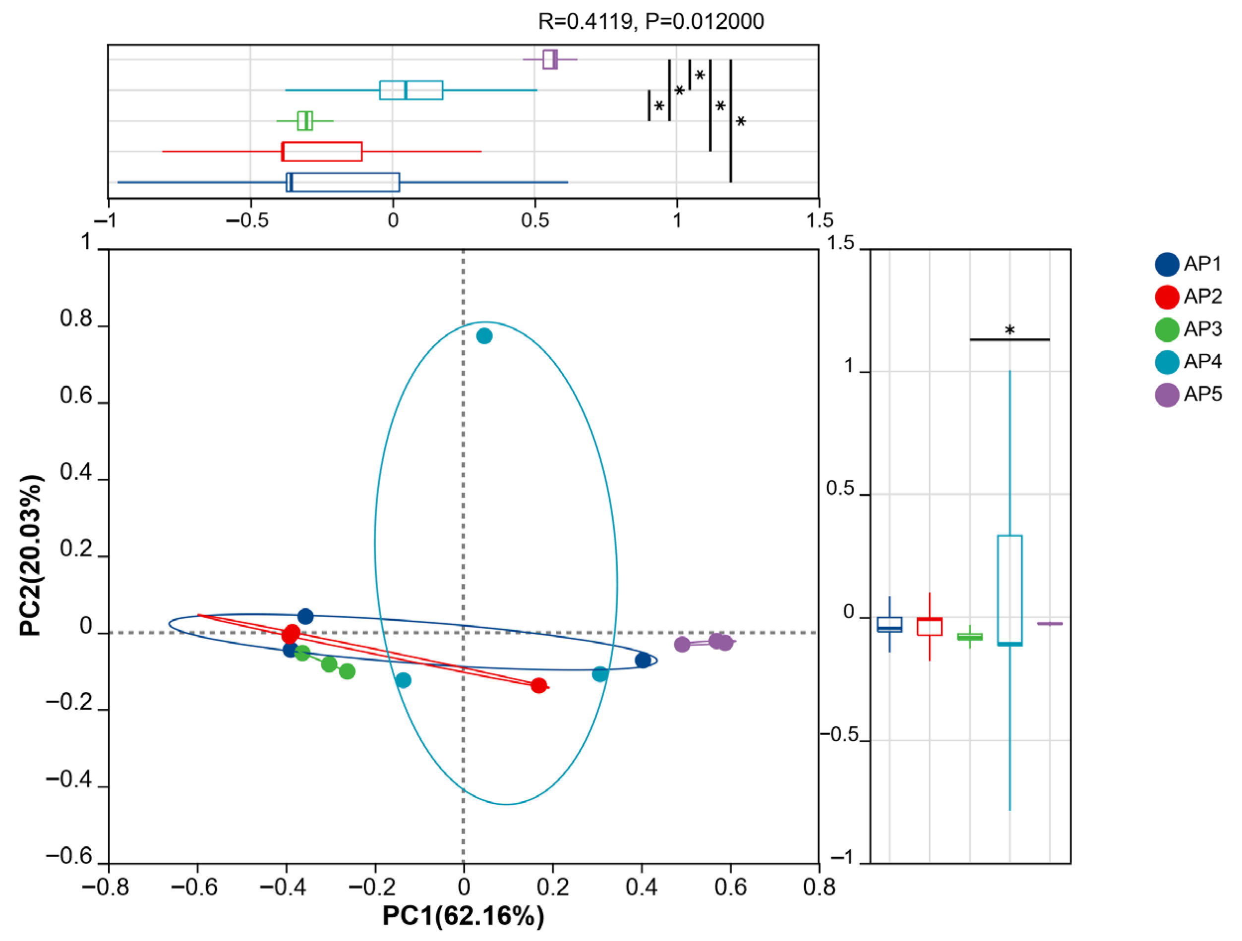
3.3.2. Beta Diversity Analysis
3.4. Functional Prediction of Gut Microbiota in A. pernyi Larvae Across Different Instars
4. Discussion
5. Conclusions
Author Contributions
Funding
Data Availability Statement
Conflicts of Interest
References
- Li, W.L.; Zhang, Z.Y.; Lin, L.; Terenius, O. Antheraea pernyi (Lepidoptera: Saturniidae) and its importance in sericulture, food consumption, and traditional Chinese medicine. J. Econ. Entomol. 2017, 110, 1404–1411. [Google Scholar] [CrossRef] [PubMed]
- Li, Q.; Li, Y.; Ambühl, D.; Liu, Y.; Li, M.; Qin, L. Nutritive composition of Chinese oak silkworm, Antheraea pernyi, a traditional edible insect in China: A review. J. Insects Food Feed 2020, 6, 355–369. [Google Scholar] [CrossRef]
- Liu, X.L.; Huang, Y.J.; Zhang, Y.; Wu, Y.; Pu, M.L.; Ren, L.S. Advances in Comprehensive Utilization of Chinese oak silkworm (Antheraea pernyi). North Seric. 2023, 44, 7–11+35. [Google Scholar]
- Wang, Y.; Zhao, X.G.; Zhang, J.S.; Qing, L. History, Current Status, and Prospects of Chinese Oak Silkworm (Antheraea pernyi). Chin. Seric. 2023, 44, 56–61. [Google Scholar]
- Hazarika, A.K.; Kalita, U. Human consumption of insects. Science 2023, 379, 140–141. [Google Scholar] [CrossRef]
- De Carvalho, N.M.; Madureira, A.R.; Pintado, M.E. The Potential of Insects as Food Sources—A Review. Crit. Rev. Food Sci. Nutr. 2019, 60, 3642–3652. [Google Scholar] [CrossRef]
- Xu, X.; Gao, Y.; Ren, S.; Liu, Z.; Zhang, Y.; Zhang, Z.; Lian, Y.; Zhu, X. An Analysis of the Gut Microbiota of Fifth-Instar Antheraea Pernyi Larvae and a Functional Exploration of a Bacillus Subtilis Strain. Insects 2025, 16, 333. [Google Scholar] [CrossRef]
- Chen, C.; Hao, Y.; Yang, J.; Zhang, J.; Wang, H.; Liu, Y. Influences of Rearing Season, Host Plant, and Silkworm Species on Gut Bacterial Community. Insects 2025, 16, 47. [Google Scholar] [CrossRef]
- López-Hernández, M.G.; Rincón-Rosales, R.; Rincón-Molina, C.I.; Manzano-Gómez, L.A.; Gen-Jiménez, A.; Maldonado-Gómez, J.C.; Rincón-Molina, F.A. Diversity and Functional Potential of Gut Bacteria Associated with the Insect Arsenura armida (Lepidoptera: Saturniidae). Insects 2025, 16, 711. [Google Scholar] [CrossRef]
- Zhang, X.; Zhang, F.; Lu, X. Diversity and Functional Roles of the Gut Microbiota in Lepidopteran Insects. Microorganisms 2022, 10, 1234. [Google Scholar] [CrossRef]
- Liu, Y.; Jing, X.Y.; Shang, L.H.; Zhang, L.N.; Ou, D.; Chen, Z.M.; Hou, Y.M. Diversity and functions of the gut microbiota in Lepidoptera insects. J. Environ. Entomol. 2025, 47, 337–349. [Google Scholar]
- Engel, P.; Moran, N.A. The gut microbiota of insects-diversity in structure and function. FEMS Microbiol. Rev. 2013, 37, 699–735. [Google Scholar] [CrossRef] [PubMed]
- Luan, J.B.; Wang, S.B. Insect symbionts: Research progresses and prospects. Acta Entomol. Sin. 2023, 66, 1271–1281. [Google Scholar]
- Schmidt, K.; Engel, P. Mechanisms Underlying Gut Microbiota-host Interactions in Insects. J. Exp. Biol. 2021, 224, jeb207696. [Google Scholar] [CrossRef] [PubMed]
- Xue, Y.; Ding, J.X.; Wang, H.X.; Fan, R.R.; Gu, X.; Wang, X.P. Characteristic of the composition and diversity of gut bacterial communities in larvae of Tuta absoluta (Lepidoptera: Gelechiidae) at various developmental stage. J. Environ. Entomol. 2025, 47, 76–86. [Google Scholar]
- Fu, J.; Wang, J.; Huang, X.; Guan, B.; Feng, Q.; Deng, H. Composition and diversity of gut microbiota across developmental stages of Spodoptera frugiperda and its effect on the reproduction. Front. Microbiol. 2023, 14, 1237684. [Google Scholar] [CrossRef]
- Zou, C.; Wei, G.; Liu, C.; Zhu, B.; Wang, Z.; Yang, W. Analysis of Bacterial Community and Screening and Identification of Enzyme-Producing Bacteria in Intestine of Antheraea pernyi. Sci. Agric. Sin. 2011, 44, 2575–2581. [Google Scholar]
- He, C.M.; He, Q.; Zhang, X. On Diversity of Bacterial Population in Microsporidia-Effected Pupa of Chinese Oil Silkworm Antheraea pernyi. J. Southwest China Norm. Univ. Nat. Sci. Ed. 2016, 41, 79–85. [Google Scholar]
- Zhang, J.; Wang, H.; Bian, H.; Wang, T.; Liu, Y. Bacterial Community Structure and Diversity in the Intestine of Chinese oak silkworm, Antheraea pernyi. Sci. Seric. 2018, 44, 78–85. [Google Scholar]
- Benjamin, J.C.; Paul, J.M.; Michael, J.R.; Andrew, W.H.; Amy, J.A.; Susan, P.H. DADA2: High-resolution sample inference from Illumina amplicon dada. Nat. Methods 2016, 13, 581–583. [Google Scholar]
- Chen, B.S.; Lu, X.M.; Shao, Y.Q. Diversity of the gut microbiota in lepidopteran insects and their interaction with hosts. Acta Entomol. Sin. 2017, 60, 710–722. [Google Scholar]
- Huang, H.M.; Zhao, X.F.; Lu, Y.Y.; Cheng, D.F. Research progress on the diversity, function and activity secondary metabolites of insect symbiotic actinomycetes. J. Environ. Entomol. 2018, 40, 1266–1275. [Google Scholar]
- Hungate, R.E. Studies on cellulose fermentation II. an anaerobic cellulose-decomposing actinomycete. J. Bacteriol. 1946, 51, 51–56. [Google Scholar] [CrossRef] [PubMed]
- Finnerty, W.R. The biology and genetics of the genus Rhodococcus. Annu. Rev. Microbiol. 1992, 46, 193–218. [Google Scholar] [CrossRef]
- Wang, H.; Zhang, J.Y.; Wang, X.M.; Hu, H.L.; Xia, R.X.; Li, Q.; Zhu, X.W.; Wang, T.M.; Liu, Y.Q.; Qin, L. Comparison of bacterial communities between midgut and midgut contents in two silkworms, Antheraea pernyi and Bombyx mori. Sci. Rep. 2020, 10, 12966. [Google Scholar] [CrossRef]
- Xu, G.; Sun, Z.; Hu, X.; Xue, R.; Cao, G.; Gong, C. Analysis on Intestinal Bacterial Diversity in Silkworm (Bombyx mori) Based on 16S rRNA gene Sequences. Sci. Seric. 2015, 41, 641–649. [Google Scholar]
- Xu, Y.; Tang, L.X.; Lu, X.R.; Wang, K.S.; Zhu, M.Q.; He, H. Effect of larval instars on the gut bacterial composition and diversity of Orthosia songi (Lepidoptera: Noctuidae). Acta Entomol. Sin. 2025, 68, 154–162. [Google Scholar]
- He, C.; Nan, X.; Zhang, Z.; Li, M. Composition and diversity analysis of the gut bacterial community of the oriental armyworm, Mythimna separata, determined by culture-independent and culture-dependent techniques. J. Insect Sci. 2013, 13, 165. [Google Scholar] [CrossRef]
- Quan, S.; Han, B.; Guo, T.K.; Du, Z.J. Effects of Feeding Bacillus subtilis Agent on Digestion and Absorption of Antheraea pernyi. Sci. Seric. 2024, 50, 78–83. [Google Scholar]
- Guo, T.K.; Du, Z.J.; Chen, F.L.; Jiang, X.Y.; Yu, Y. Screening and Identification of Cellulase producing Intestinal Bacteria of Antheraea pernyi and Characterization of Enzyme Properties. Sci. Seric. 2019, 45, 407–414. [Google Scholar]
- Jiang, R. Screening and Degradation Characteristics of Sulfamethazine and Its Intermediate Degrading Strain. Master’s Thesis, Beijing University of Technology, Beijing, China, 2022. [Google Scholar]
- Chen, B.S.; Teh, B.S.; Boland, W. Biodiversity and activity of the gut microbiota across the life history of the insect herbivore Spodoptera littoralis. Sci. Rep. 2016, 6, 29505. [Google Scholar] [CrossRef] [PubMed]
- Li, D.-D.; Li, J.-Y.; Hu, Z.-Q.; Liu, T.-X.; Zhang, S.-Z. Fall Armyworm Gut Bacterial Diversity Associated with Different Developmental Stages, Environmental Habitats, and Diets. Insects 2022, 13, 762. [Google Scholar] [CrossRef] [PubMed]
- Kwong, W.K.; Moran, N.A. Gut microbial communities of social bees. Nat. Rev. Microbiol. 2016, 14, 374–384. [Google Scholar] [CrossRef] [PubMed]
- Kou, R.M.; Li, Y.; Dou, F.Y.; Zhou, Z.Y.; Huang, D.Y. Diversity and differences of gut bacterial communities in different instar larvae and diapause prepupae of Colletes gigas (Hymenoptera: Colletidae). Acta Entomol. Sin. 2021, 64, 682–693. [Google Scholar]
- Weinhold, A. Bowel movement: Integrating host mobility and microbial transmission across host taxa. Front. Microbiol. 2022, 13, 826364. [Google Scholar] [CrossRef]
- An, P.; Xu, Y.P.; Wu, J.M.; Zheng, R.E.; Yu, X.P. Vertical transmission of insect symbionts. Acta Entomol. Sin. 2019, 62, 877–884. [Google Scholar]
- Chen, B.; Xie, S.; Zhang, X.; Zhang, N.; Feng, H.; Sun, C.; Lu, X.; Shao, Y. Gut microbiota metabolic potential correlates with body size between mulberry-feeding lepidopteran pest species. Pest Manag. Sci. 2020, 76, 1313–1323. [Google Scholar] [CrossRef]
- Chen, B.; Zhang, N.; Xie, S.; Zhang, S.; He, J.; Muhanmad, A.; Sun, C.; Lu, X.; Shao, Y. Gut bacteria of the silkworm Bombyx mori facilitate host resistance against the toxic effects of organophosphate insecticides. Environ. Int. 2020, 143, 105886. [Google Scholar] [CrossRef]
- Zhou, F.; Pang, Z.C.; Yu, X.Q.; Wang, X.Y. Insect gut microbiota research: Progress and applications. Chin. J. Appl. Entomol. 2020, 57, 600–607. [Google Scholar]
- Zheng, L.Y.; Lun, C.Z.; Liu, L.J.; Li, Z.H. Influences of insect symbionts on host growth, development and reproduction: A review. J. Plant Prot. 2022, 49, 207–219. [Google Scholar]











| Samples | Valid Reads | Average Length (bp) | Max Length (bp) | Min Length (bp) | Number of ASV | |
|---|---|---|---|---|---|---|
| AP1 | AP1_1 | 62,075 | 408 | 430 | 201 | 168 |
| AP1_2 | 69,332 | 417 | 431 | 224 | 120 | |
| AP1_3 | 71,839 | 421 | 518 | 201 | 148 | |
| Total | 203,246 | 415 | 518 | 201 | 436 | |
| AP2 | AP2_1 | 61,412 | 409 | 435 | 203 | 75 |
| AP2_2 | 68,912 | 420 | 433 | 212 | 121 | |
| AP2_3 | 67,337 | 417 | 527 | 201 | 156 | |
| Total | 197,661 | 415 | 527 | 201 | 352 | |
| AP3 | AP3_1 | 43,177 | 413 | 431 | 221 | 124 |
| AP3_2 | 68,972 | 412 | 431 | 219 | 120 | |
| AP3_3 | 72,712 | 413 | 485 | 205 | 149 | |
| Total | 184,861 | 417 | 485 | 205 | 393 | |
| AP4 | AP4_1 | 42,761 | 407 | 529 | 203 | 166 |
| AP4_2 | 65,513 | 410 | 437 | 208 | 189 | |
| AP4_3 | 44703 | 427 | 498 | 221 | 44 | |
| Total | 152,977 | 415 | 529 | 203 | 399 | |
| AP5 | AP5_1 | 62,320 | 406 | 430 | 262 | 23 |
| AP5_2 | 56,434 | 407 | 430 | 225 | 96 | |
| AP5_3 | 65,707 | 406 | 527 | 267 | 41 | |
| Total | 184,461 | 406 | 527 | 225 | 160 | |
| Samples | Richness | Diversity | ||
|---|---|---|---|---|
| ACE | Chao | Shannon | Simpson | |
| AP1 | 145.32 ± 24.57 | 145.33 ± 24.70 | 2.66 ± 0.63 | 0.22 ± 0.17 |
| AP2 | 117.91 ± 41.19 | 117.75 ± 41.00 | 2.744 ± 0.40 | 0.16 ± 0.06 |
| AP3 | 131.11 ± 15.76 | 131.00 ± 15.72 | 2.79 ± 0.17 | 0.16 ± 0.26 |
| AP4 | 133.00 ± 77.93 | 133.00 ± 77.93 | 2.01 ± 0.96 | 0.37 ± 0.22 |
| AP5 | 53.07 ± 38.40 | 53.00 ± 38.43 | 0.63 ± 0.76 | 0.82 ± 0.21 |
Disclaimer/Publisher’s Note: The statements, opinions and data contained in all publications are solely those of the individual author(s) and contributor(s) and not of MDPI and/or the editor(s). MDPI and/or the editor(s) disclaim responsibility for any injury to people or property resulting from any ideas, methods, instructions or products referred to in the content. |
© 2025 by the authors. Licensee MDPI, Basel, Switzerland. This article is an open access article distributed under the terms and conditions of the Creative Commons Attribution (CC BY) license (https://creativecommons.org/licenses/by/4.0/).
Share and Cite
Hou, P.; Liu, L.; Ma, X.; Men, Y.; Yang, D.; Wang, J.; Zhang, C. Diversity Characteristics and Composition of Gut Microbiota in Antheraea pernyi (Lepidoptera: Saturniidae) Larvae Across Different Instars. Insects 2025, 16, 909. https://doi.org/10.3390/insects16090909
Hou P, Liu L, Ma X, Men Y, Yang D, Wang J, Zhang C. Diversity Characteristics and Composition of Gut Microbiota in Antheraea pernyi (Lepidoptera: Saturniidae) Larvae Across Different Instars. Insects. 2025; 16(9):909. https://doi.org/10.3390/insects16090909
Chicago/Turabian StyleHou, Peng, Li Liu, Xin Ma, Ying Men, Ding Yang, Jianfeng Wang, and Chuntian Zhang. 2025. "Diversity Characteristics and Composition of Gut Microbiota in Antheraea pernyi (Lepidoptera: Saturniidae) Larvae Across Different Instars" Insects 16, no. 9: 909. https://doi.org/10.3390/insects16090909
APA StyleHou, P., Liu, L., Ma, X., Men, Y., Yang, D., Wang, J., & Zhang, C. (2025). Diversity Characteristics and Composition of Gut Microbiota in Antheraea pernyi (Lepidoptera: Saturniidae) Larvae Across Different Instars. Insects, 16(9), 909. https://doi.org/10.3390/insects16090909

