Activity Patterns, Population Dynamics, and Spatial Distribution of the Stick Tea Thrips, Dendrothrips minowai, in Tea Plantations
Abstract
:Simple Summary
Abstract
1. Introduction
2. Materials and Methods
2.1. Study Areas
2.2. Materials and Thrips Identification
2.3. Flight Height Observations
2.4. Diurnal Activity Patterns
2.5. Spatial Distribution and Sex Ratio
2.6. Seasonal Abundance
2.7. Statistical Analyses
3. Results
3.1. Flight Height
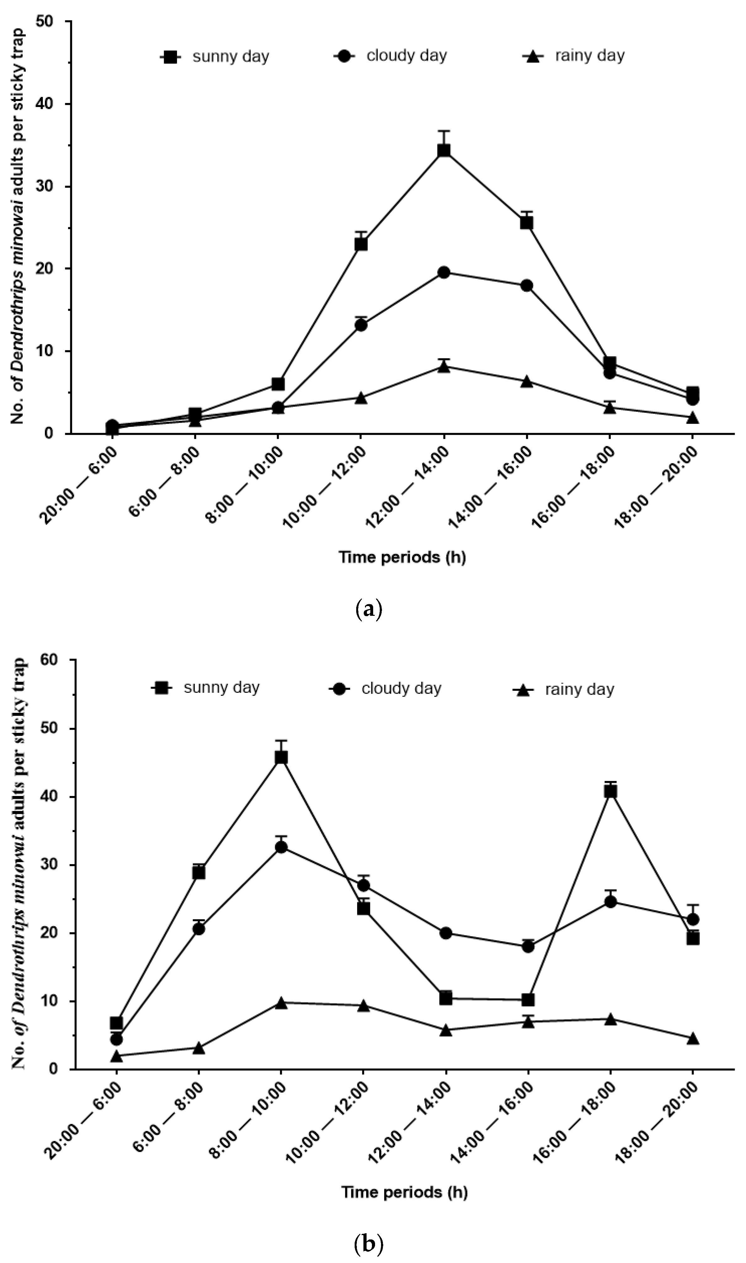
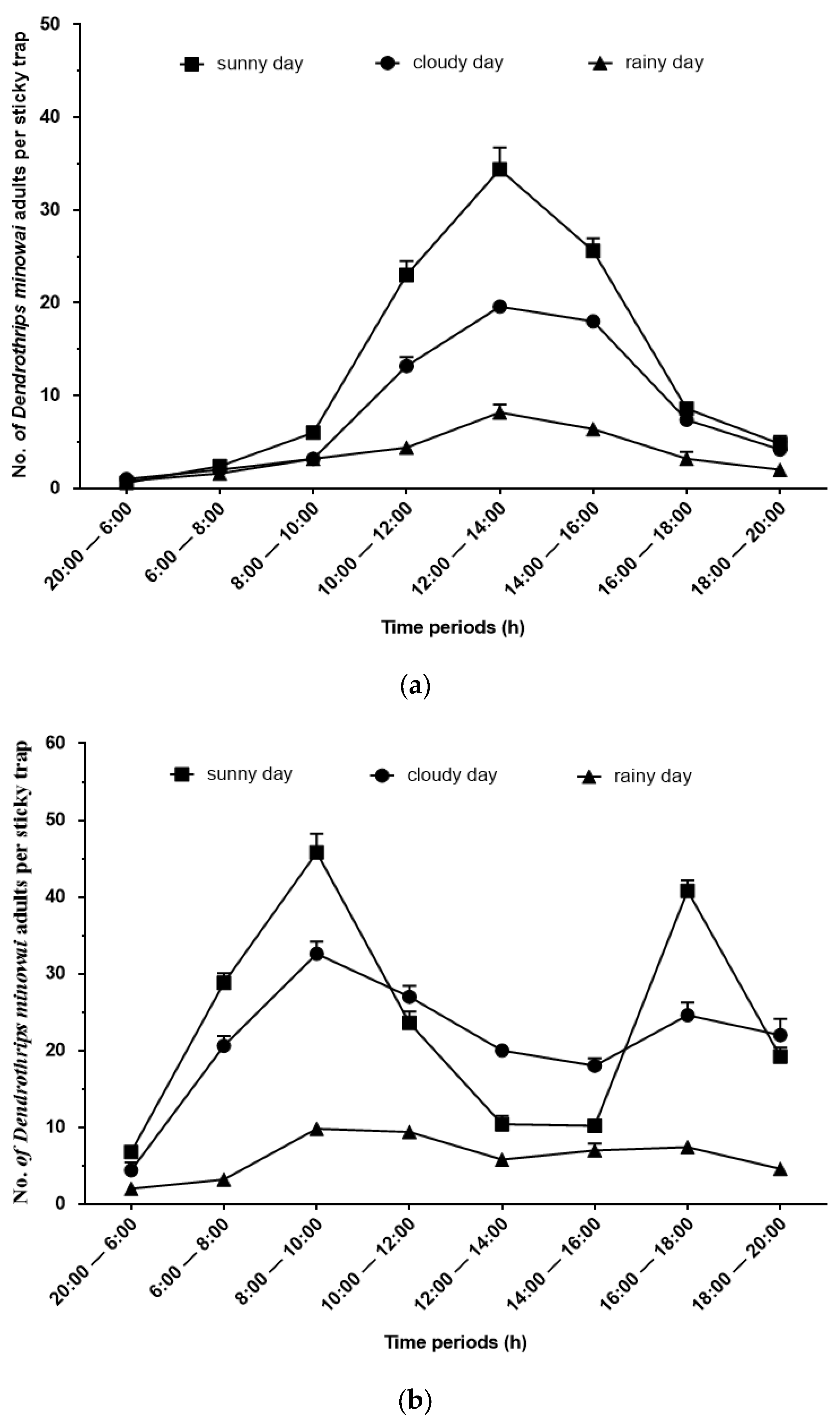
3.2. Diurnal Activity Patterns
3.3. Spatial Distribution and Sex Ratio
3.4. Seasonal Abundance of D. minowai
4. Discussion
5. Conclusions
Supplementary Materials
Author Contributions
Funding
Data Availability Statement
Acknowledgments
Conflicts of Interest
References
- Whitfield, A.E.; Ullman, D.E.; German, T.L. Tospovirus-thrips interactions. Annu. Rev. Phytopathol. 2005, 43, 459–489. [Google Scholar] [CrossRef] [PubMed]
- Morse, J.G.; Hoddle, M.S. Invasion biology of thrips. Annu. Rev. Entomol. 2006, 51, 67–89. [Google Scholar] [CrossRef] [PubMed]
- Wu, S.Y.; Xing, Z.L.; Ma, T.T.; Xu, D.W.; Li, Y.Y.; Lei, Z.R.; Gao, Y.L. Competitive interaction between Frankliniella occidentalis and locally present thrips species: A global review. J. Pest Sci. 2021, 94, 5–16. [Google Scholar] [CrossRef]
- Aliakbarpour, H.; Salmah, M.B.C.; Dieng, H. Species composition and population dynamics of thrips (Thysanoptera) in mango orchards of Northern Peninsular Malaysia. Environ. Entomol. 2010, 39, 1409–1419. [Google Scholar] [CrossRef] [PubMed]
- Mehle, N.; Trdan, S. Traditional and modern methods for the identification of thrips (Thysanoptera) species. J. Pest Sci. 2012, 85, 179–190. [Google Scholar] [CrossRef]
- Pappu, H.R.; Jones, R.A.C.; Jain, R.K. Global status of tospovirus epidemics in diverse cropping systems: Successes achieved and challenges ahead. Virus Res. 2009, 141, 219–236. [Google Scholar] [CrossRef]
- Rotenberg, D.; Jacobson, A.L.; Schneweis, D.J.; Whiffleld, A.E. Thrips transmission of tospoviruses. Curr. Opin. Virol. 2015, 15, 80–89. [Google Scholar] [CrossRef]
- Turcios Palomo, L.A.; Bautista Martinez, N.; Johansen-Naime, R.; Romero Napoles, J.; Segura Leon, O.; Sanchez Arroyo, H.; Vera Graziano, J. Population fluctuations of thrips (Thysanoptera) and their relationship to the phenology of vegetable crops in the central region of Mexico. Fla. Entomol. 2015, 98, 430–438. [Google Scholar] [CrossRef]
- Johari, A.; Lukman, A.; Muswita. The abundance of thrips (Thysanoptera) on vegetables plantation in Jambi region, Sumatera, Indonesia. J. Entomol. Sci. 2017, 41, 25–32. [Google Scholar] [CrossRef]
- Kumar, V.; Kakkar, G.; Seal, D.R.; McKenzie, C.L.; Colee, J.; Osborne, L.S. Temporal and spatial distribution of an invasive thrips species Scirtothrips dorsalis (Thysanoptera: Thripidae). Crop Prot. 2014, 55, 80–90. [Google Scholar] [CrossRef]
- Bian, L.; Yang, P.X.; Yao, Y.J.; Luo, Z.X.; Cai, X.M.; Chen, Z.M. Effect of trap color, height, and orientation on the capture of yellow and stick tea thrips (Thysanoptera: Thripidae) and nontarget insects in tea gardens. J. Econ. Entomol. 2016, 109, 1241–1248. [Google Scholar] [CrossRef]
- Lyu, Z.Y.; Zhi, J.R.; Zhou, Y.F.; Meng, Z.H.; Wen, J. Population genetic structure and migration patterns of Dendrothrips minowai (Thysanoptera: Thripidae) in Guizhou, China. Entomol. Sci. 2017, 20, 127–136. [Google Scholar] [CrossRef]
- Lyu, Z.Y.; Zhou, Y.F.; Meng, Z.H. Current situation and prospect on tea thrips of Guizhou. Guizhou Tea 2013, 41, 1–3. (In Chinese) [Google Scholar]
- Yang, Z.; Li, J.X.; Xu, S.j.; Shi, F.H.; Li, Z.Y.; Zhang, H.R. Species of thrips on tea plant and control effect of common pesticides against thrips. J. Southern Agric. 2017, 48, 831–836. (In Chinese) [Google Scholar]
- Xie, Y.L.; Wu, C.Y.; Wang, Y.Y.; Li, X.J.; Yang, J.; Zhang, H.R. DNA barcoding of Yunnan tea plant thrips and investigation of the dynamics of the dominant thrip populations in the Lincang tea-growing area. Chin. J. Appl. Entomol. 2022, 59, 754–764. (In Chinese) [Google Scholar]
- Chen, S.C.; Jiang, H.Y.; Peng, P.; Hu, X.; Wang, X.Q. The complete mitochondrial genome of the stick tea thrips Dendrothrips minowai (Thysanoptera: Thripidae). Mitochondrial DNA Part B 2018, 3, 58–59. [Google Scholar] [CrossRef]
- Xiu, C.L.; Zhang, F.G.; Pan, H.S.; Bian, L.; Luo, Z.X.; Li, Z.Q.; Fu, N.X.; Cai, X.M.; Chen, Z.M. Evaluation of selected plant volatiles as attractants for Dendrothrips minowai in the laboratory and tea plantation. Insects 2022, 13, 509. [Google Scholar] [CrossRef]
- Li, X.Y.; Qi, P.Y.; Zhang, Q.P.; Zhang, R.F.; Chen, Z.; Jin, L.H.; Song, B.A. Introduction of two predators to control Dendrothrips minowai (Thysanoptera: Thripidae) in tea (Camellia sinensis) plantations in China. Biocontrol Sci. Technol. 2020, 30, 431–441. [Google Scholar] [CrossRef]
- Zhang, C.R.; Liu, M.; Ban, F.X.; Shang, X.L.; Liu, S.L.; Mao, T.T.; Zhang, X.Y.; Zhi, J.R. Establishment of a faba bean banker plant system with predator Orius strigicollis for the control of thrips Dendrothrips minowai on tea plants under laboratory conditions. Insects 2021, 12, 397. [Google Scholar] [CrossRef]
- Ye, G.Y.; Xiao, Q.; Chen, M.; Chen, X.X.; Yuan, Z.J.; Stanley, D.W.; Hu, C. Tea: Biological control of insect and mite pests in China. Biol. Control 2014, 68, 73–91. [Google Scholar] [CrossRef]
- Nakai, M.; Lacey, L.A. Microbial control of insect pests of tea and coffee. Microb. Control Insect Mite Pests 2017, 15, 223–235. [Google Scholar]
- Zeng, M.S. Control of Dendrothrips minowai Priesne with aqueou foam covering. Acta Tea Sin. 2019, 60, 75–79. (In Chinese) [Google Scholar]
- Juhász, A.L.; Szalai, M.; Szénási, Á. Assessing the impact of variety, irrigation, and plant distance on predatory and phytophagous insects in chili. Horticulturae 2022, 8, 741. [Google Scholar] [CrossRef]
- Aliakbarpour, H.; Salmah, M.R.C. Seasonal abundance and spatial distribution of larval and adult thrips (Thysanoptera) on weed host plants in mango orchards in Penang, Malaysia. Appl. Entomol. Zool. 2011, 46, 185–194. [Google Scholar] [CrossRef]
- Natwick, E.T.; Byers, J.A.; Chu, C.C.; Lopez, M.; Henneberry, T.J. Early detection and mass trapping of Frankliniella occidentalls(1) and thrips tabaci(1) in vegetable crops. Southwest. Entomol. 2007, 32, 229–238. [Google Scholar] [CrossRef]
- Nakamura, Y.; Shibao, M.; Tanaka, H.; Yano, E. Timing of the attraction of melon thrips, Thrips pahni (Thysanoptera: Thripidae), to reflective-type traps combined with blue sticky board and a blue LED array. Jpn. J. Appl. Entomol. Z. 2014, 58, 313–318. [Google Scholar] [CrossRef]
- Fu, B.L.; Xia, X.Y.; Qiu, H.Y.; Li, Q.; Tang, L.D.; Zhang, X.; Zeng, D.Q.; Liu, K. Population activities, occurrence dynamics, and spatial distribution pattern of Thrips hawaiiensis in banana orchards. Acta Ecol. Sin. 2019, 39, 4996–5004. (In Chinese) [Google Scholar]
- Pan, H.S.; Lu, Y.H.; Wyckhuys, K.A.G.; Wu, K.M. Preference of a polyphagous mirid bug, Apolygus lucorum (Meyer-Dür) for flowering host plants. PLoS ONE 2013, 8, e68980. [Google Scholar] [CrossRef]
- Lu, Y.H.; Wu, K.M.; Wyckhuys, K.A.G.; Guo, Y.Y. Potential of mungbean, Vigna radiatus as a trap crop for managing Apolygus lucorum (Hemiptera: Miridae) on Bt cotton. Crop Prot. 2009, 28, 77–81. [Google Scholar] [CrossRef]
- Taylor, L.R. Aggregation, variance and the mean. Nature 1961, 189, 732–735. [Google Scholar] [CrossRef]
- Smith, P.E. Ecological methods with particular reference to the study of insect populations. Ecology 1979, 60, 1290. [Google Scholar] [CrossRef]
- Klueken, A.M.; Hau, B.; Ulber, B.; Poehling, H.M. Forecasting migration of cereal aphids (Hemiptera: Aphididae) in autumn and spring. J. Appl. Entomol. 2009, 133, 328–344. [Google Scholar] [CrossRef]
- Rodriguez-Saona, C.R.; Polavarapu, S.; Barry, J.D.; Polk, D.; Jörnsten, R.; Oudemans, P.V.; Liburd, O.E. Color preference, seasonality, spatial distribution and species composition of thrips (Thysanoptera: Thripidae) in northern highbush blueberries. Crop Prot. 2010, 29, 1331–1340. [Google Scholar] [CrossRef]
- Liang, X.H.; Lei, Z.R.; Wen, J.Z.; Zhu, M.L. The diurnal flight activity and influential factors of Frankliniella occidentalis in the greenhouse. Insects 2010, 17, 535–541. [Google Scholar] [CrossRef]
- Holmes, N.D. Diel Patterns of Behaviour in the Western Flower Thrips. Ph.D. Thesis, Keele University, Newcastle, UK, 2006. [Google Scholar]
- Kirk, W.D.J. Distribution, abundance and population dynamics. In Thrips as Crop Pests; Lewis, T., Ed.; CAB International: Wallingford, UK, 1997; pp. 217–257. [Google Scholar]
- Aliakbarpour, H.; Che Salmah, M.R. Diurnal activity of four species of thrips (Thysanoptera: Thripidae) and efficiencies of three nondestructive sampling techniques for thrips in mango inflorescences. J. Econ. Entomol. 2010, 103, 631–640. [Google Scholar] [CrossRef]
- Salguero-Navas, V.E.; Funderburk, J.E.; Mack, T.P.; Beshear, R.J.; Olson, S.M. Aggregation indices and sample size curves for binomial sampling of flower inhabiting Frankliniella species (Thysanoptera: Thripidae) on tomato. J. Econ. Entomol. 1994, 87, 1622–1626. [Google Scholar]
- Wang, K.; Shipp, J. Sequential sampling plans for western flower thrips (Thysanoptera: Thripidae) on greenhouse cucumbers. J. Econ. Entomol. 2001, 94, 579–585. [Google Scholar] [CrossRef]
- Parajulee, M.N.; Shrestha, R.B.; Leser, J.F. Sampling methods, dispersion patterns, and fixed precision sequential sampling plans for western flower thrips (Thysanoptera: Thripidae) and cotton fleahoppers (Hemiptera: Miridae) in cotton. J. Econ. Entomol. 2006, 99, 568–577. [Google Scholar] [CrossRef]
- Kakkar, G.; Seal, D.R.; Kumar, V. Assessing abundance and distribution of an invasive thrips Frankliniella schultzei (Thysanoptera: Thripidae) in south Florida. Bull. Entomol. Res. 2012, 102, 249–259. [Google Scholar] [CrossRef]
- Navarro-Campos, C.; Aguilar, A.; Garcia-Marí, F. Aggregation pattern, sampling plan, and intervention threshold for Pezothrips kellyanusin citrus groves. Entomol. Exp. Appl. 2012, 142, 130–139. [Google Scholar] [CrossRef]
- Prasannakumar, N.R.; Prasad, R.B.S.; Bhat, P.S. Distribution pattern and sequential sampling plan for chilli thrips, Scirtothrips dorsalis Hood (Thripidae: Thysanoptera). Int. J. Trop. Insect Sci. 2020, 40, 131–139. [Google Scholar] [CrossRef]
- Forsythe, H.P.; Gyrisco, G.C. The spatial pattern of the pera aphid in alfalfa fields. J. Econ. Entomol. 1963, 56, 104–107. [Google Scholar] [CrossRef]
- Gu, X.; Bei, Y.; Gao, C.; Chen, H. Population growth, distribution pattern and sampling technique of Thrips palmi on eggplant. J. Appl. Entomol. 2000, 11, 866–868. [Google Scholar]
- Shen, X.; Shi, L.Z.; Pan, H.B.; Li, B.; Wu, Y.Y.; Tu, Y.Y. Identification of triterpenoid saponins in flowers of four Camellia Sinensis cultivars from Zhejiang province: Differences between cultivars, developmental stages, and tissues. Ind. Crops Prod. 2017, 95, 140–147. [Google Scholar] [CrossRef]
- Wu, G.H.; Cui, L.; Wang, M.X.; Li, H.L.; Han, B.Y. Attraction of aroma from tea flowers and leaves to the Chinese honeybees (Apis cerana). Acta Ecol. Sin. 2020, 40, 4024–4031. (In Chinese) [Google Scholar]





| Sites | Date | Average Density (m) | Variance (V) | Diffusion Coefficient (C) | Diffusion Index (Ca) | Negative Binomial Distribution (K) | Index of Clumping (I) | Aggregating Index (M*/m) | Sex Ratio (F:M) | |
|---|---|---|---|---|---|---|---|---|---|---|
| Hangzhou | Xihu District | 3 April 2022 | 34.4 ± 5.99 | 44.8 | 1.3023 | 0.0088 | 113.7846 | 0.3023 | 1.0088 | 3.59:1.00 |
| 7 April 2022 | 64.0 ± 8.07 | 81.5 | 1.2734 | 0.0043 | 234.0571 | 0.2734 | 1.0043 | 3.74:1.00 | ||
| 12 April 2022 | 93.8 ± 9.83 | 120.7 | 1.2868 | 0.0031 | 327.0796 | 0.2868 | 1.0031 | 3.09:1.00 | ||
| 17 April 2022 | 150.8 ± 14.13 | 249.7 | 1.6558 | 0.0043 | 229.9357 | 0.6558 | 1.0043 | 2.99:1.00 | ||
| 27 April 2022 | 232.2 ± 22.11 | 611.2 | 2.6322 | 0.0070 | 142.2608 | 1.6322 | 1.0070 | 2.12:1.00 | ||
| 5 May 2022 | 274.0 ± 34.96 | 1527.5 | 5.5748 | 0.0167 | 59.8931 | 4.5748 | 1.0167 | 2.28:1.00 | ||
| 16 May 2022 | 365.8 ± 44.66 | 2493.7 | 6.8171 | 0.0159 | 62.8834 | 5.8171 | 1.0159 | 1.65:1.00 | ||
| 23 May 2022 | 531.2 ± 62.45 | 4875.2 | 9.1777 | 0.0154 | 64.9571 | 8.1777 | 1.0154 | 1.34:1.00 | ||
| 29 May 2022 | 720.0 ± 69.56 | 6047.5 | 8.3993 | 0.0103 | 97.3064 | 7.3993 | 1.0103 | 1.21:1.00 | ||
| 4 June 2022 | 248.2 ± 24.46 | 747.7 | 3.0125 | 0.0081 | 123.3298 | 2.0125 | 1.0081 | 1.00:1.38 | ||
| 11 June 2022 | 170.0 ± 17.74 | 393.5 | 2.3147 | 0.0077 | 129.3065 | 1.3147 | 1.0077 | 1.00:2.10 | ||
| 15 June 2022 | 135.6 ± 12.61 | 198.8 | 1.4661 | 0.0034 | 290.9392 | 0.4661 | 1.0034 | 1.00:2.36 | ||
| 21 June 2022 | 95.8 ± 9.33 | 108.7 | 1.1347 | 0.0014 | 711.4450 | 0.1347 | 1.0014 | 1.00:1.51 | ||
| 24 June 2022 | 66.2 ± 8.30 | 86.2 | 1.3021 | 0.0046 | 219.1220 | 1.3021 | 1.0046 | 1.29:1.00 | ||
| 28 June 2022 | 34.2 ± 6.31 | 49.7 | 1.4532 | 0.0133 | 75.4606 | 1.4532 | 1.0133 | 1.41:1.00 | ||
| Yuhang District | 4 April 2022 | 37.4 ± 6.62 | 54.8 | 1.4652 | 0.0124 | 80.3885 | 0.4652 | 1.0124 | 4.53:1.00 | |
| 14 April 2022 | 91.0 ± 9.27 | 107.5 | 1.1813 | 0.0020 | 501.8788 | 0.1813 | 1.0020 | 3.80:1.00 | ||
| 25 April 2022 | 157.4 ± 15.04 | 282.8 | 1.7967 | 0.0051 | 197.5659 | 0.7967 | 1.0051 | 3.20:1.00 | ||
| 15 May 2022 | 282.8 ± 19.81 | 490.7 | 1.7351 | 0.0026 | 384.6842 | 0.7351 | 1.0026 | 2.20:1.00 | ||
| 24 May 2022 | 516.4 ± 55.62 | 3866.3 | 7.487 | 0.0126 | 79.6051 | 6.4870 | 1.0126 | 1.45:1.00 | ||
| 28 May 2022 | 311.6 ± 25.16 | 791.3 | 2.5395 | 0.0049 | 202.4068 | 1.5395 | 1.0049 | 1.23:1.00 | ||
| 2 June 2022 | 245.0 ± 23.77 | 706.5 | 2.8837 | 0.0077 | 130.0650 | 1.8837 | 1.0077 | 1.00:1.98 | ||
| 9 June 2022 | 223.6 ± 23.55 | 693.3 | 301006 | 0.0094 | 106.4445 | 2.1006 | 1.0094 | 1.00:2.91 | ||
| 16 June 2022 | 141.6 ± 11.88 | 176.3 | 1.2451 | 0.0017 | 577.8259 | 0.2451 | 1.0017 | 1.00:3.47 | ||
| 22 June 2022 | 89.0 ± 10.64 | 141.5 | 1.5899 | 0.0066 | 150.8762 | 0.5899 | 1.0066 | 1.00:1.74 | ||
| 27 June 2022 | 66.6 ± 9.48 | 112.3 | 1.6862 | 0.0103 | 97.0582 | 0.6862 | 1.0103 | 1.17:1.00 | ||
| Shaoxing | Yuecheng District | 1 April 2021 | 36.6 ± 6.22 | 48.3 | 1.3197 | 0.0087 | 114.4923 | 0.3197 | 1.0087 | 1.35:1.00 |
| 6 April 2021 | 58.6 ± 7.28 | 66.3 | 1.1314 | 0.0022 | 445.9688 | 0.1314 | 1.0022 | 1.41:1.00 | ||
| 10 April 2021 | 95.0 ± 9.23 | 106.5 | 1.1211 | 0.0013 | 784.7826 | 0.1211 | 1.0013 | 1.59:1.00 | ||
| 15 April 2021 | 154.8 ± 12.30 | 189.2 | 1.2222 | 0.0014 | 696.6000 | 0.2222 | 1.0014 | 1.71:1.00 | ||
| 23 April 2021 | 159.2 ± 15.47 | 299.2 | 1.8794 | 0.0055 | 181.0331 | 0.8794 | 1.0055 | 1.99:1.00 | ||
| 29 April 2021 | 259.6 ± 22.79 | 649.3 | 2.5012 | 0.0058 | 172.9334 | 1.5012 | 1.0058 | 2.08:1.00 | ||
| 4 May 2021 | 278.2 ± 26.10 | 851.7 | 3.0615 | 0.0074 | 134.9525 | 2.0615 | 1.0074 | 2.32:1.00 | ||
| 12 May 2021 | 335.2 ± 31.91 | 1272.7 | 3.7968 | 0.0083 | 119.8496 | 2.7968 | 1.0083 | 2.99:1.00 | ||
| 22 May 2021 | 431.2 ± 57.79 | 4175.2 | 9.6827 | 0.0201 | 49.6617 | 8.6827 | 1.0201 | 3.34:1.00 | ||
| 27 May 2021 | 322.4 ± 40.56 | 2056.3 | 6.3781 | 0.0167 | 59.9468 | 5.3781 | 1.0167 | 3.23:1.00 | ||
| 1 June 2021 | 259.8 ± 28.21 | 994.7 | 3.8287 | 0.0109 | 91.8438 | 2.8287 | 1.0109 | 2.24:1.00 | ||
| 7 June 2021 | 227.4 ± 27.94 | 975.8 | 4.2911 | 0.0145 | 69.0951 | 3.2911 | 1.0145 | 1.80:1.00 | ||
| 10 June 2021 | 177.4 ± 22.55 | 635.8 | 3.584 | 0.0146 | 68.6535 | 2.5840 | 1.0146 | 1.00:1.00 | ||
| 14 June 2021 | 140.2 ± 15.84 | 313.7 | 2.2375 | 0.0088 | 113.2913 | 1.2375 | 1.0088 | 1.00:2.04 | ||
| 23 June 2021 | 89.0 ± 9.65 | 116.5 | 1.309 | 0.0035 | 288.0364 | 0.3090 | 1.0035 | 1.00:2.26 | ||
| 26 June 2021 | 63.8 ± 8.13 | 82.7 | 1.2962 | 0.0046 | 215.3672 | 0.2962 | 1.0046 | 1.00:3.37 | ||
| 29 June 2021 | 33.2 ± 5.91 | 43.7 | 1.3163 | 0.0095 | 104.9752 | 0.3163 | 1.0095 | 2.00:1.00 | ||
| Shengzhou | 8 May 2022 | 309.4 ± 35.19 | 1548.3 | 5.0042 | 0.0129 | 77.2688 | 4.0042 | 1.0129 | 3.71:1.00 | |
| 17 May 2022 | 329.2 ± 47.8 | 2855.7 | 8.6747 | 0.0233 | 42.8944 | 7.6747 | 1.0233 | 3.19:1.00 | ||
| 25 May 2022 | 380.0 ± 53.51 | 3579 | 9.4184 | 0.0222 | 45.1391 | 8.4184 | 1.0222 | 2.58:1.00 | ||
| 3 June 2022 | 256.4 ± 29.96 | 1121.8 | 4.3752 | 0.0132 | 75.9660 | 3.3752 | 1.0132 | 1.21:1.00 | ||
| 11 June 2022 | 179.0 ± 27.17 | 922.5 | 5.1536 | 0.0232 | 43.0948 | 4.1536 | 1.0232 | 1.00:2.00 | ||
| 18 June 2022 | 89.2 ± 17.45 | 380.7 | 4.2679 | 0.0366 | 27.2955 | 3.2679 | 1.0366 | 1.00:3.71 | ||
| 25 June 2022 | 33.2 ± 5.91 | 43.7 | 1.3163 | 0.0095 | 104.9752 | 0.3163 | 1.0095 | 1.00:1.56 | ||
| Sites | Date | Average Density (m) | Variance (V) | Diffusion Coefficient (C) | Diffusion Index (Ca) | Negative Binomial Distribution (K) | Index of Clumping (I) | Aggregating Index (M*/m) |
|---|---|---|---|---|---|---|---|---|
| Shaoxing (Yuecheng District) | 10 April 2021 | 39.3 ± 6.46 | 52.2 | 1.3277 | 0.0083 | 120.0345 | 0.3277 | 1.0083 |
| 15 April 2022 | 38.7 ± 6.18 | 47.8 | 1.2356 | 0.0061 | 164.0976 | 0.2356 | 1.0061 | |
| 23 April 2022 | 48.7 ± 12.40 | 192.2 | 3.9498 | 0.0606 | 16.4985 | 2.9498 | 1.0606 | |
| 29 April 2022 | 53.3 ± 17.30 | 373.9 | 7.0196 | 0.1130 | 8.8489 | 6.0196 | 1.1130 | |
| 4 May 2022 | 45.3 ± 12.04 | 181.1 | 3.9951 | 0.0661 | 15.1358 | 2.9951 | 1.0661 | |
| 12 May 2022 | 60.7 ± 14.05 | 246.7 | 4.0659 | 0.0505 | 19.7873 | 3.0659 | 1.0505 | |
| 18 May 2022 | 128.7 ± 36.00 | 1620.0 | 12.5907 | 0.0901 | 11.1009 | 11.5907 | 1.0901 | |
| 22 May 2022 | 172.0 ± 52.18 | 3403.3 | 19.7868 | 0.1092 | 9.1554 | 18.7868 | 1.1092 | |
| 27 May 2022 | 236.7 ± 57.46 | 4127.8 | 17.4413 | 0.0695 | 14.3946 | 16.4413 | 1.0695 | |
| 1 June 2022 | 96.8 ± 16.56 | 342.6 | 3.5391 | 0.0262 | 38.1231 | 2.5391 | 1.0262 | |
| 7 June 2022 | 84.0 ± 19.25 | 463.3 | 5.5159 | 0.0538 | 18.6011 | 4.5159 | 1.0538 | |
| 10 June 2022 | 44.0 ± 9.04 | 102.2 | 2.3232 | 0.0301 | 33.2519 | 1.3232 | 1.0301 |
Disclaimer/Publisher’s Note: The statements, opinions and data contained in all publications are solely those of the individual author(s) and contributor(s) and not of MDPI and/or the editor(s). MDPI and/or the editor(s) disclaim responsibility for any injury to people or property resulting from any ideas, methods, instructions or products referred to in the content. |
© 2023 by the authors. Licensee MDPI, Basel, Switzerland. This article is an open access article distributed under the terms and conditions of the Creative Commons Attribution (CC BY) license (https://creativecommons.org/licenses/by/4.0/).
Share and Cite
Zhang, F.; Cai, X.; Jin, L.; Yang, G.; Luo, Z.; Bian, L.; Li, Z.; Fu, N.; Chen, Z.; Wang, G.; et al. Activity Patterns, Population Dynamics, and Spatial Distribution of the Stick Tea Thrips, Dendrothrips minowai, in Tea Plantations. Insects 2023, 14, 152. https://doi.org/10.3390/insects14020152
Zhang F, Cai X, Jin L, Yang G, Luo Z, Bian L, Li Z, Fu N, Chen Z, Wang G, et al. Activity Patterns, Population Dynamics, and Spatial Distribution of the Stick Tea Thrips, Dendrothrips minowai, in Tea Plantations. Insects. 2023; 14(2):152. https://doi.org/10.3390/insects14020152
Chicago/Turabian StyleZhang, Fengge, Xiaoming Cai, Limeng Jin, Guojun Yang, Zongxiu Luo, Lei Bian, Zhaoqun Li, Nanxia Fu, Zongmao Chen, Guochang Wang, and et al. 2023. "Activity Patterns, Population Dynamics, and Spatial Distribution of the Stick Tea Thrips, Dendrothrips minowai, in Tea Plantations" Insects 14, no. 2: 152. https://doi.org/10.3390/insects14020152
APA StyleZhang, F., Cai, X., Jin, L., Yang, G., Luo, Z., Bian, L., Li, Z., Fu, N., Chen, Z., Wang, G., & Xiu, C. (2023). Activity Patterns, Population Dynamics, and Spatial Distribution of the Stick Tea Thrips, Dendrothrips minowai, in Tea Plantations. Insects, 14(2), 152. https://doi.org/10.3390/insects14020152

