Simple Summary
The whitefly pest complex Bemisia tabaci is one of the most devastating agricultural pests globally. Over the past two decades, B. tabaci populations reportedly increased in abundance throughout the cassava-growing regions of East and Central Africa. The current outbreak of large B. tabaci populations heightened its importance as a direct pest of cassava and also increased the prevalence of B. tabaci transmitted diseases, e.g., cassava mosaic disease and cassava brown streak disease. This undermined food security and livelihood benefits of cassava, a key staple crop in Africa with great resilience to climate change. Reasons for B. tabaci population increases are not well understood. Therefore, no practical options were developed for smallholder farmers in the region. To aid the design of effective and sustainable management strategies of the pest, we conducted field trials using five cassava genotypes in 2016 and 2017 to understand how the environment, cassava genotypes, and their interactions affect B. tabaci field populations. Our results revealed that mean monthly temperatures of 28–30 °C, total monthly rainfall of 30–150 mm, mean monthly RH of 55–70%, and development of cassava genotypes of low plant height and large leaf area and lobe width had a positive effect on B. tabaci population growth.
Abstract
High populations of species in the whitefly complex Bemisia tabaci Gennadius (Hemiptera: Aleyrodidae) were reported to cause severe damage to cassava in East and Central Africa. However, reasons for B. tabaci population increases are not well understood. We investigated the effect of cassava morphological traits, temperature, rainfall and relative humidity (RH) on the abundance of B. tabaci. Five cassava genotypes with varying levels of resistance to cassava mosaic disease, cassava brown streak disease, and B. tabaci infestation were planted in three Ugandan agro-ecological zones. The experiment was conducted in 2016 and 2017 in a randomized complete block design. Across all locations, the tallest genotype Alado alado supported the lowest number of B. tabaci adults. In areas with high B. tabaci prevalence, leaf area, leaf lobe width, and leaf lobe number exhibited significant positive effects (p < 0.001) on B. tabaci adult count. Positive effects of relative humidity and negative effects of temperature and rainfall on B. tabaci adult and nymph counts were observed in 2016 and 2017, resulting in low populations in Lira. Evidently, temperatures of 28–30 °C, rainfall of 30–150 mm and RH of 55–70%, and deployment of cassava genotypes of low plant height, large leaf area, and lobe width significantly enhanced B. tabaci population growth.
1. Introduction
Bemisia tabaci (Hemiptera: Aleyrodidae) is among the most devastating insect pests of agricultural crops worldwide [1]. B. tabaci comprises a complex of 36 morphologically indistinguishable species that have a wide host plant range [2,3], including staple food crops such as cassava (Manihot esculenta Crantz). B. tabaci species complex causes three types of damage: direct feeding damage through ingestion of phloem sap, indirect feeding damage through the excretion of honeydew which results in the development of black sooty mold on leaf surfaces [4], and transmission of more than 200 plant viruses [5,6]. Outbreaks of species in this pest complex are predominantly controlled by the use of insecticides [7], which can cause further problems through disrupting natural enemies, such as predators and parasitoids that can then lead to secondary pest outbreaks. Researchers in some countries have released natural enemies to try to control outbreaks, e.g., the release of Eretmocerus hayati Zolnerowich & Rose in Australia [8], as well as understanding how host plant type and landscape resources support high population growth. Host plant resistance to another whitefly species, Aleurotrachelus socialis Bondar was successfully bred into cassava varieties in South America [9]. For non-high value crops such as cassava, especially in countries where pesticides are inaccessible to smallholder farmers, alternative control options such as host plant tolerance or resistance and natural enemies become critically important.
B. tabaci species complex in Sub-Saharan Africa transmit viruses that cause two economically important diseases of cassava: cassava mosaic disease (CMD) and cassava brown streak disease (CBSD) [10,11]. In Uganda, nearly 80% of the population, especially those in rural areas depend on cassava as a key food crop [12]. Limited whitefly management options are available to smallholder farmers in Uganda, and pesticides are not readily accessible. However, there is a long history of breeding cassava genotypes with desirable traits for farmers, such as resistance to disease and other insect pests such as cassava mealybug (Phenacoccus manihoti Matile–Ferrero) [13,14]. There is a large diversity of cassava genotypes, with very diverse form and growth habits, planted nearby each other in Uganda. This creates an ideal situation for understanding how the environment, host plant traits and cassava genotypes, and their interactions affect B. tabaci field populations. Identification of cassava genotype traits that consistently support low B. tabaci populations might be useful information for breeding programs around the world, particularly in developing countries.
As with many pests, we can say that the traits of the host plant itself interact with seasonal conditions to influence the population dynamics of B. tabaci [15]. However, when we compare studies from different crop types, there are conflicting results. A negative effect of temperature and a positive effect of relative humidity (RH) were observed on B. tabaci population size on tomato (Solanum esculentum Mill.) [16] and brinjal (Solanum melongena L.) [17] in India. Conversely, a positive effect of temperature and a negative effect of RH was also observed on B. tabaci population size on tomato in India [18]. In Venezuela, rainfall was reported to negatively affect B. tabaci population size on tomato [19]. However, researchers concluded that rainfall had a positive effect population size of B. tabaci on brinjal in India [17]. Plant height and canopy closure indices had no effect on infestation levels of the whiteflies B. tabaci (reported as Bemisia argentifolii) and Trialeurodes abutilonea on soybean in Tift county, Georgia, North America [20]. However, plant height had a positive effect on B. tabaci population size on chili (Capsicum annuum L.) in Malaysia [21], while it had a negative relationship with cotton (Gossypium hirsutum L.) in Pakistan [22].
In Uganda, the factors affecting B. tabaci population dynamics on cassava are not fully understood. Previous outbreaks of CMD led to the development and deployment of several CMD-resistant genotypes with no emphasis on the vector. Unfortunately, these genotypes appear to support very high B. tabaci populations [23], and it is not known whether these genotypes have morphological traits that enhance B. tabaci development. There is an increased status of B. tabaci as both a direct pest of cassava and a vector of CMD and CBSD [24]. B. tabaci was reported in most agro-ecological zones (AEZs) of Uganda in varying densities [25,26] and reported effects of climate factors on B. tabaci population size are variable and so far inconclusive [27,28]. Indeed, previously high populations occurred in the Lake Victoria Crescent (LVC), which is a hot and humid environment. However, relatively high populations have recently been reported in other AEZs such as the North Eastern Savanna grassland, which is a hot and dry environment. These two AEZs are characterized by the widespread adoption of disease-resistant cassava genotypes. It is not known whether these genotypes are interacting with the environment to favor B. tabaci population increases in certain AEZs.
It is important to determine how the environment, cassava genotypes, and their interactions affect B. tabaci field populations, as this knowledge will aid the design of effective and sustainable management strategies, as well as guide the development and deployment of future cassava genotypes. The objective of this study was to determine how morphological traits of cassava genotypes and changes in temperature, rainfall, and RH affect B. tabaci population dynamics in three contrasting regions.
2. Materials and Methods
2.1. Field Experimental Setup
The experiment was conducted in March 2016 and March 2017. The 2016 experiment was established in two districts of Uganda: Wakiso and Lira. Wakiso is in the Lake Victoria Crescent (LVC) at 1200 m above sea level (masl) and a bimodal rainfall pattern, with an average rainfall of 1423 mm annually. Lira is in the North-Eastern Savanna grassland at 1080 m above sea level and has unimodal rainfall pattern, with an average rainfall of 1341 mm annually. The 2017 experiment was established in the same AEZs as 2016 with an addition of Kamuli (in the Kyoga plains) at 1100 m above sea level and a bimodal rainfall pattern, with an average of 1447 mm annually. These locations were chosen based on the pattern of B. tabaci population pressure—Wakiso, Kamuli, and Lira historically experienced high, moderate, and low populations, respectively [25,26].
2.2. Cassava Genotypes Used
Five commonly grown cassava genotypes with known response to B. tabaci-transmitted diseases and B. tabaci infestation were used (as illustrated in Table 1). Apparently healthy planting materials of each genotype were selected from CBSD/CMD-free fields based on visual inspection in areas with no or very low CBSD prevalence (Apac and Lira) [29,30] and planted at each of the three sites.
Table 1.
Selected cassava genotypes and their susceptibility to cassava mosaic disease (CMD), cassava brown streak disease (CBSD), and B. tabaci.
2.3. Experimental Layout
At all locations, the experiment was laid out in a randomized complete block design with four replicate plots. The plots measured 9 m by 9 m (10 plants by 10 plants), and thus, a total of 100 plants were grown per plot. Plant spacing was 1 m by 1 m with an alley of two-meters left between blocks. Weeds were controlled manually by hand hoeing monthly for the first five months.
2.4. Data Collection
In 2016 at Wakiso, data were recorded monthly during 2–8 months after planting (MAP) on 10 randomly selected plants per plot. At Lira, data were collected monthly during 4–8 MAP on 15 randomly selected plants per plot. In 2017, data were recorded during 2–6 MAP in Wakiso and 2–7 MAP in Lira and Kamuli on 15 randomly selected plants per plot for the following parameters.
However, due to logistical challenges, some sample dates in Lira and Kamuli are missing.
2.4.1. Bemisia tabaci Counts
Numbers of B. tabaci adults on each genotype were counted on the underside of the top five fully-expanded leaves of the tallest shoot on 15 randomly selected plants per plot. In 2016 at Wakiso, B. tabaci adult counts were made on 10 randomly selected plants per plot. To obtain the total B. tabaci nymph count, the 15th leaf from the top (which hosts the highest number of 3rd and 4th instar nymphs) was picked from each selected plant and all leaves per plot were kept in zip-lock bags and taken to the laboratory, where 3rd and 4th instar nymphs (including parasitized nymphs) on each leaf were counted using stereomicroscopes. As in other similar studies [31,32,33], raw counts for B. tabaci adult and nymph numbers per plant were considered in the subsequent analysis in this study. Also, the lack of relationship between nymph count and area of the leaf used as reported by [34] further justifies the use of the raw counts per plant for the analysis.
Samples of B. tabaci adults were collected from the three experimental sites for genetic analysis using mtCO1 partial gene to confirm the species present at each site (for methods and results, see Appendix A Figure A1). Results indicated that all samples were B. tabaci Sub-Saharan Africa 1 (SSA1) species.
2.4.2. Plant Morphological Characteristics
Leaf lobe length (of the central leaf lobe), leaf lobe width (the widest point of the central leaf lobe), leaf width, petiole length of the fifth fully-expanded leaf were measured using a meter rule (cm). Plant height was measured using a tape measure (cm) while stem girth was measured using vernier calipers (cm). Leaf lobe number was the number of lobes of the fifth fully-expanded leaf. In 2017, leaf area (cm2) was measured using an LI-3100C Area Meter (LI-COR Inc., Lincoln, NE, USA) and leaf area index (LAI) measured using an AccuPAR Linear PAR/LAI Ceptometer (Decagon Devices Inc., Pullman, WA, USA) in the field. In 2016, the leaf area meter and the ceptometer were unavailable, so leaf area was calculated as a product of leaf length and leaf width, and LAI was calculated using the mathematical formula for calculating the area of a circle (πr2) for overall plant canopy ground area.
2.4.3. Environmental Parameters
Temperature and RH were recorded using a HOBO Pro v2 logger (Onset Computer Corporation) placed on one cassava plant at the center of the experiment at the trial site in each AEZ, and rainfall data were accessed from nearby weather stations. The daily readings recorded at 15:00 h for rainfall, temperature, and RH were used to calculate the total monthly rainfall, and average monthly temperature and RH values (i.e., a month was from one sample date to the next).
2.5. Data Analysis
All data were analyzed using R statistical software [35]. All data were tested for normality and where skewness occurred, and data were subjected to the Box Cox procedure [36] to determine the most appropriate transformation based on the lambda value. The data were then subjected to mixed model ANOVA [37] for genotype, location, and crop age (MAP) effects with replicate plots as a random effect nested within location. Means were separated using the Least Significant Difference (LSD) test at 5% probability level [38].
Scatter plots (with lines of best fit) were used to visualize the relationship between B. tabaci adult count and the different morphological traits in the different locations for each year [39]. Based on the visualization of the scatter plots for all locations each year, regression analysis was performed separately for each location. Subset regression [40] based on values of Schwartz’ Bayesian Information Criterion (BIC) was used to select the best multiple regression model for each location per year. Multiple linear regression [41] was run for the effect of plant morphological characteristics on B. tabaci adult numbers using a multiple linear regression model:
where: Yi = ith response variable, Bo is the intercept, B1is the regression coefficient for factor X1, Bk is the regression coefficient for the Xkth factor and ϵi is the error term.
Yi = Bo + B1X1 + B2X2 + B3X3 + … + BkXk + ϵi
Pearson’ s correlation analysis was performed to determine the strength and the direction of the relationship between weather parameters with B. tabaci adult and nymph counts [42]. Data for each location in each year with all cassava genotypes pooled together were analyzed separately.
The combined B. tabaci count, morphological traits, and climate data sets were then subjected to principle component analysis (PCA) [43] to understand the interactive effect of cassava genotype and environment on B tabaci population size. PCA was performed separately for each year.
3. Results
3.1. Temporal Changes in B. tabaci Adult and Nymph Population on Five Cassava Genotypes in Three Locations
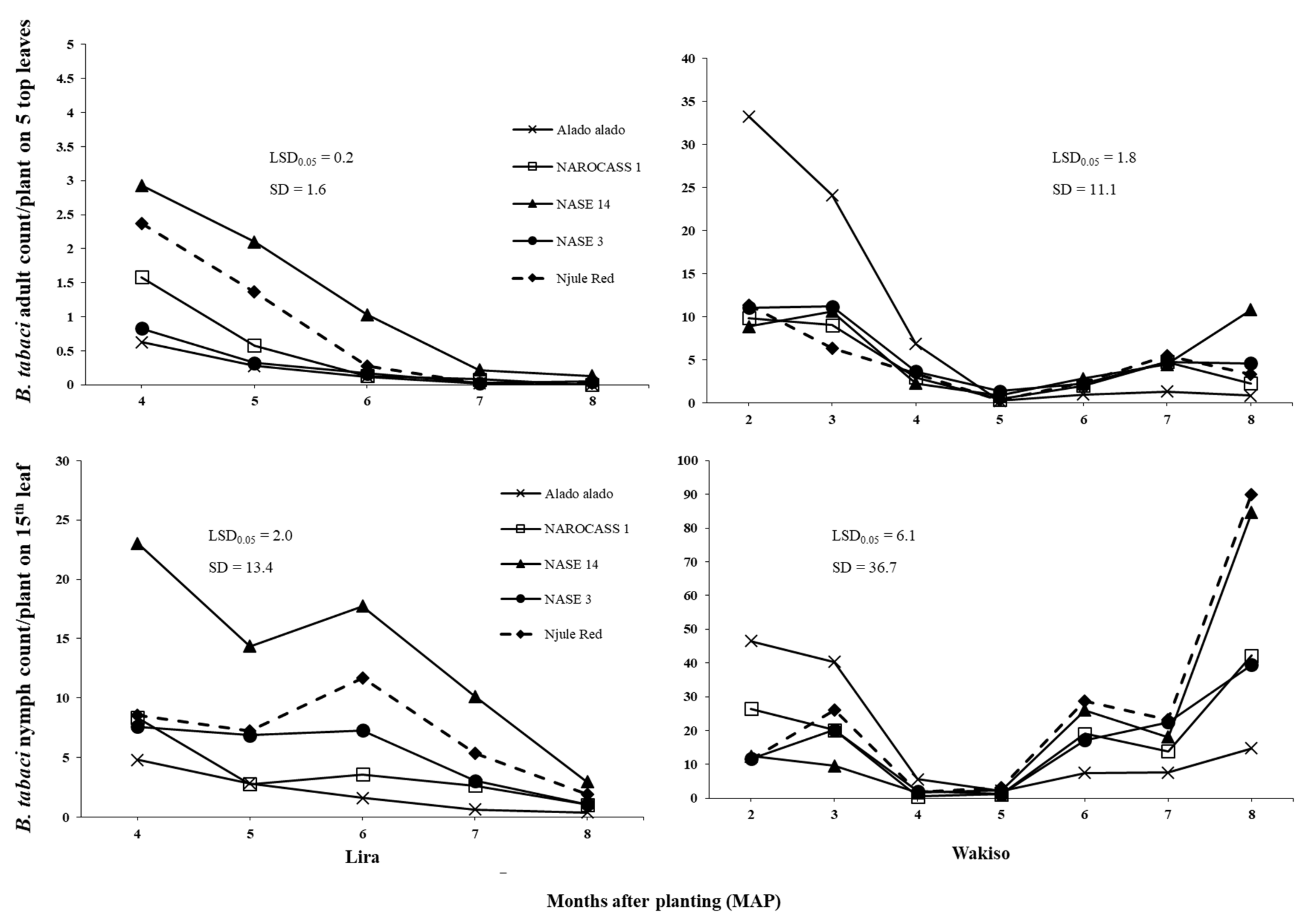
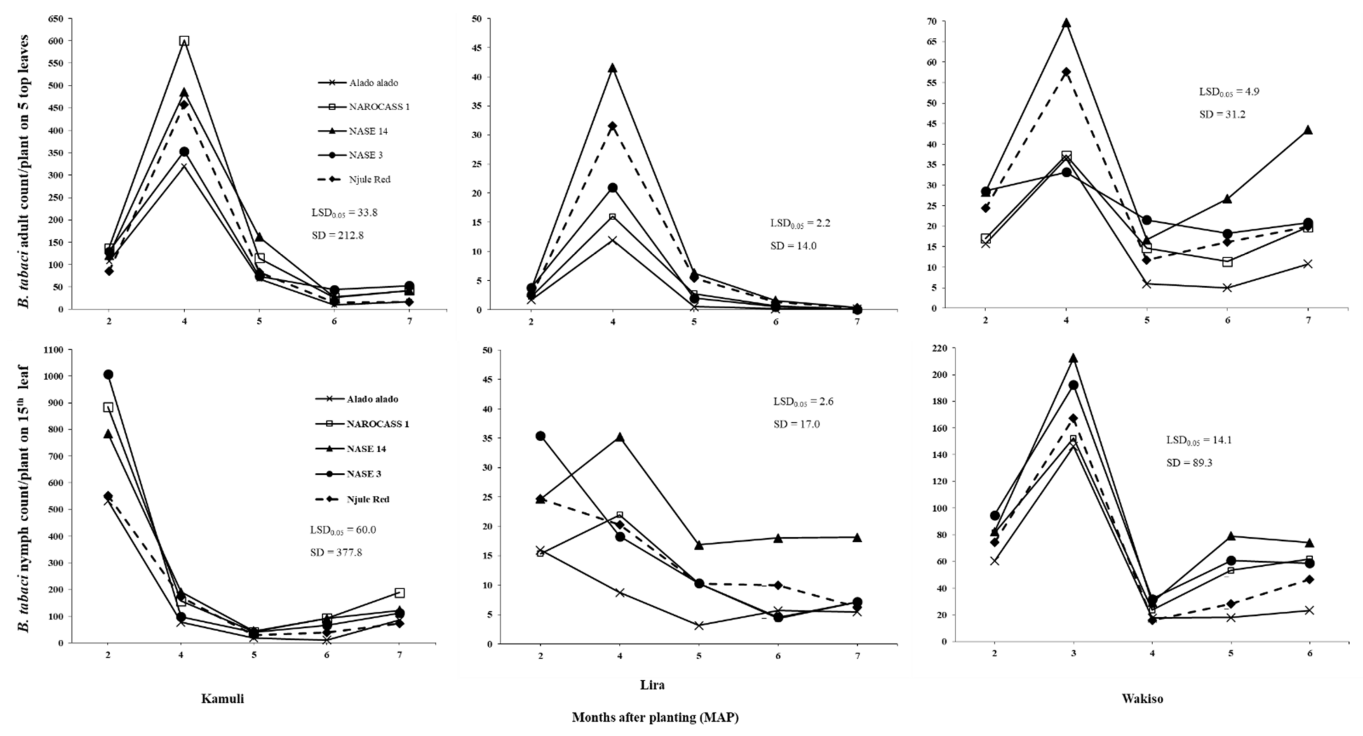
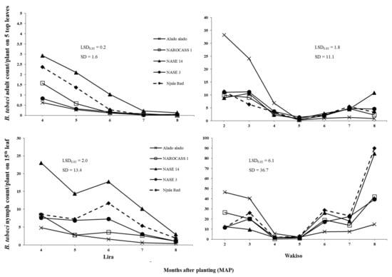
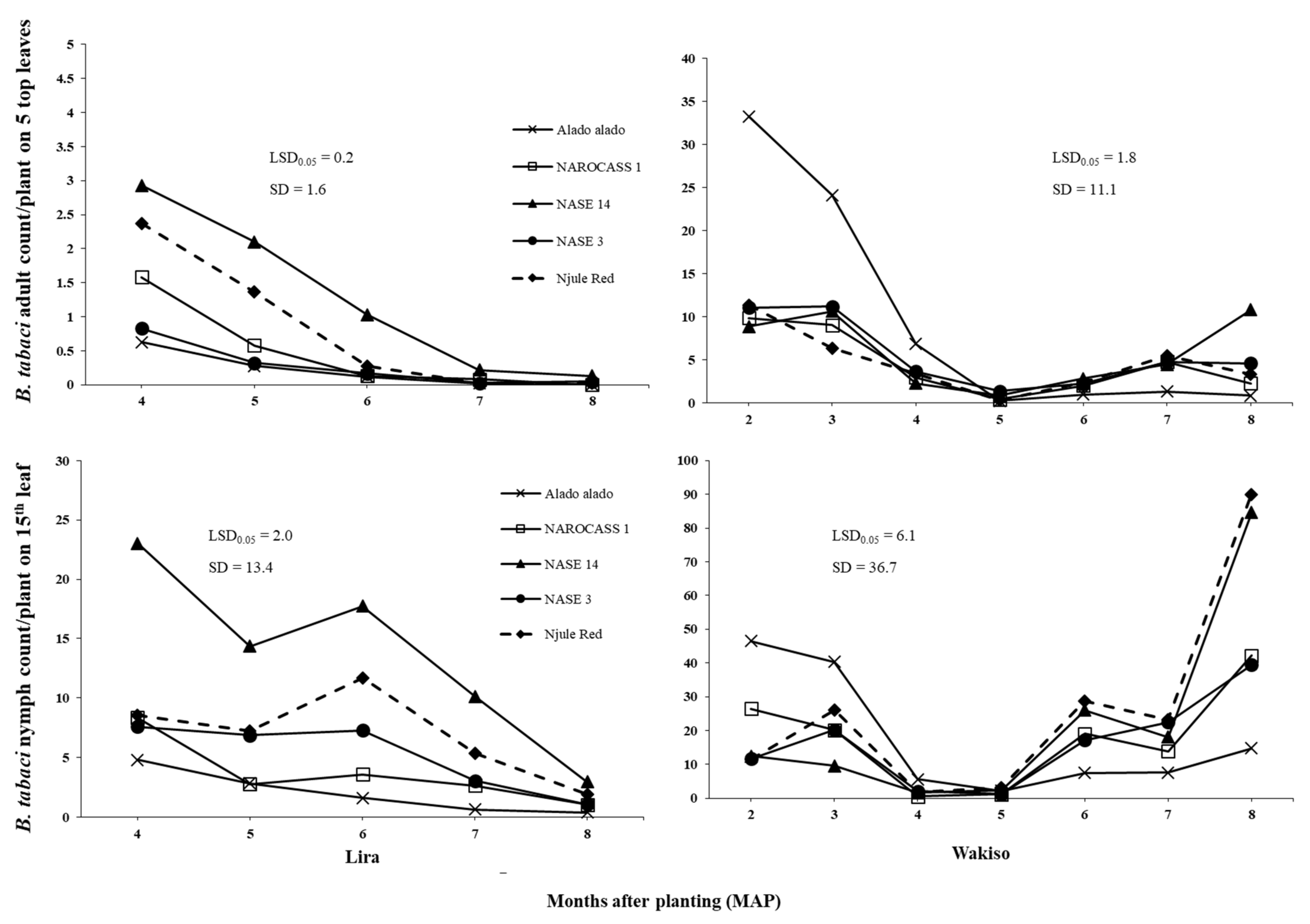
All main effects (location, genotype and crop age), two-ways and three-way interactions had significant (p < 0.001; as illustrated in Table 2) effects on B. tabaci adult and nymph counts in both 2016 and 2017. In 2016 in Lira, B. tabaci adult populations decreased steadily to reach negligible numbers at six MAP for all genotypes except NASE 14, which recorded minimum number at seven MAP (as illustrated in Figure 1). In Wakiso, fluctuations were observed in B. tabaci adult populations. Numbers were relatively high at two and three MAP followed by a decline to reach minimum numbers at five MAP for all cassava genotypes. Thereafter, B. tabaci adult populations slightly increased to reach a second peak at seven MAP, followed by a drop in the population at eight MAP for all cassava genotypes except NASE 14 whose populations reached the highest number of 10.8 adults at eight MAP (as illustrated in Figure 1). Fluctuations were also observed for B. tabaci nymph population in all locations in 2016 (as illustrated in Figure 1). In 2017, B. tabaci adult and nymph populations in all locations followed a similar trend as the nymph populations in 2016 (as illustrated in Figure 2).
Table 2.
F-statistics for effects of location, genotype, and crop age on B. tabaci adult per plant on 5 top leaves and nymph per plant on 15th leaf (3rd and 4th instars) population change over time in 2016 and 2017.
Figure 1.
Mean monthly B. tabaci adult and nymph (3rd and 4th instars) counts on five cassava genotypes at different growth stages in Lira and Wakiso in 2016.
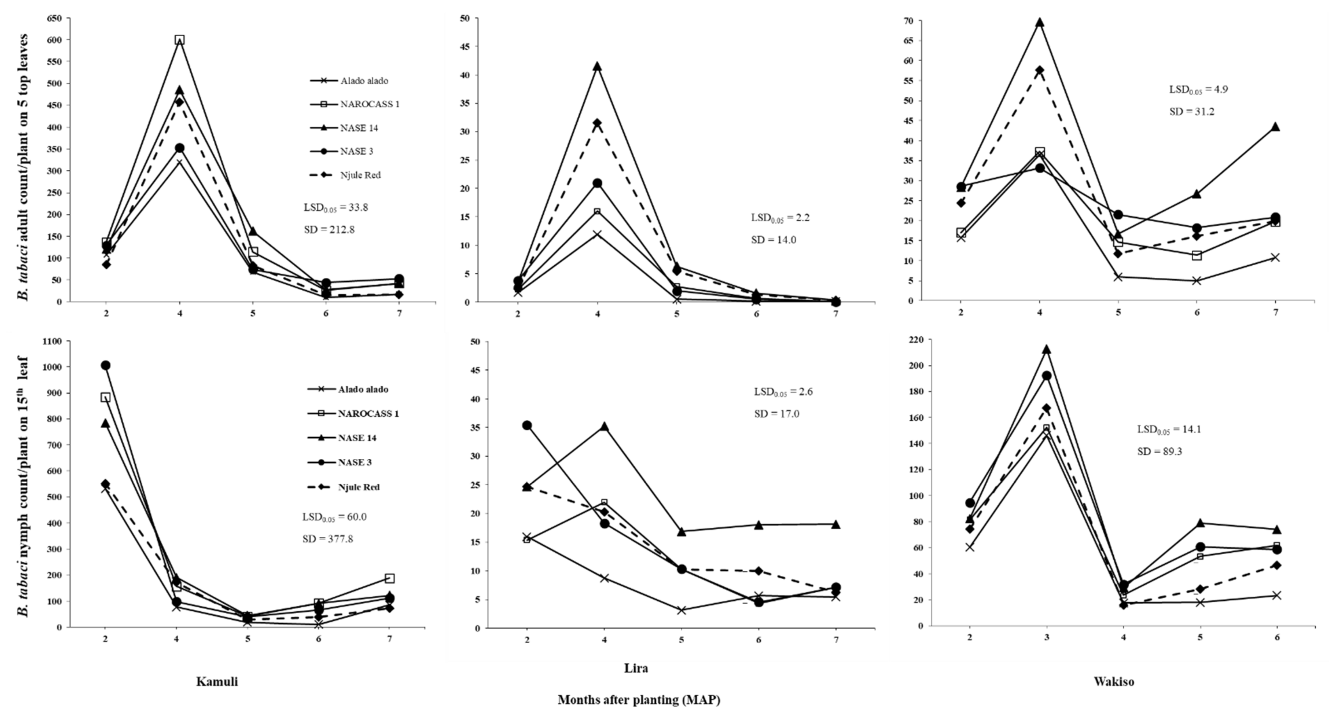
Figure 2.
Mean monthly B. tabaci adult and nymph (3rd and 4th instars) counts on five cassava genotypes at different growth stages in Kamuli, Lira, and Wakiso in 2017.
In 2016, higher B. tabaci adult populations were observed in Wakiso than in Lira at all crop growth stages among all cassava genotypes (as illustrated in Figure 1). However, nymph populations were higher in Lira at four and five MAP in all cassava genotypes (as illustrated in Figure 1; Appendix A Table A1). In 2017, the highest B. tabaci adult and nymph populations among different genotypes were recorded in Kamuli (as illustrated in Figure 2); mean nymph count on Alado alado at two MAP was 532.9 in Kamuli, followed by 60.3 in Wakiso and 15.9 in Lira. Consistently, high mean B. tabaci adult and nymph populations were observed on NASE 14 and low numbers on Alado alado, in Lira in 2016 (as illustrated in Figure 1) and across all locations in 2017 (as illustrated in Figure 2). Surprisingly, in Wakiso, Alado alado had the highest mean B. tabaci adult population in 2016 (as illustrated in Figure 1).
Also, the year significantly (p < 0.001) affected B. tabaci adult and nymph populations, with lower populations observed in 2016 than in 2017 (Appendix A Table A1); in Wakiso, mean nymph count on NAROCASS 1 at three MAP was 7.5 times lower in 2016 than in 2017 (as illustrated in Figure 1 and Figure 2).
3.2. Status of Cassava Plant Morphological Characteristics among Genotypes in Different Environments and Their Relationship with B. tabaci Adult Abundance
All morphological traits showed significant differences (p < 0.001) among cassava genotypes, location, crop age, and the two-ways and three-ways interactions (as illustrated in Table 3). The most vigorous crop at all growth points among all genotypes was in Lira in both years; for example, in 2017, LAI at four MAP ranged from 3.7–4.4 in Lira, followed by 1.2–1.9 in Kamuli and 0.4–1.1 in Wakiso among all cassava genotypes (as illustrated in Appendix A Table A2). Among all genotypes, growth was consistently high in Alado alado and low in NASE 14 in the first six months of growth in both years (as illustrated in Appendix A Table A2). On average, Alado alado had the tallest plants in all locations in 2016 and 2017; plant height was 145–213 cm in Alado alado compared to 85–154 cm in that of NASE 14 during 4–6 MAP in Lira in 2016 (as illustrated in Figure 3A). Also, Njule Red had consistently high lobe numbers at all growth points in both years across all locations; 8.1 lobes in Lira, 7.1 lobes in Kamuli and 6.2 lobes in Wakiso at two MAP in 2017 (as illustrated in Appendix A Table A2).
Table 3.
F-statistics for effects of location, genotype, and crop age on cassava morphological traits over time in 2016 and 2017.
Figure 3.
Mean monthly plant height on five cassava genotypes at different growth stages in Lira and Wakiso in 2016 (A) and Kamuli, Lira, and Wakiso in 2017 (B).
From the subset regression, plant height was selected as an explanatory variable in the regression models for all locations in 2016 and 2017 (as illustrated in Table 4). Plant height had a significant negative effect on B. tabaci adult counts across all locations in both years (p < 0.001; as illustrated in Table 4). Indeed, in Lira where the tallest crop was observed (as illustrated in Figure 3), very low numbers of B. tabaci adults were recorded among all genotypes (as illustrated in Appendix A Table A1). Additionally, Alado alado, the tallest genotype across all locations in 2016 and 2017, generally had the lowest numbers of B. tabaci adults in all locations compared to NASE 14, the shortest genotype, on which the highest B. tabaci adult numbers were recorded in both 2016 and 2017 (as illustrated in Figure 1, Figure 2 and Figure 3). In Kamuli, where the highest B. tabaci adult populations were recorded, leaf area, lobe number and lobe width had significant positive effects (p < 0.001; as illustrated in Table 4) on B. tabaci adult count per plant; the highest B. tabaci adult counts of 184.8 and 167.8 were on NAROCASS 1 and NASE 14, respectively, which had high leaf area and lobe width values (as illustrated in Appendix A Table A2). Njule Red, had many small leaf lobes resulting in a high leaf area and had relatively high B. tabaci adult numbers in both years. Multiple linear regression showed that the selected morphological characteristics accounted for 29% and 7% of the variation in B. tabaci adult count in Lira and Wakiso, respectively, in 2016. In 2017, the variation in B. tabaci adult count accounted for by the selected morphological characteristics was 29% in Kamuli, 27% in Lira, and 10% in Wakiso (as illustrated in Table 4).
Table 4.
Regression between plant morphological characteristics and B. tabaci adult population abundance in small-plot trials from Uganda. Locations used in 2016 were Lira and Wakiso, and in 2017 were Kamuli, Lira, and Wakiso.
3.3. Relationship and Dynamics of B. tabaci Adult and Nymph Occurrence with Environmental Factors
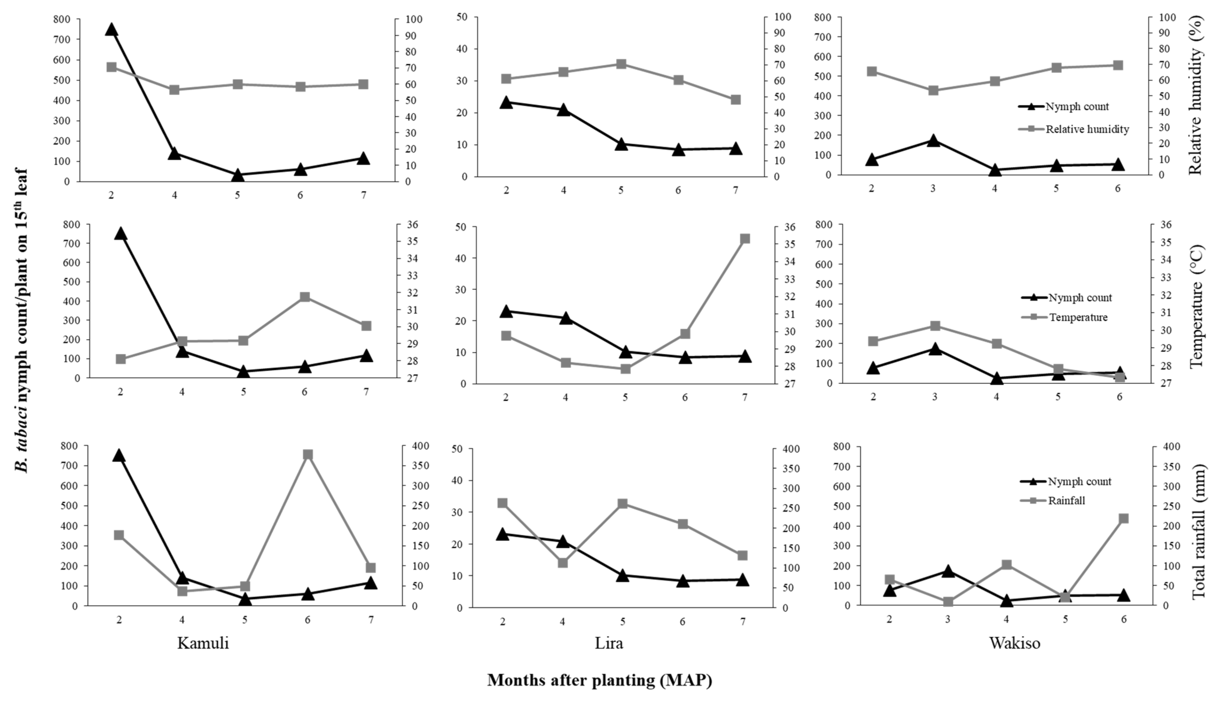
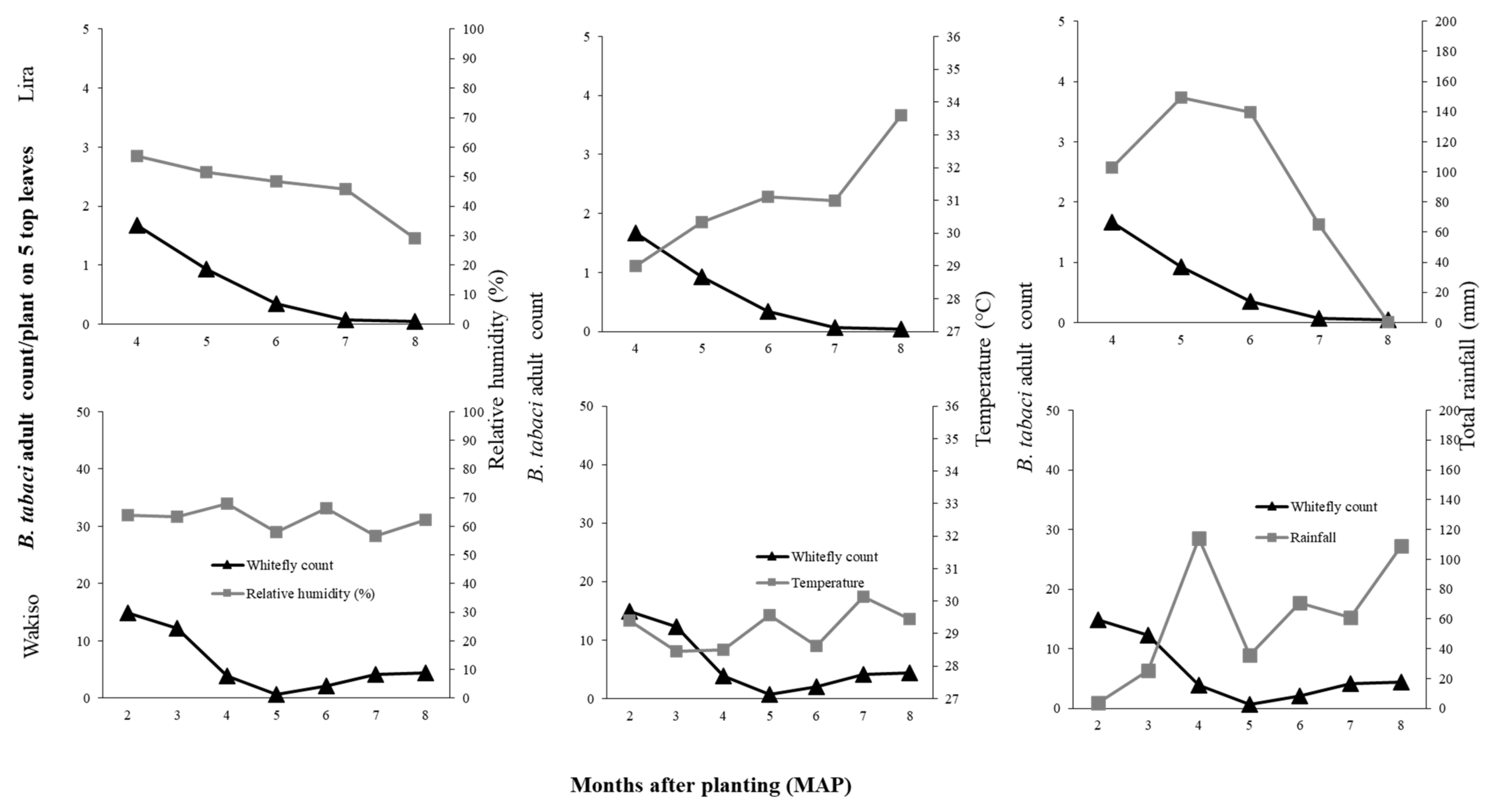
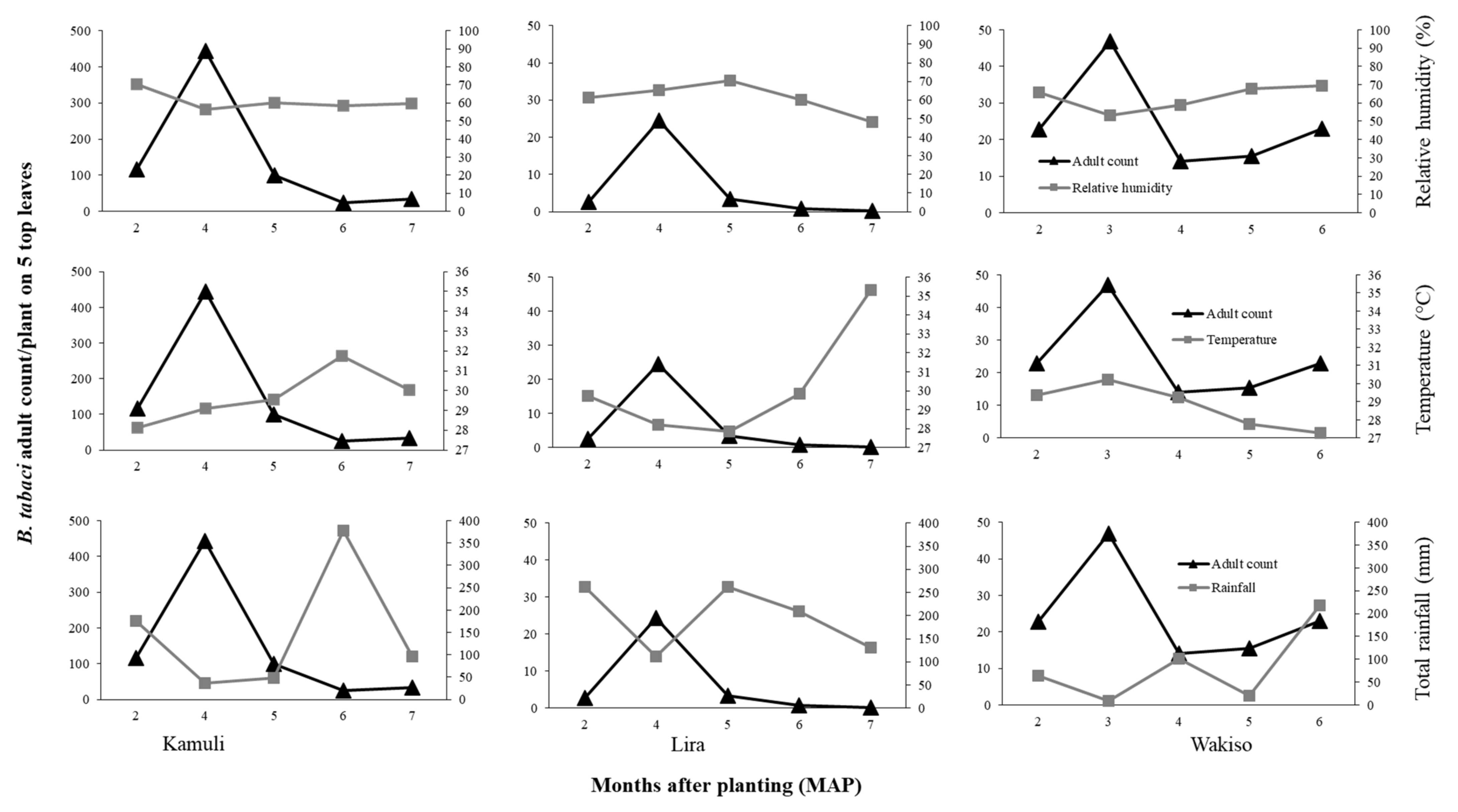
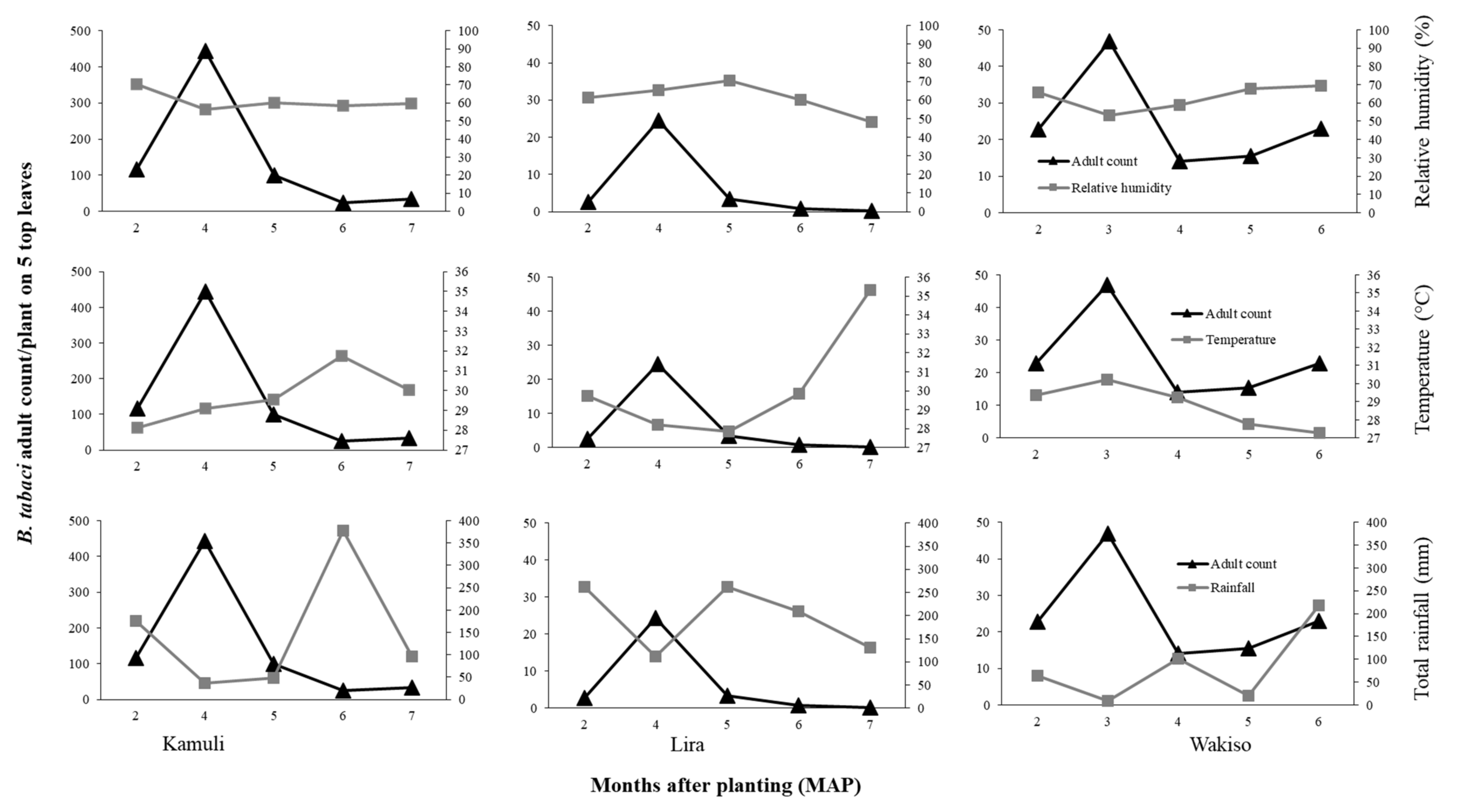
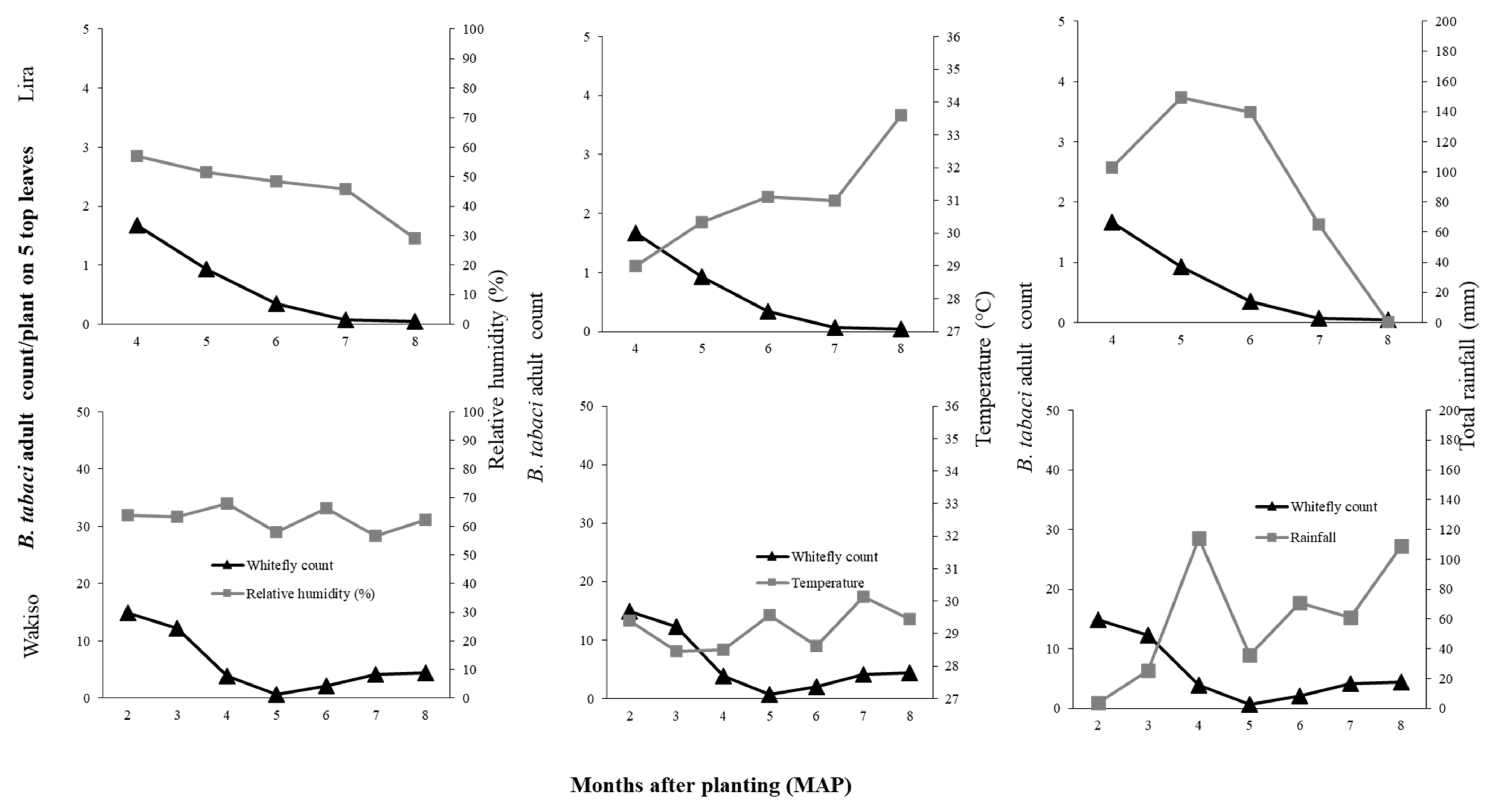
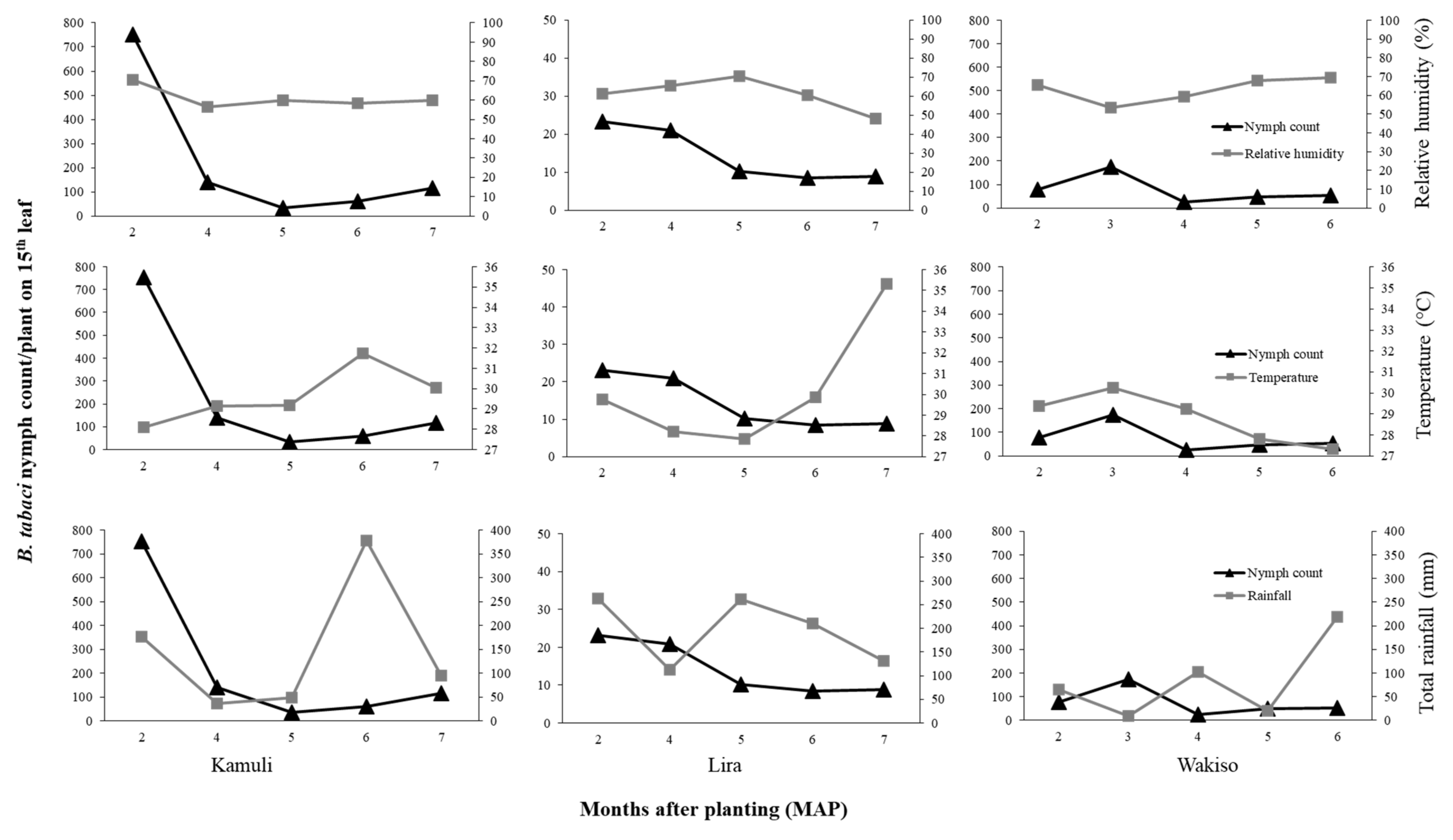
Correlation analysis was focused on the strength and direction of the relationship between average monthly temperature and RH, total monthly rainfall with average monthly B. tabaci adult and nymph count per location because of the small data set. In 2016, strong relationships of average monthly temperature (r = −0.85), average monthly RH (r = 0.83), and total monthly rainfall (r = 0.63) with average monthly B. tabaci adult count were observed in Lira. A similar relationship was observed for average monthly B. tabaci nymph populations (as illustrated in Table 5). In Lira, therefore, where temperatures were high, with range 29–33.6 °C, low RH of 29–57%, and high rainfall amounts, negligible numbers of B. tabaci adults and nymphs were recorded; the highest counts of 1.7 and 10.5 adults and nymphs per plant, respectively, were at four MAP (as illustrated in Figure 4; Appendix A Figure A2). In Wakiso, total monthly rainfall had a strong positive effect on B. tabaci adult count (r = 0.77). In 2017, total monthly rainfall generally had a negative effect on B. tabaci adult and nymph populations in all locations (as illustrated in Table 5; Figure 5; Appendix A Figure A3) with a strong association observed with adult count in Kamuli (r = −0.67). Maximum B. tabaci adult numbers were observed in months when the least total monthly rainfall was received; at four MAP in Kamuli (36.9 mm) and Lira (111.9 mm), and three MAP in Wakiso (9.3 mm) (as illustrated in Figure 5). The effects of temperature and RH on B. tabaci adult and nymph numbers in 2017 were inconsistent among the different locations (as illustrated in Table 5).
Table 5.
Correlation coefficients of B. tabaci adult and nymph (3rd and 4th instars) populations with RH, temperature, and rainfall in small-plot trials from Uganda. Locations used in 2016 were Lira and Wakiso, and in 2017 were Kamuli, Lira, and Wakiso.
Figure 4.
Relationships between mean monthly B. tabaci adult counts and monthly average relative humidity, monthly average temperature, and total monthly rainfall in 2016 in Lira (top) and Wakiso (bottom).
Figure 5.
Relationships between mean monthly B. tabaci adult counts and monthly average relative humidity, monthly average temperature, and total monthly rainfall in 2017 in Kamuli (left), Lira (center), and Wakiso (right).
3.4. The Interacting Effect of Environment and Cassava Genotype on B. tabaci Adult and Nymph Population Size
From the PCA biplot of the different morphological traits and climate factors, a combination of high rainfall amounts, high temperatures, and large morphological trait values have a negative effect on B. tabaci adult and nymph counts in both 2016 and 2017 (as illustrated in Figure 6). Thus, the lowest B. tabaci adult and nymph counts were observed in Lira. Relative humidity has a moderately positive effect on B. tabaci adult and nymph counts in both 2016 and 2017. In general, three (3) distinct B. tabaci population size zones are revealed; the low population area (Lira), the moderate population zone (Wakiso), and the high population zones (Kamuli).
Figure 6.
Relationship between B. tabaci count and cassava morphological traits and climate factors in different locations of Uganda in 2016 (A) and 2017 (B).
4. Discussion
This study aimed to determine the effects of environmental conditions and cassava morphological traits on B. tabaci adult and nymph populations in the field. B. tabaci populations (identified as SSA1 species) were present on cassava in varying numbers in all locations in both years. The variation in B. tabaci adult and nymph abundance in our trials demonstrated marked differences in the response of this pest to the different cassava genotypes as well as the environmental conditions in each AEZ. The mechanisms underlying these patterns may be through a combination of direct and indirect effects. Direct influences can be observed through limiting and stimulating the activity of adults and altering survival during adverse weather conditions; indirect influences can be through the effect on host plant growth and food quality [44,45].
If we focus first on the direct effects of the environmental conditions, we observed that difference in B. tabaci population dynamics in the different locations may be due to differences in temperature, rainfall, or relative humidity conditions. In Lira in 2017 where the highest temperature and rainfall were observed, we recorded low B. tabaci numbers. High rainfall amounts is known to wash away whiteflies and other insect pests, thus causing significant mortality and population reduction [46,47,48]. The negative relationship between B. tabaci abundance and temperature possibly resulted from reduced adult longevity and reduced reproductive success at high temperature. [49] reported mean B. tabaci female adult longevity of 34.10 days at 20 °C and 16.88 days at 30 °C on cucumber. [50] reported a decline in reproductive success of B. tabaci with increasing temperature on collard; the highest reproductive success of over 80% was at 28 °C compared to 46% for that of 33 °C. Although the monthly average temperature was similar for Lira and Kamuli during 2–6 MAP (27.9–31.9 °C), in Lira there were many days of greater than 30 °C during 6–7 MAP. Conversely, high B. tabaci populations were recorded in Kamuli in 2017, which experienced moderate rainfall, especially in the early crop growth stages (176.5 mm of total monthly rainfall compared to 262.9 mm at Lira at two MAP). Based on our results, the combination of high rainfall and high temperatures suppressed the population growth of B. tabaci in Lira. The low B. tabaci populations in 2016 may be attributed to differences in environmental conditions. In Lira, the low RH (29–57.1%), high temperatures (29–33.6 °C), and high rainfall (102.7–139.9 mm during 4–6 MAP followed by a drastic decline to 0 mm at 8 MAP) greatly suppressed B. tabaci populations. These environmental factors all contribute to low reproductive success [51] and high mortality, therefore leading to low population abundance. However, there is an urgent need for controlled studies on the effect of temperature and RH to validate our field results.
The environmental conditions can also lead to indirect effects through differences in cassava and morphological traits express themselves across locations. Differences in plant morphology influenced B. tabaci population size in our trials. High growth and vigor of cassava occurred in Lira where the highest rainfall amount and temperature were recorded, supporting results of [52] who reported that cassava growth is enhanced by high temperatures if adequate rainfall is received. Thus, the cassava crop in Lira escaped the vulnerable vegetative growth stage for B. tabaci infestation. Therefore, there was low B. tabaci populations in Lira, and this was even observed on the susceptible genotype NASE 14. However, Wakiso was largely dry in the first five months, and cassava grew poorly due to moisture stress as observed by the reduced plant height and restricted leaf area, a result consistent with reports of [53] and [54]. Thus, a stressed crop that may be nutritionally unfavorable for B. tabaci development resulted in moderate B. tabaci populations as observed in Wakiso. However, in Kamuli where moderate temperature, rainfall, and RH conditions occurred in the first five months, this resulted in moderate crop vigor and cassava plants with large succulent leaves that were preferred by B. tabaci adults [25,55]. Hence, the highest B. tabaci adult and nymph abundances were recorded in this trial.
The fluctuations in B. tabaci adult populations across all locations in 2017, involved low initial numbers at two MAP, followed by a rapid increase and peaks at three and four MAP, and eventual decline at five MAP (as illustrated in Figure 2). Similar seasonal patterns were also observed in other studies [21,27]. This pattern may be associated with differences in host plant quality across time, with young crops with few leaves being less preferred by B. tabaci adults, whereas large succulent leaves produced at later crop stages may be preferred by B. tabaci adults. At later growth stages, the leaves senesce and the reduced food quality may prompt B. tabaci adults to search for better host plants for both oviposition and feeding. Previous studies demonstrated that B. tabaci population dynamics are strongly influenced by crop age [21,25,56].
Results of this study revealed that B. tabaci adult populations significantly varied with cassava genotype across all locations in both years (as illustrated in Figure 1 and Figure 2). This may be due to differences in plant morphological traits among the genotypes. Indeed, significant differences were observed in plant height, which was the only trait with a consistent negative effect on B. tabaci adults across all locations. Hence, the consistently low and high B. tabaci adult counts on Alado alado and NASE 14, respectively, the tallest and shortest genotypes across all locations in both years. This supports the findings of [22,57], who reported a negative relationship of Leucinodes orbonalis Guenee and B. tabaci adult populations with plant height in aubergine and cotton, respectively. In trials where the environmental conditions were suitable for growth and development of B. tabaci populations, we observed that leaf area, leaf lobe width, and leaf lobe number positively influenced the B. tabaci numbers that could be supported on cassava. Thus, high numbers were observed on NASE 14 and NAROCASS 1 in Kamuli in 2017. This is because large leaf area and lobe width provide B. tabaci adults a large surface area for feeding and oviposition as well as offering suitable protection from wind and rain. These findings are in agreement with [58], who reported a reduction in B. tabaci adult numbers on cotton with lower leaf area. Large surface area, leaf lobe width and leaf lobe number ultimately result in dense canopy cover and so high LAI values, which provides protection from high temperatures and low RH [59]. However, since this was a one study in Kamuli, further investigations in areas of high B. tabaci population abundance are recommended to validate these findings.
In our trials, we used farmer preferred cassava genotypes with different levels of tolerance or resistance to major cassava diseases and B. tabaci infestation (as illustrated in Table 1). Generally, Alado alado, which is considered tolerant to B. tabaci, performed as expected in terms of consistently low B. tabaci adult and nymph abundance in our field trials. However, Njule Red often supported similar numbers of B. tabaci to NAROCASS 1, NASE 3, and NASE 14 (the susceptible or moderately tolerant genotypes). Although Njule Red had very small leaf lobes as reflected in the low leaf lobe width values across all locations in both years, it had the highest leaf lobe number and leaf lobe length, which resulted in a large leaf area and high B. tabaci numbers. Our findings suggest that Njule Red should not be considered tolerant to B. tabaci in the field context.
Our trials showed that the risk of B. tabaci outbreaks in cassava fields is heightened by the deployment of short, broad-leafed, cassava genotypes in areas that experience a moderately hot and humid environment, with moderate amounts of rainfall. However, we did not include all factors that may be important for B. tabaci population dynamics in this field trial. Natural enemies such as predators and parasitoids can cause significant mortality to B. tabaci populations, especially late in the season [60,61]. Additionally, our plot trials were small relative to the movement capabilities of B. tabaci adults. Adults could easily move between plots in each trial. Although we assume that higher numbers of adults in one plot represent a biological preference for those plants over the others in the trial, there may also were a high amount of stochastic movement. Furthermore, in real smallholder production landscapes there is a diversity of cassava and non-cassava host plants that can support B. tabaci populations (and their natural enemies) to some degree. This diversity of resources was not represented in our field trials but may have an impact.
5. Conclusions
We showed that high temperature, high rainfall, and low RH had a negative effect on B. tabaci abundance on cassava. Farmers are advised to establish their cassava crop at the onset of rains to maximize the benefits of heavy early season rains on B. tabaci population suppression and facilitate rapid crop growth. However, in areas of severe rainfall shortage (e.g., in Wakiso), irrigation is recommended to boost crop growth and pest suppression. The difference in B. tabaci abundance in the different AEZs calls for location-specific B. tabaci control measures. At sites where environmental conditions are unsuitable for the growth and development of B. tabaci (e.g., Lira), any cassava genotype could be deployed provided that CBSD/CMD-free planting material is used. In sites with ideal conditions, genotypes like Alado alado, which support low populations of B. tabaci, are beneficial; however, Alado alado is susceptible to CBSD and CMD. Therefore, the trait of high plant height observed in Alado alado could be considered by breeders in a bid to develop cassava genotypes resistant to B. tabaci. Our results also showed that cassava genotypes with low plant height and large leaf area and lobe width support high B. tabaci populations. However, these genotypes such as NASE 14 possess high levels of resistance to CMD and CBSD, and thus, are preferred by farmers. Breeding efforts should therefore be aimed at improving these genotypes with B. tabaci resistance traits, such as increasing plant height and reducing leaf area to avoid cassava production losses from pests and diseases. In regions of the world with B. tabaci species but an absence of these diseases, focusing breeding programs (or variety selection program) on these traits may also be beneficial in terms of increasing overall host plant tolerance to B. tabaci and reducing the ability of production landscapes to support high populations.
Author Contributions
Conceptualization, K.K., S.M., C.A.O., J.K. and M.H.O.; methodology, K.K., S.M., J.K. and M.H.O.; formal analysis, K.K., S.M., T.L.O., J.K. and M.H.O.; investigation, K.K., J.K. and M.H.O.; resources, C.A.O. and M.H.O.; data curation, K.K., S.M., T.L.O., J.K. and M.H.O.; writing—original draft preparation, K.K.; writing—review and editing, K.K., S.M., C.A.O., J.C., J.K. and M.H.O.; visualization, K.K., S.M., T.L.O., J.K. and M.H.O.; supervision, S.M., C.A.O., J.C., J.K. and M.H.O.; project administration, S.M., C.A.O., J.C.; funding acquisition, S.M., J.C. All authors have read and agreed to the published version of the manuscript.
Funding
This work was supported by the Natural Resources Institute, University of Greenwich from a grant provided by the Bill & Melinda Gates foundation (Grant Agreement OPP1058938).
Institutional Review Board Statement
Not applicable.
Informed Consent Statement
Not applicable.
Data Availability Statement
The data presented in this study are available on request from the corresponding author.
Acknowledgments
We acknowledge the technical and logistical support from the Root Crops Research Programme at the National Crops Resources Research Institute and Makerere University. AgShare.Today helpfully reviewed this manuscript. Special thanks to Dalton Kanyesigye, Gabriel Ngageno and Godwin Oyenkeu for laboratory and fieldwork based technical support.
Conflicts of Interest
The authors declare no conflict of interest.
Appendix A. Bemisia tabaci Species Identification
Bemisia tabaci adults were collected using an aspirator from the experimental fields in the three study sites (Kamuli, Lira, and Wakiso) and stored in 90% ethanol in a separate 1.5 mL Eppendorf tube for each site. Three B. tabaci adults were selected randomly from each site. DNA from individual whiteflies was extracted using the protocol as explained by [62].
Each reaction was performed in 25 μL volume containing 1 μL of template DNA, 1 μL each of 10 pmol/μL of primer, 2.5 μL of 10X DreamTaq Green buffer, 0.5 μL of dNTP (10 mM/L), 0.25 μL of Taq DNA polymerase 5 U/μL, 2.5 μL 5% Tween 20, 16.25 μL of nuclease free water. PCR was run with the reaction mix under the following conditions: denaturation for 2 min at 95 °C, followed by annealing step at 95 °C for 30 s (35 cycles), 52 °C (30 s), and then final extension at 1 min at 72 °C for 10 min, after which reactions were held at 4 °C. PCR amplification was achieved using the primer pair; C1-J-2195(5′-TTGATTTTTTGGTCATCCAGAAGT-3′) and L2-N-3014(5′-TCCAATGCACTAATCTGCCATATTA-3′) as described by [63]. The amplification success for all samples was checked on 1.3% agarose gel.
The PCR products were stored at −20 °C until transportation for sequencing. A consensus sequence was sent back for farther analysis. Molecular data were deposited in GenBank with accession numbers MW080632–MW080640 for samples from Kamuli, Wakiso, and Lira, respectively. A phylogenetic tree based on the mitochondrial cytochrome oxidase I partial gene for B. tabaci was generated (as illustrated in Figure A1) and all samples were determined to be SSA1.
Figure A1.
Phylogenetic tree based on the mitochondrial cytochrome oxidase I partial gene sequence for B. tabaci collected on cassava at three experimental sites in Uganda generated using maximum likelihood available in MEGA6 software program. Bemisia afer was included as an out-group.
Figure A1.
Phylogenetic tree based on the mitochondrial cytochrome oxidase I partial gene sequence for B. tabaci collected on cassava at three experimental sites in Uganda generated using maximum likelihood available in MEGA6 software program. Bemisia afer was included as an out-group.

Table A1.
B. tabaci adult and nymph (3rd and 4th instars) population abundance on five cassava genotypes in small-plot trials from Uganda. Locations used in 2016 were Lira and Wakiso, and in 2017 were Kamuli, Lira, and Wakiso.
Table A1.
B. tabaci adult and nymph (3rd and 4th instars) population abundance on five cassava genotypes in small-plot trials from Uganda. Locations used in 2016 were Lira and Wakiso, and in 2017 were Kamuli, Lira, and Wakiso.
| Year | Location | B. tabaci Adult Count/Plant | B. tabaci Nymph Count/Plant | ||||||||
|---|---|---|---|---|---|---|---|---|---|---|---|
| Crop Age (MAP) | Crop Age (MAP) | ||||||||||
| 4 | 5 | 6 | 7 | 8 | 4 | 5 | 6 | 7 | 8 | ||
| 2016 | Lira | 1.67 b | 0.93 a | 0.35 b | 0.07 b | 0.04 b | 10.46 a | 6.82 a | 8.37 b | 4.36 b | 1.47 b |
| Wakiso | 3.85 a | 0.65 a | 2.08 a | 4.19 a | 4.38 a | 2.36 b | 1.98 b | 19.65 a | 17.04 a | 54.17 a | |
| 2017 | 2 | 4 | 5 | 6 | 7 | 2 | 4 | 5 | 6 | 7 | |
| Kamuli | 115.96 a | 443.69 a | 100.48 a | 24.84 a | 34.32 a | 752.50 a | 139.75 a | 35.11 b | 60.00 a | 116.73 a | |
| Lira | 2.66 c | 24.40 b | 3.41 c | 0.84 b | 0.19 b | 23.22 c | 20.89 b | 10.17 c | 8.51 c | 8.82 b | |
| Wakiso | 22.81 b | 14.15 b | 15.50 b | 22.98 a | 78.66 b | 23.76 b | 47.94 a | 52.96 b | |||
| LSD0.05 | 9.96 | 27.46 | 9.93 | 3.95 | 52.32 | 12.98 | 6.29 | 6.71 | 14.38 | ||
Column means with dissimilar letter(s) per year differ significantly at p < 0.05; MAP means Months after planting.
Table A2.
Cassava morphological traits on five cassava genotypes in small-plot trials in Kamuli, Lira, and Wakiso in Uganda in 2017.
Table A2.
Cassava morphological traits on five cassava genotypes in small-plot trials in Kamuli, Lira, and Wakiso in Uganda in 2017.
| Genotype | Leaf Area (cm2) | LAI | Lobe. No | Lobe Width (cm) | |||||||||||||||
|---|---|---|---|---|---|---|---|---|---|---|---|---|---|---|---|---|---|---|---|
| Crop Age (MAP) | |||||||||||||||||||
| Kamuli | 2 | 4 | 5 | 6 | 2 | 4 | 5 | 6 | 7 | 2 | 4 | 5 | 6 | 7 | 2 | 4 | 5 | 6 | 7 |
| Njule Red | 182.23 a | 133.14 a | 66.11 c | 27.46 d | 1.27 a | 1.88 a | 7.99 a | 1.45 c | 2.71 b | 7.07 a | 7.53 a | 7.10 a | 6.62 a | 6.77 a | 2.06 c | 1.88 c | 1.75 e | 1.54 d | 2.01 d |
| Alado alado | 145.68 b | 82.37 c | 60.69 c | 29.24 d | 1.10 b | 1.54 b | 1.67 a | 1.09d | 1.56 c | 6.37 bc | 6.33 b | 5.60 b | 5.65 b | 5.18 b | 3.96 a | 3.82 a | 2.93 d | 2.13 c | 2.49 c |
| NAROCASS 1 | 167.39 ab | 112.50 b | 136.38 a | 101.96 a | 1.30 a | 1.65 ab | 2.31 a | 3.41 a | 4.24 a | 6.15 c | 6.01 b | 5.05 c | 5.02 c | 4.77 bc | 4.08 a | 3.94 a | 4.39 a | 4.03 a | 4.12 a |
| NASE 14 | 115.04 c | 71.58 cd | 99.23 b | 80.61 b | 0.88 c | 1.20 c | 1.69 a | 1.87 b | 1.71 c | 6.67 b | 6.25 b | 5.12 c | 4.67 c | 4.72 c | 3.53 b | 3.13 b | 3.83 b | 3.79 a | 3.38 b |
| NASE 3 | 115.73 c | 66.54 d | 72.30 c | 44.44 c | 0.87 c | 1.19 c | 1.65 a | 1.86 b | 2.51 b | 6.60 b | 5.65 c | 4.17 d | 4.02 d | 4.72 c | 3.53 b | 3.06 b | 3.52 c | 2.98 b | 3.05 b |
| LSD | 23.51 | 15.23 | 13.53 | 11.23 | 0.16 | 0.26 | 7.54 | 0.3 | 0.56 | 0.32 | 0.37 | 0.42 | 0.44 | 0.45 | 0.3 | 0.7 | 0.27 | 0.27 | 0.35 |
| Lira | 2 | 4 | 5 | 6 | 2 | 4 | 5 | 6 | 7 | 2 | 4 | 5 | 6 | 7 | 2 | 4 | 5 | 6 | 7 |
| Njule Red | 251.79 cd | 223.29 a | 205.83 ab | 122.07 ab | 2.32 ab | 3.91 bc | 4.12 c | 4.42 a | 4.48 c | 8.13 a | 8.50 a | 7.20 b | 6.82 a | 6.47 a | 2.55 d | 2.68 d | 2.99 d | 2.53 e | 2.39 d |
| Alado alado | 305.51 a | 207.61 a | 186.40 bc | 130.48 a | 2.52 ab | 4.37 a | 4.96 ab | 3.89 b | 3.72 d | 7.23 b | 7.38 b | 6.97 b | 5.70 c | 4.78 d | 5.81 a | 5.05 a | 4.80 ab | 4.60 a | 3.79 b |
| NAROCASS 1 | 241.79 d | 218.36 a | 176.48 c | 119.13 ab | 2.31 ab | 4.04 abc | 5.05 a | 4.82 a | 5.75 a | 6.17 c | 6.43 c | 6.37 c | 5.47 c | 5.38 c | 5.43 b | 5.04 a | 4.69 b | 4.36 b | 4.34 a |
| NASE 14 | 272.41 bc | 210.03 a | 214.34 a | 113.49 b | 2.55 a | 3.73 c | 4.75 abc | 4.50 a | 5.20 b | 7.94 a | 8.28 a | 8.05 a | 6.35 b | 5.95 b | 5.21 c | 4.77 b | 4.99 a | 4.03 c | 3.77 b |
| NASE 3 | 284.84 ab | 142.37 b | 110.61 d | 44.97 c | 1.98 b | 4.23 ab | 4.37 bc | 4.45 a | 4.31 c | 7.35 b | 7.07 b | 6.07 c | 4.87 d | 4.55 d | 5.48 b | 4.00 c | 3.93 c | 2.79 d | 2.74 c |
| LSD | 24.91 | 21.28 | 25.5 | 14.51 | 0.56 | 0.41 | 0.65 | 0.5 | 0.54 | 0.36 | 0.33 | 0.38 | 0.41 | 0.41 | 0.2 | 0.3 | 0.25 | 0.21 | 0.35 |
| Wakiso | 2 | 3 | 4 | 5 | 2 | 2 | 4 | 5 | 6 | 2 | 3 | 4 | 5 | 6 | 2 | 3 | 4 | 5 | 6 |
| Njule Red | 55.43 a | 79.09 ab | 69.38 a | 76.74 a | 0.70 b | 0.75 ab | 0.58 a | 1.49 a | 1.17 a | 6.18 a | 6.65 a | 6.12 a | 6.42 a | 6.89 a | 1.57 d | 1.46 c | 1.97 c | 1.91 b | 2.25 d |
| Alado alado | 59.16 a | 89.82 a | 61.12 a | 63.73 b | 0.68 b | 0.68 ab | 1.12 a | 0.60 a | 0.86 b | 5.58 b | 6.13 bc | 5.83 ab | 6.22 ab | 6.37 b | 3.24 a | 3.07 a | 2.86 a | 3.04 a | 3.47 c |
| NAROCASS 1 | 46.23 b | 68.17 bc | 56.94 ab | 71.28 ab | 0.70 b | 0.66 bc | 0.49 a | 0.43 a | 1.03 ab | 5.10 c | 5.80 c | 4.97 c | 4.95 c | 5.20 c | 2.90 b | 2.64 b | 2.87 a | 3.12 a | 4.21 b |
| NASE 14 | 42.51 b | 56.96 c | 45.98 b | 70.01 ab | 0.71 c | 0.57 c | 0.39 a | 0.61 a | 1.24 a | 6.40 a | 6.22 b | 5.92 ab | 6.50 a | 7.12 a | 2.45 c | 2.55 b | 2.55 b | 3.19 a | 4.64 a |
| NASE 3 | 60.78 a | 58.70 c | 60.21 a | 69.45 ab | 0.77 a | 0.77 a | 0.62 a | 0.70 a | 1.24 a | 6.25 a | 6.18 b | 5.70 b | 6.03 b | 5.37 c | 3.14 a | 2.47 b | 2.76 ab | 3.18 a | 4.06 b |
| LSD | 9 | 14.48 | 13.43 | 11.24 | 0.07 | 0.1 | 0.89 | 1.1 | 0.26 | 0.33 | 0.37 | 0.38 | 0.32 | 0.33 | 0.2 | 0.2 | 0.27 | 0.25 | 0.36 |
Column means with dissimilar letter(s) per location differ significantly at p < 0.05; MAP means months after planting.
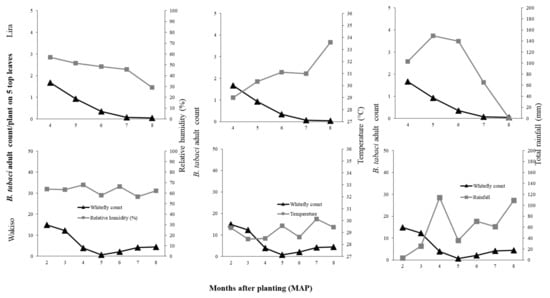
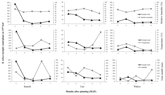
Figure A2.
Relationships between mean monthly B. tabaci nymph (3rd and 4th instars) counts and monthly average relative humidity, monthly average temperature, and total monthly rainfall in Lira (top) and Wakiso (bottom) in 2016.
Figure A2.
Relationships between mean monthly B. tabaci nymph (3rd and 4th instars) counts and monthly average relative humidity, monthly average temperature, and total monthly rainfall in Lira (top) and Wakiso (bottom) in 2016.

Figure A3.
Relationships between mean monthly B. tabaci nymph (3rd and 4th instars) counts and monthly average relative humidity, monthly average temperature, and total monthly rainfall in 2017 in Kamuli (left), Lira (center), and Wakiso (left) in 2017.
Figure A3.
Relationships between mean monthly B. tabaci nymph (3rd and 4th instars) counts and monthly average relative humidity, monthly average temperature, and total monthly rainfall in 2017 in Kamuli (left), Lira (center), and Wakiso (left) in 2017.

References
- Oliveira, M.R.V.; Henneberry, T.J.; Anderson, P. History, current status and collaborative research projects for Bemisia tabaci. Crop Prot. 2001, 20, 709–723. [Google Scholar] [CrossRef]
- Dinsdale, A.; Cook, L.; Riginos, C.; Buckley, Y.M.; De Barro, P. Refined global analysis of Bemisia tabaci (Hemiptera: Sternorrhyncha: Aleyrodoidea: Aleyrodidae) mitochondrial cytochrome oxidase 1 to identify species level genetic boundaries. Ann. Entomol. Soc. Am. 2010, 103, 196–208. [Google Scholar] [CrossRef]
- Boykin, L.M.; Bell, C.D.; Evans, G.; Small, I.; De Barro, P.J. Is agriculture driving the diversification of the Bemisia tabaci species complex (Hemiptera: Sternorrhyncha: Aleyrodidae)? Dating, diversification and biogeographic evidence revealed. BMC Evol. Biol. 2013, 13, 228. [Google Scholar] [CrossRef] [PubMed]
- Polston, J.E.; De Barro, P.; Boykin, L.M. Transmission specificities of plant viruses with the newly identified species of the Bemisia tabaci species complex. Pest Manag. Sci. 2014, 70, 1547–1552. [Google Scholar] [CrossRef]
- Jones, D.R. Plant viruses transmitted by whiteflies. Eur. J. Plant Pathol. 2003, 109, 195–219. [Google Scholar] [CrossRef]
- Navas-Castillo, J.; Fiallo-Olive, E.; Sanchez-Campos, S. Emerging virus diseases transmitted by whiteflies. Annu. Rev. Phytopathol. 2011, 49, 219–248. [Google Scholar] [CrossRef] [PubMed]
- Legg, J.P.; Shirima, R.; Tajebe, L.S.; Guastella, D.; Jeremiah, S.; Nsami, E.; Chikoti, P.; Rapisarda, C. Biology and management of Bemisia whitefly vectors of cassava virus pandemics in Africa. Pest Manag. Sci. 2014, 70, 1446–1453. [Google Scholar] [CrossRef] [PubMed]
- Kristensen, N.P.; Schellhorn, N.A.; Hulthen, A.D.; Howie, L.J.; De Barro, P.J. Wind-borne dispersal of a parasitoid: The process, the model, and its validation. Environ. Entomol. 2013, 42, 1137–1148. [Google Scholar] [CrossRef] [PubMed]
- Bellotti, A.C.; Arias, B. Host plant resistance to whiteflies with emphasis on cassava as a case study. Crop Prot. 2001, 20, 813–823. [Google Scholar] [CrossRef]
- Colvin, J.; Omongo, C.A.; Maruthi, M.N.; Otim-Nape, G.W.; Thresh, J.M. Dual begomovirus infections and high Bemisia tabaci populations: Two factors driving the spread of a cassava mosaic disease pandemic. Plant Pathol. 2004, 53, 577–584. [Google Scholar] [CrossRef]
- Maruthi, M.N.; Hillocks, R.J.; Mtunda, K.; Raya, M.D.; Muhanna, M.; Kiozia, H.; Rekha, A.R.; Colvin, J.; Thresh, J.M. Transmission of Cassava brown streak virus by Bemisia tabaci (Gennadius). J. Phytopathol. 2005, 153, 307–312. [Google Scholar] [CrossRef]
- Kizito, E.B.; Ronnberg-wastljun, A.; Egwang, T.; Gullberg, U.; Fregene, M.; Westerbergh, A. Quantitative trait loci controlling cyanogenic glucoside and dry matter content in cassava (Manihot esculenta Crantz) roots. Hereditas 2007, 144, 129–136. [Google Scholar] [CrossRef]
- Nweke, F.I. A Review of Cassava in Africa with Country Case Studies on Nigeria, Ghana, the United Republic of Tanzania, Uganda and Benin; FAO and IFAD: Rome, Italy, 2005; Volume 2, Available online: http://www.fao.org/3/a0154e/A0154E00.HTM#TOC (accessed on 22 June 2021).
- Kawuki, R.S.; Kaweesi, T.; Esuma, W.; Pariyo, A.; Kayondo, I.S.; Ozimati, A.; Kyaligonza, V.; Abaca, A.; Orone, J.; Tumuhimbise, R.; et al. Eleven years of breeding efforts to combat cassava brown streak disease. Breed. Sci. 2016, 66, 560–571. [Google Scholar] [CrossRef] [PubMed]
- Macfadyen, S.; Paull, C.; Boykin, M.L.; De Barro, P.; Maruthi, N.M.; Otim, M.; Kalyebi, A.; Vassão, G.D.; Sseruwagi, P.; Tay, T.W.; et al. Cassava whitefly, Bemisia tabaci (Gennadius) (Hemiptera: Aleyrodidae) in East African farming landscapes: A review of the factors determining abundance. Bull. Entomol. Res. 2018, 61, 1–18. [Google Scholar] [CrossRef] [PubMed]
- Kumari, S.; Kumar, M. Effect of weather parameters on incidence of whitefly, Bemisia tabaci (Gennadius) on tomato. J. Entomol. Zool. Stud. 2017, 5, 304–306. [Google Scholar]
- Anjali, M.; Singh, N.P.; Mahesh, M.; Swaroop, S. Seasonal incidence and effect of abiotic factors on population dynamics of major insect pests on Brinjal crop. J. Environ. Res. Dev. 2012, 7, 431–435. [Google Scholar]
- Sharma, D.; Maqbool, A.; Jamwal, S.V.V.; Srivastava, K.; Sharma, A. Seasonal dynamics and management of whitefly (Bemesia tabaci Genn.) in tomato (Solanum esculentum Mill.). Brazilian Arch. Biol. Technol. 2017, 60, e17160456. [Google Scholar] [CrossRef]
- Anzola, D.; Lastra, R. Whiteflies population and its impact on the incidence of tomato yellow mosaic virus in Venezuela. J. Phytopathol. 1985, 112, 363–366. [Google Scholar] [CrossRef]
- Lambert, A.L.; McPherson, R.M.; Espelie, K.E. Soybean host plant resistance mechanisms that alter abundance of whiteflies (Homoptera: Aleyrodidae). Environ. Entomol. 1995, 24, 1381–1386. [Google Scholar] [CrossRef]
- Khalid, S.; Mohamad Roff, M.; Touhidor, M.; Idris, A. Effects of plant height, maturity and climatic factors on the population of whitefly (Bemisia tabaci) on chilli (Capsicum annuum L.). J. Trop. Agric. Food Sci. 2006, 34, 195–206. [Google Scholar]
- Khalil, H.; Raza, A.B.M.; Afzal, M.; Aqueel, M.A.; Khalil, S.M.; Mansoor, M.M. Effects of plant morphology on the incidence of sucking insect pests complex in few genotypes of cotton. J. Saudi Soc. Agric. Sci. 2015, 16, 344–349. [Google Scholar] [CrossRef]
- Omongo, C.A.; Kawuki, R.; Bellotti, A.C.; Alicai, T.; Baguma, Y.; Maruthi, M.N.; Bua, A.; Colvin, J. African Cassava whitefly, Bemisia tabaci, resistance in african and south american cassava genotypes. J. Integr. Agric. 2012, 11, 327–336. [Google Scholar] [CrossRef]
- Alicai, T.; Omongo, C.A.; Maruthi, M.N.; Hillocks, R.J.; Baguma, Y.; Kawuki, R.; Bua, A.; Otim-Nape, G.; Colvin, J. Re-emergence of Cassava Brown Streak Disease in Uganda. Plant Dis. 2007, 91, 24–29. [Google Scholar] [CrossRef] [PubMed]
- Katono, K.; Alicai, T.; Baguma, Y.; Edema, R.; Bua, A.; Omongo, C.A. Influence of host plant resistance and disease pressure on spread of cassava brown streak disease in Uganda. Am. J. Exp. Agric. 2015, 7, 284–293. [Google Scholar] [CrossRef]
- Wamani, S.; Omara, T.; Ocitti, P.; Okao-Okuja, G.; Kalyebi, A.; Omongo, C.A. Current Status and Population Abundance of Whiteflies (Bemisia tabaci) Infesting Cassava in Uganda. In Book of Abstracts, 2nd International Whitefly Symposium; IITA and MARI: Arusha, Tanzania, 2016; p. 168. [Google Scholar]
- Omongo, C.A. Cassava Whitefly, Bemisia tabaci, Behaviour and Ecology in Relation to the Spread of the Cassava Mosaic Epidemic in Uganda. Ph.D. Thesis, University of Greenwich, London, UK, 2003. [Google Scholar]
- Otim, M.H. The Distribution, Biology and Behaviour of Major Natural Enemies of Bemisia tabaci (Gennadius) (Homoptera: Aleyrodidae) on Cassava (Manihot Esculenta Crantz) in Uganda. Ph.D. Thesis, Makerere University, Kampala, Uganda, 2007. [Google Scholar]
- Katono, K. Development of Cassava Brown Streak Disease among Selected Cassava Genotypes as Influenced by Amount of Starting Inocula and Level of Host Tolerance. Master’s Thesis, Makerere University, Kampala, Uganda, 2013. [Google Scholar]
- Alicai, T.; Szyniszewska, A.M.; Omongo, C.A.; Abidrabo, P.; Okao-okuja, G.; Baguma, Y.; Ogwok, E.; Kawuki, R.; Esuma, W.; Tairo, F.; et al. Expansion of the cassava brown streak pandemic in Uganda revealed by annual field survey data for 2004 to 2017. Sci. Data 2019, 6, 327. [Google Scholar] [CrossRef] [PubMed]
- Sseruwagi, P.; Sserubombwe, W.S.; Legg, J.P.; Ndunguru, J.; Thresh, J.M. Methods of surveying the incidence and severity of cassava mosaic disease and whitefly vector populations on cassava in Africa: A review. Virus Res. 2004, 100, 129–142. [Google Scholar] [CrossRef]
- Adriko, J.; Sserubombwe, W.S.; Adipala, E.; Bua, A.; Edema, R. Response of local cassava varieties in Uganda to cassava mosaic virus disease. Am. J. Exp. Agric. 2012, 2, 111–132. [Google Scholar] [CrossRef]
- Jeremiah, S.C.; Ndyetabula, I.L.; Mkamilo, G.S.; Haji, S.; Muhanna, M.M.; Chuwa, C.; Kasele, S.; Bouwmeester, H.; Ijumba, J.N.; Legg, J.P. The Dynamics and Environmental Influence on Interactions Between Cassava Brown Streak Disease and the Whitefly, Bemisia tabaci. Ecol. Epidemiol. 2015, 105, 646–655. [Google Scholar] [CrossRef]
- Macfadyen, S.; Tay, W.T.; Hulthen, A.D.; Paull, C.; Kalyebi, A.; Jacomb, F.; Parry, H.; Sseruwagi, P.; Seguni, Z.; Omongo, C.A.; et al. Landscape factors and how they influence whitefly pests in cassava fields across East Africa. Landsc. Ecol. 2021, 36, 45–67. [Google Scholar] [CrossRef]
- R Core Team. R: A Language and Environment for Statistical Computing; Foundation for Statistical Computing, 2017. Available online: https://www.R-project.org/ (accessed on 20 March 2019).
- Venables, W.; Ripley, B. Modern Applied Statistics with S, 4th ed.; Springer: New York, NY, USA, 2002; ISBN 0-387-95457-0. [Google Scholar]
- Kuznetsova, A.; Brockhoff, P.; Christensen, R. Lmertest: Tests in Linear Mixed Effects Models. R Package Version 2.0-33. 2016. Available online: https://CRAN.R-project.org/package=lmerTest (accessed on 20 March 2019).
- De Mendiburu, F. Agricolae: Statistical Procedures for Agricultural Research. R Package Version 1.2-8. 2017. Available online: https://CRAN.R-project.org/package=agricolae (accessed on 20 March 2019).
- Wickham, H. Ggplot2: Elegant Graphics for Data Analysis; Springer: New York, NY, USA, 2009. [Google Scholar]
- Thomas Lumley Based on Fortran Code by Alan Miller. Leaps: Regression Subset Selection. R Package Version 3.0. 2017. Available online: https://CRAN.R-project.org/package=leaps (accessed on 10 June 2019).
- Wickham, H. Tidyversw: Easily Install and Load the ‘Tidyverse’. R Package Version 1.2.1. 2017. Available online: https://CRAN.R-project.org/package=tidyverse (accessed on 23 March 2019).
- Revelle, W. Psych: Procedures for Personality and Psychological Research; Version 1.7.8.; Northwestern University: Evanston, IL, USA, 2017; Available online: https://CRAN.R-project.org/package=psych (accessed on 23 March 2019).
- Vu, Q.V. Ggbiplot: A Ggplot2 Based Biplot. R Package Version 0.55. 2011. Available online: http://github.com/vqv/ggbiplot (accessed on 23 April 2021).
- Karuppaiah, V.; Sujayanad, G.K. Impact of climate change on population dynamics of insect pests. World J. Agric. Sci. 2012, 8, 240–246. [Google Scholar]
- Jaworski, T.; Hilszczański, J. The effect of temperature and humidity changes on insects development their impact on forest ecosystems in the expected climate change. For. Res. Pap. 2013, 74, 345–355. [Google Scholar] [CrossRef]
- Leite, G.L.D.; Picanço, M.; Jham, G.N.; Moreira, M.D. Whitefly population dynamics in okra plantations. Pesqui. Agropecu. Bras. 2005, 40, 19–25. [Google Scholar] [CrossRef]
- Palumbo, J.C. Weather Can Have Major Impact on Insects; YUMA Coll. Agric. Life Sci., 2010. Available online: https://cals.arizona.edu/crop/vegetables/advisories/docs/WeatherandInsects.pdf (accessed on 15 January 2021).
- Melesse, T.; Singh, S.K. Effect of climatic factors on pea aphid, Acyrthosiphon pisum Harris (Homoptera: Aphididae) population and its Management through planting dates and biopesticides in field pea (Pisum sativum L.). J. Agric. Technol. 2012, 8, 125–132. [Google Scholar]
- Sohani, N.Z.; Shishehbor, P.; Kocheili, F. Thermal effect on the biology and life tables of Bemisai tabaci Gennadius (Homoptera: Aleyrodidae). Pak. J. Biol. Sci. 2007, 10, 4057–4062. [Google Scholar]
- Curnutte, L.B.; Simmons, A.M.; Abd-Rabou, S. Climate change and Bemisia tabaci (Hemiptera: Aleyrodidae): Impacts of temperature and carbon dioxide on life history. Ann. Entomol. Soc. Am. 2014, 107, 933–943. [Google Scholar] [CrossRef]
- Norhisham, R.; Abood, F.; Rita, M.; Hakeem, R. Effect of humidity on egg hatchability and reproductive biology of the bamboo borer (Dinoderus minutus Fabricius). Springerplus 2013, 2, 9. [Google Scholar] [CrossRef] [PubMed]
- Brown, A.L.; Cavagnaro, T.R.; Gleadow, R.; Miller, R.E. Interactive effects of temperature and drought on cassava growth and toxicity: Implications for food security? Glob. Chang. Biol. 2016, 22, 3461–3473. [Google Scholar] [CrossRef] [PubMed]
- Aina, O.O.; Dixon, A.G.O.; Akinrinde, E.A. Effect of soil moisture stress on grwoth and yield of cassava in Nigeria. Pak. J. Biol. Sci. 2007, 10, 3085–3090. [Google Scholar] [PubMed]
- Podleśny, J.; Podleśna, A. Effect of rainfall amount and distribution on growth, development and yields of determinate and indeterminate cultivars of blue Lupin. Pol. J. Agron. 2011, 4, 16–22. [Google Scholar]
- Fishpool, L.D.C.; van Helden, M.; van Header, I.; Fauquet, C.; Fargette, C. Monitoring Bemisia tabaci in cassava: Field counts and trap catches. In Proceedings of the International Seminar on African Cassava Mosaic Disease and Its Control, Yamoussoukro, Côte d’Ivoire, 4–8 May 1987; Fauquet, C., Fargette, D., Eds.; CTA: Yamoussoukro, Cote d’Ivoire; Wagenigen, The Netherlands, 1987; pp. 64–76. [Google Scholar]
- Kalyebi, A.; Macfadyen, S.; Parry, H.; Tay, W.T.; De Barro, P.; Colvin, J. African cassava whitefly, Bemisia tabaci, cassava colonization preferences and control implications. PLoS ONE 2018, 13, e0204862. [Google Scholar] [CrossRef]
- Javed, H.; Mohsin, A.; Aslam, M.; Naeem, M.; Amjad, M.; Mahmood, T. Relationship between morphological characters of different aubergine cultivars and fruit infestation by Leucinodes orbonalis Guenee. Pak. J. Bot. 2001, 43, 2023–2028. [Google Scholar]
- Sippell, D.W.; Bindra, O.S.; Khalifa, H. Resistance to whitefly (Bemisia tabaci) in cotton (Gossypium hirsutum) in the Sudan. Crop Prot. 1987, 6, 171–178. [Google Scholar] [CrossRef]
- Andres, R.J.; Bowman, D.T.; Jones, D.C.; Kuraparthy, V. Major leaf shapes of cotton: Genetics and agronomic effects in crop production. J. Cotton Sci. 2016, 20, 330–340. [Google Scholar]
- Legg, J.P. The Ecology of Bemisia tabaci (Gennadius) (Homoptera: Aleyrodidae), Vector of African Cassava Mosaic Geminivirus in Uganda. Ph.D. Thesis, University of Reading, Reading, UK, 1995. [Google Scholar]
- Otim, M.; Legg, J.P.; Kyamanywa, S.; Polaszek, A.; Gerling, D. Occurrence and activity of Bemisia tabaci parasitoids on cassava in different agro-ecologies in Uganda. BioControl 2005, 50, 87–95. [Google Scholar] [CrossRef]
- Otim, M.H.; Tay, W.T.; Walsh, T.K.; Kanyesigye, D.; Adumo, S.; Abongosi, J.; Ochen, S.; Sserumaga, J.; Alibu, S.; Abalo, G.; et al. Detection of sister-species in invasive populations of the fall armyworm Spodoptera frugiperda (Lepidoptera: Noctuidae) from Uganda. PLoS ONE 2018, 13, e0194571. [Google Scholar] [CrossRef]
- Simon, C.; Frati, F.; Beckenbach, A.; Crespi, B.; Liu, H.; Flook, P. Evolution, weighting and phylogenetic utility of mitochondrial gene sequences and a compilation of conserved polymerase chain reaction primers. Ann. Entomol. Soc. Am. 1994, 87, 651–701. [Google Scholar] [CrossRef]
Publisher’s Note: MDPI stays neutral with regard to jurisdictional claims in published maps and institutional affiliations. |
© 2021 by the authors. Licensee MDPI, Basel, Switzerland. This article is an open access article distributed under the terms and conditions of the Creative Commons Attribution (CC BY) license (https://creativecommons.org/licenses/by/4.0/).





