Sign in to use this feature.

Years

Between: -

Subjects

remove_circle_outline
remove_circle_outline
remove_circle_outline
remove_circle_outline
remove_circle_outline
remove_circle_outline
remove_circle_outline
remove_circle_outline
remove_circle_outline

Journals

Article Types

Countries / Regions

remove_circle_outline
remove_circle_outline
remove_circle_outline

Search Results (411)

Search Parameters:
Keywords = whitefly

Order results
Result details
Results per page
Select all
Export citation of selected articles as:
17 pages, 2638 KB  
Article
Genomic Insights into Local Adaptation and Evolutionary Trajectories of Propylea japonica
by Lijuan Zhang, Yan Shi, Mengqi Wang, Yang Xu, Xiaojie Yang, Man Zhao, Weizheng Li, Xianru Guo, Chenchen Zhao and Yuqiang Xi
Biomolecules 2026, 16(3), 421; https://doi.org/10.3390/biom16030421 - 12 Mar 2026
Viewed by 196
Abstract
As an effective biological control agent, Propylea japonica (Coleoptera: Coccinellidae) preys on aphids, whiteflies, planthoppers, and small caterpillars, playing a crucial role in pest management within agro-ecological systems. However, the lack of population genomic data has hindered efforts to optimize its use in [...] Read more.
As an effective biological control agent, Propylea japonica (Coleoptera: Coccinellidae) preys on aphids, whiteflies, planthoppers, and small caterpillars, playing a crucial role in pest management within agro-ecological systems. However, the lack of population genomic data has hindered efforts to optimize its use in biological control. We anayzed resequencing data from 166 genomes across 29 populations spanning P. japonica’s distribution in China. This study reconstructed the species’ evolutionary history, assessed population genetic diversity and demographic structure and identified the key environmental factors driving adaptive evolution. Meanwhile, we predicted its suitable habitats across different periods using ecological niche modelling methods. The results indicated that North China (G1, Yellow River Basin) was the likely geographic origin of P. japonica. Northern and southern populations show significant genetic differentiation, with adaptive evolution in the south being the major driver. We identified genomic signatures of selection in adaptive genes associated with increased pesticide resistance and thermal tolerance. Over the past 20,000 years, effective population size of P. japonica experienced an early bottleneck during the Last Glacial Maximum period, and a subsequent rapid expansion. These insights are critical for improving the conservation and application of natural enemies, ultimately enhancing biological control in agricultural systems. Full article
(This article belongs to the Section Bioinformatics and Systems Biology)
Show Figures

Figure 1

22 pages, 6469 KB  
Article
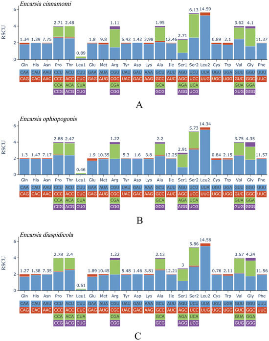
Descriptions of Two New Species of Encarsia (Hymenoptera: Aphelinidae) and Mitochondrial Genome Analysis of Three Species of the Genus
by Ye Luo, Zhigang Dong, Xiaolong Ma, Junqing Ge, Serguei V. Triapitsyn, Jian Huang and Zhuhong Wang
Insects 2026, 17(3), 282; https://doi.org/10.3390/insects17030282 - 5 Mar 2026
Viewed by 366
Abstract
Two new species of the genus Encarsia Förster (Hymenoptera: Aphelinidae), E. cinnamomi Wang & Huang, sp.n. and E. ophiopogonis Wang & Huang, sp.n., are described and illustrated from Fujian, China. The mitochondrial genomes of these two new species and E. diaspidicola are sequenced [...] Read more.
Two new species of the genus Encarsia Förster (Hymenoptera: Aphelinidae), E. cinnamomi Wang & Huang, sp.n. and E. ophiopogonis Wang & Huang, sp.n., are described and illustrated from Fujian, China. The mitochondrial genomes of these two new species and E. diaspidicola are sequenced (14,049 bp, 14,746 bp and 14,849 bp, respectively), both showing a strong A + T bias (84.1%, 84.7% and 84.8% respectively). We infer the phylogenies of several Encarsia species of Aphelinidae and other family of Chalcidoidea based on PCG123 datasets using Bayesian inference (BI) and maximum likelihood (ML) methods. ML and BI analysis both support Aphelinidae formed a sister group to Torymidae. Full article
(This article belongs to the Section Insect Systematics, Phylogeny and Evolution)
Show Figures

Figure 1

24 pages, 1883 KB  
Article
A Multi-Scale Vision–Sensor Collaborative Framework for Small-Target Insect Pest Management
by Chongyu Wang, Yicheng Chen, Shangshan Chen, Ranran Chen, Ziqi Xia, Ruoyu Hu and Yihong Song
Insects 2026, 17(3), 281; https://doi.org/10.3390/insects17030281 - 4 Mar 2026
Viewed by 335
Abstract
In complex agricultural production environments, small-target pests—characterized by tiny scales, strong background confusion, and close dependence on environmental conditions—pose major challenges to precise monitoring and green pest control. To facilitate the transition from experience-driven to data-driven pest management, a multi-scale vision–sensor collaborative recognition [...] Read more.
In complex agricultural production environments, small-target pests—characterized by tiny scales, strong background confusion, and close dependence on environmental conditions—pose major challenges to precise monitoring and green pest control. To facilitate the transition from experience-driven to data-driven pest management, a multi-scale vision–sensor collaborative recognition method is proposed for field and protected agriculture scenarios to improve the accuracy and stability of small-target pest recognition under complex conditions. The method jointly models multi-scale visual representations and pest ecological mechanisms: a multi-scale visual feature module enhances fine-grained texture and morphological cues of small targets in deep networks, alleviating feature sparsity and scale mismatch, while environmental sensor data, including temperature, humidity, and illumination, are introduced as priors to modulate visual features and explicitly incorporate ecological constraints into the discrimination process. Stable multimodal fusion and pest category prediction are then achieved through a vision–sensor collaborative discrimination module. Experiments on a multimodal dataset collected from real farmland and greenhouse environments in Linhe District, Bayannur City, Inner Mongolia, demonstrate that the proposed method achieves approximately 93.1% accuracy, 92.0% precision, 91.2% recall, and a 91.6% F1-score on the test set, significantly outperforming traditional machine learning approaches, single-scale deep learning models, and multi-scale vision baselines without environmental priors. Category-level evaluations show balanced performance across multiple small-target pests, including aphids, thrips, whiteflies, leafhoppers, spider mites, and leaf beetles, while ablation studies confirm the critical contributions of multi-scale visual modeling, environmental prior modulation, and vision–sensor collaborative discrimination. Full article
Show Figures

Figure 1

17 pages, 2744 KB  
Article
The Alarming Eastward Front of Cassava Mosaic Disease Reported in Guinea and Sierra Leone Reaches Western Côte d’Ivoire
by Justin S. Pita, Fidèle Tiendrébéogo, Angela O. Eni, William J.-L. Amoakon, Bekanvié S. M. Kouakou, Mariam Combala, Aya Ange Nate Yoboue, Guy R. Eboulem, Daniel H. Otron, Maïmouna M. Koné, John Steven S. Seka, Richard A. K. Aka, Merveille Koissi Savi, Cyrielle Ndougonna and Nazaire K. Kouassi
Viruses 2026, 18(3), 319; https://doi.org/10.3390/v18030319 - 4 Mar 2026
Viewed by 500
Abstract
Cassava mosaic begomoviruses are a major threat to cassava cultivation in Africa. The virulent Ugandan variant of the East African cassava mosaic virus (EACMV-Ug), which caused substantial damage to cassava production in Uganda in the 1990s and which was previously confined to East [...] Read more.
Cassava mosaic begomoviruses are a major threat to cassava cultivation in Africa. The virulent Ugandan variant of the East African cassava mosaic virus (EACMV-Ug), which caused substantial damage to cassava production in Uganda in the 1990s and which was previously confined to East and Central Africa, was recently found to be well established in Guinea and Sierra Leone in West Africa. Molecular analysis of cassava leaf samples from a nationwide cassava fields survey conducted in Côte d’Ivoire in 2022 suggested the absence of EACMV-Ug in the country in 2022. Given the proximity of some confirmed EACMV-Ug infected locations in Guinea to Côte d’Ivoire, we conducted another survey in 2025 along the entire western border of Côte d’Ivoire, bordering Guinea and Liberia, to update the status of EACMV-Ug in the country. Molecular analysis of the leaf samples collected confirmed the presence of EACMV-Ug in Côte d’Ivoire for the first time, along with other begomoviruses. The infection rate of EACMV-Ug along the Liberian border was higher (28.85%) than the 17.07% observed along the Guinean border. African cassava mosaic virus (ACMV) and East African cassava mosaic Cameroon virus (EACMCMV) were detected both as a single infection and in double co-infections (ACMV+EACMCMV) in some plants, whereas EACMV-Ug was found as a double co-infection (EACMCMV+EACMV-Ug) and as a triple co-infection (ACMV+EACMCMV+EACMV-Ug). Our results also show that all the cassava varieties grown in the surveyed locations were susceptible to EACMV-Ug. Epidemiological assessment of cassava fields revealed that the incidence and severity of cassava mosaic disease (CMD) were significantly higher along the Liberian border compared to the Guinean border. However, whitefly populations were relatively low across the entire area surveyed. Furthermore, we found that the spread of CMD in the survey area was mainly through the use of infected cassava cuttings for the establishment of new farms. Based on these results, it is imperative to conduct an urgent nationwide cassava fields survey to assess the extent of EACMV-Ug spread in Côte d’Ivoire and implement containment measures to stop further spread. Full article
(This article belongs to the Special Issue Plant Virus Spillovers)
Show Figures

Figure 1

12 pages, 1094 KB  
Article
Spectral Preferences of Encarsia formosa: Unravelling Attraction to LED Monitoring Traps
by Emeka Emmanuel Ekejiuba and Rainer Meyhöfer
Insects 2026, 17(3), 246; https://doi.org/10.3390/insects17030246 - 26 Feb 2026
Viewed by 301
Abstract
LED-enhanced sticky traps improve monitoring of greenhouse whitefly, Trialeurodes vaporariorum Westwood (Hemiptera: Aleyrodidae), but their effects on its parasitoid, Encarsia formosa Gahan (Hymenoptera: Aphelinidae), are unclear, which may compromise biological control. Methods: We quantified E. formosa visual responses in climate-chamber multiple-choice arenas using [...] Read more.
LED-enhanced sticky traps improve monitoring of greenhouse whitefly, Trialeurodes vaporariorum Westwood (Hemiptera: Aleyrodidae), but their effects on its parasitoid, Encarsia formosa Gahan (Hymenoptera: Aphelinidae), are unclear, which may compromise biological control. Methods: We quantified E. formosa visual responses in climate-chamber multiple-choice arenas using six LED colors at equal photon flux (8.1 μmol m−2 s−1) and in greenhouse choice/no-choice assays comparing a standard yellow sticky trap with a green LED-enhanced yellow trap, with and without host-infested tomato leaves. We further tested modified LED traps (green LEDs with white or green backgrounds) and assessed intensity-dependent responses (18.0–25.6 μmol m−2 s−1). Results: E. formosa showed the highest attraction to green LEDs (peak ≈ 521–524 nm) and a significantly lower response to other colors. In greenhouse assays, E. formosa preferred the standard yellow sticky trap over the LED-enhanced yellow trap; in no-choice tests, only 9% were recaptured on the LED-enhanced yellow trap, both without and with hosts. Modified traps with white or green backgrounds substantially increased E. formosa recapture (≈54% higher than the yellow-background LED trap). Encarsia formosa attraction to the white-background LED trap declined with increasing intensity (61% at 18.0 to 4% at 25.6 μmol m−2 s−1), whereas whitefly captures were stable to slightly higher. Conclusions: The standard LED-enhanced yellow trap is compatible with E. formosa releases and does not disrupt biocontrol. Modified LED traps show promise for simultaneous monitoring of E. formosa and whiteflies, warranting validation under commercial conditions. Full article
(This article belongs to the Section Insect Pest and Vector Management)
Show Figures

Figure 1

22 pages, 3781 KB  
Article
Mowing Enhances Insect Resistance in Glycyrrhiza uralensis by Reprogramming Volatile Profiles and Inducing Flavonoid Accumulation
by Zhenghui Guan, Wenjia Gao, Hui Duan and Xiushuang Wang
Insects 2026, 17(2), 211; https://doi.org/10.3390/insects17020211 - 17 Feb 2026
Viewed by 434
Abstract
Mowing is a widely used agricultural management practice, yet its role in shaping plant–insect interactions remains largely unexplored. In this study, we investigated how mowing influences resistance of licorice (Glycyrrhiza uralensis) to the whitefly Bemisia tabaci by integrating behavioral assays with [...] Read more.
Mowing is a widely used agricultural management practice, yet its role in shaping plant–insect interactions remains largely unexplored. In this study, we investigated how mowing influences resistance of licorice (Glycyrrhiza uralensis) to the whitefly Bemisia tabaci by integrating behavioral assays with volatile analysis, transcriptomics, and metabolomics. Feeding preference assays showed that adult whiteflies strongly preferred new plants over mowed plants. Developmental assays further revealed that whiteflies exhibited a prolonged egg stage and extended egg-to-adult developmental duration on mowed plants, while adult longevity was not significantly affected. Gas chromatography–mass spectrometry analysis identified 31 volatile compounds in licorice, with alcohols dominating the volatile profile of new plants and terpenoids dominating that of mowed plants. Whitefly infestation significantly increased ester compounds in both plant types. Differential volatile analysis highlighted cis-3-hexen-1-ol and trans-3-hexen-1-ol as dominant compounds in new plants, whereas 3-carene and β-pinene were predominant in mowed plants. Transcriptomic analysis revealed that mowing primarily affected genes associated with primary metabolism and ribosome-related pathways, whereas whitefly infestation induced extensive transcriptional reprogramming, including activation of flavonoid biosynthesis, flavone and flavonol biosynthesis, MAPK signaling, and plant circadian rhythm pathways. Metabolomic profiling identified substantial accumulation of flavonoids, flavonols, and isoflavonoids following whitefly feeding. Integrated multi-omics analysis identified flavonol biosynthesis as a core pathway underlying licorice defense against B. tabaci. Overall, this study demonstrates that mowing primes G. uralensis for enhanced resistance to whitefly infestation by reshaping volatile emissions, activating secondary metabolite biosynthesis, and inducing coordinated defense signaling networks. These findings provide new insights into plant–insect interactions and highlight mowing as a potential component of sustainable pest management strategies. Full article
(This article belongs to the Section Insect Pest and Vector Management)
Show Figures

Graphical abstract

19 pages, 1592 KB  
Article
Utilizing Tea Plant Synomones to Attract Encarsia smithi for Suppressing Aleurocanthus spiniferus in Tea Plantations
by Yiqi Wu, Shanjie Han, Peizhen Fan, Huoxiang Ye, Yanjun Cheng, Yue’er Liang, Xinqiang Zheng, Jianliang Lu and Baoyu Han
Plants 2026, 15(3), 491; https://doi.org/10.3390/plants15030491 - 5 Feb 2026
Viewed by 297
Abstract
The citrus spiny whitefly, Aleurocanthus spiniferus Quaintance (Hemiptera: Aleyrodidae), is an important pest of tea, Camellia sinensis (L.) Kuntze (Theales: Theaceae). Parasitic wasp, Encarsia smithi Silvestri (Hymenoptera: Aphelinidae), is one of the dominant natural enemies of the whitefly. Generally, the whitefly produces four [...] Read more.
The citrus spiny whitefly, Aleurocanthus spiniferus Quaintance (Hemiptera: Aleyrodidae), is an important pest of tea, Camellia sinensis (L.) Kuntze (Theales: Theaceae). Parasitic wasp, Encarsia smithi Silvestri (Hymenoptera: Aphelinidae), is one of the dominant natural enemies of the whitefly. Generally, the whitefly produces four generations per year in Chinese tea plant growing areas. The wasp adult stages are basically synchronized with the nymphal stages of the whitefly. In an indoor Y-tube olfactometer bioassay, odors from both whitefly-pierced tea leaves and adjacent intact tea leaves significantly attracted the wasps, with elevated amounts of trans-2-hexenal and methyl salicylate (MeSA) detected from these two types of tea leaves. A four-arm olfactometer bioassay verified that these two compounds and their binary blends significantly attracted the wasps. Bud green sticky boards baited with trans-2-hexenal (10−2 g mL−1), MeSA (10−2 g mL−1), and five blends of trans-2-hexenal and MeSA (1:1, 2:1, 3:1, 4:1 and 5:1, respectively, v/v) at 10−2 g mL−1 in hexane solutions captured significantly more wasps than did the un-baited boards, with the 3:1 blend catching the highest number of wasps. To enhance whitefly parasitism by the wasps, from early April to early August, the Attractant 2 lures (each holding a total mass of 80 mg of the 3:1 blend) were hung on tea branches and refreshed every 30 days. Deployment of the controlled release synomone-based attractant lures resulted in 2–3 fold higher parasitism rates by the wasps in the treated plots/sections than those in the CK plots/sections during both the peak periods of whitefly pupae of generation 2 from late July to early August and generation 3 in late August. This study demonstrated that herbivore-induced tea volatiles can be formulated as a synomone-based lure for controlling the whitefly through attracting E. smithi in tea plantations. Full article
(This article belongs to the Section Plant Protection and Biotic Interactions)
Show Figures

Figure 1

13 pages, 1060 KB  
Article
Whitefly Species Preferences of the Predatory Ladybird Beetle, Delphastus pallidus LeConte (Coleoptera: Coccinellidae)
by Muhammad Z. Ahmed, Catharine M. Mannion, Cindy L. McKenzie and Lance S. Osborne
Insects 2026, 17(1), 90; https://doi.org/10.3390/insects17010090 - 13 Jan 2026
Viewed by 566
Abstract
Delphastus Casey (Coleoptera: Coccinellidae: Serangiini) comprises small predatory ladybird beetles that feed on immature whiteflies. Several Delphastus species are utilized as biological control agents. However, Delphastus pallidus (LeConte) has been understudied for the past several decades. Recent landscape surveys in South Florida revealed [...] Read more.
Delphastus Casey (Coleoptera: Coccinellidae: Serangiini) comprises small predatory ladybird beetles that feed on immature whiteflies. Several Delphastus species are utilized as biological control agents. However, Delphastus pallidus (LeConte) has been understudied for the past several decades. Recent landscape surveys in South Florida revealed a marked increase in D. pallidus populations associated with multiple whitefly species. We evaluated whitefly species preferences of D. pallidus using choice and no-choice assays conducted in incubators and insectaries. Seven whitefly species were confirmed as prey and ranked in order of preference: Bemisia tabaci Gennadius > Aleurothrixus trachoides (=Aleurotrachelus trachoides) (Back) > Singhiella simplex (Singh) > Paraleyrodes bondari Peracchi > Aleurodicus rugioperculatus Martin > Asiothrixus antidesmae (Takahashi) > Aleurodicus dugesii Cockerell. Findings indicate that D. pallidus feeds on a taxonomically and morphologically diverse set of whiteflies, including both waxy and non-waxy species, which likely facilitates establishment and dispersal in ornamental and agricultural landscapes. This study is the first to document D. pallidus as a potentially native U.S. predatory beetle that attacks at least seven whitefly species. Knowledge of its prey preferences will inform mass-rearing strategies and potential deployment for whitefly biocontrol. Full article
(This article belongs to the Section Insect Pest and Vector Management)
Show Figures

Figure 1

25 pages, 2831 KB  
Article
Lightweight Vision–Transformer Network for Early Insect Pest Identification in Greenhouse Agricultural Environments
by Wenjie Hong, Shaozu Ling, Pinrui Zhu, Zihao Wang, Ruixiang Zhao, Yunpeng Liu and Min Dong
Insects 2026, 17(1), 74; https://doi.org/10.3390/insects17010074 - 8 Jan 2026
Viewed by 604
Abstract
This study addresses the challenges of early recognition of fruit and vegetable diseases and pests in facility horticultural greenhouses and the difficulty of real-time deployment on edge devices, and proposes a lightweight cross-scale intelligent recognition network, Light-HortiNet, designed to achieve a balance between [...] Read more.
This study addresses the challenges of early recognition of fruit and vegetable diseases and pests in facility horticultural greenhouses and the difficulty of real-time deployment on edge devices, and proposes a lightweight cross-scale intelligent recognition network, Light-HortiNet, designed to achieve a balance between high accuracy and high efficiency for automated greenhouse pest and disease detection. The method is built upon a lightweight Mobile-Transformer backbone and integrates a cross-scale lightweight attention mechanism, a small-object enhancement branch, and an alternative block distillation strategy, thereby effectively improving robustness and stability under complex illumination, high-humidity environments, and small-scale target scenarios. Systematic experimental evaluations were conducted on a greenhouse pest and disease dataset covering crops such as tomato, cucumber, strawberry, and pepper. The results demonstrate significant advantages in detection performance, with mAP@50 reaching 0.872, mAP@50:95 reaching 0.561, classification accuracy reaching 0.894, precision reaching 0.886, recall reaching 0.879, and F1-score reaching 0.882, substantially outperforming mainstream lightweight models such as YOLOv8n, YOLOv11n, MobileNetV3, and Tiny-DETR. In terms of small-object recognition capability, the model achieved an mAP-small of 0.536 and a recall-small of 0.589, markedly enhancing detection stability for micro pests such as whiteflies and thrips as well as early-stage disease lesions. In addition, real-time inference performance exceeding 20 FPS was achieved on edge platforms such as Jetson Nano, demonstrating favorable deployment adaptability. Full article
Show Figures

Figure 1

17 pages, 1345 KB  
Article
The Yield and Pest Trade-Off: An Analysis of Insecticide Spray Frequency on the Performance of a Genetically Modified Cowpea in Ghana
by Jerry A. Nboyine, Gloria A. Adazebra, Philip Agrengsore, Ebenezer Asamani, Mukhtaru Zakaria, James Y. Kwabena, Haruna K. Ali, Theophilus K. Tengey, Prince M. Etwire and Jose M. Barrero
Agronomy 2026, 16(2), 156; https://doi.org/10.3390/agronomy16020156 - 8 Jan 2026
Viewed by 552
Abstract
A field trial was conducted at two locations in northern Ghana over two successive years to determine the optimal insecticide application timings for mitigating non-lepidopteran pest infestations in a cowpea (Vigna unguiculata (L.) Walp.) variety, Songotra-T. This variety was genetically engineered to [...] Read more.
A field trial was conducted at two locations in northern Ghana over two successive years to determine the optimal insecticide application timings for mitigating non-lepidopteran pest infestations in a cowpea (Vigna unguiculata (L.) Walp.) variety, Songotra-T. This variety was genetically engineered to resist damage by the Maruca pod borer (MPB) (Maruca vitrata Fab.; Lepidoptera: Crambidae). A split-plot design, with cowpea variety as the main plot factor (Songotra-T vs. Songotra) and insecticide spraying regimes as the sub-plot, was used. Spraying treatments ranged from no spray to three applications at key growth stages (50% flowering, pod initiation, and 50% podding). Data were collected on pest infestation, pod damage, and grain yield. An economic analysis of the spraying regimes tested was performed using yield data. Significant spraying regime effects were observed for non-lepidopteran pests such as whiteflies (p = 0.034), thrips (p = 0.006) and the pod-sucking bugs complex (p < 0.05). Variety effects were mainly significant for MPB infestation and damage to pods. Songotra-T consistently produced approximately 2-fold higher yields than Songotra. Among spraying regimes, two applications at pod initiation and 50% podding resulted in the highest yields, while additional sprays offered no significant advantage. This spraying regime also resulted in a higher return on investment. These findings demonstrate that the adoption of Songotra-T mitigates excessive insecticide use in cowpea production. Full article
(This article belongs to the Special Issue Recent Advances in Legume Crop Protection—2nd Edition)
Show Figures

Figure 1

14 pages, 1210 KB  
Article
Effects of Corcyra cephalonica Egg Consumption on Population Fitness and Reproduction of the Whitefly Predator Serangium japonicum (Coleoptera: Coccinellidae)
by Jianfeng Liang, Jing Peng, Huiyi Cao, Yuxia Hu, Muhammad Irfan Ullah, Shaukat Ali and Xingmin Wang
Insects 2026, 17(1), 62; https://doi.org/10.3390/insects17010062 - 3 Jan 2026
Viewed by 556
Abstract
Ladybird beetle, Serangium japonicum (Coleoptera: Coccinellidae), is an important predatory natural enemy of whiteflies, and its mass rearing is crucial for biological control. This study evaluated the suitability of Corcyra cephalonica (Lepidoptera: Pyralidae) eggs as an alternative diet for adult S. japonicum by [...] Read more.
Ladybird beetle, Serangium japonicum (Coleoptera: Coccinellidae), is an important predatory natural enemy of whiteflies, and its mass rearing is crucial for biological control. This study evaluated the suitability of Corcyra cephalonica (Lepidoptera: Pyralidae) eggs as an alternative diet for adult S. japonicum by directly comparing it to the natural prey, Bemisia tabaci (Hemiptera: Aleyrodidae) nymphs. Results showed that, compared to a B. tabaci diet, feeding on C. cephalonica eggs supported normal development and significantly extended the lifespan of adult S. japonicum, without compromising offspring quality (hatching rate, development, survival, or predatory capacity). However, the moth egg diet significantly impaired reproduction, causing delayed ovarian development, reduced vitellogenesis, and altered gene expression: downregulation of methoprene-tolerant, Juvenile hormone acid O-methyltransferase, Vitellogenin, and Vitellogenin receptor, and upregulation of Juvenile hormone esterase and Copper/zinc superoxide dismutase. Practically, this work defines C. cephalonica eggs as a suboptimal but viable supplementary diet for colony maintenance, but unsuitable as a sole diet for mass-rearing reproductively robust populations. Our findings explain the physiological and molecular mechanisms underlying the “reproduction–lifespan trade-off” in S. japonicum induced by feeding on C. cephalonica eggs, providing a mechanistic basis for its rational application in the mass production of natural enemies. Full article
(This article belongs to the Section Insect Physiology, Reproduction and Development)
Show Figures

Figure 1

30 pages, 10210 KB  
Article
Molecular Modeling Reveals Selective AChE Inhibitor Against Bemisia tabaci Pest
by Fernanda F. de Souza, Juliana F. Vilachã, Othon S. Campos and Heberth de Paula
Targets 2026, 4(1), 1; https://doi.org/10.3390/targets4010001 - 31 Dec 2025
Viewed by 497
Abstract
Acetylcholinesterase (AChE) is an important molecular target in the development of insecticides, but due to also being found in the human body, it is necessary to characterize the inhibitory profile of compounds to achieve selectivity. In this study, we employed molecular modeling and [...] Read more.
Acetylcholinesterase (AChE) is an important molecular target in the development of insecticides, but due to also being found in the human body, it is necessary to characterize the inhibitory profile of compounds to achieve selectivity. In this study, we employed molecular modeling and 3D-QSAR approaches to identify novel compounds that inhibit AChE1 in Bemisia tabaci, a common agricultural pest in tropical and subtropical crops. We conducted molecular docking simulations and quantitative structure–activity relationship analysis (QSAR) to identify compounds with potential inhibitory activity and to develop a predictive model for the activity of these new compounds. The validated model demonstrated remarkable predictive performance. Using the model, we screened a library of novel moieties in favorable regions of the most active molecules in the dataset and identified promising candidates, including FS168. We performed molecular dynamics simulations with FS168 bound to the AChE1 of B. tabaci and observed stabilization and interaction with important catalytic amino acids, indicating a potential inhibition mechanism. Our results showcase the potential of combining molecular modeling and 3D-QSAR approaches for discovering new potential AChE1 inhibitors in Bemisia tabaci as selective agrochemicals. Full article
Show Figures

Graphical abstract

12 pages, 1746 KB  
Article
The First Record of Whitefly (Hemiptera, Sternorrhyncha, Aleyrodidae) from Bitterfeld Amber
by Jowita Drohojowska, Anita Gorzelańczyk, Natalia Tomanek, Małgorzata Kalandyk-Kołodziejczyk and Jacek Szwedo
Insects 2026, 17(1), 50; https://doi.org/10.3390/insects17010050 - 30 Dec 2025
Viewed by 913
Abstract
A male specimen of whitefly Pudrica christianottoi Drohojowska et Szwedo, 2024, of subfamily Aleyrodinae, previously known from the sole female specimen from Lower Lusatia succinite, is here described, based on an inclusion from Bitterfeld amber. This fossil is contributing new data to our [...] Read more.
A male specimen of whitefly Pudrica christianottoi Drohojowska et Szwedo, 2024, of subfamily Aleyrodinae, previously known from the sole female specimen from Lower Lusatia succinite, is here described, based on an inclusion from Bitterfeld amber. This fossil is contributing new data to our understanding of morphological disparity, sexual dimorphism, taxonomic diversity and palaeobiogeographic distribution of the whiteflies in the Eocene fossil resins. It is also a contribution to the ongoing discussions on age, similarities, dissimilarities and taphonomic differences among Eocene resins of Europe collectively known as ‘Baltic amber’. Full article
(This article belongs to the Special Issue Fossil Insects: Diversity and Evolutionary History)
Show Figures

Graphical abstract

19 pages, 14451 KB  
Article
Nanomaterial-Mediated RNAi Targeting Chitin Metabolism Genes in MEAM1 Cryptic Species of Bemisia tabaci (Hemiptera: Aleyrodidae)
by Dejun Kong, Huarong Gu, Yinglu Gao, Yangnan Hou and Jigang Li
Insects 2026, 17(1), 2; https://doi.org/10.3390/insects17010002 - 19 Dec 2025
Viewed by 636
Abstract
The whitefly Bemisia tabaci is a globally invasive pest that threatens crop production through feeding and virus transmission. In this study, we identified genes encoding enzymes in the chitin metabolism pathway of B. tabaci—β-N-acetylglucosaminidase (BtNAG), N-acetylglucosamine kinase (BtNAGK), phosphoacetylglucosamine mutase (BtPAGM), UDP-N-acetylglucosamine [...] Read more.
The whitefly Bemisia tabaci is a globally invasive pest that threatens crop production through feeding and virus transmission. In this study, we identified genes encoding enzymes in the chitin metabolism pathway of B. tabaci—β-N-acetylglucosaminidase (BtNAG), N-acetylglucosamine kinase (BtNAGK), phosphoacetylglucosamine mutase (BtPAGM), UDP-N-acetylglucosamine pyrophosphorylase (BtUAP), and glucosamine-6-phosphate N-acetyltransferase (BtGNA)—using bioinformatic analysis. Quantitative reverse-transcription PCR (RT-qPCR) analyses revealed distinct stage-specific expression patterns for these genes. We used the nanomaterial star polycation (SPc) to deliver gene-specific double-stranded RNA (dsRNA) targeting these genes to fourth instar B. tabaci nymphs, which resulted in significant mortality and developmental defects upon gene silencing. Notably, the fusion dsRNA targeting three genes—BtNAG1, BtNAGK, and BtUAP—achieved approximately 80% nymph mortality, 70% inhibition of adult emergence, and an earlier onset of gene silencing. These findings provide evidence that nanomaterial-assisted delivery of dsRNA can significantly enhance RNAi effects in hemipteran pests and that dsRNA targeting chitin metabolic genes may be an effective strategy for RNAi-based control of B. tabaci. Full article
Show Figures

Figure 1

14 pages, 825 KB  
Article
Insecticidal Activity of Eco-Extracted Holopelagic Sargassum Against the Whitefly Bemisia tabaci Infesting Tomato Crops
by Chirelle Jabbour, Béatrice Rhino, Chloé Corbanini, Jean-Pascal Bergé, Kevin Hardouin and Nathalie Bourgougnon
Phycology 2025, 5(4), 79; https://doi.org/10.3390/phycology5040079 - 1 Dec 2025
Viewed by 913
Abstract
Massive strandings of holopelagic Sargassum cause major ecological and economic problems, but its conversion into bioproducts offers a sustainable alternative. This study assessed the potential of holopelagic Sargassum (S. fluitans and S. natans) collected in the Caribbean as ecofriendly insecticides against [...] Read more.
Massive strandings of holopelagic Sargassum cause major ecological and economic problems, but its conversion into bioproducts offers a sustainable alternative. This study assessed the potential of holopelagic Sargassum (S. fluitans and S. natans) collected in the Caribbean as ecofriendly insecticides against the whitefly Bemisia tabaci, a major pest of tomato crops. Extracts were produced using green methods: ultrasound-assisted extraction (UAE) and ultrasound-assisted enzymatic hydrolysis (UAEH) with enzymes cocktails. Biochemical analyses revealed high mineral and polysaccharide contents, varying with the extraction technique. Extracts were tested at 1–6% (w/v) using clip-cage (adults) and leaf-dip (eggs) methods. All extracts reduced adult survival, with UAE and UAEH-P/C extracts achieving over 50% mortality at ≥4% concentration after 48 h (LD50: 3.9–4.5%). Egg mortality was significant only with UAE and UAEH-P extracts at 6% (LD50: 1.9–2.8%). These results suggest insecticidal activity through both ingestion and cuticle/embryo disruption. Although enzymatic extraction did not markedly enhance biochemical yields, extracts showed, for the first time, promising biocidal and ovicidal properties. This research highlights holopelagic Sargassum as a renewable source of natural insecticidal compounds, supporting sustainable management of both invasive algal biomass and agricultural pests. Full article
(This article belongs to the Special Issue Development of Algal Biotechnology)
Show Figures

Figure 1

Back to TopTop