Effects of Essential Oils from 24 Plant Species on Sitophilus zeamais Motsch (Coleoptera, Curculionidae)
Abstract
Simple Summary
Abstract
1. Introduction
2. Materials and Methods
2.1. Selection of Essential Oils with Potential Insecticidal Ctivity on Sitophilus zeamais
2.1.1. Plant Material
2.1.2. Extraction of Essential Oils
2.1.3. Insects
2.1.4. Preliminary Insecticidal Activity
2.2. Chemical Characterization of Essential Oils
2.2.1. Sample Preparation
2.2.2. Analysis by GC-MS
2.2.3. Determination of Chemical Composition
2.3. Determination of the Insecticidal and Repellent Effect
2.3.1. Reagents
2.3.2. Fumigant Activity Test
2.3.3. Topical Contact Toxicity Test
2.3.4. Repellent Activity Test
2.3.5. Statistical Analysis
3. Results and Discussion
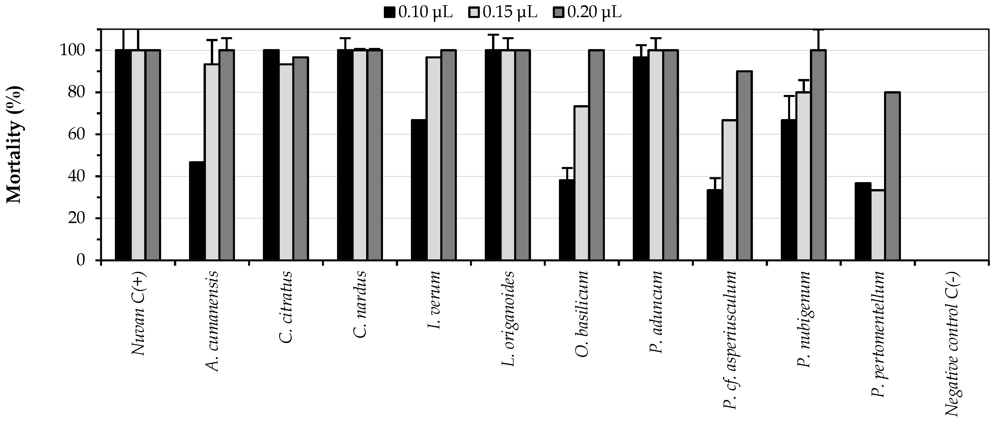
3.1. Selection of EOs with Potential Insecticidal Activity Against S. zeamais
3.2. Chemical Characterization of EOs with Potential Insecticidal Activity
3.3. Determination of the Insecticidal and Repellent Effect of the Selected EOs
3.3.1. Fumigant Toxicity
3.3.2. Contact Toxicity
3.3.3. Repellent Activity
3.4. Characterization of Essential Oils with Fumigant Potential
3.4.1. Statistical Analysis
3.4.2. Determination of Lethal Concentrations of EOs with Fumigant Potential
3.4.3. Fumigant Potential of Some Individual Components (ICs)
4. Conclusions
Supplementary Materials
Author Contributions
Funding
Institutional Review Board Statement
Data Availability Statement
Acknowledgments
Conflicts of Interest
References
- Chaudhary, D.P.; Kumar, S.; Langyan, S. Maize: Nutrition Dynamics and Novel Uses, 1st ed.; Springer: New Delhi, India, 2014; pp. 65–76. [Google Scholar]
- FAO: Food and Agriculture Organization of the United Nations. World Food Situation: FAO Information Note on the Supply and Demand of Cereals. Electronic Newsletter. 2019. Available online: http://www.fao.org/worldfoodsituation/csdb/es/ (accessed on 15 October 2020).
- Paz, C.; Burgos, V.; Iturra, A.; Rebolledo, R.; Ortiz, L.; Baggio, R.; Becerra, J.; Cespedes-Acuña, C.L. Assessment of insecticidal responses of extracts and compounds of Drimys winteri, Lobelia tupa, Viola portalesia and Vestia foetida against the granary weevil Sitophilus granarius. Ind Crops Prod. 2018, 122, 232–238. [Google Scholar] [CrossRef]
- Nwosu, L.C. Impact of Age on the Biological Activities of Sitophilus zeamais (Coleoptera: Curculionidae) Adults on Stored Maize: Implications for Food Security and Pest Management. J. Econ. Entomol. 2018, 111, 2454–2460. [Google Scholar] [CrossRef]
- García, D. Evaluación de Insecticidas de Cuatro Grupos Toxicológicos para el Control de Sitophilus zeamais Motschulsky. Ph.D. Thesis, División de Agronomía, Universidad Autónoma Agraria “Antonio Narro”, Saltillo, Mexico, 2009; pp. 2–23. [Google Scholar]
- Tefera, T.; Mugo, S.; Likhayo, P.; Beyene, Y. Resistance of three-way cross experimental maize hybrids to post-harvest insect pests, the larger grain borer (Prostephanus truncatus) and maize weevil (Sitophilus zeamais). Int. J. Trop. Insect Sci. 2011, 31, 3–12. [Google Scholar] [CrossRef]
- Pereira da Silva, F.; Capítulo, V. Conservación y Protección de los Granos Almacenados. En Manual de manejo poscosecha de granos a nivel rural. Oficina Regional de la FAO para América Latina y el Caribe. 1993. Available online: http://www.fao.org/3/x5027s/x5027S0h.htm#V.%20Conservacion%20y%20proteccion%20de%20los%20granos%20almacenados (accessed on 12 October 2020).
- Patiño-Bayona, W.; Plazas, E.; Bustos, J.; Prieto, J.; Patiño-Ladino, O. Essential Oils of Three Hypericum Species from Colombia: Chemical Composition, Insecticidal and Repellent Activity Against Sitophilus zeamais Motsch. (Coleoptera: Curculionidae). Rec. Nat. Prod. 2021, 15, 111–121. [Google Scholar] [CrossRef]
- Hell, K.; Cardwell, K.F.; Setamou, M.; Schulthess, F. Influence of insect infestation on aflatoxin contamination of stored maize in four agroecological regions in Benin. Afr. J. Entomol. 2000, 8, 169–177. [Google Scholar]
- Fleurat-Lessard, F. Stored-Grain Pest Management. In Encyclopedia of Food Grains, 2nd ed.; Elsevier: Cambridge, MA, USA; Academic Press: Cambridge, MA, USA, 2016; Volume 1, pp. 126–139. [Google Scholar]
- Nesci, A.; Barra, P.; Etcheverry, M. Integrated management of insect vectors of Aspergillus flavus in stored maize, using synthetic antioxidants and natural phytochemicals. J. Stored Prod. Res. 2011, 47, 231–237. [Google Scholar] [CrossRef]
- Thoms, E.M.; Busacca, J.D. Fumigants. Encyclopedia of Food and Health, 1st ed.; Elsevier: Cambridge, MA, USA; Academic Press: Cambridge, MA, USA, 2016; pp. 150–156. [Google Scholar]
- Boyer, S.; Zhang, H.; Lempérière, G. A review of control methods and resistance mechanisms in stored-product insects. Bull. Entomol. Res. 2012, 102, 213–229. [Google Scholar] [CrossRef]
- Herrera, J.M.; Zunino, M.P.; Dambolena, J.S.; Pizzolitto, R.P.; Gañan, N.A.; Lucini, E.I.; Zygadlo, J.A. Terpene ketones as natural insecticides against Sitophilus zeamais. Ind. Crops. Prod. 2015, 70, 435–442. [Google Scholar] [CrossRef]
- Peschiutta, M.L.; Brito, V.D.; Achimón, F.; Zunino, M.P.; Usseglio, V.L.; Zygadlo, J.A. New insecticide delivery method for the control of Sitophilus zeamais in stored maize. J. Stored Prod. Res. 2019, 83, 185–190. [Google Scholar] [CrossRef]
- Bhavya, M.L.; Chandu, A.G.S.; Devi, S.S. Ocimum tenuiflorum oil, a potential insecticide against rice weevil with anti-acetylcholinesterase activity. Ind. Crops. Prod. 2018, 126, 434–439. [Google Scholar] [CrossRef]
- Mossa, A.T.H. Green pesticides: Essential oils as biopesticides in insect-pest management. J. Environ. Sci. Technol. 2016, 9, 354. [Google Scholar] [CrossRef]
- Bett, P.K.; Deng, A.L.; Ogendo, J.O.; Kariuki, S.T.; Kamatenesi-Mugisha, M.; Mihale, J.M.; Torto, B. Chemical composition of Cupressus lusitanica and Eucalyptus saligna leaf essential oils and bioactivity against major insect pests of stored food grains. Ind. Crop. Prod. 2016, 82, 51–62. [Google Scholar] [CrossRef]
- Angioni, A.; Barra, A.; Coroneo, V.; Dessi, S.; Cabras, P. Chemical composition, seasonal variability, and antifungal activity of Lavandula stoechas L. ssp. stoechas essential oils from stem/leaves and flowers. J. Agric. Food. Chem. 2006, 54, 4364–4370. [Google Scholar] [PubMed]
- Pascual, M.J.; Ballesta, M.C.; Soler, A. Toxicidad y repelencia de aceites esenciales en plagas de almacén del arroz. Boletín de Sanidad Vegetal Plagas. 2004, 30, 279–286. [Google Scholar]
- Abbott, W.S. A Method of Computing the Effectiveness of an Insecticide. J. Econ. Entomol. 1925, 18, 265–267. [Google Scholar] [CrossRef]
- The Pherobase: Database of Pheromones and Semiochemicals. Available online: http://www.pherobase.com/ (accessed on 18 September 2020).
- Adams, R.P. Identification of Essential Oil Components by Gas Chromatography/Mass Spectrometry, 4th ed.; Allured Publishing Corporation: Carol Stream, IL, USA, 2012; pp. 53–679. [Google Scholar]
- Chu, S.S.; Du, S.S.; Liu, L.Z. Fumigant compounds from the essential oils of Chinese Blumea bolsamifera leaves against maize weevil Sitophilus zeamais. J. Chem. 2013, 1–7. [Google Scholar] [CrossRef]
- Liu, Z.L.; Goh, S.H.; Ho, S.H. Screening of Chinese medicinal herbs for bioactivity against Sitophilus zeamais Motschulsky and Tribolium castaneum (Herbst). J. Stored Prod. Res. 2007, 43, 290–296. [Google Scholar] [CrossRef]
- Ringuelet, J.; Ocampo, R.; Henning, C.; Padín, S.; Urrutia, M.; Dalbello, G. Actividad insecticida del aceite esencial de Lippia alba (Mill.) N. E. Brown sobre Tribolium castaneum Herbst. en granos de trigo (Triticum aestivum L.). Rev. Bras. Agroecol. 2014, 9, 214–222. [Google Scholar]
- Abdel-Rahman, H.; Abdel-Moty, H.; Nabawy, E.; Eman, I. Evaluation of Twenty Botanical Extracts and Products as Sources of Repellents, Toxicants and Protectants for Stored Grains against the Almond Moth, Cadra cautella. Funct. Plant. Sci. Biotechnol. 2011, 5, 36–44. [Google Scholar]
- Kiran, S.; Prakash, B. Toxicity and biochemical efficacy of chemically characterized Rosmarinus officinalis essential oil against Sitophilus oryzae and Oryzaephilus surinamensis. Ind. Crops. Prod. 2015, 74, 817–823. [Google Scholar]
- Bedini, S.; Guarino, S.; Echeverria, M.C.; Flamini, G.; Ascrizzi, R.; Loni, A.; Conti, B. Allium sativum, Rosmarinus officinalis, and Salvia officinalis essential oils: A spiced shield against blowflies. Insects 2020, 11, 143. [Google Scholar] [CrossRef] [PubMed]
- Karimi, C.K.; Ndung’, M.W.; Githua, M. Repellent effects of essential oils from selected Eucalyptus species and their major constituents against Sitophilus zeamais (Coleoptera: Curculionidae). Int. J. Trop. Insect. Sc. 2013, 33, 188–194. [Google Scholar] [CrossRef]
- Mossi, A.J.; Astolfi, V.; Kubiak, G.; Lerin, L.; Zanella, C.; Toniazzo, G.; Oliveira, D.; Devilla, I.; Cansian, R.; Restello, R. Insecticidal and repellency activity of essential oil of Eucalyptus sp. against Sitophilus zeamais Motschulsky (Coleoptera, Curculionidae). J. Sci. Food Agric. 2011, 91, 273–277. [Google Scholar] [CrossRef] [PubMed]
- Kamanula, J.F.; Belmain, S.R.; Hall, D.R.; Farman, D.I.; Goyder, D.J.; Mvumi, B.M.; Masumbu, F.F.; Stevenson, P.C. Chemical variation and insecticidal activity of Lippia javanica (Burm. f.) Spreng essential oil against Sitophilus zeamais Motschulsky. Ind. Crops Prod. 2017, 110, 75–82. [Google Scholar] [CrossRef]
- Polatoğlu, K.; Karakoç, Ö.C.; Yücel Yücel, Y.; Gücel, S.; Demirci, B.; Başer, K.H.C.; Demirci, F. Insecticidal activity of edible Crithmum maritimum L. essential oil against Coleopteran and Lepidopteran insects. Ind. Crops Prod. 2016, 89, 383–389. [Google Scholar] [CrossRef]
- Carrasco, A.; Ortiz, V.; Martinez, R.; Tomas, V.; Tudela, J. Lavandula stoechas essential oil from Spain: Aromatic profile determined by gas chromatography–mass spectrometry, antioxidant and lipoxygenase inhibitory bioactivities. Ind. Crops. Prod. 2015, 73, 16–27. [Google Scholar] [CrossRef]
- Hossain, F.; Lacroix, M.; Salmieri, S.; Vu, K.; Follett, P.A. Basil oil fumigation increases radiation sensitivity in adult Sitophilus oryzae (Coleoptera: Curculionidae). J. Stored Prod. Res. 2014, 59, 108–112. [Google Scholar] [CrossRef]
- François, T.; Pierre, J.; Lambert, S.; Ndifor, F.; Arlette, W. Comparative essential oils composition and insecticidal effect of different tissues of Piper capense L., Piper guineense Schum. et Thonn., Piper nigrum L. and Piper umbellatum L. grown in Cameroonatsa. Afr. J. Biotechnol. 2009, 8, 424–431. [Google Scholar]
- Potzernheim, M.C.; Bizzo, H.R.; Silva, J.P.; Vieira, R.F. Chemical characterization of essential oil constituents of four populations of Piper aduncum L. from Distrito Federal, Brazil. Biochem. Syst. Ecol. 2012, 42, 25–31. [Google Scholar] [CrossRef]
- Guerrini, A.; Sacchetti, G.; Rossi, D.; Paganetto, G.; Muzzoli, M.; Andreotti, E.; Tognolini, M.; Maldonado, M.; Bruni, R. Bioactivities of Piper aduncum L. and Piper obliquum Ruiz & Pavon (Piperaceae) essential oils from Eastern Ecuador. Environ. Toxicol. Pharmacol. 2009, 27, 39–48. [Google Scholar]
- Dambolena, J.S.; Zunino, M.P.; Herrera, J.M.; Pizzolitto, R.P.; Areco, V.A.; Zygadlo, J.A. Terpenes: Natural products for controlling insects of importance to human health—A structure-activity relationship study. Psyche 2016, 2016, 1–17. [Google Scholar] [CrossRef]
- Jang, Y.S.; Yang, Y.C.; Choi, D.S.; Ahn, Y.J. Vapor phase toxicity of marjoram oil compounds and their related monoterpenoids to Blattella germanica (Orthoptera: Blattellidae). J. Agric. Food Chem. 2005, 53, 7892–7898. [Google Scholar] [CrossRef]
- Yildirim, E.; Emsen, B.; Kordali, S. Insecticidal effects of monoterpenes on Sitophilus zeamais Motschulsky (Coleoptera: Curculionidae). J. Appl. Bot Food Qual. 2013, 86, 198–204. [Google Scholar]
- Peixoto, M.G.; Bacci, L.; Blank, A.F.; Araújo, A.P.A.; Alves, P.B.; Silva, J.H.S.; Santos, A.A.; Oliveria, A.P.; da Costa, A.S.; de Fátima Arrigoni-Blank, M. Toxicity and repellency of essential oils of Lippia alba chemotypes and their major monoterpenes against stored grain insects. Ind. Crop. Prod. 2015, 71, 31–36. [Google Scholar] [CrossRef]
- Kerdchoechuen, O.; Laohakunjit, N.; Singkornard, S.; Matta, F.B. Essential oils from six herbal plants for biocontrol of the maize weevil. HortScience 2010, 45, 592–598. [Google Scholar] [CrossRef]
- Kim, J.; Park, I.-K. Fumigant toxicity of Korean medicinal plant essential oils and components from Asiasarum sieboldi root against Sitophilus oryzae L. Flavour Fragr. J. 2008, 23, 79–83. [Google Scholar] [CrossRef]
- Bedini, S.; Bougherra, H.H.; Flamini, G.; Cosci, F.; Belhamel, K.; Ascrizzi, R.; Conti, B. Repellency of anethole-and estragole-type fennel essential oils against stored grain pests: The different twins. Bull. Insectol. 2016, 69, 149–157. [Google Scholar]
- Fouad, H.A.; da Camara, C.A.G. Chemical composition and bioactivity of peel oils from Citrus aurantiifolia and Citrus reticulata and enantiomers of their major constituent against Sitophilus zeamais (Coleoptera: Curculionidae). J. Stored Prod. Res. 2017, 73, 30–36. [Google Scholar] [CrossRef]
- Polatoğlu, K.; Karakoç, Ö.C. Chapter 5—Biologically Active Essential Oils against Stored Product Pests. In Essential Oils in Food Preservation, Flavor and Safety, 1st ed.; Elsevier: Cambridge, MA, USA; Academic Press: Cambridge, MA, USA, 2016; Part I; pp. 39–59. [Google Scholar]
- Bertoli, A.; Conti, B.; Mazzoni, V.; Meini, L.; Pistelli, L. Volatile chemical composition and bioactivity of six essential oils against the stored food insect Sitophilus zeamais Motsch. (Coleoptera Dryophthoridae). Nat. Prod. Res. 2011, 26, 1–9. [Google Scholar] [CrossRef] [PubMed]
- Nerio, L.S.; Olivero-Verbel, J.; Stashenko, E. Repellent activity of essential oils from seven aromatic plants grown in Colombia against Sitophilus zeamais Motschulsky (Coleoptera). J. Stored Prod. Res. 2009, 45, 212–214. [Google Scholar] [CrossRef]
- Pawitan, Y. A reminder of the fallibility of the Wald statistic: Likelihood explanation. Am. Stat. 2000, 54, 54–56. [Google Scholar]
- López, M.D.; Contreras, J.; Pascual-Villalobos, M.J. Selection for tolerance to volatile monoterpenoids in Sitophilus oryzae (L.), Rhyzopertha dominica (F.) and Cryptolestes pusillus (Schönherr). J. Stored Prod. Res. 2010, 46, 52–58. [Google Scholar] [CrossRef]
- Lee, B.H.; Annis, P.C.; Tumaalii, F.; Choi, W.S. Fumigant toxicity of essential oils from the Myrtaceae family and 1,8-cineole against 3 major stored-grain insects. J. Stored Prod. Res. 2004, 40, 553–564. [Google Scholar] [CrossRef]
- Lee, S.; Peterson, C.J.; Coats, J.R. Fumigation toxicity of monoterpenoids to several stored product insects. J. Stored Prod. Res. 2003, 39, 77–85. [Google Scholar] [CrossRef]









| Species | Mann–Whitney Test p Value | Species | Mann–Whitney Test p Value | Species | Mann–Whitney Test p Value |
|---|---|---|---|---|---|
| A. cumanensis | p < 0.0001 * | H. myricarifolium | p > 0.0500 | P. aduncum | p < 0.0160 * |
| C. × sinensis | p > 0.0500 | I. verum | p < 0.0001 * | P. cf. asperiusculum | p < 0.0160 * |
| C. album | p > 0.4640 | L. alba | p > 0.0500 | P. el-metanum | p < 0.0350 * |
| C. citratus | p < 0.0330 * | L. origanoides | p < 0.0330 * | P. nubigenum | p < 0.0350 * |
| C. nardus | p < 0.0260 * | L. stoechas | p > 0.0500 | P. pertomentellum | p < 0.0350 * |
| C. sempervirens | p > 0.0500 | M. septentrionalis | p < 0.0160 * | R. officinalis | p < 0.0350 * |
| Eucalyptus sp | p > 0.0500 | O. basilicum | p < 0.0100 * | S. viminea | p < 0.0350 * |
| H. mexicanum | p > 0.0500 | Ocotea sp. | p < 0.0160 * | X. discrete | p > 0.0500 |
| Parameter | % Contact Mortality | % Fumigant Mortality | % Repellent Action |
|---|---|---|---|
| [0.2 μL] | [11 μL] | [22 μL] | |
| Median | 88.35 | 73.00 | 79.90 |
| Coefficient of variation (n − 1) | 0.44 | 0.42 | 0.16 |
| Asymmetry (Fisher) | −1.12 | −0.74 | −1.18 |
| Species | LC50 a (95% Confidence Limit) μL/L Air | Slope b | Intercept c | p-Value d |
|---|---|---|---|---|
| C. × sinensis | 427.8 (382.3–468.8) | 0.004 | −1.907 | |
| C. album | 593.0 (494.5–653.7) | 0.003 | −2.055 | |
| C. sempervirens | 481.6 (416.8–531.9) | 0.004 | −1.863 | |
| Eucalyptus sp. | 184.3 (139.0–222.1) | 0.005 | −0.893 | |
| * H. mexicanum | 223.5 (173.6–262.0) | 0.005 | −1.140 | |
| * H. myricariifolium | 463.1 (338.3–559.9) | 0.002 | −0.779 | |
| L. alba | 254.1 (229.1–279.6) | 0.008 | −2.005 | |
| L. stoechas | 303.4 (276.0–332.7) | 0.007 | −2.103 | |
| M. septentrionalis | 304.4 (249.9–350.5) | 0.004 | −1.130 | |
| Ocotea sp. | 642.6 (597.5–692.7) | 0.004 | −2.770 | |
| P. el-metanum | 643.9 (528.5–825.0) | 0.002 | −1.046 | |
| R. officinalis | 243.7 (204.4–282.3) | 0.005 | −1.097 | |
| S. viminea | 483.6 (432.9–545.6) | 0.005 | −2.540 | |
| X. discreta | 422.3 (358.9–480.8) | 0.003 | −1.365 |
| Component | RI * | C. album | C. sempervirens | C. × sinensis | Eucalyptus sp. | H. mexicanum | H. myricariifolium | L. alba | L. stoechas | M. septentrionalis | Ocotea sp. | P. el-metanum | R. officinalis | S. viminea | X. discreta |
|---|---|---|---|---|---|---|---|---|---|---|---|---|---|---|---|
| Nonane | 904 | 53.08 | |||||||||||||
| α-Pinene | 939 | 7.12 | 16.89 | 25.28 | 42.52 | 24.01 | 23.20 | 24.71 | |||||||
| Camphene | 956 | 8.71 | |||||||||||||
| Sabinene | 976 | 9.39 | 5.08 | ||||||||||||
| β-Pinene | 983 | 12.42 | 36.04 | ||||||||||||
| α-Phellandrene | 1010 | 43.47 | |||||||||||||
| ∆-3-Carene | 1012 | 11.93 | |||||||||||||
| α-Terpinene | 1020 | 4.85 | |||||||||||||
| p-Cymene | 1028 | 4.96 | 3.40 | ||||||||||||
| Limonene | 1033 | 6.58 | 91.22 | 6.50 | 53.10 | 5.93 | 19.36 | 3.01 | |||||||
| cis β-ocimene | 1035 | 18.05 | |||||||||||||
| β-Phellandrene | 1036 | 37.62 | 7.07 | 7.78 | |||||||||||
| 1,8-Cineole | 1038 | 66.65 | 17.12 | 23.20 | 10.06 | ||||||||||
| γ-Terpinene | 1060 | 5.72 | |||||||||||||
| α-Terpinolene | 1087 | 6.58 | |||||||||||||
| Fenchone | 1094 | 27.77 | |||||||||||||
| Camphor | 1155 | 27.99 | 13.19 | ||||||||||||
| p-Ment-3-en-8-ol | 1158 | 45.39 | |||||||||||||
| Menthone | 1161 | 8.17 | |||||||||||||
| Terpinen-4-ol | 1186 | 0.22 | 0.79 | 0.31 | 0.48 | 1.09 | 0.39 | 0.06 | |||||||
| α-Terpineol | 1201 | 44.29 | |||||||||||||
| Pulegone | 1252 | 41.85 | 38.61 | ||||||||||||
| Carvone | 1256 | 27.94 | |||||||||||||
| Terpinyl acetate | 1354 | 12.20 | |||||||||||||
| β-Caryophyllene | 1430 | 13.59 | 16.51 | ||||||||||||
| α-Caryophyllene | 1465 | 4.69 | |||||||||||||
| Germacrene D | 1491 | 11.20 | |||||||||||||
| Abietadiene | 1969 | 8.35 |
| Compound | LC50 a (95% Confidence Limit) | Slope b | p-Value c | |
|---|---|---|---|---|
| mg/L Air | µmol/L Air | |||
| R-(+)-Pulegone | 0.58 | 3.81 | 3.73 | 9.90 × 10−6 |
| (0.46–0.71) | (3.03–4.69) | (±0.84) | ||
| S-(-)-Pulegone | 0.97 | 6.37 | 1.79 | 4.50 × 10−5 |
| (0.69–1.21) | (4.54–7.98) | (±0.44) | ||
| R-(-)-Carvone | 1.42 | 9.48 | 1.73 | 1.30 × 10−5 |
| (1.14–1.72) | (7.57–11.48) | (±0.40) | ||
| S-(+)-Carvone | 2.87 | 19.10 | 0.52 | 2.00 × 10−4 |
| (1.99–3.75) | (13.26–24.99) | (±0.14) | ||
| (-)-Terpinen-4-ol | 4.03 | 26.14 | 0.61 | 4.40 × 10−5 |
| (3.27–4.91) | (21.22–31.82) | (±0.15) | ||
| R-(-)-Fenchone | 10.59 | 69.59 | 0.20 | 1.50 × 10−5 |
| (8.56–13.16) | (56.24–86.45) | (±0.046) | ||
| 1,8-Cineole | 12.96 | 84.04 | 0.15 | 2.60 × 10−6 |
| (10.38–16.10) | (67.31–104.36) | (±0.031) | ||
| p-Cymene | 28.68 | 213.67 | 0.07 | 1.20 × 10−5 |
| (23.08–35.59) | (171.95–256.12) | (±0.016) | ||
| Terpinolene | 52.13 | 337.92 | 0.035 | 1.33 × 10−3 |
| (34.83–72.33) | (225.81–468.91) | (±0.012) | ||
| α-Terpinene | 60.24 | 442.21 | 0.04 | 1.80 × 10−6 |
| (47.80–72.75) | (350.86–533.98) | (±0.007) | ||
| Sabinene | 68.65 | 503.92 | 0.04 | 2.70 × 10−6 |
| (56.89–79.75) | (417.59–585.44) | (±0.008) | ||
| ∆-3-Carene | 80.35 | 589.79 | 0.02 | 8.70 × 10−7 |
| (64.09–97.18) | (470.47–713.38) | (±0.005) | ||
| Limonene | 88.69 | 651.06 | 0.03 | 3.10 × 10−7 |
| (74.72–103.70) | (548.49–761.24) | (±0.005) | ||
| α-Phellandrene | 88.87 | 652.36 | 0.02 | 4.50 × 10−5 |
| (69.70–108.27) | (511.64–794.79) | (±0.006) | ||
| β-Pinene | 97.60 | 716.41 | 0.02 | 1.10 × 10−5 |
| (77.15–116.76) | (566.36–857.12) | (±0.005) | ||
| γ- Terpinene | 107.95 | 792.42 | 0.02 | 8.30 × 10−4 |
| (82.31–146.97) | (604.23–1078.84) | (±0.005) | ||
| α-Pinene | 110.38 | 810.25 | 0.02 | 3.50 × 10−6 |
| (90.76–130.60) | (666.22–958.70) | (±0.004) | ||
| Dichlorvos (C +) | 2.17 | 9.84 | 0.51 | 4.40 × 10−4 |
| (1.53–3.81) | (6.01–17.22) | (±0.15) | ||
Publisher’s Note: MDPI stays neutral with regard to jurisdictional claims in published maps and institutional affiliations. |
© 2021 by the authors. Licensee MDPI, Basel, Switzerland. This article is an open access article distributed under the terms and conditions of the Creative Commons Attribution (CC BY) license (https://creativecommons.org/licenses/by/4.0/).
Share and Cite
Patiño-Bayona, W.R.; Nagles Galeano, L.J.; Bustos Cortes, J.J.; Delgado Ávila, W.A.; Herrera Daza, E.; Suárez, L.E.C.; Prieto-Rodríguez, J.A.; Patiño-Ladino, O.J. Effects of Essential Oils from 24 Plant Species on Sitophilus zeamais Motsch (Coleoptera, Curculionidae). Insects 2021, 12, 532. https://doi.org/10.3390/insects12060532
Patiño-Bayona WR, Nagles Galeano LJ, Bustos Cortes JJ, Delgado Ávila WA, Herrera Daza E, Suárez LEC, Prieto-Rodríguez JA, Patiño-Ladino OJ. Effects of Essential Oils from 24 Plant Species on Sitophilus zeamais Motsch (Coleoptera, Curculionidae). Insects. 2021; 12(6):532. https://doi.org/10.3390/insects12060532
Chicago/Turabian StylePatiño-Bayona, William R., Leidy J. Nagles Galeano, Jenifer J. Bustos Cortes, Wilman A. Delgado Ávila, Eddy Herrera Daza, Luis E. Cuca Suárez, Juliet A. Prieto-Rodríguez, and Oscar J. Patiño-Ladino. 2021. "Effects of Essential Oils from 24 Plant Species on Sitophilus zeamais Motsch (Coleoptera, Curculionidae)" Insects 12, no. 6: 532. https://doi.org/10.3390/insects12060532
APA StylePatiño-Bayona, W. R., Nagles Galeano, L. J., Bustos Cortes, J. J., Delgado Ávila, W. A., Herrera Daza, E., Suárez, L. E. C., Prieto-Rodríguez, J. A., & Patiño-Ladino, O. J. (2021). Effects of Essential Oils from 24 Plant Species on Sitophilus zeamais Motsch (Coleoptera, Curculionidae). Insects, 12(6), 532. https://doi.org/10.3390/insects12060532

