Toxic, Oviposition Deterrent and Oxidative Stress Effects of Thymus vulgaris Essential Oil against Acanthoscelides obtectus
Simple Summary
Abstract
1. Introduction
2. Materials and Methods
2.1. Insects and Rearing Conditions
2.2. Thyme Essential Oil
2.3. Residual Contact Toxicity of Thyme EO on Bean Seeds
2.4. Thyme EO Effects on F1 Progeny Production
2.5. Oviposition Deterrence
2.6. Oxidative Stress Indices
2.7. Statistical Methods
3. Results
3.1. Residual Contact Toxicity of Thyme EO
3.2. Thyme EO Impact on Survival Time
3.3. Thyme EO Impact on F1 Progeny Number
3.4. Oviposition Deterrent Activity of Thyme EO
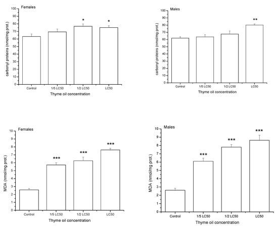
3.5. Thyme EO Effects on Oxidative Damage and Thiol Content
4. Discussion
5. Conclusions
Author Contributions
Funding
Conflicts of Interest
References
- Tharanathan, R.N.; Mahadevamma, S. Grain legumes—A boon to human nutrition. Trends Food Sci. Tech. 2003, 14, 507–518. [Google Scholar] [CrossRef]
- Espinal, R.; Higgins, R.; Wright, V. Economic Losses Associated with Zabrotes subfuscintus (Boheman) (Coleoptera: Bruchidae) and Acanthoscelides obtectus (Say) (Coleoptera: Bruchidae) infestations of stored dry red beans (Phaseolus vulgaris L.) in Southeastern Honduras. Ceiba 2004, 45, 107–119. [Google Scholar]
- Keszthelyi, S.; Egri, H.B.; Horváth, D.; Csóka, Á.; Kovács, G.; Donkó, T. Nutrient content restructuring and CT-measured density, volume attritions on damaged beans caused by Acanthoscelides obtectus Say (Coleoptera: Chrysomelidae). J. Plant. Prot. Res. 2018, 58, 91–95. [Google Scholar]
- Padín, S.; Dal Bello, G.; Fabrizio, M. Grain loss caused by Tribolium castaneum, Sitophilus oryzae and Acanthoscelides obtectus in stored durum wheat and beans treated with Beauveria bassiana. J. Stored Prod. Res. 2002, 38, 69–74. [Google Scholar] [CrossRef]
- Jevremović, S. The Effect of Essential Oils and Selected Constituents of Thyme, Rosemary and Basil on the Bean Weevil Acanthoscelides obtectus (Say) (Coleoptera: Chrydomelidae). Ph.D. Dissertation, Faculty of Agriculture, University of Belgrade, Belgrade, Serbia, 2019. [Google Scholar]
- Paul, U.V.; Lossini, J.S.; Edwards, P.J.; Hilbeck, A. Effectiveness of products from four locally grown plants for the management of Acanthoscelides obtectus (Say) and Zabrotes subfasciatus (Boheman) (both Coleoptera: Bruchidae) in stored beans under laboratory and farm conditions in Northern Tanzania. J. Stored Prod. Res. 2009, 45, 97–107. [Google Scholar] [CrossRef]
- Boyer, S.; Zhang, H.; Lempérière, G. A review of control methods and resistance mechanisms in stored-product insects. Bull. Entomol. Res. 2012, 102, 213–229. [Google Scholar] [CrossRef]
- Campos, E.V.; Proença, P.L.; Oliveira, J.L.; Bakshi, M.; Abhilash, P.C.; Fraceto, L.F. Use of botanical insecticides for sustainable agriculture: Future perspectives. Ecol. Indic. 2019, 105, 483–495. [Google Scholar] [CrossRef]
- Miresmailli, S.; Isman, M.B. Botanical insecticides inspired by plant–herbivore chemical interactions. Trends Plant. Sci. 2014, 19, 29–35. [Google Scholar] [CrossRef]
- Pavela, R. History, presence and perspective of using plant extracts as commercial botanical insecticides and farm products for protection against insects–a review. Plant. Protect. Sci. 2016, 52, 229–241. [Google Scholar]
- Tegegne, B. Combination Effect of Different Insecticide Plants against Acanthoscelides obtectus (Coleoptera: Bruchidea): Storage Pests of Common Bean (Phaseolus vulgaris). J. Agric. Sci. Food Res. 2017, 8, 192. [Google Scholar]
- Adarkwah, C.; Obeng-Ofori, D.; Prozell, S.; Asante, V.; Hörmann, V.; Ulrichs, C.; Schöller, M. Toxicity and protectant potential of Piper guineense (Piperaceae) and Senna siamea (Fabaceae) mixed with diatomaceous earth for the management of three major stored product beetle pests. Int. J. Pest. Manag. 2018, 64, 128–139. [Google Scholar] [CrossRef]
- Mofunanya, A.A.J.; Nta, A.I. Managing Acanthoscelides obtectus Say on stored Phaseolus lunatus L. with six indigenous botanical powders. Annu. Res. Rev. Biol. 2018, 27, 1–8. [Google Scholar] [CrossRef]
- Panezai, G.M.; Rukhsana, J.; Munir, K.; Ambreen, I.; Majed, R.; Bukhari, F.A.; Awan, M.A.; Tariq, M.M. Insecticidal action of three plants extracts against cowpea weevil, Callosobruchus maculatus (F) and bean weevil, Acanthoscelides obtectus Say. Pak. J. Zool. 2015, 47, 899–902. [Google Scholar]
- Han, G.D.; Kum, H.J.; Chun, Y.S.; Na, J.; Kim, W. Repellency and attractancy of plant extracts against Plodia interpunctella and Sitophilus zeamais. J. Stored Prod. Res. 2017, 74, 33–35. [Google Scholar] [CrossRef]
- Kısa, A.; Akyüz, M.; Çoğun, H.Y.; Kordali, Ş.; Bozhüyük, A.U.; Tezel, B.; Şiltelioğlu, U.; Anıl, B.; Çakır, A. Effects of Oleaeuropaea L. leaf metabolites on the tilapia (Oreochromis niloticus) and three stored pests, Sitophilus granarius, Tribolium confusum and Acanthoscelides obtectus. Rec. Nat. Prod. 2018, 12, 201. [Google Scholar] [CrossRef]
- Kłyś, M.; Malejky, N.; Nowak-Chmura, M. The repellent effect of plants and their active substances against the beetle storage pests. J. Stored Prod. Res. 2017, 74, 66–77. [Google Scholar] [CrossRef]
- Chaubey, M.K. Essential oils as green pesticides of stored grain insects. Eur. J. Biol. Res. 2019, 9, 202–244. [Google Scholar]
- Isman, M.B. Botanical insecticides, deterrents, and repellents in modern agriculture and an increasingly regulated world. Annu. Rev. Entomol. 2006, 51, 45–66. [Google Scholar] [CrossRef]
- Regnault-Roger, C.; Vincent, C.; Arnason, J.T. Essential oils in insect control: Low-risk products in a high-stakes world. Annu. Rev. Entomol. 2012, 57, 405–424. [Google Scholar] [CrossRef]
- Rajendran, S.; Sriranjini, V. Plant products as fumigants for stored-product insect control. J. Stored Prod. Res. 2008, 44, 126–135. [Google Scholar] [CrossRef]
- Shaaya, E.; Kostyukovsky, M.; Atsmi, S.; Chen, B. Alternatives to methyl bromide for the control of insects attacking stored products and cut flowers. In Proceedings of the Seventh International Working Conference on Stored-Product Protection, Beijing, China, 14–19 October 1998; Zuxun, J., Quan, L., Yongsheng, L., Xianchang, T., Lianghua, G., Eds.; Sichuan Publishing House of Science and Technology: Hong Kong, China, 1999; pp. 526–530. [Google Scholar]
- Wang, J.J.; Tsai, J.H.; Ding, W.; Zhao, Z.M.; Li, L.S. Toxic effects of six plant oils alone and in combination with controlled atmosphere on Liposcelis bostrychophila (Psocoptera: Liposcelididae). J. Econ. Entomol. 2001, 94, 1296–1301. [Google Scholar] [CrossRef] [PubMed]
- Campolo, O.; Romeo, F.V.; Malacrinò, A.; Laudania, F.; Carpinteri, G.; Fabroni, S.; Rapisarda, P.; Palmeri, V. Effects of inert dusts applied alone and in combination with sweet orange essential oil against Rhyzopertha dominica (Coleoptera: Bostrichidae) and wheat microbial population. Ind. Crops Prod. 2014, 61, 361–369. [Google Scholar] [CrossRef]
- El-Razik, M.A.; Zayed, G.M.M. Effectiveness of three plant oils in binary mixtures with pyridalyl, abamectin, spinosad and malathion against Callosobruchus maculatus (F.) adults. Am. J. Biochem. Mol. Biol. 2014, 4, 76–85. [Google Scholar] [CrossRef]
- Sabbour, M.; Abdel-Raheem, M. Toxicity of the fungus Beauveria bassiana and three oils extract against Sitophilus granaries under laboratory and store condition. Am. J. Innov. Res. Appl. Sci. 2015, 1, 251–256. [Google Scholar]
- Isman, M.B. Pesticides based on plant essential oils: From traditional practice to commercialization. In Medicinaland Aromatic Crops: Production, Phytochemistry, and Utilization; Jeliazkov, V.D., Cantrell, C.L., Eds.; American Chemical Society: Washington, DC, USA, 2016; pp. 13–26. [Google Scholar]
- Rajna, S.; Paschapur, A.U.; Raghavendra, K.V. Nanopesticides: Its scope and utility in pest management. Indian Farmer 2019, 6, 17–21. [Google Scholar]
- Hossain, F.M.; Follett, P.; Salmieri, S.; Vu, K.D.; Jamshidian, M.; Lacroix, M. Perspectives on essential oil-loaded nano-delivery packaging technology for controlling stored cereal and grain pests. In Green Pesticides Handbook: Essential Oils for Pest Control; Nollet, L.M.L., Rathore, H.S., Eds.; CRC Press: Florence, KY, USA, 2017; pp. 487–508. [Google Scholar]
- Haddi, K.; Turchen, L.M.; Viteri Jumbo, L.O.; Guedes, R.N.; Pereira, E.J.; Aguiar, R.W.; Oliveira, E.E. Rethinking biorational insecticides for pest management: Unintended effects and consequences. Pest. Manag. Sci. 2020, 76, 2286–2293. [Google Scholar] [CrossRef]
- Jankowska, M.; Rogalska, J.; Wyszkowska, J.; Stankiewicz, M. Molecular targets for components of essential oils in the insect nervous system—A review. Molecules 2018, 23, 34. [Google Scholar] [CrossRef]
- Pascual-Villalobos, M.J.; Ballesta-Acosta, M.C. Chemical variation in an Ocimum basilicum germplasm collection and activity of the essential oils on Callosobruchus maculatus. Biochem. Syst. Ecol. 2003, 31, 673–679. [Google Scholar] [CrossRef]
- Ketoh, G.K.; Koumaglo, H.K.; Glitho, I.A. Inhibition of Callosobruchus maculatus (F.) (Coleoptera: Bruchidae) development with essential oil extracted from Cymbopogon schoenanthus L. Spreng. (Poaceae), and the wasp Dinarmusbasalis (Rondani) (Hymenoptera: Pteromalidae). J. Stored Prod. Res. 2005, 41, 363–371. [Google Scholar] [CrossRef]
- Nerio, L.S.; Olivero-Verbel, J.; Stashenko, E.E. Repellent activity of essential oils from seven aromatic plants grown in Colombia against Sitophilus zeamais Motschulsky (Coleoptera). J. Stored Prod. Res. 2009, 45, 212–214. [Google Scholar] [CrossRef]
- Abbasipour, H.; Mahmoudvand, M.; Rastegar, F.; Hosseinpour, M.H. Fumigant toxicity and oviposition deterrency of the essential oil from cardamom, Elettaria cardamomum, against three stored–product insects. J. Insect Sci. 2011, 11, 165. [Google Scholar] [CrossRef] [PubMed]
- Guo, S.; Geng, Z.; Zhang, W.; Liang, J.; Wang, C.; Deng, Z.; Du, S. The chemical composition of essential oils from Cinnamomum camphora and their insecticidal activity against the stored product pests. Int. J. Mol. Sci. 2016, 17, 1836. [Google Scholar] [CrossRef] [PubMed]
- Haider, S.Z.; Mohan, M.; Pandey, A.K.; Singh, P. Use of Tanacetum tomentosum and Ta. dolichophyllum essential oils as botanical repellents and insecticidal agents against storage pest Tribolium castaneum (Coleoptera: Tenebrionidae). Entomol. Res. 2017, 47, 318–327. [Google Scholar] [CrossRef]
- Polatoğlu, K.; Karakoç, Ö.C.; Yücel, Y.Y.; Gücel, S.; Demirci, B.; Demirci, F.; Başer, K.H.C. Insecticidal activity of Salvia veneris Hedge. Essential oil against coleopteran stored product insects and Spodoptera exigua (Lepidoptera). Ind. Crops Prod. 2017, 97, 93–100. [Google Scholar] [CrossRef]
- Viteri Jumbo, L.O.; Haddi, K.; Faroni, L.R.D.; Heleno, F.F.; Pinto, F.G.; Oliveira, E.E. Toxicity to oviposition and population growth impairments of Callosobruchus maculatus exposed to clove and cinnamon essential oils. PLoS ONE 2018, 13, e0207618. [Google Scholar] [CrossRef]
- Cao, J.Q.; Pang, X.; Guo, S.S.; Wang, Y.; Geng, Z.F.; Sang, Y.L.; Guo, P.; Du, S.S. Pinene-rich essential oils from Haplophyllum dauricum (L.) G. Don display anti-insect activity on two stored-product insects. Int. Biodeter. Biodegr. 2019, 140, 1–8. [Google Scholar] [CrossRef]
- Feng, Y.X.; Wang, Y.; Chen, Z.Y.; Guo, S.S.; You, C.X.; Du, S.S. Efficacy of bornyl acetate and camphene from Valeriana officinalis essential oil against two storage insects. Environ. Sci. Pollut. Res. 2019, 26, 16157–16165. [Google Scholar] [CrossRef]
- Adak, T.; Barik, N.; Patil, N.B.; Gadratagi, B.G.; Annamalai, M.; Mukherjee, A.K.; Rath, P.C. Nanoemulsion of eucalyptus oil: An alternative to synthetic pesticides against two major storage insects (Sitophilus oryzae (L.) and Tribolium castaneum (Herbst) of rice. Ind. Crops Prod. 2020, 143, 111849. [Google Scholar] [CrossRef]
- Izakmehri, K.; Saber, M.; Mehrvar, A.; Hassanpouraghdam, M.B.; Vojoudi, S. Lethal and sublethal effects of essential oils from Eucalyptus camaldulensis and Heracleum persicum against the adults of Callosobruchus maculatus. J. Insect Sci. 2013, 13, 152. [Google Scholar] [CrossRef]
- Haddi, K.; Oliveira, E.E.; Faroni, L.R.; Guedes, D.C.; Miranda, N.N. Sublethal exposure to clove and cinnamon essential oils induces hormetic-like responses and disturbs behavioral and respiratory responses in Sitophilus zeamais (Coleoptera: Curculionidae). J. Econ. Entomol. 2015, 108, 2815–2822. [Google Scholar] [CrossRef]
- Borzoui, E.; Naseri, B.; Abedi, Z.; Karimi-Pormehr, M.S. Lethal and sublethal effects of essential oils from Artemisia khorassanica and Vitex pseudo-negundo against Plodia interpunctella (Lepidoptera: Pyralidae). Environ. Entomol. 2016, 45, 1220–1226. [Google Scholar] [CrossRef] [PubMed]
- Silva, S.M.; Haddi, K.; Viteri Jumbo, L.O.; Oliveira, E.E. Progeny of the maize weevil, Sitophilus zeamais, is affected by parental exposure to clove and cinnamon essential oils. Entomol. Exp. Appl. 2017, 163, 220–228. [Google Scholar] [CrossRef]
- Mossa, A.T.H. Green pesticides: Essential oils as biopesticides in insect-pest management. J. Environ. Sci. Tech. 2016, 9, 354. [Google Scholar] [CrossRef]
- Shin-Foon, C. Studies on plants as a source of insect growth regulators for crop protection. J. Appl. Entomol. 1989, 107, 185–192. [Google Scholar] [CrossRef]
- Facknath, S. Combination of neem and physical disturbance for the control of four insect pests of stored products. Int. J. Trop. Insect Sci. 2006, 26, 16–27. [Google Scholar] [CrossRef]
- Ahmed, M.M.; Kassem, H.A.; Faragallah, A.M.; Fahmy, A.R.; Georgi, J.M.; El Sawaf, B.M. Larvicidal activity of Eucalyptus globulus (Myrtaceae) and Origanu mmajorana (Lamiaceae) essential oils against the sand fly Phlebotomus papatasi (Diptera: Psychodidae). Egypt Acad. J. Biol. Sci. 2018, 10, 31–38. [Google Scholar]
- Zibaee, A.; Bandani, A.R. A study on the toxicity of a medicinal plant, Artemisia annua L. (Asteraceae) extracts to the sunn pest, Eurygaster integriceps Puton (Hemiptera: Scutelleridae). J. Plant. Prot. Res. 2010, 50, 79–85. [Google Scholar] [CrossRef]
- Liao, M.; Xiao, J.J.; Zhou, L.J.; Liu, Y.; Wu, X.W.; Hua, R.M.; Wang, G.R.; Cao, H.Q. Insecticidal activity of Melaleuca alternifolia essential oil and RNA-Seq analysis of Sitophilus zeamais transcriptome in response to oil fumigation. PLoS ONE 2016, 11, e0167748. [Google Scholar] [CrossRef]
- Shahriari, M.; Zibaee, A.; Sahebzadeh, N.; Shamakhi, L. Effects of α-pinene, trans-anethole, and thymol as the essential oil constituents on antioxidant system and acetylcholine esterase of Ephestia kuehniella Zeller (Lepidoptera: Pyralidae). Pestic. Biochem. Physiol. 2018, 150, 40–47. [Google Scholar] [CrossRef]
- Souza Alves, M.; Campos, I.M.; de Brito, D.D.M.C.; Cardoso, C.M.; Pontes, E.G.; de Souza, M.A.A. Efficacy of lemongrass essential oil and citral in controlling Callosobruchus maculatus (Coleoptera: Chrysomelidae), a post-harvest cowpea insect pest. Crop. Prot. 2019, 119, 191–196. [Google Scholar] [CrossRef]
- Hu, J.; Wang, W.; Dai, J.; Zhu, L. Chemical composition and biological activity against Tribolium castaneum (Coleoptera: Tenebrionidae) of Artemisia brachyloba essential oil. Ind. Crops Prod. 2019, 128, 29–37. [Google Scholar] [CrossRef]
- Bakkali, F.; Averbeck, S.; Averbeck, D.; Idaomar, M. Biological effects of essential oils–A review. Food Chem. Toxicol. 2008, 46, 446–475. [Google Scholar] [CrossRef]
- da Cunha, F.A.B.; Wallau, G.L.; Pinho, A.I.; Nunes, M.E.M.; Leite, N.F.; Tintino, S.R.; da Costa, G.M.; Athayde, M.L.; Boligon, A.A.; Coutinho, H.D.M.; et al. Eugenia uniflora leaves essential oil induces toxicity in Drosophila melanogaster: Involvement of oxidative stress mechanisms. Toxicol. Res. 2015, 4, 634–644. [Google Scholar] [CrossRef]
- Tapandjou, L.A.; Adler, C.; Bouda, H.; Fontem, D.A. Efficacy of powder and essential oil from Chenopodium ambrosioides leaves as post-harvest grain protectants against six-stored product beetles. J. Stored Prod. Res. 2002, 38, 395–402. [Google Scholar] [CrossRef]
- Derwich, E.; Benziane, Z.; Boukir, A. Chemical compositions and insecticidal activity of essential oils of three plants Artemisia sp: Artemisiaherba-alba, Artemisia absinthium and Artemisia pontica (Morocco). Elec. J. Environ. Agric. Food Chem. 2009, 8, 1202–1211. [Google Scholar]
- Bett, P.K.; Deng, A.L.; Ogendo, J.O.; Kariuki, S.T.; Kamatenesi-Mugisha, M.; Mihale, J.M.; Torto, B. Residual contact toxicity and repellence of Cupressus lusitanica Miller and Eucalyptus saligna Smith essential oils against major stored product insect pests. Ind. Crops Prod. 2017, 110, 65–74. [Google Scholar] [CrossRef]
- Papachristos, D.P.; Stamopoulos, D.C. Repellent, toxic and reproduction inhibitory effects of essential oil vapours on Acanthoscelides obtectus (Say) (Coleoptera: Bruchidae). J. Stored Prod. Res. 2002, 38, 117–128. [Google Scholar] [CrossRef]
- Ayvaz, A.; Sagdic, O.; Karaborklu, S.; Ozturk, I. Insecticidal activity of the essential oils from different plants against three stored-product insects. J. Insect Sci. 2010, 10, 21. [Google Scholar] [CrossRef]
- Scariot, M.A.; Reichert Júnior, F.W.; Radünz, L.L.; Barro, J.P.; Mossi, A.J. Salvia officinalis essential oil in bean weevil control. Pesqui. Agropecu. Trop. 2016, 46, 177–182. [Google Scholar] [CrossRef]
- Viteri Jumbo, L.O.; Faroni, L.R.; Oliveira, E.E.; Pimentel, M.A.; Silva, G.N. Potential use of clove and cinnamon essential oils to control the bean weevil, Acanthoscelides obtectus Say, in small storage units. Ind. Crops Prod. 2014, 56, 27–34. [Google Scholar] [CrossRef]
- Oliveira, M.R.D.; Bonome, L.T.D.S.; Bittencourt, H.V.H.; Zarowni, E.; Lefchak, L.D.S. Alternative treatments in bean seeds for repelling Acanthoscelides obtectus (Say). J. Seed Sci. 2018, 40, 362–369. [Google Scholar] [CrossRef]
- Ndomo, A.F.; Tapondjou, L.A.; Ngamo, L.T.; Hance, T. Insecticidal activities of essential oil of Callistemon viminalis applied as fumigant and powder against two bruchids. J. Appl. Entomol. 2010, 134, 333–341. [Google Scholar] [CrossRef]
- Rodríguez-González, Á.; Álvarez-García, S.; González-López, Ó.; Da Silva, F.; Casquero, P.A. Insecticidal properties of Ocimum basilicum and Cymbopogon winterianus against Acanthoscelides obtectus, insect pest of the common bean (Phaseolus vulgaris, L.). Insects 2019, 10, 151. [Google Scholar] [CrossRef] [PubMed]
- Ndomo, A.F.; Ngamo, L.T.; Tapondjou, L.A.; Tchouanguep, F.M.; Hance, T. Insecticidal effects of the powdery formulation based on clay and essential oil from the leaves of Clausena anisata (Willd.) JD Hook ex. Benth. (Rutaceae) against Acanthoscelides obtectus (Say) (Coleoptera: Bruchidae). J. Pest. Sci. 2008, 81, 227–234. [Google Scholar] [CrossRef]
- Regnault-Roger, C.; Hamraoui, A. Inhibition of reproduction of Acanthoscelides obtectus Say (Coleoptera), a kidney bean (Phaseolus vulgaris) bruchid, by aromatic essential oils. Crop. Prot. 1994, 13, 624–628. [Google Scholar] [CrossRef]
- Regnault-Roger, C.; Hamraoui, A. Fumigant toxic activity and reproductive inhibition induced by monoterpenes on Acanthoscelides obtectus (Say) (Coleoptera), a bruchid of kidney bean (Phaseolus vulgaris L.). J. Stored Prod. Res. 1995, 31, 291–299. [Google Scholar] [CrossRef]
- Jevremović, S.; Lazarević, J.; Kostić, M.; Krnjajić, S.; Ugrenović, V.; Radonjić, A.; Kostić, I. Contact application of Lamiaceae botanicals reduces bean weevil infestation in stored beans. Arch. Biol. Sci. 2019, 71, 665–676. [Google Scholar] [CrossRef]
- Bradford, M.M. A rapid and sensitive method for the quantitation of microgram quantities of protein utilizing the principle of protein-dye binding. Anal. Biochem. 1976, 72, 248–254. [Google Scholar] [CrossRef]
- Mesquita, C.S.; Oliveira, R.; Bento, F.; Geraldo, D.; Rodrigues, J.V.; Marcos, J.C. Simplified 2, 4-dinitrophenylhydrazine spectrophotometric assay for quantification of carbonyls in oxidized proteins. Anal. Biochem. 2014, 458, 69–71. [Google Scholar] [CrossRef]
- Levine, R.L.; Garland, D.; Oliver, C.N.; Amici, A.; Climent, I.; Lenz, A.G.; Ahn, B.W.; Shaltiel, S.; Stadtman, E.R. Determination of carbonyl content in oxidatively modified proteins. In Methods in Enzymology; Academic Press: Cambridge, MA, USA, 1990; Volume 186, pp. 464–478. [Google Scholar]
- Ohkawa, H.; Ohishi, N.; Yagi, K. Assay for lipid peroxides in animal tissues by thiobarbituric acid reaction. Anal. Biochem. 1979, 95, 351–358. [Google Scholar] [CrossRef]
- Ellman, G.L. Tissue sulfhydryl groups. Arch. Biochem. Biophys. 1959, 82, 70–77. [Google Scholar] [CrossRef]
- Sedlak, J.; Lindsay, R.H. Estimation of total, protein-bound, and nonprotein sulfhydryl groups in tissue with Ellman’s reagent. Anal. Biochem. 1968, 25, 192–205. [Google Scholar] [CrossRef]
- Finney, D.J. Probit Analysis, 3rd ed.; Cambridge University Press: Cambridge, UK, 1971. [Google Scholar]
- Pletcher, S.D. Model fitting and hypothesis testing for age-specific mortality data. J. Evol. Biol. 1999, 12, 430–439. [Google Scholar] [CrossRef]
- McDonald, J.H. Hand Book of Biological Statistics, 3rd ed.; Sparky House Publishing: Baltimore, MD, USA, 2014. [Google Scholar]
- Basch, E.; Ulbricht, C.; Hammerness, P.; Bevins, A.; Sollars, D. Thyme (Thymus vulgaris L.), thymol. J. Herb Pharmacother. 2004, 4, 49–67. [Google Scholar] [CrossRef] [PubMed]
- Baker, B.P.; Grant, J.A. Thyme and Thyme Oil Profile: Active Ingredient Eligible for Minimum Risk Pesticide Use; New York State Integrated Pest Management, Cornell University: Geneva, NY, USA, 2018. [Google Scholar]
- Pavela, R. Lethal and sublethal effects of thyme oil (Thymus vulgaris L.) on the house fly (Musca domestica Lin.). J. Essent. Oil Bear. Plants 2007, 10, 346–356. [Google Scholar] [CrossRef]
- Pavela, R.; Vrchotová, N.; Tříska, J. Mosquitocidal activities of thyme oils (Thymus vulgaris L.) against Culex quinquefasciatus (Diptera: Culicidae). Parasit. Res. 2009, 105, 1365. [Google Scholar] [CrossRef]
- Pavela, R. Insecticidal and repellent activity of selected essential oils against of the pollen beetle, Meligethes aeneus (Fabricius) adults. Ind. Crops Prod. 2011, 34, 888–892. [Google Scholar] [CrossRef]
- Jiang, Z.L.; Akhtar, Y.; Zhang, X.; Bradbury, R.; Isman, M.B. Insecticidal and feeding deterrent activities of essential oils in the cabbage looper, Trichoplusia ni (Lepidoptera: Noctuidae). J. Appl. Entomol. 2012, 136, 191–202. [Google Scholar] [CrossRef]
- Szczepanik, M.; Zawitowska, B.; Szumny, A. Insecticidal activities of Thymus vulgaris essential oil and its components (thymol and carvacrol) against larvae of lesser mealworm, Alphitobius diaperinus Panzer (Coleoptera: Tenebrionidae). Allelopath. J. 2012, 30, 129–142. [Google Scholar]
- Renkema, J.M.; Wright, D.; Buitenhuis, R.; Hallett, R.H. Plant essential oils and potassium metabisulfite as repellents for Drosophila suzukii (Diptera: Drosophilidae). Sci. Rep. 2016, 6, 1–10. [Google Scholar] [CrossRef]
- Skuhrovec, J.; Douda, O.; Zouhar, M.; Maňasová, M.; Nový, P.; Božik, M.; Klouček, P. Insecticidal activity of two formulations of essential oils against the cereal leaf beetle. Acta Agric. Scand. 2018, 68B, 489–495. [Google Scholar] [CrossRef]
- Maia, J.D.; La Corte, R.; Martinez, J.; Ubbink, J.; Prata, A.S. Improved activity of thyme essential oil (Thymus vulgaris) against Aedes aegypti larvae using a biodegradable controlled release system. Ind. Crops Prod. 2019, 136, 110–120. [Google Scholar] [CrossRef]
- Regnault-Roger, C.; Hamraoui, A.; Holeman, M.; Theron, E.; Pinel, R. Insecticidal effect of essential oils from mediterranean plants upon Acanthoscelides obtectus Say (Coleoptera, Bruchidae), a pest of kidney bean (Phaseolus vulgaris L.). J. Chem. Ecol. 1993, 19, 1233–1244. [Google Scholar] [CrossRef] [PubMed]
- Papachristos, D.P.; Stamopoulos, D.C. Toxicity of vapours of three essential oils to the immature stages of Acanthoscelides obtectus (Say) (Coleoptera: Bruchidae). J. Stored Prod. Res. 2002, 38, 365–373. [Google Scholar] [CrossRef]
- Sertkaya, E. Fumigant toxicity of the essential oils from medicinal plants against bean weevil, Acanthoscelides obtectus (Say) (Coleoptera: Bruchidae). Asian J. Chem. 2013, 25, 553–555. [Google Scholar] [CrossRef]
- Yankova, V. Effectiveness of some bioinsecticides against bean weevil (Acanthoscelides obtectus Say) in field conditions. In Proceedings of the 45th Croat. 5th International Symposioum Agriculture, Opatija, Croatia, 15–19 February 2010; pp. 614–618. [Google Scholar]
- Daglish, G.J.; Hall, E.A.; Zorzetto, M.J.; Lambkin, T.M.; Erbacher, J.M. Evaluation of protectants for control of Acanthoscelides obtectus (Say) (Coleoptera: Bruchidae) in navy beans (Phaseolus vulgaris (L.)). J. Stored Prod. Res. 1993, 29, 215–219. [Google Scholar] [CrossRef]
- Kiran, S.; Prakash, B. Assessment of toxicity, antifeedant activity, and biochemical responses in stored-grain insects exposed to lethal and sublethal doses of Gaultheria procumbens L. essential oil. J. Agric. Food Chem. 2015, 63, 10518–10524. [Google Scholar]
- Kiran, S.; Kujur, A.; Patel, L.; Ramalakshmi, K.; Prakash, B. Assessment of toxicity and biochemical mechanisms underlying the insecticidal activity of chemically characterized Boswellia carterii essential oil against insect pest of legume seeds. Pestic. Biochem. Physiol. 2017, 139, 17–23. [Google Scholar]
- Askin, H.; Yildiz, M.; Ayar, A. Effects of Thymol and carvacrol on acetylcholinesterase from Drosophila melanogaster. Acta Phys. Pol. 2017, 132A, 720–722. [Google Scholar] [CrossRef]
- Pinho, A.I.; Wallau, G.L.; Nunes, M.E.M.; Leite, N.F.; Tintino, S.R.; da Cruz, L.C.; da Cunha, F.A.B.; da Costa, J.G.M.; Coutinho, H.D.M.; Posser, T.; et al. Fumigant activity of the Psidiumguajavavar pomifera (Myrtaceae) essential oil in Drosophila melanogaster by means of oxidative stress. Oxid. Med. Cell Longev. 2014, 2014, 696785. [Google Scholar] [CrossRef]
- Kiran, S.; Prakash, B. Toxicity and biochemical efficacy of chemically characterized Rosmarinus officinalis essential oil against Sitophilus oryzae and Oryzaephilus surinamensis. Ind. Crops Prod. 2015, 74, 817–823. [Google Scholar]
- Castillo-Morales, R.M.; Otero, A.L.C.; Mendez-Sanchez, S.C.; Da Silva, M.A.N.; Stashenko, E.E.; Duque, J.E. Mitochondrial affectation, DNA damage and AChE inhibition induced by Salvia officinalis essential oil on Aedesaegypti larvae. Comp. Biochem. Physiol. 2019, 221C, 29–37. [Google Scholar]
- Petrović, M.; Popović, A.; Kojić, D.; Šućur, J.; Bursić, V.; Aćimović, M.; Malenčić, Đ.; Stojanović, T.; Vuković, G. Assessment of toxicity and biochemical response of Tenebrio molitor and Tribolium confusum exposed to Carumcarvi essential oil. Entomol. Gen. 2019, 38, 333–348. [Google Scholar] [CrossRef]
- Lazarević, J.; Đorđević, M.; Stojković, B.; Tucić, N. Resistance to prooxidant agent paraquat in the short-and long-lived lines of the seed beetle (Acanthoscelides obtectus). Biogerontology 2013, 14, 141–152. [Google Scholar] [CrossRef] [PubMed]
- Šešlija Jovanović, D.; Đorđević, M.; Savković, U.; Lazarević, J. The effect of mitochondrial complex I inhibitor on longevity of short-lived and long-lived seed beetles and its mitonuclear hybrids. Biogerontology 2014, 15, 487–501. [Google Scholar] [CrossRef]
- Papachristos, D.P.; Karamanoli, K.I.; Stamopoulos, D.C.; Menkissoglu-Spiroudi, U. The relationship between the chemical composition of three essential oils and their insecticidal activity against Acanthoscelides obtectus (Say). Pest. Manag. Sci. 2004, 60, 514–520. [Google Scholar] [CrossRef]
- Papanastasiou, S.A.; Bali, E.M.D.; Ioannou, C.S.; Papachristos, D.P.; Zarpas, K.D.; Papadopoulos, N.T. Toxic and hormetic-like effects of three components of citrus essential oils on adult Mediterranean fruit flies (Ceratitiscapitata). PLoS ONE 2017, 12, e0177837. [Google Scholar] [CrossRef]
- Ismail, E.H. Toxicity, repellency and latent effects of some medicinal oils against Tribolium confusum and T. castaneum (Coleoptera: Tenebrionidae). J. Entomol. Zoo. Stud. 2018, 6, 1337–1347. [Google Scholar]






| Sex | Slope ± SE (CI) | LC30 a (CI) | LC50 a (CI) | LC99 a (CI) | χ2 | p |
|---|---|---|---|---|---|---|
| Females | 12.00 ± 1.14 (9.76; 14.23) | 0.769 (0.738; 0.794) | 0.850 (0.825; 0.876) | 1.329 (1.234; 1.476) | 2.67 | 0.7505 |
| Males | 13.46 ± 1.45 (10.62; 14.16.30) | 0.524 (0.503; 0.542) | 0.574 (0.556; 0.591) | 0.854 (0.794; 0.953) | 0.82 | 0.9361 |
| Thyme EO Concentration (%) | a (×10−3) | (CI) | b | (CI) |
|---|---|---|---|---|
| Females | ||||
| 0 | 0.95 | (0.25, 3.62) | 0.64 | (0.51, 0.79) |
| 0.4 | 4.79 * | (1.88, 12.20) | 0.38 * | (0.30, 0.48) |
| 0.5 | 2.86 | (1.00, 8.18) | 0.40 * | (0.31, 0.50) |
| 0.60 | 16.15 * | (7.48, 34.86) | 0.21 * | (0.15, 0.30) |
| 0.70 | 50.41 * | (27.72, 91.67) | 0.16 * | (0.10, 0.25) |
| 0.80 | 79.22 * | (45.65, 137.47) | 0.09 * | (0.04, 0.18) |
| Males | ||||
| 0 | 2.75 | (0.91, 8.29) | 0.69 | (0.56, 0.85) |
| 0.2 | 3.03 | (0.92, 9.95) | 0.72 | (0.57, 0.91) |
| 0.3 | 1.69 | (0.51, 5.64) | 0.72 | (0.58, 0.89) |
| 0.40 | 7.53 | (2.83, 20.06) | 0.56 | (0.43, 0.71) |
| 0.50 | 75.69 * | (42.18, 135.83) | 0.20 * | (0.13, 0.33) |
| 0.55 | 142.49 * | (84.30, 240.83) | 0.10 * | (0.04, 0.26) |
| Thyme EO Concentration (%) | Number of Emerged Adults | Inhibition of Adult Emergence (%) | |
|---|---|---|---|
| Control | 35.50 ± 3.87 | a | 0 |
| 0.1 | 40.38 ± 6.60 | a | −13.73 |
| 0.2 | 18.38 ± 5.32 | b, * | 48.24 |
| 0.3 | 12.00 ± 3.46 | bc, ** | 66.20 |
| 0.4 | 5.25 ± 3.17 | cd, *** | 85.21 |
| 0.5 | 2.75 ± 2.75 | d, *** | 92.25 |
| 0.6 | 1.71 ± 1.71 | d, *** | 95.17 |
| 0.7 | 0 | 100 | |
| 0.8 | 0 | 100 | |
| ANOVA | F6,48 = 15.02, p < 0.0001 | ||
| C (%) | a | b | c | d | dferror | F | p | R2 |
|---|---|---|---|---|---|---|---|---|
| 0 | 6.29 (5.08, 7.49) | 41.79 (41.39, 42.19) | 2.30 (1.67, 2.94) | −0.03 (−1.06, 0.99) | 108 | 37.36 | <0.0001 | 0.51 |
| 0.1 | 6.38 (4.16, 8.59) | 40.66 (40.15, 41.18) | 2.61 (1.45, 3.77) | 0.09 (−2.21, 2.40) | 84 | 18.86 | <0.0001 | 0.40 |
| 0.2 | 2.70 * (1.09, 4.30) | 40.65 (39.80, 41.49) | 2.16 (0.33, 3.99) | 0.38 (−1.28, 2.04) | 84 | 5.53 | 0.0016 | 0.16 |
| 0.3 | 1.76 * (0.64, 2.88) | 40.96 (39.95, 41.98) | 2.35 (0.22, 4.47) | 0.13 (−1.02, 1.27) | 92 | 4.58 | 0.0049 | 0.13 |
| 0.4 | 0.85 * (−0.32, 2.03) | 40.51 (38.84, 42.17) | 2.37 (1.69, 6.44) | 0.04 (−1.20, 1.29) | 76 | 1.39 | 0.2525 | 0.05 |
| C (%) | Control | Treatment | t | p | ODI | F | p | |||
|---|---|---|---|---|---|---|---|---|---|---|
| 0 | 27.71 | 4.26 | 25.14 | 2.56 | 0.46 | 0.6623 | −0.022 | 0.112 | ||
| 0.4 | 26.71 | 4.87 | 22.71 | 4.86 | 0.55 | 0.5489 | −0.101 | 0.136 | 0.20 | 1.0000 |
| 0.5 | 31.43 | 7.10 | 18.43 | 5.10 | 1.24 | 0.2616 | −0.215 | 0.217 | 0.62 | 1.0000 |
| 0.6 | 39.57 | 8.03 | 15.00 | 4.64 | 3.15 | 0.0197 | −0.457 | 0.137 | 6.02 | 0.2491 |
| 0.7 | 28.43 | 5.13 | 12.57 | 6.87 | 2.69 | 0.0359 | −0.579 | 0.223 | 4.98 | 0.4245 |
| 0.9 | 35.00 | 3.51 | 8.86 | 2.51 | 12.96 | 0.0000 | −0.643 | 0.067 | 22.59 | 0.0066 |
| 1.1 | 36.29 | 5.42 | 7.86 | 2.24 | 6.51 | 0.0006 | −0.685 | 0.082 | 22.79 | 0.0046 |
| 1.3 | 38.57 | 5.92 | 2.57 | 1.41 | 5.73 | 0.0012 | −0.858 | 0.074 | 38.77 | 0.0007 |
| 1.5 | 31.57 | 3.29 | 1.00 | 0.69 | 7.89 | 0.0002 | −0.924 | 0.051 | 53.55 | 0.0005 |
© 2020 by the authors. Licensee MDPI, Basel, Switzerland. This article is an open access article distributed under the terms and conditions of the Creative Commons Attribution (CC BY) license (http://creativecommons.org/licenses/by/4.0/).
Share and Cite
Lazarević, J.; Jevremović, S.; Kostić, I.; Kostić, M.; Vuleta, A.; Manitašević Jovanović, S.; Šešlija Jovanović, D. Toxic, Oviposition Deterrent and Oxidative Stress Effects of Thymus vulgaris Essential Oil against Acanthoscelides obtectus. Insects 2020, 11, 563. https://doi.org/10.3390/insects11090563
Lazarević J, Jevremović S, Kostić I, Kostić M, Vuleta A, Manitašević Jovanović S, Šešlija Jovanović D. Toxic, Oviposition Deterrent and Oxidative Stress Effects of Thymus vulgaris Essential Oil against Acanthoscelides obtectus. Insects. 2020; 11(9):563. https://doi.org/10.3390/insects11090563
Chicago/Turabian StyleLazarević, Jelica, Stojan Jevremović, Igor Kostić, Miroslav Kostić, Ana Vuleta, Sanja Manitašević Jovanović, and Darka Šešlija Jovanović. 2020. "Toxic, Oviposition Deterrent and Oxidative Stress Effects of Thymus vulgaris Essential Oil against Acanthoscelides obtectus" Insects 11, no. 9: 563. https://doi.org/10.3390/insects11090563
APA StyleLazarević, J., Jevremović, S., Kostić, I., Kostić, M., Vuleta, A., Manitašević Jovanović, S., & Šešlija Jovanović, D. (2020). Toxic, Oviposition Deterrent and Oxidative Stress Effects of Thymus vulgaris Essential Oil against Acanthoscelides obtectus. Insects, 11(9), 563. https://doi.org/10.3390/insects11090563

