Research on the Lubrication and Thermal Effects of Single-Metal Seals on Sealing Performance
Abstract
1. Introduction
2. Mathematical Model
2.1. Geometric Model
2.2. Fluid Reynolds Equation
2.3. Finite Element Analysis
2.3.1. Material Model
- Assume that the rubber material has an isotropic hyperelastic constitutive relationship and meets the condition of volume incompressibility.
- Ensure that the mechanical parameters of the material have thermodynamic stability, and do not consider the gradual decline of material properties during long-term service in the analysis.
- Do not consider the influence of stress relaxation and creep characteristics of rubber materials on the simulation results.
- Ignore the effect of medium temperature changes on the performance of the seal ring.
2.3.2. Material Model Simulation Analysis
2.4. Microscopic Contact Analysis
2.5. Microscopic Deformation
2.6. Thermal Analysis

3. Calculation Process
4. Results Analysis
4.1. Analysis of Sealing Force Under the Effect of Parameters
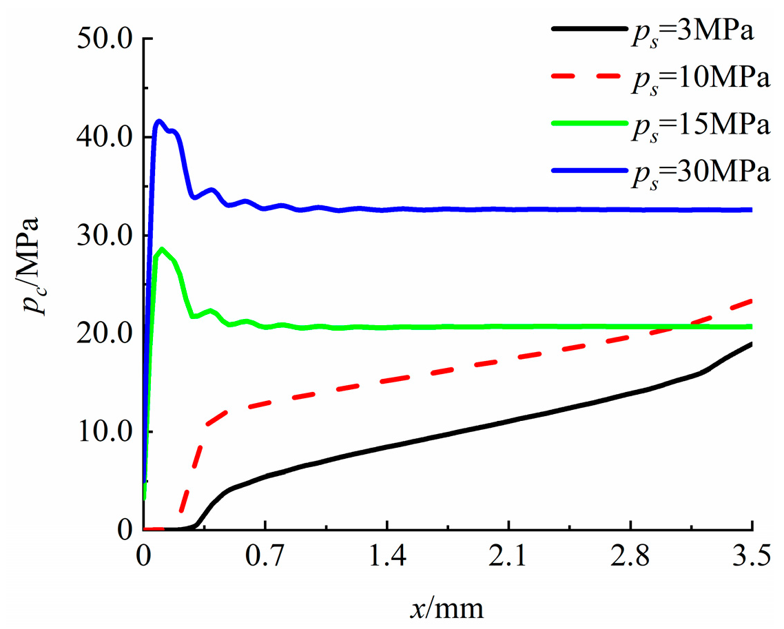
4.1.1. Sealing Pressure


4.1.2. Pre-Compression Displacement
4.2. Deformation Matrix
4.3. Lubrication Performance of Single-Metal Seals
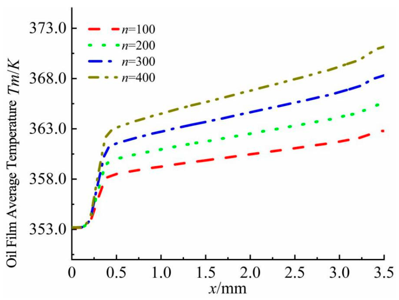
4.4. Thermal Effects on Sealing Performance
4.5. Sealing Performance Characteristics Under Varying Rotational Speeds
5. Experimental Verification

5.1. Contact Pressure Distribution Verification

5.2. Seal Lubrication Performance Verification
6. Conclusions
Author Contributions
Funding
Data Availability Statement
Conflicts of Interest
References
- Ma, Y.; Yuan, Z.; Ni, Y.; Meng, X.; Peng, X. Performance prediction and multi-objective optimization of metal seals in roller cone bits. J. Pet. Sci. Eng. 2021, 208, 109316. [Google Scholar] [CrossRef]
- Denney, D. Slimhole technology maximizes middle east horizontal-drilling programs. J. Pet. Technol. 2005, 57, 58–59. [Google Scholar] [CrossRef]
- Xiong, S.; Salant, R.F. A numerical model of a rock bit bearing seal. Tribol. Trans. 2000, 43, 542–548. [Google Scholar] [CrossRef]
- Carre, L.; McCoy, R.; Wilson, L.; Drilling, C.; Cockerham, J.; Grimes, B.; Anderson, M.; Pardo, N. Application of new generationlarge roller-cone bits reduces drilling costs in eastern Venezuela. In Proceedings of the SPE Latin American and Caribbean Petroleum Engineering, Buenos Aires, Argentina, 25–28 March 2001. [Google Scholar]
- Grimes, B.; Kirkpatrick, B. Step change in performance: Upgraded bit technology significantly improves drilling economics in GOM moto plications. In Proceedings of the SPE Annual Technical Conference and Exhibition, San Antonio, TX, USA, 24–27 September 2006. [Google Scholar]
- Zhang, B.; Chen, J.; Liu, Z.; Li, Q.; Xiong, H. Research on the finite Element Model of Single Metal Floating Seal. China Pet. Mach. 2011, 39, 1–3+18+92. [Google Scholar]
- Zhang, B.; Chen, J.; Liu, Z. Improvement of the Single metal Floating Seal Structure of the Cone bit SEMS2. China Pet. Mach. 2010, 38, 47. [Google Scholar]
- Wang, J.; Liu, Z.; Meng, X.; Yang, P. Structural Optimization of Contact Rotating Ring Mechanical Seals. Lubr. Seal. 2016, 41, 77–81. [Google Scholar]
- Zhou, Y.; Huang, Z.; Tan, L.; Ma, Y.; Qiu, C.; Zhang, F.; Yuan, Y.; Sun, C.; Guo, L. Cone bit bearing seal failure analysis based on the finite element analysis. Eng. Fail. Anal. 2014, 45, 292–299. [Google Scholar] [CrossRef]
- Zhang, X.; Zhang, Y.; Li, Y.; Zhang, Y.; Luo, Y. Container Design and Contact Research of Single Metal Seal. J. Mech. Des. Res. 2013, 29, 132–134+137. [Google Scholar]
- Zhang, Y.; Chang, X.; Fu, Y.; Wu, Q. Analysis and Experimental Research on Single Metal Seal Contact under Drilling Conditions. China Mech. Eng. 2018, 29, 262–266. [Google Scholar]
- Shi, J.; Chen, X.; Li, M.; Wang, T.; Shi, L. Effect of Surface Texture Bottom Configuration on the Performance of Liquid—Lubricated Mechanical Seals. J. Anhui Univ. Technol. (Nat. Sci. Ed.) 2023, 40, 144–150. [Google Scholar]
- Ji, J. Research on Design and Manufacturing Mechanism of Surface Structure Morphology of Mechanical Seal Ring. Master’s Thesis, Jiangsu University, Zhenjiang, China, 2025. [Google Scholar]
- Yang, X.; Meng, X.; Peng, X.; Wang, Y. A TEHD lubrication analysis of surface textured mechanical seals. Tribology 2018, 38, 204–212. (In Chinese) [Google Scholar]
- Salant, R.F.; Blasbalg, D.A. Dynamic behavior of two-phase mechanical seals. Tribol. Trans. 1991, 34, 122–130. [Google Scholar] [CrossRef]
- Blasbalg, D.A.; Salant, R.F. Numerical study of two-phase mechanical seal stability. Tribol. Trans. 1995, 38, 791–800. [Google Scholar] [CrossRef]
- Zhao, Y.; Zhang, G.; Chen, Y.; Zhao, W.; Luo, X.; Li, Y. Separation mechanism and gas-liquid mixed lubrication model of cryogenic reusable mechanical seal. Results Eng. 2026, 29, 108783. [Google Scholar] [CrossRef]
- Zhang, Y.; Zhang, X.D.; Chang, X.P.; Wu, Q. Wear morphology analysis and structural optimization of cone bit bearing seals. Ind. Lubr. Tribol. 2018, 70, 59–67. [Google Scholar] [CrossRef]
- Ni, Y. Study on Thermo-fluid-solid Coupling of Single-metal Seal of Rock Bit and Multi-objective Optimization Design. Master’s Thesis, Zhejiang University of Technology, Hangzhou, China, 2020. [Google Scholar]
- Patir, N.; Cheng, H.S. An Average Flow Model for Determining Effects of Three-Dimensional Roughness on Partial Hydrodynamic Lubrication. J. Tribol. Trans. ASME 1978, 100, 12–17. [Google Scholar] [CrossRef]
- Patir, N.; Cheng, H.S. Application of Average Flow Model to Lubrication Between Rough Sliding Surfaces. J. Tribol. 1979, 101, 220–229. [Google Scholar] [CrossRef]
- Wang, B. Theory and Experimental Study of EHL Lubrication for Hydraulic Linear Reciprocating Seals. Ph.D. Thesis, Zhejiang University of Technology, Hangzhou, China, 2019. [Google Scholar]
- Zheng, J. Numerical Simulation Study on Static and Dynamic Performance of Spindle Composite Sealing Structure at Different Temperatures. Master’s Thesis, Harbin Institute of Technology, Harbin, China, 2012. [Google Scholar]
- Lou, J.; Zhu, S.; Tang, S. Inverse Calculation of Material Parameters in the M-R Model of Elastomer Finite Element. Noise Vib. Control 2012, 32, 29–33. [Google Scholar]
- Zheng, M.; Xie, J. Finite element analysis of large deformation of rubber parts under compression. J. North. Jiao Tong Univ. 2001, 25, 76–79. [Google Scholar]
- Stefani, F.; Rebora, A. Steadily loaded journal bearings: Quasi-3D mass-energy-conserving analysis. Tribol. Int. 2009, 42, 448–460. [Google Scholar] [CrossRef]
- Harigaya, Y.; Suzuki, M.; Takiguchi, M. Analysis of Oil Film Thickness on a Piston Ring of Diesel Engine: Effect of Oil Film Temperature. J. Eng. Gas Turbines Power 2003, 125, 596–603. [Google Scholar] [CrossRef]
- Gu, C.X.; Meng, X.H.; Xie, Y.B.; Fan, J. A thermal mixed lubrication model to study the textured ring/liner conjunction. Tribol. Int. 2016, 101, 178–193. [Google Scholar] [CrossRef]















| Hardness | E/MPa | Mooney–Rivlin Parameters | |
|---|---|---|---|
| Hr/HA | C10 | C01 | |
| 70 | 6.96 | 1.137 | 0.023 |
| 75 | 8.74 | 1.444 | 0.0165 |
| 80 | 10.98 | 1.833 | −0.003 |
| 85 | 13.80 | 2.334 | −0.034 |
| 90 | 17.33 | 2.972 | −0.082 |
| Parameter | Symbol | Value |
|---|---|---|
| Seal ring Elastic Modulus/MPa | ES | 7 × 105 |
| Seal ring Poisson’s Ratio | nS | 0.3 |
| O-ring Cross-sectional Diameter/mm | DO | 4.3 |
| m | σ | 3.11 |
| Radius of seal ring Micro-protrusions/μm | R | 1.4 |
| Distribution Density of seal ring Micro-protrusions/m−2 | η | 5.1 × 1011 |
| Viscosity-pressure Coefficient of Lubricating Oil/Pa−1 | α | 2 × 10−8 |
| Density of Lubricating Oil under Atmospheric Pressure/kg·m−3 | ρ0 | 861 |
| Density of Drilling Mud under Atmospheric Pressure/kg·m−3 | ρn | 1738 |
| Viscosity of Lubricating Oil/Pa·s | μ0 | 0.0387 |
| Viscosity of Drilling Fluid/Pa·s | μn | 0.0258 |
| Parameter | Symbol | Value |
|---|---|---|
| Rotational Speed/r·min−1 | n | 200 |
| Pre-compression Displacement/mm | Y | 2.1 |
| Parameter | Range | Unit |
| Experimental Temperature | 80 | °C |
| Sealing Pressure | 0~15 | MPa |
| Rotational Speed | 0~600 | r/min |
| Pre-compression Displacement | 0~600 | mm |
Disclaimer/Publisher’s Note: The statements, opinions and data contained in all publications are solely those of the individual author(s) and contributor(s) and not of MDPI and/or the editor(s). MDPI and/or the editor(s) disclaim responsibility for any injury to people or property resulting from any ideas, methods, instructions or products referred to in the content. |
© 2026 by the authors. Licensee MDPI, Basel, Switzerland. This article is an open access article distributed under the terms and conditions of the Creative Commons Attribution (CC BY) license.
Share and Cite
Meng, W.; Wang, H.; Ma, H.; Zhang, Y.; Yao, L. Research on the Lubrication and Thermal Effects of Single-Metal Seals on Sealing Performance. Lubricants 2026, 14, 47. https://doi.org/10.3390/lubricants14020047
Meng W, Wang H, Ma H, Zhang Y, Yao L. Research on the Lubrication and Thermal Effects of Single-Metal Seals on Sealing Performance. Lubricants. 2026; 14(2):47. https://doi.org/10.3390/lubricants14020047
Chicago/Turabian StyleMeng, Weidong, Haijuan Wang, Hai Ma, Yi Zhang, and Li Yao. 2026. "Research on the Lubrication and Thermal Effects of Single-Metal Seals on Sealing Performance" Lubricants 14, no. 2: 47. https://doi.org/10.3390/lubricants14020047
APA StyleMeng, W., Wang, H., Ma, H., Zhang, Y., & Yao, L. (2026). Research on the Lubrication and Thermal Effects of Single-Metal Seals on Sealing Performance. Lubricants, 14(2), 47. https://doi.org/10.3390/lubricants14020047
