Numerical Simulation of Wheel–Rail Adhesion Under Wet Conditions and Large Creepage During Braking
Abstract
1. Introduction
2. Numerical Model
2.1. The Normal Contact Model
2.2. The Tangential Contact Model
3. Results and Discussions
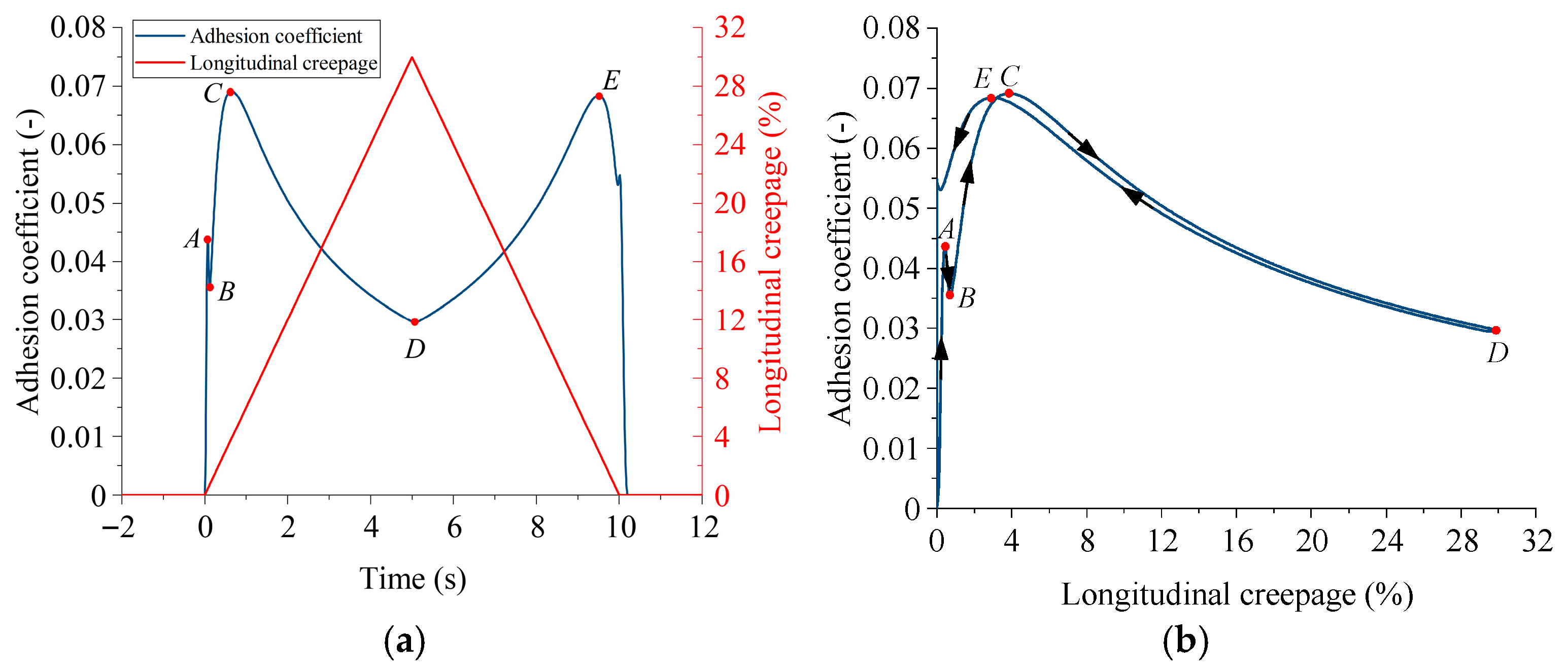
3.1. Analysis of Adhesion Characteristics
3.2. Effects of Different Initial Braking Speeds and Longitudinal Creepage Change Curves
3.2.1. Effect of Different Initial Braking Speeds
3.2.2. Effect of Different Longitudinal Creepage Change Curves
4. Conclusions
- (1)
- The adhesion characteristic curve of high-speed trains under wet, large-creepage braking conditions (longitudinal creepage 0–30%) exhibits two stable phases: the loading stable phase and the unloading stable phase, both of which effectively enhance wheel–rail adhesion utilization. Temperature is the primary influencing factor driving variations in the adhesion curve, highlighting that the ECF model incorporating temperature effects better aligns with real-world scenarios.
- (2)
- Through the application of non-Hertzian contact theory, the distributions of tangential stress and temperature display distinct non-Hertzian characteristics. Furthermore, the maximum tangential stress at the peak points of the stable phases exceeds that at other locations, corresponding to the maximum adhesion coefficient.
- (3)
- Under wet conditions, the adhesion coefficient of high-speed trains decreases as the initial braking speed increases. Moreover, by controlling the reduction in maximum longitudinal creepage, adhesion recovery can be induced in the adhesion curve, further improving wheel–rail adhesion utilization.
- (4)
- Based on the adhesion characteristics in stable phases (loading stable phase BC and unloading stable phase DE) and the correlation between adhesion coefficient and temperature, theoretical engineering guidance can be provided for specific braking pressure adjustment thresholds and control logic of anti-skid controllers.
Author Contributions
Funding
Data Availability Statement
Conflicts of Interest
References
- Chang, C.; Chen, B.; Cai, Y.; Wang, J. Experimental investigation of high-speed wheel-rail adhesion characteristics under large creepage and water conditions. Wear 2024, 540, 205254. [Google Scholar] [CrossRef]
- Shen, Z.Y.; Hedrick, J.K.; Elkins, J.A. A comparison of alternative creep force models for rail vehicle dynamic analysis. Veh. Syst. Dyn. 1983, 12, 79–83. [Google Scholar] [CrossRef]
- Kalker, J.J. A fast algorithm for the simplified theory of rolling contact. Veh. Syst. Dyn. 1982, 11, 1–13. [Google Scholar] [CrossRef]
- Spiryagin, M.; Polach, O.; Cole, C. Creep force modelling for rail traction vehicles based on the Fastsim algorithm. Veh. Syst. Dyn. 2013, 51, 1765–1783. [Google Scholar] [CrossRef]
- Meierhofer, A.; Müller, G.; Six, K.; Dietmaier, P. A wheel-rail creep force model considering normal stress and temperature dependent plasticity effects. In The Dynamics of Vehicles on Roads and Tracks, Proceedings of the 24th Symposium of the International Association for Vehicle System Dynamics (IAVSD 2015), Graz, Austria, 15–19 August 2025; CRC Press: Boca Raton, FL, USA, 2015; pp. 1–10. [Google Scholar]
- Meierhofer, A.; Trummer, G.; Bernsteiner, C.; Six, K. Vehicle tests showing how the weather in autumn influences the wheel–rail traction characteristics. Proc. Inst. Mech. Eng. Part F J. Rail Rapid Transit 2020, 234, 426–435. [Google Scholar] [CrossRef]
- Evans, M.; Skipper, W.; Buckley-Johnstone, L.; Meierhofer, A.; Six, K.; Lewis, R. The development of a high pressure torsion test methodology for simulating wheel/rail contacts. Tribol. Int. 2021, 156, 106842. [Google Scholar] [CrossRef]
- Skipper, W.; Meierhofer, A.; Chalisey, A.; Six, K.; Lewis, R. Generation of sanded creep curves using the extended creep force model with high pressure torsion data. Wear 2024, 542–543, 205278. [Google Scholar] [CrossRef]
- Boiteux, M. Problème de L’Adhérence en Freinage. Rev. Générale Chemins Fer 1986, 105, 59–72. [Google Scholar]
- Tanimoto, H.; Chen, H. Influence of Surface Roughness and Temperature on Wheel/Rail Adhesion in Wet Conditions. Q. Rep. RTRI 2015, 56, 206–211. [Google Scholar] [CrossRef]
- Zhou, J.J.; Wu, M.L.; Chun, T.; Yuan, Z.W.; Chao, C. Experimental investigation on wheel–rail adhesion characteristics under water and large sliding conditions. Ind. Lubr. Tribol. 2020, 73, 366–372. [Google Scholar] [CrossRef]
- Voltr, P.; Lata, M. Transient wheel–rail adhesion characteristics under the cleaning effect of sliding. Veh. Syst. Dyn. 2015, 53, 605–618. [Google Scholar] [CrossRef]
- Bosso, N.; Gugliotta, A.; Magelli, M.; Oresta, I.F.; Zampieri, N. Study of wheel-rail adhesion during braking maneuvers. Procedia Struct. Integr. 2019, 24, 680–691. [Google Scholar] [CrossRef]
- Krettek, O. Zur Schlupfgesetzmasigkeit bei Bremsung mit gleitschutzüberwachten Scheibenbremsen. In Proceedings of the International Conference on Railway Bogies and Running Gears; Technical University of Budapest: Budapest, Hungary, 2007. [Google Scholar]
- Dellmann, T.; Viereck, U. Dynamisches Kraftschluss-Schlupfmodell zur Beschreibung von Bremsvorgängen. ZEVrail 2008, 132, 144–153. [Google Scholar]
- Jin, X. Research progress of high-speed wheel–rail relationship. Lubricants 2022, 10, 248. [Google Scholar] [CrossRef]
- Wu, B.; Wu, T.; Wen, Z.F.; Jin, X.S. Numerical analysis of high-speed wheel/rail adhesion under interfacial liquid contamination using an elastic-plastic asperity contact model. Proc. Inst. Mech. Eng. Part J-J. Eng. Tribol. 2017, 231, 63–74. [Google Scholar] [CrossRef]
- Wu, B.; Wu, T.; An, B.Y. Numerical investigation on the high-speed wheel/rail adhesion under the starved interfacial contaminations with surface roughness. Lubr. Sci. 2020, 32, 93–107. [Google Scholar] [CrossRef]
- Huang, J.Q.; Wu, B.; Xiao, G.W.; Shen, Q. Numerical investigation of wheel-rail adhesion using a simplified three-dimensional model considering surface roughness and temperature. Lubr. Sci. 2024, 36, 88–103. [Google Scholar] [CrossRef]
- Wu, B.; Huang, J.Q.; Su, X.L. A novel non-Hertzian wheel-rail adhesion model under wet conditions considering surface roughness. J. Cent. South Univ. 2025, 32, 4092–4104. [Google Scholar] [CrossRef]
- Wang, Z.Y.; Wu, B.; Huang, J.Q.; Ji, Y.J.; Li, D.K.; Wu, S. Dynamic wheel-rail adhesion characteristics on wet curved tracks considering surface roughness. Phys. Fluids 2025, 37, 022104. [Google Scholar] [CrossRef]
- Wang, Q.; Zhu, B.; Zhang, F.; Jiang, X.; Wang, J. Research on wheel wear of the light rail transit based on a modified semi-Hertzian contact model. Ind. Lubr. Tribol. 2023, 75, 211–220. [Google Scholar] [CrossRef]
- Piotrowski, J.; Kik, W. A simplified model of wheel/rail contact mechanics for non-Hertzian problems and its application in rail vehicle dynamic simulations. Veh. Syst. Dyn. 2008, 46, 27–48. [Google Scholar] [CrossRef]
- Meierhofer, A. A New Wheel-Rail Creep Force Model Based on Elasto-Plastic Third Body Layers. Ph.D. Thesis, Graz University of Technology, Graz, Austria, 2015. [Google Scholar]
- Goryacheva, I.; Sadeghi, F. Contact characteristics of a rolling/sliding cylinder and a viscoelastic layer bonded to an elastic substrate. Wear 1995, 184, 125–132. [Google Scholar] [CrossRef]
- Voce, E. The relationship between stress and strain for homogeneous deformation. J. Inst. Met. 1948, 74, 537–562. [Google Scholar]
- Tomberger, C.; Dietmaier, P.; Sextro, W.; Six, K. Friction in wheel–rail contact: A model comprising interfacial fluids, surface roughness and temperature. Wear 2011, 271, 2–12. [Google Scholar] [CrossRef]
- Ertz, M.; Knothe, K. A comparison of analytical and numerical methods for the calculation of temperatures in wheel/rail contact. Wear 2002, 253, 498–508. [Google Scholar] [CrossRef]
- Alonso, A.; Giménez, J.G. Tangential problem solution for non-elliptical contact areas with the FastSim algorithm. Veh. Syst. Dyn. 2007, 45, 341–357. [Google Scholar] [CrossRef]
















| Point | A | B | C | D | E |
|---|---|---|---|---|---|
| Maximum tangential stress (MPa) | 50.5 | 42.7 | 98.2 | 45.4 | 106.9 |
| Maximum temperature (℃) | 26.02 | 104.3 | 28.1 | 227.6 | 119.0 |
| Longitudinal creepage (%) | 0.6 | 2 | 4 | 30 | 2.2 |
| Adhesion coefficient | 0.04 | 0.035 | 0.07 | 0.03 | 0.068 |
Disclaimer/Publisher’s Note: The statements, opinions and data contained in all publications are solely those of the individual author(s) and contributor(s) and not of MDPI and/or the editor(s). MDPI and/or the editor(s) disclaim responsibility for any injury to people or property resulting from any ideas, methods, instructions or products referred to in the content. |
© 2026 by the authors. Licensee MDPI, Basel, Switzerland. This article is an open access article distributed under the terms and conditions of the Creative Commons Attribution (CC BY) license.
Share and Cite
Shi, P.; Wu, B.; Huang, J.; Wang, Z.; Zuo, J. Numerical Simulation of Wheel–Rail Adhesion Under Wet Conditions and Large Creepage During Braking. Lubricants 2026, 14, 29. https://doi.org/10.3390/lubricants14010029
Shi P, Wu B, Huang J, Wang Z, Zuo J. Numerical Simulation of Wheel–Rail Adhesion Under Wet Conditions and Large Creepage During Braking. Lubricants. 2026; 14(1):29. https://doi.org/10.3390/lubricants14010029
Chicago/Turabian StyleShi, Pengcheng, Bing Wu, Jiaqing Huang, Zhaoyang Wang, and Jianyong Zuo. 2026. "Numerical Simulation of Wheel–Rail Adhesion Under Wet Conditions and Large Creepage During Braking" Lubricants 14, no. 1: 29. https://doi.org/10.3390/lubricants14010029
APA StyleShi, P., Wu, B., Huang, J., Wang, Z., & Zuo, J. (2026). Numerical Simulation of Wheel–Rail Adhesion Under Wet Conditions and Large Creepage During Braking. Lubricants, 14(1), 29. https://doi.org/10.3390/lubricants14010029
