Deep Learning Data-Driven Model for Stribeck Curve Prediction of Lubricated Tribo-Pairs
Abstract
1. Introduction
Challenges in Modeling and Experimentally Characterizing the Stribeck Curve
- Boundary lubrication:Involves solid–solid contact dominated by asperity interactions and adhesion, requiring a solid mechanics framework.
- Mixed lubrication: Demands a fully coupled solid–fluid formulation, as load sharing occurs between asperities and a thin fluid film.
- Hydrodynamic lubrication: Is primarily fluid-mechanical and described by the Reynolds equation, where surfaces are completely separated by a viscous film.
2. Data Collection
2.1. Stribeck Tests
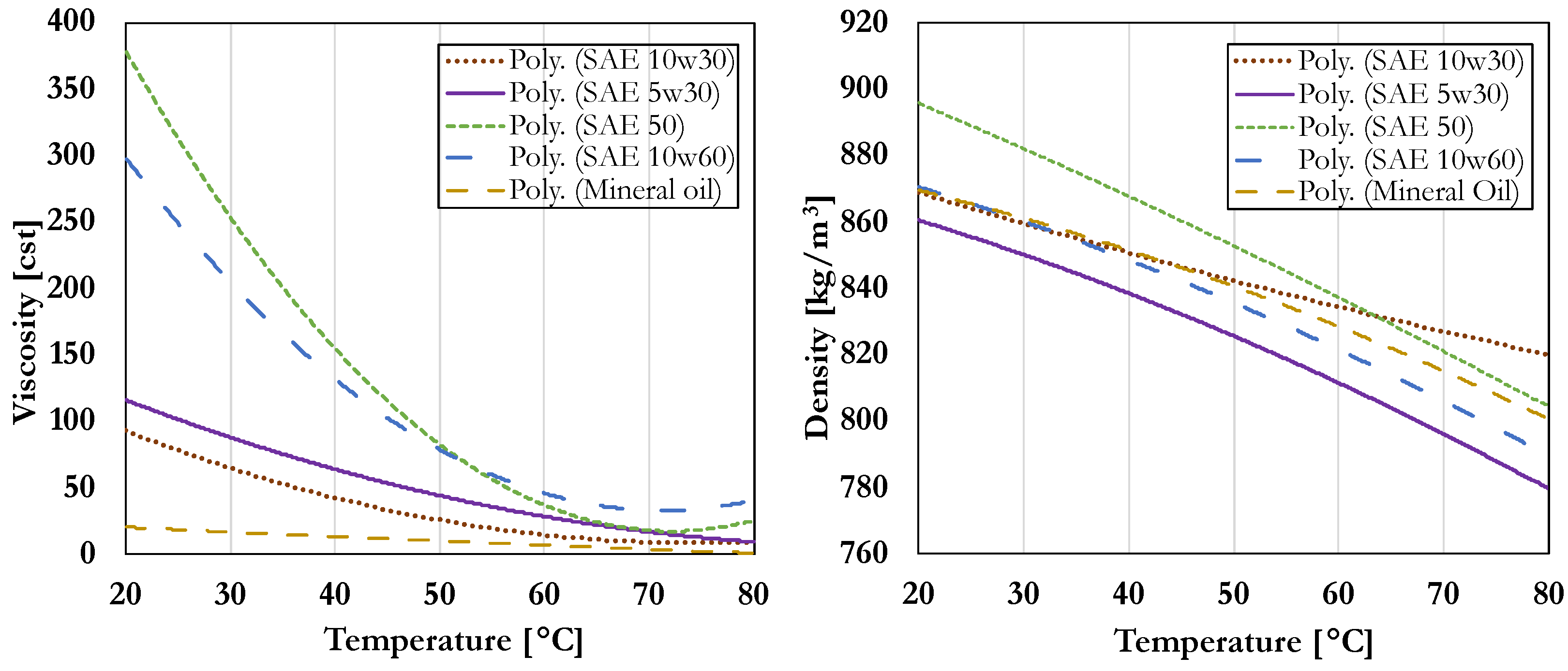
2.1.1. Lubricant Properties
2.1.2. Operating Conditions
- Average angular speed of the ball-on-disk contact (): 1–2750 [rpm].
- Lubricant bath temperature (): –80 [°C].
- Contact load (): 1–30 [N].
2.1.3. Contact Properties
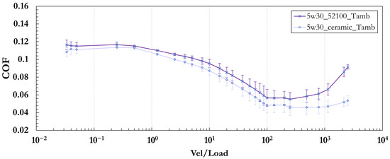
2.1.4. Family of Stribeck Curves
3. Data-Driven Modeling
3.1. Data Matrix
3.2. NN Architecture
3.3. Model Training
4. Results and Discussion-Model Deployment
4.1. Evaluation of Gradient Boosting
4.2. A Graphical User Interface (GUI) for Model Deployment
5. Conclusions
Author Contributions
Funding
Data Availability Statement
Conflicts of Interest
Nomenclature
| Artificial Intelligence | |
| Machine Learning | |
| Neural Network | |
| Multilayer Perceptron | |
| Activation of unit i in layer j | |
| Matrix of weights from layer j to layer | |
| g | Activation function (e.g., sigmoid, ReLU, softmax) |
| Learning rate | |
| b | Bias term |
| Derivative of cost function with respect to weights | |
| Input data matrix, | |
| Output vector of target values, | |
| Input feature vector for the ith instance | |
| Predicted output for the ith instance | |
| Neural network model parameterized by weights | |
| m | Number of training examples |
| n | Total number of features |
| Number of input features | |
| Coefficient of Friction | |
| V | Linear speed [m/s] |
| Rotational or angular speed [rpm] | |
| Applied normal load [N] | |
| Kinematic viscosity [cSt] | |
| Density [kg/m3] | |
| VI | Viscosity index |
| Pressure-viscosity coefficient | |
| T | Temperature [°C] |
| Lubricant bath temperature [°C] | |
| Ambient temperature, approximately 20 °C | |
| Poisson’s ratio of the ball | |
| Young’s modulus of the ball [GPa] | |
| Hardness of the ball [HRC] | |
| Surface roughness of the ball [µm] | |
| Poisson’s ratio of the disk | |
| Young’s modulus of the disk [GPa] | |
| Hardness of the disk [HRC] | |
| Surface roughness of the disk [µm] | |
| He | Hersey number, |
| S | Sommerfeld number, |
| Lambda ratio, | |
| N | Rotational speed [rpm] |
| R | Effective or journal radius [mm] |
| Minimum lubricant film thickness [µm] | |
| Surface roughness of surface 1 [µm] | |
| Surface roughness of surface 2 [µm] |
References
- Hutchings, I.; Shipway, P. Tribology: Friction and Wear of Engineering Materials; Butterworth-Heinemann: Oxford, UK, 2017. [Google Scholar]
- Czichos, H. Tribology: A Systems Approach to the Science and Technology of Friction, Lubrication, and Wear; Elsevier: Amsterdam, The Netherlands, 2009; Volume 1. [Google Scholar]
- Marian, M.; Tremmel, S. Current trends and applications of machine learning in tribology—A review. Lubricants 2021, 9, 86. [Google Scholar] [CrossRef]
- Rosenkranz, A.; Marian, M.; Profito, F.J.; Aragon, N.; Shah, R. The Use of Artificial Intelligence in Tribology—A Perspective. Lubricants 2020, 9, 2. [Google Scholar] [CrossRef]
- Paturi, U.M.R.; Palakurthy, S.T.; Reddy, N.S. The Role of Machine Learning in Tribology: A Systematic Review. Arch. Comput. Methods Eng. 2023, 30, 1345–1397. [Google Scholar] [CrossRef]
- Friedrich, K.; Reinicke, R.; Zhang, Z. Wear of polymer composites. Proc. Inst. Mech. Eng. Part J J. Eng. Tribol. 2002, 216, 415–426. [Google Scholar] [CrossRef]
- Desai, P.; Granja, V.; Higgs, C., III. Lifetime Prediction Using a Tribology-Aware, Deep Learning-Based Digital Twin of Ball Bearing-Like Tribosystems in Oil and Gas. Processes 2021, 9, 922. [Google Scholar] [CrossRef]
- Marian, M.; Mursak, J.; Bartz, M.; Profito, F.J.; Rosenkranz, A.; Wartzack, S. Predicting EHL film thickness parameters by machine learning approaches. Friction 2023, 11, 992–1013. [Google Scholar] [CrossRef]
- Xu, T.; Fu, B.; Jiang, Y.; Wang, J.; Li, G. Machine learning and experimental study on a novel Cr–Mo–V–Ti high manganese steel: Microstructure, mechanical properties and abrasive wear behavior. J. Mater. Res. Technol. 2024, 31, 1270–1281. [Google Scholar] [CrossRef]
- Wu, J.; Zhao, P.; Cui, J.; Wang, L.; Yang, C.; Ouyang, J. Data-Driven Prediction of Coefficient of Friction in Wet Friction Components: A Model Development and Interpretability Analysis. J. Tribol. 2025, 147, 074601. [Google Scholar] [CrossRef]
- Bucholz, E.W.; Kong, C.S.; Marchman, K.R.; Sawyer, W.G.; Phillpot, S.R.; Sinnott, S.B.; Rajan, K. Data-Driven Model for Estimation of Friction Coefficient Via Informatics Methods. Tribol. Lett. 2012, 47, 211–221. [Google Scholar] [CrossRef]
- Sattari Baboukani, B.; Ye, Z.; Reyes, K.G.; Nalam, P.C. Prediction of Nanoscale Friction for Two-Dimensional Materials Using a Machine Learning Approach. Tribol. Lett. 2020, 68, 57. [Google Scholar] [CrossRef]
- Barik, R.K.; Woods, L.M. Frictional Properties of Two-Dimensional Materials: Data-Driven Machine Learning Predictive Modeling. ACS Appl. Mater. Interfaces 2024, 16, 40149–40159. [Google Scholar] [CrossRef] [PubMed]
- Cherguy, O.; Chmielowski, R.; Hachem, E.; Lahouij, I. Deep Learning Prediction of Dry Friction in DLC Coatings Using Literature-Derived Data. Tribol. Lett. 2025, 73, 125. [Google Scholar] [CrossRef]
- Kumar, V.; Gautam, G.; Singh, M.K.; Ji, G.; Katiyar, J.K.; Mohan, S.; Mohan, A. Prediction of Frictional Behaviour Through Regression Equations: A Statistical Modelling Approach Validated with Machine Learning. Proc. Inst. Mech. Eng. Part J J. Eng. Tribol. 2024, 239, 827–838. [Google Scholar] [CrossRef]
- Gutierrez, R.; Fang, T.; Mainwaring, R.; Reddyhoff, T. Predicting the Coefficient of Friction in a Sliding Contact by Applying Machine Learning to Acoustic Emission Data. Friction 2024, 12, 1299–1321. [Google Scholar] [CrossRef]
- Yang, S.; Gutierrez, R.; Kirkby, T.; Bouassida, H.; Hilbert, M.; Yu, M.; Reddyhoff, T. Complete Stribeck curve prediction by applying machine learning to acoustic emission data from a lubricated sliding contact. Mech. Syst. Signal Process. 2025, 241, 113544. [Google Scholar] [CrossRef]
- Stribeck, R. Kugellager für Beliebige Belastungen; Buchdruckerei AW Schade: Berlin, Germany, 1901. [Google Scholar]
- Gümbel, L. Das problem der Lagerreibung. Mbl. Berlin. Bez. Ver. Dtsch. Ing 1914, 5, 87–104. [Google Scholar]
- Khonsari, M.M.; Booser, E.R.; Nikas, G. On the Stribeck curve. Recent Dev. Wear Prev. Frict. Lubr. 2010, 661, 263–278. [Google Scholar]
- Bhushan, B. Modern Tribology Handbook; CRC Press: Boca Raton, FL, USA, 2000. [Google Scholar]
- Johnson, K. Contact Mechanics; Cambridge University Press: Cambridge, UK, 1987. [Google Scholar]
- Stachowiak, G.; Batchelor, A.W. Engineering Tribology; Butterworth-Heinemann: London, UK, 2005. [Google Scholar]
- ASTM G99-17; Standard Test Method for Wear Testing with a Pin-on-Disk Apparatus. ASTM International: West Conshohocken, PA, USA, 2017.
- Axén, N.; Hogmark, S.; Jacobson, S. Friction and wear measurement techniques. In Modern Tribology Handbook; Bhushan, B., Ed.; CRC Press: Boca Raton, FL, USA, 2000; Volume 1, pp. 493–510. [Google Scholar]
- ISO 7148-1:2012; Plain Bearings—Testing of the Tribological Behaviour of Bearing Materials. International Organization for Standardization: Geneva, Switzerland, 2012.
- Argatov, I. Artificial neural networks (ANNs) as a novel modeling technique in tribology. Front. Mech. Eng. 2019, 5, 30. [Google Scholar] [CrossRef]
- Sose, A.T.; Joshi, S.Y.; Kunche, L.K.; Wang, F.; Deshmukh, S.A. A review of recent advances and applications of machine learning in tribology. Phys. Chem. Chem. Phys. 2023, 25, 4408–4443. [Google Scholar] [CrossRef] [PubMed]
- Velten, K.; Reinicke, R.; Friedrich, K. Wear volume prediction with artificial neural networks. Tribol. Int. 2000, 33, 731–736. [Google Scholar] [CrossRef]
- Paturi, U.M.R.; Cheruku, S.; Reddy, N. The role of artificial neural networks in prediction of mechanical and tribological properties of composites—A comprehensive review. Arch. Comput. Methods Eng. 2022, 29, 3109–3149. [Google Scholar] [CrossRef]
- Bhaumik, S.; Kamaraj, M. Artificial neural network and multi-criterion decision making approach of designing a blend of biodegradable lubricants and investigating its tribological properties. Proc. Inst. Mech. Eng. Part J J. Eng. Tribol. 2021, 235, 1575–1589. [Google Scholar] [CrossRef]
- Issa, J.; El Hajj, A.; Vergne, P.; Habchi, W. Machine learning for film thickness prediction in elastohydrodynamic lubricated elliptical contacts. Lubricants 2023, 11, 497. [Google Scholar] [CrossRef]
- Hamrock, B.J.; Schmid, S.R.; Jacobson, B.O. Fundamentals of Fluid Film Lubrication; CRC Press: Boca Raton, FL, USA, 2004. [Google Scholar]
- Wang, T.; Zhou, F.; Liu, W. Influence of elastic modulus and surface texture on elastohydrodynamic lubrication film thickness. Tribol. Int. 2021, 155, 106776. [Google Scholar]
- Lu, Q.; Huang, J.Y.; Zhong, Y. Effects of surface energy on boundary lubrication: A molecular dynamics study. Langmuir 2011, 27, 14176–14181. [Google Scholar]
- Zhang, J.; Seeger, S.; Grunlan, J.C. Role of surface energy and wettability in contact angle hysteresis. Langmuir 2016, 32, 5214–5220. [Google Scholar]
- Persson, B.N.; Volokitin, A.I. Rubber friction: Role of the flash temperature. Eur. Phys. J. E 2002, 9, 445–458. [Google Scholar] [CrossRef]
- Pedregosa, F.; Varoquaux, G.; Gramfort, A.; Michel, V.; Thirion, B.; Grisel, O.; Blondel, M.; Prettenhofer, P.; Weiss, R.; Dubourg, V.; et al. Scikit-learn: Machine Learning in Python. J. Mach. Learn. Res. 2011, 12, 2825–2830. [Google Scholar]
- Kingma, D.P.; Ba, J. Adam: A Method for Stochastic Optimization. arXiv 2014, arXiv:1412.6980. [Google Scholar]
- Friedman, J.H. Greedy function approximation: A gradient boosting machine. Ann. Stat. 2001, 29, 1189–1232. [Google Scholar] [CrossRef]















| Lubricant | VI | PVC | ||
|---|---|---|---|---|
| SAE 10w30 | 100 | 1 | ||
| SAE 5w30 | 170 | 0.19 | ||
| SAE 50 | 100 | 0.8 | ||
| SAE 10w60 | 160 | 1.4 | ||
| Mineral Oil | 97.5 | 0.8 |
| Step No. | N [rpm] | [N] | |
|---|---|---|---|
| 1 | 1 | 30 | 0.033 |
| 2 | 1 | 25 | 0.040 |
| 3 | 1 | 20 | 0.050 |
| 4 | 5 | 20 | 0.250 |
| 5 | 10 | 20 | 0.500 |
| 6 | 25 | 20 | 1.250 |
| 7 | 50 | 20 | 2.500 |
| 8 | 75 | 20 | 3.750 |
| 9 | 100 | 20 | 5.000 |
| 10 | 150 | 20 | 7.500 |
| 11 | 200 | 20 | 10.000 |
| 12 | 300 | 20 | 15.000 |
| 13 | 400 | 20 | 20.000 |
| 14 | 500 | 20 | 25.000 |
| 15 | 750 | 20 | 37.500 |
| 16 | 1000 | 20 | 50.000 |
| 17 | 1250 | 20 | 62.500 |
| 18 | 1500 | 20 | 75.000 |
| 19 | 1750 | 20 | 87.500 |
| 20 | 2000 | 20 | 100.000 |
| 21 | 2250 | 20 | 112.500 |
| 22 | 2250 | 10 | 225.000 |
| 23 | 2500 | 10 | 250.000 |
| 24 | 2500 | 5 | 500.000 |
| 25 | 2500 | 3 | 833.33 |
| 26 | 2500 | 2 | 1250.00 |
| 27 | 2500 | 1 | 2500.00 |
| 28 | 2750 | 1 | 2750.00 |
| Material | E [GPa] | HR [HRC] | [µm] | |
|---|---|---|---|---|
| 52100 Chrome Steel G25 | 0.285 | 210 | 61.5 | 0.025 |
| Silicon Nitride G5 | 0.290 | 350 | 80 | 0.0125 |
| 304 Stainless Steel | 0.300 | 193 | 22.5 | 0.030 |
| VI | T | HRb | HRd | COF | |||||||||||
|---|---|---|---|---|---|---|---|---|---|---|---|---|---|---|---|
| 71.16 | 842.41 | 170 | 0.19 | 1 | 29.511 | 36.7 | 0.285 | 210 | 61.5 | 0.025 | 0.285 | 210 | 61.5 | 0.025 | 0.0413 |
| Feature | Mean (Percentage Points) | Normalized Importance (%) |
|---|---|---|
| Speed (rpm) | 2.27 | 100.0 |
| Ball roughness (Ra) | 1.85 | 81.5 |
| Normal load (N) | 1.78 | 78.4 |
| Ball hardness (HRC) | 1.52 | 67.0 |
| Viscosity (mPa·s) | 1.23 | 54.2 |
| Temperature (°C) | 1.15 | 50.7 |
| Ball Young’s modulus (GPa) | 0.76 | 33.5 |
| Viscosity Index (VI) | 0.60 | 26.4 |
| Pressure–viscosity coefficient (PVC) | 0.49 | 21.6 |
| Lubricant density (kg/m3) | 0.38 | 16.7 |
| Ball Poisson’s ratio | 0.27 | 11.9 |
| Disk roughness (Ra) | 0.19 | 8.4 |
| Disk hardness (HRC) | 0.16 | 7.0 |
| Disk Young’s modulus (GPa) | 0.15 | 6.6 |
| Disk Poisson’s ratio | 0.09 | 4.0 |
| Feature | Tribosystem 1 10W60 Oil, 52100 Ball °C | Tribosystem 2 10W60 Oil, Ball °C | |
|---|---|---|---|
| Lubricant properties | [cSt] | 153.18 | 45.50 |
| [kg/m3] | 872.58 | 837.30 | |
| VI | 160 | 160 | |
| [GPa−1] | 1.4 | 1.4 | |
| Operating conditions | N [rpm] | 750 | 750 |
| [N] | 20 | 20 | |
| [°C] | 40 | 60 | |
| Contact properties | 0.285 | 0.29 | |
| [GPa] | 210 | 350 | |
| [HRC] | 61.5 | 80 | |
| [µm] | 0.025 | 0.0125 | |
Disclaimer/Publisher’s Note: The statements, opinions and data contained in all publications are solely those of the individual author(s) and contributor(s) and not of MDPI and/or the editor(s). MDPI and/or the editor(s) disclaim responsibility for any injury to people or property resulting from any ideas, methods, instructions or products referred to in the content. |
© 2026 by the authors. Licensee MDPI, Basel, Switzerland. This article is an open access article distributed under the terms and conditions of the Creative Commons Attribution (CC BY) license.
Share and Cite
Granja, V.; Higgs, C.F., III. Deep Learning Data-Driven Model for Stribeck Curve Prediction of Lubricated Tribo-Pairs. Lubricants 2026, 14, 25. https://doi.org/10.3390/lubricants14010025
Granja V, Higgs CF III. Deep Learning Data-Driven Model for Stribeck Curve Prediction of Lubricated Tribo-Pairs. Lubricants. 2026; 14(1):25. https://doi.org/10.3390/lubricants14010025
Chicago/Turabian StyleGranja, Victoria, and C. Fred Higgs, III. 2026. "Deep Learning Data-Driven Model for Stribeck Curve Prediction of Lubricated Tribo-Pairs" Lubricants 14, no. 1: 25. https://doi.org/10.3390/lubricants14010025
APA StyleGranja, V., & Higgs, C. F., III. (2026). Deep Learning Data-Driven Model for Stribeck Curve Prediction of Lubricated Tribo-Pairs. Lubricants, 14(1), 25. https://doi.org/10.3390/lubricants14010025

