Abstract
This study evaluates the production of base oils for biolubricants using fatty acid methyl esters (FAMEs) derived from sunflower oil as the raw material. The production process involved the synthesis of oleochemical esters through a single-step alkaline transesterification reaction with a high-molecular-weight polyol, such as trimethylolpropane (TMP). To assess the effectiveness of the developed catalytic system in conducting the transesterification reactions and its impact on the properties of the final product, two types of alkaline catalysts were used. Specifically, the reactions were carried out using either Ca/TEA alkoxide or sodium methoxide as catalysts in various configurations and concentrations to determine the optimal catalyst concentration and reaction conditions. Sodium methoxide served as the commercial benchmark catalyst, while the Ca/TEA alkoxide was prepared in the laboratory. The optimal concentration of Ca/TEA was determined to be 3.0% wt. in the presence of iso-octane and 3.5% wt. under vacuum, while the corresponding concentrations of CH3ONa for both cases were determined to be 2.0% wt. The synthesized biolubricant esters exhibit remarkable performance characteristics, such as high kinematic viscosities and low pour points—ranging from 33–48 cSt at 40 °C, 7.68–10.03 cSt at 100 °C, to −14 to −7 °C, respectively—which are comparable to or improved over those of mineral oils such as SN-150 or SN-500, with the Ca/TEA alkoxide-catalyzed systems showing superior oxidation stability and reduced byproduct formation.
1. Introduction
The growing concern over environmental pollution, combined with the gradual depletion of fossil raw material reserves and the need for sustainable alternatives, has driven intensive research and development of biolubricants as substitutes for conventional petroleum-based lubricants [1]. Biolubricants, derived from renewable raw materials such as vegetable oils, offer advantages including biodegradability, low toxicity, good lubricating performance, and high thermal stability [2]. These characteristics make them environmentally friendly and technologically attractive for various industrial and mechanical applications [3].
In addition, the need to support the agricultural economy through the utilization of energy crops and specialty crops such as sunflower varieties—along with the promising market value of biolubricants—makes this sector a strong candidate for national economic development [4]. Although sunflower oil is a valuable human nutrition source, its use in the production of high-added-value biolubricants can still be economically justified and beneficial to the agricultural sector. Sunflower oil is especially well-suited for biolubricant development due to its good physicochemical properties, high abundance, renewability, and biodegradability [5]. Concerns that this use may compete with human nutrition are overstated when considering that non-food-grade and surplus sunflower oil—often unsuitable for consumption due to oxidation or impurities during storage or transport—can be redirected toward industrial applications. In 2022, global sunflower oil production exceeded 21.5 million metric tons [6]. Thus, diversifying some of this production toward industrial applications such as biolubricants can increase value-added processing within rural areas. Furthermore, sunflower varieties used for biolubricant production often fall outside typical food channels, and their cultivation can increase farm income by 10–20% [7]. The significant price premium for biolubricants—up to 2–4 times that of conventional lubricants—creates a strong economic incentive for farmers and processors [8]. In the EU, sunflower seed production generated over EUR 3.1 billion in 2022, and allocating even a small percentage of that yield to industrial use can add disproportionately high value without substantially affecting food markets [9,10]. Thus, leveraging domestic sunflower oil production for biolubricants represents a sustainable and profitable diversification strategy for agriculture, rather than a threat to food security [11].
The global biolubricants market has shown a steady upward trend in recent years, driven by stricter environmental regulations and growing awareness of sustainability issues [12]. According to recent market studies, the global biolubricants market was valued at approximately USD 2.55 billion in 2023, with forecasts projecting it to exceed USD 3 billion by 2028, representing an annual growth rate (CAGR) of over 6% [13]. These regulations have propelled biolubricant usage in ecologically sensitive sectors—forestry, agriculture, and waterways [14,15]. As an example, bio-based forestry lubricants in North America and Europe surpassed USD 160 million in 2020 and are projected to exceed USD 680 million by 2027 [16]. In agriculture, biodegradable tractor transmission fluids in Germany specifically grew by 40% annually between 2020–2023 [17]. Moreover, over 45,000 commercial vessels in these regions now employ biodegradable marine lubricants in compliance with IMO and VGP standards—a switch that has reduced marine spills by up to 60% in countries like Norway [17].
Renewable raw materials such as vegetable oils—and, in particular, sunflower oil—stand out as one of the most promising feedstocks for biolubricant production due to their wide availability, high degree of unsaturation, and cost-effectiveness amongst other vegetable oils [18,19,20,21]. Although raw vegetable oils possess certain favorable characteristics such as high biodegradability, renewability, and good lubricity, they also suffer from significant drawbacks that limit their direct use as lubricants. These include poor oxidation stability, high pour points, and inadequate thermal stability due to the presence of unsaturated and long-chain triglycerides [20]. Therefore, chemical modifications of vegetable oil are essential to tailor its properties for lubrication applications. Its conversion into a reliable biolubricant oil primarily occurs through chemical modifications, such as alkaline transesterification, a process that requires the use of suitable catalysts. Sodium methoxide and Ca/TEA (calcium/triethanolamine) alkoxide are prominent catalysts in sustainable biolubricant production [19]. Sodium methoxide (CH3ONa), a strong homogeneous base, efficiently promotes the transesterification of vegetable-oil-derived fatty acid methyl esters with branched polyols such as trimethylolpropane (TMP) achieving >95% conversion under mild conditions (~100–120 °C, 2% wt. catalyst) [19,22]. Its advantages include fast reaction rates, sufficient selectivity, and excellent phase separation, while drawbacks include handling hazards, sensitivity to moisture, medium soap formation, and catalyst recyclability issues. In contrast, Ca/TEA alkoxide—formed by reacting calcium compounds with triethanolamine—is of particular interest as it serves as a greener, heterogeneous catalyst with lower environmental burden compared to homogeneous catalysts [19,20]. That is because this system facilitates transesterification reaction processes in short reaction times, offers lower toxicity, minimal byproduct formation, easier catalyst separation, and reusability, thus reducing waste and environmental impact.
The aim of this study is to synthesize biolubricants from sunflower oil methyl esters using both a homogeneous catalyst (sodium methoxide) and a heterogeneous catalytic system (Ca/TEA alkoxide) and to evaluate their physicochemical and rheological properties [23]. Overall, this research seeks not only the efficient conversion of sunflower oil but also the development of products that meet the requirements of modern lubrication applications, in alignment with environmental considerations and the principles of green chemistry and engineering [24]. At the same time, it addresses a research field that aspires to demonstrate the techno-economic importance of producing biofuels and biolubricants within the same production line [11,25]. This line can be flexibly adjusted to match market demand, intensifying the production of either product and contributing to the advancement of the biorefinery concept as a sustainable and long-term technological platform [25,26,27].
Moreover, the development of high-added-value products with negligible environmental footprints such as biolubricants—and the evaluation of their potential to replace conventional petroleum-based lubricants based on key physicochemical and tribological properties (e.g., oxidative stability and lubricity) [28]—contributes to the optimization of quality and the widespread acceptance of alternative lubricants [29].
2. Material and Methods
As a raw material for the production of biolubricants, a domestically produced mixture of methyl esters from sunflower oil (SUNOME) was used. This product is commercially available, was produced industrially, and was supplied by P.N.Pettas S.A. in Patras, Greece. Its quality characteristics are presented in the following table (Table 1). The fatty acid methyl esters composition of the SUNOME is shown in Table 2. In all reactions for the synthesis of oleochemical esters, the polyol used was trimethylolpropane (TMP) in crystal flakes with a purity of 98% wt. by Sigma-Aldrich (St. Louis, MO, USA). Therefore, all biolubricants evaluated consisted of fatty acid trimethylolpropane esters (FATMPEs).
For the catalysis of the above syntheses, both commercially available anhydrous powder of sodium methoxide (CH3ONa) with 99% purity by Acros Organics (Thermo Fisher Scientific, Waltham, MA, USA) and laboratory-synthesized Ca/TEA alkoxide were used. Lastly, analytical-grade isooctane, provided by Sigma-Aldrich (St. Louis, MO, USA), was used as a solvent in transesterification processes. All reagents employed for synthesis, physicochemical property analysis, and product purification were of high purity. They were supplied by Sigma-Aldrich and Acros Organics.
It is worth noting that for the purposes of this study, the SUNOME mixture was examined in terms of its physicochemical properties in comparison with the quality specifications of EN 14214 [30]—critical for the requirements of biolubricant synthesis reactions—such as density, viscosity at 40 °C, acid number, and the mass content of esters and water. This choice was made because the methyl esters served exclusively as intermediate products for the production of fatty acid trimethylolpropane esters and were not utilized as fuel.
Table 1.
Physicochemical properties of SUNOMEs.
Table 1.
Physicochemical properties of SUNOMEs.
| Property | Unit | SUNOME | EN 14214 Limits | Standard Method |
|---|---|---|---|---|
| Density (15 °C) | g/cm3 | 0.880 | 0.860–0.900 | EN ISO 12185 [31] |
| Kinematic viscosity (40 °C) | mm2/s | 4.413 | 3.50–5.00 | EN ISO 3104 [32] |
| Water content | mg/kg | 250.4 | Max. 500 | EN ISO 12937 [33] |
| Acid value (AV) | mg KOH/g | 0.27 | Max. 0.50% | EN 14104 [34] |
| Ester content | m/m | 97.6% | Min. 96.5% | EN 14103 [35] |
| Methanol content | m/m | 0.06% | Max. 0.2% | EN 14110 [36] |
| Linolenic acid methyl ester content | m/m | 0.4% | Max. 12% | EN 14103 [35] |
Table 2.
Composition of the methyl esters (in m/m contents).
Table 2.
Composition of the methyl esters (in m/m contents).
| Fatty Acid | Molecular Formula | SUNOME | |
|---|---|---|---|
| Caproic | CH3(CH2)4COOCH3 | C6:0 | 0.0% |
| Caprylic | CH3(CH2)6COOCH3 | C8:0 | 0.0% |
| Capric | CH3(CH2)8COOCH3 | C10:0 | 0.0% |
| Lauric | CH3(CH2)10COOCH3 | C12:0 | 0.0% |
| Myristic | CH3(CH2)12COOCH3 | C14:0 | 0.4% |
| Myristoleic | CH3(CH2)3CH=CH(CH2)7CO2CH3 | C14:1 | 0.2% |
| Palmitic | CH3(CH2)14COOCH3 | C16:0 | 7.5% |
| Palmitoleic | CH3(CH2)5CH=CH(CH2)7CO2CH3 | C16:1 | 0.1% |
| Margaric | CH3(CH2)15COOCH3 | C 17:0 | 0.0% |
| Stearic | CH3(CH2)16COOCH3 | C18:0 | 3.9% |
| Oleic | CH3(CH2)7CH=CH(CH2)7CO2CH3 | C18:1 | 32.9% |
| Linoleic | CH3(CH2)4CH=CHCH2CH=CH- (CH2)7CO2 CH3 | C18:2 | 52.9% |
| Linolenic | CH3(CH2CH=CH)3(CH2)7CO2CH3 | C18:3 | 0.4% |
| Arachidic | CH3(CH2)18COO CH3 | C20:0 | 0.0% |
| Eicosenoic | CH3(CH2)7CH=CH(CH2)9CO2CH3 | C20:1 | 0.0% |
| Behenic | C21H43COOCH3 | C22:0 | 0.8% |
| Erucic | CH3(CH2)7CH=CH(CH2)11CO2CH3 | C22:1 | 0.0% |
| Lignoceric | C23H47COOCH3 | C24:0 | 0.9% |
The conversion of SUNOME into fatty acid trimethylolpropane esters (FATMPEs) was carried out via alkaline transesterification using sodium methoxide (CH3ONa) [37] and Ca/TEA alkoxide as catalysts [22], in concentrations ranging from 1.0% to 3.0 wt.% and 2.0% to 4.0 wt.%, respectively. The aim was to determine the optimal formulation, either using isooctane as a solvent under atmospheric pressure or using no solvents under vacuum conditions [38].
Firstly, the Ca/TEA alkoxide catalyst was synthesized in the laboratory by reacting calcium hydroxide (Ca(OH)2) with triethanolamine (TEA) under anhydrous conditions. The mixture was stirred at 110 °C using toluene as a solvent until a homogeneous viscous liquid formed (Figure 1). This complex is a calcium triethanolamine alkoxide, in which calcium is chelated by two TEA molecules through their hydroxyl groups. The resulting catalyst is a coordination complex exhibiting both Lewis basic and nucleophilic behavior, which facilitates the transesterification reaction by activating the carbonyl group of the methyl esters and enhancing nucleophilic attack by the polyol. The Ca/TEA alkoxide catalyst is heterogeneous in nature and can be separated from the reaction mixture via centrifugation or filtration.
Figure 1.
Schematic depiction of the Ca/TEA alkoxide catalyst synthesis reaction.
In the first case, the transesterification reactions were conducted in a 250 mL glass round-bottom flask equipped with a Dean–Stark trap and reflux condenser, enabling the capture and removal of methanol produced during the reaction. This step facilitated an increased conversion rate according to Le Chatelier’s principle. In the second case, vacuum was maintained inside the reaction flask at 0.05 bar using a centrifugal vacuum pump, which directed the methanol vapors into a cold trap [22,38].
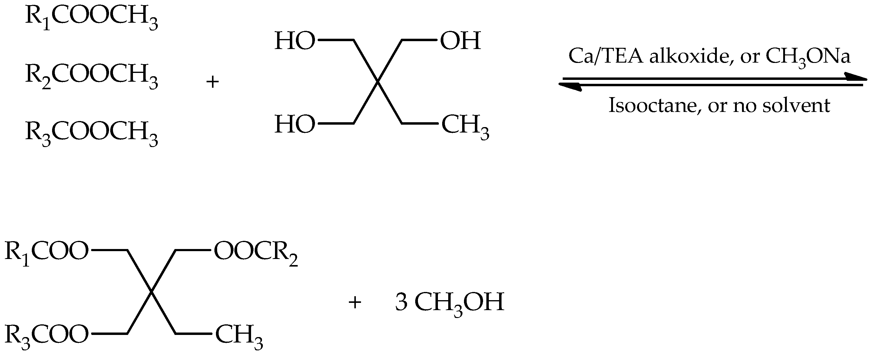
All reactions between methyl esters and trimethylolpropane were performed at a stoichiometric ratio of 3:1 and at temperatures (Figure 2) close to the boiling point of the reaction mixture at the corresponding pressure conditions [39]. The specific conditions were as follows:
Figure 2.
Conversion of fatty acid methyl esters (FAMEs) into TMP esters. R1, R2, and R3 denote long-chain fatty acid groups.
- For isooctane-assisted reactions: 200 °C at atmospheric pressure;
- For vacuum-assisted reactions: 120 °C under 0.05 bar vacuum.
After each batch reaction was completed, heating was first stopped, allowing the product mixture to cool to room temperature. Then, stirring ceased, and the mixture was centrifuged at 3500 rpm for 15 min to isolate the catalyst and any solid precipitates that formed at the bottom of the centrifuge vessels [22]. In cases where centrifugation did not efficiently separate the solids, the mixture underwent vacuum filtration to remove the solid phase [37]. When isooctane was used, it was recovered by vacuum distillation using a rotary evaporator [22].
Following the synthesis and evaluation of the physicochemical properties of the produced FATMPE compounds as synthetic biolubricants, their potential as renewable substitutes for conventional Group I base oils such as SN-150 and SN-500 mineral oils was assessed. The aforementioned mineral oils were provided by Oil Compo, a lubricants blending facility in Paiania, Greece.
3. Results
The FATMPE compounds produced through the conversion of fatty acid methyl esters using CH3ONa and Ca/TEA as catalysts at various concentrations were evaluated in terms of their physicochemical properties as potential base lubricating oils.
Initially, the TMP-esters that were produced at the optimal catalyst concentration in each case were subjected to FTIR spectroscopic analysis in order to be identified based on their characteristic functional groups. The results of these analyses are presented in the spectra shown in Figure 3, Figure 4, Figure 5 and Figure 6.
Figure 3.
Infrared spectrum of SUNOTMPEs produced with CH3ONa as catalyst at 2% wt. and with isooctane as solvent.
Figure 4.
Infrared spectrum of SUNOTMPEs produced with CH3ONa as catalyst at 2% wt. under vacuum.
Figure 5.
Infrared spectrum of SUNOTMPEs produced with Ca/TEA alkoxide as catalyst at 3.5% wt. and with isooctane as solvent.
Figure 6.
Infrared spectrum of SUNOTMPEs produced with Ca/TEA alkoxide as catalyst at 3.5% wt. under vacuum.
The quantitative analysis of the synthesized fatty acid trimethylolpropane esters (FATMPEs) under various catalytic and process conditions clearly demonstrates the influence of catalyst type and concentration on product quality. Based on Table 3, Table 4, Table 5 and Table 6, the optimum concentrations of sodium methoxide (CH3ONa) were found to be 2.0% wt. under both isooctane and vacuum conditions, whereas the optimal concentrations for Ca/TEA alkoxide were 3.0% wt. with isooctane and 3.5% wt. under vacuum. The optimal catalyst concentration values for each experimental configuration were selected and are summarized in Table 7. This table also includes a comparison with the corresponding physicochemical property values of SN-150 and SN-500 oils, which belong to Group I of base lubricating oils.
Table 3.
Physicochemical properties of SUNOTMPEs synthesized in the presence of CH3ONa as catalyst using isooctane as solvent.
Table 4.
Physicochemical properties of SUNOTMPEs synthesized in the presence of Ca/TEA alkoxide as catalyst using isooctane as solvent.
Table 5.
Physicochemical properties of SUNOTMPEs synthesized in the presence of CH3ONa as catalyst under vacuum.
Table 6.
Physicochemical properties of SUNOTMPEs synthesized in the presence of Ca/TEA alkoxide as catalyst under vacuum.
Table 7.
Physicochemical properties of SUNOTMPEs synthesized at the optimal catalyst concentrations, using isooctane as solvent or under vacuum, and of base lubricating oils SN-150 and SN-500.
4. Discussion
Regarding the quality characteristics of the produced products, the methyl esters used as raw materials for the production of biolubricants must comply with the EN 14214 [30] specification standard. In contrast, the final biolubricants must meet the performance criteria defined in the standards that govern the specific lubricating oil applications they aim to replace (e.g., SAE J300 (SAE International, Warrendale, PA, USA) for engine lubricants).
The experimental results presented in Table 1 and Table 2 demonstrate that the physicochemical properties of the methyl esters meet all the relevant EN 14214 specifications. For example, chromatographic analysis conducted in accordance with standard method EN 14103 showed that the methyl ester content in the final products falls within the acceptable limit (≥96.5% m/m). Similarly, other examined properties—such as density at 15 °C, kinematic viscosity at 40 °C, water content, and acid number—also comply with the relevant standards.
However, as previously mentioned, this study does not explore the potential of using the produced methyl esters as fuel. Instead, it evaluates their use as a raw material to produce biolubricants, which can potentially serve as renewable substitutes for traditional mineral base oils such as SN-150 and SN-500. Mineral base oils such as SN-150 and SN-500 belong to Group I base oils, as classified by the American Petroleum Institute (API), and are produced via solvent refining of petroleum fractions. These oils typically contain less than 90% saturates, have a sulfur content above 0.03% wt., and have moderate oxidation stability. SN-150 has a kinematic viscosity of approximately 30–35 mm2/s at 40 °C, while SN-500 falls in the range of 55–65 mm2/s, making them suitable for automotive, hydraulic, and industrial lubricants [44].
Firstly, as far as the spectrographic identification is concerned, the FTIR analysis of the produced TMP esters gave largely similar spectra. In each case, C–H stretching vibrations of methyl and methylene groups were observed, with a strong absorption band between wavenumbers 2970–2850 cm−1. Also, a strong peak appears in the range of 1730–1750 cm−1, which is characteristic of the ester carbonyl groups. The appearance of a characteristic peak between 1060–1050 cm−1—observed in all samples—corresponds to C–O stretching vibrations and is considered to be due to the formation of TMP (tri-) esters [45].
The physicochemical analysis of the synthesized fatty acid trimethylolpropane esters (FATMPEs) using two different catalytic systems—commercial sodium methoxide (CH3ONa) and lab-synthesized calcium/triethanolamine (Ca/TEA) alkoxide—demonstrates significant variation in performance depending on both catalyst type and reaction conditions. The transesterification of sunflower oil methyl esters into high-value-added biolubricants was conducted under two distinct methodologies: using isooctane as a solvent under atmospheric pressure and via a vacuum-assisted solvent-free approach [22,38]. The results summarized in Table 7 provide a comprehensive view of the optimal product quality across these configurations.
The optimal concentrations of CH3ONa for both cases were determined to be 2.0%, wt. while the corresponding concentration of Ca/TEA was determined to be 3.0% wt. in the presence of isooctane and 3.5% wt. under vacuum, confirming that the latter requires a slightly higher catalytic load but delivers markedly improved product performance [19]. Ca/TEA-based systems consistently outperformed their CH3ONa counterparts in key properties such as viscosity, oxidation stability, and water content, particularly under vacuum conditions [19,22].
All optimized biolubricant formulations exhibited low acid values, with the best results achieved using CH3ONa under vacuum (0.06 mg KOH/g). Ca/TEA systems achieved similar performance (0.07–0.09 mg KOH/g), demonstrating that both catalysts effectively promoted the transesterification processes with minimal residual acidic acidity and corrosive behavior. Notably, Ca/TEA under vacuum also delivered the lowest water content (70 mg/kg), a critical factor for improving storage stability and reducing the risk of hydrolytic degradation.
One of the most critical performance attributes of lubricant base oils is kinematic viscosity, as it dictates film strength and load-bearing capacity [3]. Ca/TEA-catalyzed bioubricants, especially under vacuum, achieved the highest values of kinematic viscosity amongst the produced oleochemical esters: 48.44 mm2/s at 40 °C and 10.03 mm2/s at 100 °C. These exceed even those of SN-500 at 100 °C (8.79 mm2/s), although SN-500 has higher viscosity at 40 °C. In comparison, CH3ONa-catalyzed products showed moderately lower viscosities, which could limit their performance in heavy-load applications.
Overall, the produced TMP-esters demonstrated exhibited very high viscosity index values (200–213), significantly surpassing those of SN-150 (107) and SN-500 (112). This reflects their superior thermal viscosity stability, a direct outcome of the branched molecular structure of the esters and the minimal presence of volatile fractions [2,3,20]. In general, a high viscosity index is a desirable feature for lubricants, especially in cases of elastohydrodynamic lubrication, as it prevents a drastic decrease in viscosity with increasing temperature and is essential for maintaining stable lubrication over a wide temperature range. Even though Ca/TEA under vacuum showed a slightly lower VI (200), the absolute kinematic viscosity values remained higher, indicating excellent high-temperature lubrication potential.
Furthermore, the synthesized esters showed excellent low-temperature behavior, with pour points ranging from −10 °C to −7 °C, making them viable for use in moderate-to-cold environments [18,19]. The pour point represents the lowest temperature at which the lubricant can still flow, and it is desirable for this to be low in order to ensure the oil’s pumpability during cold ignition. While mineral oils like SN-150 achieved slightly better values (−13 °C), the bio-based samples—especially those synthesized with CH3ONa—showed comparable cold-flow characteristics, meeting a key functional benchmark for base oils.
Τhe evaluation of these results dictates that it is evident that the produced biolubricants can effectively substitute mineral oil SN-150, even offering particularly beneficial effects in enhancing the afore-mentioned physicochemical properties. Regarding SN-500, although the kinematic viscosity of the SUNOTMPEs at 40 °C was not suitable for replacing the mineral oil, the situation is entirely different at elevated temperatures (100 °C). This suggests that the lubricity of the biolubricant esters at high temperatures is potentially highly competitive, if not superior, to that of the mineral oil [1,2,3,21,38].
Based on the assessment of oxidation stability, the performance of both mineral oils was, as expected, significantly higher than that of the biolubricants. That is due to the fact that unsaturated fatty acid chains are susceptible to oxidative degradation [1,2]. Despite this, Ca/TEA-based esters achieved notably higher oxidation resistance (43.56 min under vacuum and 39.42 min in RSSO testing in the presence of isooctane), nearly doubling that of the best CH3ONa formulation (26.19 min) and representing a significant advancement. However, mineral oils like SN-150 (434.5 min) and SN-500 (1461 min) remain far superior in oxidation stability, owing to their saturated hydrocarbon structure and absence of reactive sites [3].
Therefore, while the obtained synthetic oleochemical esters could replace mineral oils in a wide range of applications, the above-mentioned limitation must be acknowledged, especially for applications requiring extended drain intervals, high oxidative potential, or high thermal loads. Although their oxidation stability remains lower than that of refined mineral oils, the Ca/TEA-catalyzed biolubricants developed in this study show significant improvements over traditional bio-based esters and offer a renewable, environmentally friendly alternative for partial or complete substitution in several low-to-medium-severity lubrication applications [1,2]. Nevertheless, the gap is narrowing through improved catalysis and could be further mitigated with antioxidant additives or partial hydrogenation of the feedstock [46].
At this point it should be noted that despite the fact that this study does not include tribological performance testing (e.g., friction coefficient, wear scar diameter), it provides a foundational physicochemical evaluation of sunflower-oil-derived fatty acid trimethylolpropane esters (FATMPEs) as base oil candidates. These TMP-based esters have previously been shown to possess excellent lubricity and anti-wear behavior in fully formulated biolubricants when blended with additives or co-base stocks [8,28]. Therefore, the materials synthesized here could be suitable for applications such as hydraulic fluids, biodegradable gear oils, or metalworking fluids, where high viscosity indices and biodegradability are critical. Further work is required to evaluate specific tribological performance under standardized test conditions.
The method of catalyst deployment plays a key role in determining product quality and sustainability. The vacuum-assisted method, particularly when used with Ca/TEA, outperformed the isooctane-based method across multiple parameters:
- Higher viscosities and oxidation stability were consistently observed under vacuum conditions.
- The vacuum method avoids the use of organic solvents like isooctane, improving environmental safety and reducing downstream processing.
- Operating at lower reaction temperatures (100–120 °C), the vacuum route reduces energy demand and minimizes thermal stress on sensitive unsaturated chains.
- Methanol removal is efficient via cold-trapping under vacuum, driving the reaction forward without the need for solvent-based azeotropes.
Conversely, the isooctane method, while slightly easier to implement at lab scale, introduces additional complexity through solvent recovery, potential VOC emissions, and higher process temperatures (180–200 °C). Despite these drawbacks, it remains viable for small-scale synthesis or in facilities lacking vacuum infrastructure [22].
Overall, the vacuum method paired with Ca/TEA represents the most promising configuration in terms of product performance and environmental profile for industrial biolubricant production [19].
Even under atmospheric pressure using isooctane, Ca/TEA achieved slightly higher viscosity and significantly improved oxidation stability (39.42 min vs. 26.63 min) compared to sodium methoxide. At the same time, it allows Ca/TEA-catalyzed biolubricant oils to be considered for a significantly broader range of applications compared to those synthesized using CH3ONa as a catalyst. All these remarks suggest superior catalytic efficiency and selectivity of the Ca/TEA system in promoting transesterification and minimizing byproduct formation reactions. Therefore, the Ca/TEA catalytic system supports multiple principles of green chemistry [22,47]:
- Waste prevention (Principle 1): The clean reaction pathway minimizes byproducts and post-processing steps.
- Safer chemicals (Principle 4): It replaces hazardous CH3ONa, minimizing fire risk and handling hazards.
- Solvent reduction (Principle 5): Vacuum synthesis avoids VOCs like isooctane.
- Design for energy efficiency (Principle 6): The lower processing temperature in vacuum reactions cuts energy usage.
- Catalysis (Principle 9): The heterogeneous nature of Ca/TEA enhances activity with potential for reuse, reducing waste [20].
This greener profile adds substantial value to the biolubricant fabrication process, especially in the context of sustainable biorefinery development.
5. Conclusions
This study focuses on the evaluation of trimethylolpropane esters produced through alkaline transesterification processes under vacuum or using isooctane as a solvent under atmospheric pressure, in the presence of either CH3ONa or Ca/TEA alkoxide as a catalyst. Based on the experimental investigation of the synthetic oleochemical trimethylolpropane esters and the comparison of their properties with those of conventional mineral oils, the following conclusions can be drawn:
- They exhibit noteworthy performance characteristics, such as high kinematic viscosities and low pour points—ranging from 33–48 cSt at 40 °C, 7.68–10.03 cSt at 100 °C, to −14 to −7 °C, respectively—which are comparable to or improved over those of mineral oils. These values ensure good flowability, lubricity, and pumpability of the biolubricant at both high and low temperatures.
- They have significantly higher viscosity indices than mineral oils, indicating excellent thermal stability and the ability to function across a wide temperature range.
- Among the two catalytic systems, the superiority of Ca/TEA alkoxide over CH3ONa is evident, as demonstrated by the kinematic viscosity, oxidation stability, and viscosity index measurements.
- It is observed that using Ca/TEA alkoxide instead of CH3ONa enables the synthesis of biolubricants with significantly improved performance—especially when the synthesis is conducted under vacuum conditions, which is particularly advantageous as it allows for both the elimination of isooctane and lower reaction temperatures.
- The oxidation resistance of any biolubricant was significantly lower than that of each mineral oil tested, which limits their use to specific applications such as non-recoverable or high-risk lubrication scenarios that involve low thermal and oxidative loads. However, they can still be used in blends with traditional mineral oils or after the addition of suitable performance-enhancing additives.
- Ca/TEA offers a safer, greener, and more sustainable pathway for biolubricant synthesis, reducing reliance on fossil-derived or hazardous catalytic agents.
- Overall, the vacuum method paired with Ca/TEA represents the most promising configuration in terms of product performance and environmental profile for industrial biolubricant production.
Author Contributions
Conceptualization, D.F. and G.A.; Methodology, G.A.; Formal analysis, D.F.; Resources, D.K.; Data curation, G.A.; Writing—original draft, D.F. and G.A.; Writing—review & editing, D.K.; Supervision, D.K. All authors have read and agreed to the published version of the manuscript.
Funding
This research received no external funding.
Data Availability Statement
The original contributions presented in the study are included in the article, further inquiries can be directed to the corresponding author.
Conflicts of Interest
The authors declare no conflict of interest.
Abbreviations
The following abbreviations are used in this manuscript:
| FAMEs | Fatty acid methyl esters |
| TMP | Trimethylolpropane |
| Ca/TEA | Calcium/triethanolamine alkoxide |
| TEA | Triethanolamine |
| SUNOMEs | Sunflower oil methyl esters |
| FATMPEs | Fatty acid trimethylolpropane esters |
| SUNOTMPEs | Sunflower oil trimethylolpropane esters |
References
- Salih, N.; Salimon, J. A review on eco-friendly green biolubricants from renewable and sustainable plant oil sources. Biointerface Res. Appl. Chem. 2021, 11, 13303–13327. [Google Scholar] [CrossRef]
- Kurre, S.K.; Yadav, J. A review on bio-based feedstock, synthesis, and chemical modification to enhance tribological properties of biolubricants. Ind. Crops Prod. 2023, 193, 116122. [Google Scholar] [CrossRef]
- Cecilia, J.A.; Plata, D.B.; Saboya, R.M.A.; de Luna, F.M.T.; Cavalcante, C.L.; Rodríguez-Castellón, E. An overview of the biolubricant production process: Challenges and future perspectives. Processes 2020, 8, 257. [Google Scholar] [CrossRef]
- Shah, R.; Woydt, M.; Zhang, S. The economic and environmental significance of sustainable lubricants. Lubricants 2021, 9, 21. [Google Scholar] [CrossRef]
- Sharma, B.K.; Adhvaryu, A.; Liu, Z.; Erhan, S.Z. Chemical modification of vegetable oils for lubricant applications. J. Am. Oil Chem. Soc. 2006, 83, 129–136. [Google Scholar] [CrossRef]
- FAO. FAOSTAT Statistical Database: Crops and Livestock Products; Food and Agriculture Organization of the United Nations: Rome, Italy, 2023; Available online: https://www.fao.org/faostat/en/ (accessed on 18 July 2025).
- Böcker, T.; Finger, R.; Dalhaus, T. Opportunities and limitations of revenue insurance for high-oleic sunflower production. Agric. Econ. 2020, 51, 247–259. [Google Scholar] [CrossRef]
- Knothe, G.; Steidley, K.R. Lubricity of components of biodiesel and petrodiesel. Energy Fuels 2005, 19, 1192–1200. [Google Scholar] [CrossRef]
- European Commission. EU Agricultural Markets Data—Sunflower Seeds; European Commission Agriculture and Rural Development: Brussels, Belgium, 2023; Available online: https://agriculture.ec.europa.eu (accessed on 18 July 2025).
- OECD-FAO. OECD-FAO Agricultural Outlook 2021–2030; Organisation for Economic Co-operation and Development and Food and Agriculture Organization of the United Nations: Paris, France, 2021. [Google Scholar] [CrossRef]
- de Sá Parente, E.J.; de Oliveira, L.B.; de Luna, F.M.T.; Cavalcante, C.L. Integrated production of biolubricants and biodiesel: Process simulation and technical–economic analysis. Biomass Convers. Biorefinery 2023, 14, 23709–23732. [Google Scholar] [CrossRef]
- Prema, E.; Sundar, V.S.; Lynch, M.; Sivaraman, K.; Venkatesan, P.R. The need for eco-friendly green bio-lubricants to achieve united nations sustainable development goals: An analysis. AIP Conf. Proc. 2024, 2986, 030079. [Google Scholar] [CrossRef]
- Statista. Market Value of Bio-Based Lubricants Worldwide from 2021 to 2023, with a Forecast Until 2031. Available online: https://www.statista.com/statistics/1461186/global-bio-lubricants-market-size-forecast/ (accessed on 15 June 2025).
- Statista. Lubricants Demand Worldwide. Available online: https://www.statista.com/statistics/411616/lubricants-demand-worldwide/ (accessed on 15 June 2025).
- Ahmad, U.; Naqvi, S.R.; Ali, I.; Naqvi, M.; Asif, S.; Bokhari, A.; Juchelková, D.; Klemeš, J.J. A review on properties, challenges and commercial aspects of eco-friendly biolubricants productions. Chemosphere 2022, 309, 136622. [Google Scholar] [CrossRef] [PubMed]
- Pmarketresearch. Environmentally Friendly Lubricant Market. Pmarketresearch.com. 2023. Available online: https://pmarketresearch.com/chemi/environmentally-friendly-lubricant-market/ (accessed on 15 July 2025).
- Pmarketresearch. Readily Biodegradable Lubricant Market. Pmarketresearch.com. 2023. Available online: https://pmarketresearch.com/chemi/readily-biodegradable-lubricant-market/ (accessed on 15 July 2025).
- Karmakar, G.; Ghosh, P.; Sharma, B.K. Chemically modifying vegetable oils to prepare green lubricants. Lubricants 2017, 5, 44. [Google Scholar] [CrossRef]
- Dodos, G.S.; Anastopoulos, G.; Zannikos, F. Production of Biobased Lubricant Basestocks with Improved Performance; SAE Technical Paper 2012-01-1620; SAE: Warrendale, PA, USA, 2012. [Google Scholar] [CrossRef]
- Nogales-Delgado, S.; Encinar, J.M.; González, J.F. A Review on Biolubricants Based on Vegetable Oils through Transesterification and the Role of Catalysts: Current Status and Future Trends. Catalysts 2023, 13, 1299. [Google Scholar] [CrossRef]
- Hájek, M.; Vávra, A.; de Paz Carmona, H.; Kocík, J. The Catalysed Transformation of Vegetable Oils or Animal Fats to Biofuels and Bio-Lubricants: A Review. Catalysts 2021, 11, 1118. [Google Scholar] [CrossRef]
- Dodos, G.S.; Karonis, D.; Zannikos, F.; Lois, E. Renewable fuels and lubricants from Lunaria annua L. Ind. Crops Prod. 2015, 75, 43–50. [Google Scholar] [CrossRef]
- Narayana Sarma, R.; Vinu, R. Current Status and Future Prospects of Biolubricants: Properties and Applications. Lubricants 2022, 10, 70. [Google Scholar] [CrossRef]
- Sarker, M.I.; Ngo, H.; Sharma, B.K.; Wagner, K.M.; Jones, K.C.; Powell, M.J. Green synthesis of trimethylolpropane triisostearate and triisooleate for usage as bio-lubricants. Tribol. Int. 2023, 186, 108649. [Google Scholar] [CrossRef]
- Abdel Hamid, E.M.; Amer, A.M.; Mahmoud, A.K.; Mokbl, E.M.; Hassan, M.A.; Abdel-Monaim, M.O.; Amin, R.H.; Tharwat, K.M. Box-Behnken design (BBD) for optimization and simulation of biolubricant production from biomass using aspen plus with techno-economic analysis. Sci. Rep. 2024, 14, 21769. [Google Scholar] [CrossRef] [PubMed]
- Barbosa, M.S.; Freire, C.C.C.; Brandão, L.M.S.; Pereira, E.B.; Mendes, A.A.; Pereira, M.M.; Lima, Á.S.; Soares, C.M.F. Biolubricant production under zero-waste Moringa oleifera Lam biorefinery approach for boosting circular economy. Ind. Crops Prod. 2021, 167, 113542. [Google Scholar] [CrossRef]
- Barbera, E.; Hirayama, K.; Maglinao, R.L.; Davis, R.W.; Kumar, S. Recent developments in synthesizing biolubricants—A review. Biomass Convers. Biorefinery 2024, 14, 2867–2887. [Google Scholar] [CrossRef]
- Shahabuddin, M.; Mofijur, M.; Kalam, M.A.; Masjuki, H.H. Study on the friction and wear characteristics of bio-lubricant synthesized from second generation jatropha methyl ester. Tribol. Ind. 2020, 42, 41–49. [Google Scholar] [CrossRef]
- Saha, C.; Pradhan, S. Bio-Lubricants. Lubricants from Renewable Feedstocks; Wiley: Hoboken, NJ, USA, 2024; pp. 445–471. [Google Scholar] [CrossRef]
- DIN EN 14214:2019; Liquid Petroleum Products—Fatty Acid Methyl Esters (FAME) for Use in Biodiesel Engines and Heating Applications–Requirements and Test Methods (Includes Amendment: 2019). Deutsche Institut für Normung e.V. (DIN): Berlin, Germany, 2019.
- EN ISO 12185: 1996; Petroleum Products—Determination of Density—Oscillating U-tube Method. International Organization for Standardization (ISO): Geneva, Switzerland, 1996.
- EN ISO 3104: 2017; Petroleum Products—Transparent and Opaque Liquids—Determination of Kinematic Viscosity and Calculation of Dynamic Viscosity. International Organization for Standardization (ISO): Geneva, Switzerland, 2017.
- EN ISO 12937: 2000; Petroleum Products—Determination of Water—Karl Fischer Method. International Organization for Standardization (ISO): Geneva, Switzerland, 2000.
- EN 14104: 2011; Fat and Oil Derivatives—Fatty Acid Methyl Esters (FAME)—Determination of Acid Value. European Committee for Standardization (CEN): Brussels, Belgium, 2011.
- EN 14103: 2011; Fat and Oil Derivatives—Fatty Acid Methyl Esters (FAME)—Determination of Ester Content and Ester Distribution. European Committee for Standardization (CEN): Brussels, Belgium, 2011.
- EN 14110; Fat and Oil Derivatives—Fatty Acid Methyl Esters (FAME)—Determination of Methanol Content. European Committee for Standardization (CEN): Brussels, Belgium, 2003.
- Encinar, J.M.; Nogales-Delgado, S.; Pinilla, A. Biolubricant production through double transesterification: Reactor design for the implementation of a biorefinery based on rapeseed. Processes 2021, 9, 1224. [Google Scholar] [CrossRef]
- Qiao, S.; Shi, Y.; Wang, X.; Lin, Z.; Jiang, Y. Synthesis of Biolubricant Trimethylolpropane Trioleate and Its Lubricant Base Oil Properties. Energy Fuels 2017, 31, 7185–7190. [Google Scholar] [CrossRef]
- Elmelawy, M.S.; El-Meligy, A.; Mawgoud, H.A.; Morshedy, A.S.; Hanafy, S.A.; El-Sayed, I.E. Synthesis and kinetics study of trimethylolpropane fatty acid triester from oleic acid methyl ester as potential biolubricant. Biomass Convers. Biorefinery 2023, 13, 1645–1657. [Google Scholar] [CrossRef]
- ASTM D97: 2020; Standard Test Method for Pour Point of Petroleum Products. ASTM International: West Conshohocken, PA, USA, 2020.
- ASTM D7042: 2020; Standard Guide for Properties of Diesel Fuels. ASTM International: West Conshohocken, PA, USA, 2020.
- ASTM D2270: 2020; Standard Practice for Calculating Viscosity Index of Petroleum Oils. ASTM International: West Conshohocken, PA, USA, 2020.
- ASTM D7545: 2020; Standard Test Method for Oxidation Stability of Middle Distillate Fuels—Rapid Small Scale Oxidation Test (RSSOT). ASTM International: West Conshohocken, PA, USA, 2020.
- Rizvi, S.Q.A. Lubricant Base Oil and Wax Processing; Marcel Dekker: New York, NY, USA, 2003; pp. 1–35. [Google Scholar]
- Arbain, D.; Salimon, J. Synthesis and characterization of ester trimethylolpropane from renewable feedstock as potential biolubricant base stock. Sci. Res. Essays 2010, 5, 519–525. [Google Scholar]
- Khan, S.; Das, P.; Quadir, M.A.; Thaher, M.; Annamalai, S.N.; Mahata, C.; Hawari, A.H.; al Jabri, H. A comparative physicochemical property assessment and techno-economic analysis of biolubricants produced using chemical modification and additive-based routes. Sci. Total Environ. 2022, 847, 157648. [Google Scholar] [CrossRef]
- Anastas, P.T.; Warner, J.C. Green Chemistry: Theory and Practice; Oxford University Press: New York, NY, USA, 1998. [Google Scholar]
Disclaimer/Publisher’s Note: The statements, opinions and data contained in all publications are solely those of the individual author(s) and contributor(s) and not of MDPI and/or the editor(s). MDPI and/or the editor(s) disclaim responsibility for any injury to people or property resulting from any ideas, methods, instructions or products referred to in the content. |
© 2025 by the authors. Licensee MDPI, Basel, Switzerland. This article is an open access article distributed under the terms and conditions of the Creative Commons Attribution (CC BY) license (https://creativecommons.org/licenses/by/4.0/).





