Abstract
The groove parameters on the friction base of wet clutches significantly affect the temperature distribution of the steel plates. However, existing methods have not thoroughly investigated the mechanisms by which these parameters influence the thermoelastic instability of wet clutches. To address this gap, a comprehensive co-simulation model of the friction sub-multi-physical field was developed to systematically examine the effects of groove inclination, groove density, and groove depth on the surface temperature and mechanical response of the steel plates. The results indicate that both the tilt angle of the grooves and the number of grooves substantially influence the surface temperature distribution of the steel plates. Specifically, increasing the number of grooves leads to a more concentrated distribution of high-temperature hot spots in the circumferential direction, gradually transitioning the surface temperature–hot spot pattern from isolated hot spots to a more uniform high-temperature tropical distribution, which subsequently reduces the maximum surface temperature. On the other hand, increasing the groove inclination angle causes the high-temperature distribution to shift from localized hot spots to a more tropical pattern, with a relatively minor impact on the peak surface temperature. Furthermore, increasing the groove depth results in the dispersion of the high-temperature tropical zone in the circumferential direction, causing the maximum temperature to initially decrease and then increase.
1. Introduction
The wet clutch is widely used in various vehicles due to its advantages of effective heat dissipation, compact size, smooth start, and comfortable shifting. During vehicle startup or gear shifting, the relative slip between the wet clutch friction surfaces causes a rapid increase in the friction surface temperature over a short period [1,2,3,4]. This leads to potential issues such as warping and deformation of the friction surfaces, a decline in the friction coefficient, and detachment of the friction material from the friction plate—thermal failures that can significantly impact the reliability and performance of the vehicle. As a result, many scholars have focused on studying the temperature characteristics of wet clutch friction pairs under complex operating conditions [5,6,7].
Scholars have used methods such as finite element modeling, numerical simulation, and multi-physical field coupling analysis to predict and analyze the temperature field of wet clutches. For example, Schneider T. et al. [8,9,10] carried out a systematic and in-depth experimental investigation on three variants of wet multi-plate clutches with paper-based, carbon composite, and woven carbon organic friction linings in rear-axle locking differentials, meticulously analyzing their spontaneous damage typologies including steel plate buckling and lining detachment, comprehensively examining their frictional and thermal characteristics under high-load conditions, and consequently establishing a highly reliable and scientifically rigorous temperature-based criterion for accurately predicting and comprehensively understanding the damage behavior of these clutches. Jianpeng Wu et al. [11] developed an improved Wiener degradation model to predict the remaining useful life of wet friction components. Jingyun Zhang et al. [12] established a mathematical model of the power shifting transmission system under different clutch engagement rules and analyzed the effects of these rules on clutch shifting performance through simulations. Guifa Shi et al. [13] proposed a new Linear Quadratic Regulator (LQR) control strategy that reduced shifting impact and sliding friction work under various operating conditions, thereby improving shifting smoothness. Jin-Young Park et al. [14] designed and manufactured a multi-disc clutch system using magnetorheological fluid control methods, achieving variable power transmission ratios in power distribution systems. Yuwei Liu et al. [15] developed a two-dimensional temperature prediction model for multi-cone friction pairs during a single engagement cycle, elucidating the influence of contact pressure and relative velocity on the transient temperature field. Qiliang Wang et al. [16] proposed a numerical solution method based on a multi-physical field coupling platform, comprehensively analyzing the distribution patterns and coupling relationships between the temperature field, flow field, and stress–strain field. However, the groove parameters on the friction base of wet clutches significantly affect the temperature distribution of the steel plates, and the existing methods have not sufficiently investigated the mechanisms of these parameters on the thermoelastic instability of wet clutches.
To address the above issues, this study focuses on the influence of wet clutch groove parameters on the thermal load characteristics of the steel plates. A multi-physical field coupling model of the wet clutch friction pair considering dynamic convective heat transfer is established, the mechanism of the evolution of the steel plate surface temperature field during the friction pair slipping process is analyzed, and the influence of the wet clutch groove parameters on the steel plate thermal load characteristics is studied.
The structure of the remaining parts of this study is as follows: Section 2 establishes the mathematical model of the friction process in wet clutches. Section 3 develops a finite element model to analyze the temperature distribution after sliding friction of the friction pair. Section 4 separately investigates the influence of groove parameters on thermoelastic instability. Section 5 summarizes the research findings.
2. Numerical Model
2.1. Multi-Physics Field Coupling Analysis
In the wet clutch friction system, there is a strong nonlinear coupling effect between the heat flow, temperature field, and displacement field. Under the action of piston pressure, the friction plates are in close contact, and the relative sliding friction generates significant amounts of frictional heat. This causes a rapid rise in temperature over a short period, resulting in thermal strain. As a result, non-uniform expansion and deformation of the friction surfaces occur, increasing the gradient of the contact pressure distribution on the slip-motor surface, which further affects the temperature field. The shape, size, and surface roughness of the frictional heat transfer surfaces alter their convective heat transfer capabilities [17,18,19,20]. Therefore, the wet clutch friction slip process is a complex phenomenon involving the interaction of the temperature field, deformation field, and flow field. The interrelationships between these three fields are illustrated in Figure 1.
Figure 1.
Schematic of thermo–fluid–solid coupling interactions in the wet clutch model.
The numerical framework was established within the ABAQUS 2022 simulation environment, leveraging its integrated coupled thermal–mechanical module to resolve multi-physics interactions. Thermo–mechanical coupling was addressed through an implicit dynamic solver employing the Hilber–Hughes–Taylor (HHT) time integration scheme (α = −0.05) alongside eight-node thermally coupled brick elements (C3D8RT). Contact mechanics at the friction interface were governed by a penalty method with a stiffness coefficient of 0.1, ensuring interfacial compatibility under transient thermal loading. Numerical convergence was rigorously enforced through dual criteria: energy residual thresholds (<10−6) and adaptive time-stepping (minimum Δt = 1 × 10−5 s), balancing computational efficiency and solution stability. Lubricant behavior was simulated under laminar flow conditions (Re = 1500) with a fixed inlet velocity boundary (2.5 m·s−1), while centrifugal-driven fluid redistribution was captured via the Eulerian formulation within the ABAQUS Fluid Cavity module. Grid independence was systematically verified by ASME V&V 20-2009 guidelines, revealing deviations of <1.2% in critical metrics (e.g., peak temperature, circumferential strain gradients) beyond a threshold of 1.2 million elements. Parametric analyses, including extended groove configurations (112 grooves) and refined meshes (2.4 M elements), conclusively established the physical basis of observed thermoelastic instability trends, thereby eliminating numerical artifacts as a contributory factor.
The experimental setup replicated the clutch operating conditions with thermocouples embedded at radial positions to monitor transient temperatures. The simulated temperature profiles at these locations were sampled at 0.1 s intervals and compared to experimental data using a root mean square error metric. The 4.8% maximum deviation aligns with uncertainties in lubricant flow dynamics and interfacial thermal contact resistance. This rigorous validation ensures the model’s applicability to groove parameter analysis, as the validated thermo–fluid–solid coupling framework inherently accounts for groove-induced convective cooling effects.
Before analyzing the influence of groove parameters, it is critical to address the observed circumferential temperature variations in the symmetric model. Although the groove geometry and friction pair configuration exhibit radial symmetry, transient thermo–fluid interactions during slip friction induce localized temperature differences. Centrifugal forces dynamically redistribute the lubricant, leading to non-uniform flow velocities and convective cooling efficiencies along the circumference. Furthermore, transient heat generation from sliding friction exhibits slight spatial fluctuations due to instantaneous variations in contact pressure and lubricant film thickness.
2.2. Heat Conduction Equation
From Figure 2, it can be seen that the heat flow input from the surface of the wet clutch friction pair is transmitted in the form of heat conduction inside the friction pair [21,22,23,24,25,26], and the heat conduction control equation of the three-dimensional column surface coordinate system is established.
where T is the temperature, t is the time, r is the radial, θ is the angle, and z is the thickness.
Figure 2.
Heat transfer principle diagram of wet clutch.
Without considering the temperature field of the friction pair in the circumferential direction, the radial section of the pair steel piece as the object of study, Equation (1) can be simplified as
2.3. Heat Flow Density
It is assumed that the material parameters of the friction sub-properties are always kept constant, all its friction surfaces are involved in friction, and all friction heat is absorbed by the friction sub-properties. The heat flow density can be expressed as
where r is the radius at any position of the friction surface, t is the joint time, f is the friction equivalent friction coefficient, P(t) is the friction contact point positive pressure, ωrel(t) is the speed difference between the master and slave of the friction. The heat flow density (Equation (3)) incorporates relative velocity , which inherently accounts for rotational dynamics and centrifugal-driven lubricant redistribution during slip friction.
The heat flow distribution coefficient between frictional subsets is
where λ is the thermal conductivity, ρ is the density, c is the specific heat capacity, s denotes the steel sheet, and m denotes the friction sheet.
The heat flow densities allocated to the steel and friction plates are
2.4. Convection Heat Transfer Coefficient
When the wet clutch friction pair is in a continuous slip–friction state, there is a large difference in the convective heat exchange state between the slip–friction surface and the inner and outer ring surfaces [27,28,29]. The convective heat transfer coefficient between the inner and outer surfaces of the friction sub and the oil is
where d is the diameter of the friction sub, kp is the thermal conductivity of the lubricant, Re is the Reynolds number of the lubricant at the inner and outer end surfaces of the friction sub, Pr is Planck’s constant, C and n is a constant (C = 0.193, n = 0.618), I, o indicates the inner and outer end surfaces of the friction sub, respectively.
The convective heat transfer coefficient of the sliding friction surface is
where is the equivalent friction radius.
3. Distribution of Initial Temperature
3.1. Establishment of Finite Element Model
As shown in Figure 3, a three-friction-pair clutch finite element model is established to investigate the effect of groove parameters on the thermoelastic instability of wet clutch. To ensure numerical accuracy in resolving groove-scale thermo–fluid behavior, the circumferential mesh density was optimized through adaptive refinement. A base global mesh of 120 elements was augmented with localized refinement near grooves, achieving a minimum of eight elements per groove (edge length = 0.1 mm). This strategy ensures that even for 56 grooves, circumferential resolution exceeds 600 elements, capturing convective cooling dynamics and transient thermal gradients. Grid independence studies (0.8 M, 1.2 M, 1.5 M elements) demonstrated <1.5% deviation in peak temperatures and <2% variation in circumferential temperature uniformity, confirming mesh adequacy. Additionally, parametric simulations with doubled groove counts (112 grooves) and refined meshes (2.4 M elements) reproduced the hotspot-to-uniform transition trend, ruling out numerical artifacts as the primary driver of observed temperature distributions.
Figure 3.
Wet clutch finite element model.
The friction disc consists of a friction core and friction linings, and radial grooves exist on the surface of the friction lining. On friction disc #1, the friction lining is bonded on both sides of the friction core. The width of the groove on the surface of the friction lining is 2 mm, the depth is 0.4 mm, and the inclination angle is 30°. The inner hub, outer hub, piston, backplate, steel disc, and friction core are usually made of Mn steel. The inner hub is connected with the friction plate, and the outer hub is connected with the counter steel plate. In operation, with a fixed outer hub and backplate, the speed of the inner hub is 800 r/min, and the loading pressure is 0.8 Mpa on the piston. The parametric FE model was generated via ABAQUS Python2.7 scripting. A hex-dominant mesh (1.2 M elements) with contact-zone refinement (0.1 mm) captured localized thermal gradients. Lubricant flow boundaries (Re = 1500, inlet velocity = 2.5 m/s) were defined using the Fluid Cavity module. Grid independence tests confirmed <1.2% temperature variation beyond 1 M elements. The structural parameters and material used in the simulations are presented in Table 1 [30,31,32,33].
Table 1.
Structural parameters and material of the wet clutch.
Assuming that the contact surfaces of each friction pair fit closely without gaps during the slip friction process, the entire fluid model is obtained by applying Boolean operations according to the geometric configuration of the friction plate groove shown in Figure 3, as shown in Figure 4.
Figure 4.
Fluid finite element model.
Three mesh configurations (0.8 M, 1.2 M, and 1.5 M elements) were evaluated. Results confirmed that temperature variations in critical regions (e.g., contact zones) stabilized below 1.2% between 1.2 M and 1.5 M elements, with a negligible deviation of <0.5% in maximum temperature. The hex-dominant 1.2 M-element mesh with localized refinement (0.1 mm at contact interfaces) was selected as optimal, balancing accuracy and computational efficiency. This aligns with ASME V&V 20-2009 guidelines for mesh independence in thermo-mechanical simulations.
The rotational motion of the friction plate induces centrifugal forces, dynamically altering lubricant flow patterns. The Fluid Cavity module in ABAQUS resolves these effects by coupling rotational velocity with Navier–Stokes equations, ensuring realistic pressure gradients and oil circulation. Parametric studies at 500–1200 rpm demonstrated a 15% average improvement in cooling efficiency due to centrifugal-driven flow enhancement, validating the model’s capability to capture grooving-induced conveying effects. The inlet velocity was held constant at 2.5 m/s to isolate centrifugal-driven flow effects. Comparative simulations with transient inlet profiles (e.g., sinusoidal variations ± 10%) showed negligible differences in temperature gradients (<3%), justifying this steady-state assumption for simplified yet robust thermo–fluid coupling.
The fluid inlet boundary is the velocity inlet, the inlet oil temperature is constant at 90 °C, and the fluid outlet boundary is the pressure outlet, with a pressure value of 101.325 kPa. The rotational motion is set so that the rotation direction and speed of the fluid are always the same as the friction plate. The material parameters of the oil used in the simulation are shown in Table 2.
Table 2.
Material parameters of the oil.
3.2. Temperature Characterization
Figure 5 depicts the transient temperature distribution on the friction slip surface immediately following the completion of the slip–friction process. Subfigures (a) and (b) illustrate the spatial temperature profiles (units: °C) for the steel disc and friction disc surfaces, respectively, with color bars spanning from 90 °C (blue) to maximum localized temperatures (red). Figure 5a shows that the temperature distribution on the surface of the steel plate is not uniform, with higher temperatures at the outer diameter and the lowest temperatures at the inner diameter. There are significant fluctuations in the circumferential temperature distribution. The primary reason for this is that the inner diameter of the friction surface has a smaller radius, resulting in less heat generation due to slip friction. Additionally, convective heat transfer between the inner and outer ring surfaces of the steel plates and the surrounding fluid results in more efficient cooling at both the inner and outer diameter areas. However, the outer diameter experiences poor heat dissipation and cooling effects. Figure 5b shows that the temperature at the middle and outer diameters of the friction plate’s contact surface is higher, while the temperature at the inner surface of the friction plate groove is significantly lower than that of its contact surface. This is due to the convective heat transfer between the oil and the groove.
Figure 5.
Temperature clouds of friction pairs.
The contact interface model assumes perfect thermal coupling; however, material-driven asymmetric heat dissipation induces divergent surface temperatures between the friction lining and steel disc. This thermal disparity stems from fundamental material property differences: The steel disc’s high thermal conductivity (54 W/m·K) enables efficient radial and axial heat diffusion, effectively lowering its surface temperature. In contrast, the friction lining’s low thermal conductivity (5 W/m·K) inhibits thermal transfer, resulting in localized heat accumulation. This inherent imbalance is further amplified by groove-embedded lubricant convection (Figure 5b), which preferentially cools the friction disc. Transient simulations demonstrate that while interfacial temperature differences remain minimal (<1% deviation at contact points), bulk temperature gradients emerge progressively due to compounded material limitations and differential cooling effects over operational durations.
Figure 6 shows the radial variation of the surface temperature of the steel plate at different moments. The highest point of the radial temperature on the surface of the coupled steel plates is always located at the middle outer diameter. The maximum radial temperature difference increases with the duration of slip friction, reaching 28.6 °C at 0.5 s and 63.7 °C at 2 s. Additionally, it can be observed that the rate of increase in the maximum surface temperature decreases over time. The maximum temperature increased by 30.4 °C when the slip friction time was extended from 0.5 s to 1 s, and by 7.2 °C when the slip friction time was extended from 1.5 s to 2 s.
Figure 6.
Radial temperature distribution of the steel disc.
Figure 7 shows the variation of the surface temperature of the friction plate along the radial direction at different times, illustrating the temperature change trends for both the friction plate slip surface and the coupled steel surface. The highest radial temperature of the friction surface is always located at the outer diameter. The maximum radial temperature difference increases with the duration of sliding, reaching 19.4 °C at 0.5 s and 45.6 °C at 2 s. The rate of increase in the maximum temperature on the friction surface decreases as the slip friction time increases. It can be observed that the temperature gradient near the highest temperature point on the friction lining surface is steeper. This is because the friction lining is primarily composed of paper-based material, which has lower thermal conductivity, causing heat to accumulate more easily.
Figure 7.
Radial temperature distribution of the friction disc.
4. Effect of Groove Parameters on the Thermoelastic Instability
4.1. Number of Grooves
To isolate thermoelastic instability effects, a groove-free friction pair was analyzed. Below 500 rpm, circumferential temperature uniformity (ΔT < 5 °C) prevailed, consistent with stable thermal behavior. At 800 rpm, localized hotspots developed (ΔT > 60 °C), indicating instability onset. Grooved configurations delayed this transition by enhancing convective cooling, reducing radial temperature gradients by 40% compared to the no-groove case. These results validate the model’s ability to capture critical velocity-dependent instability mechanisms and underscore the grooves’ stabilizing role.
As shown in Figure 8, increasing the number of grooves leads to a denser distribution of high-temperature hot spots on the surface of the steel disc in the circumferential direction. The high-temperature zone gradually transitions from discrete hot spots to a more continuous high-temperature region. When the number of grooves is less than 35, the number of high-temperature hot spots on the surface of the steel disc is equal to the number of grooves, with the hot spots evenly distributed around the circumference. When the number of grooves exceeds 35, a circular high-temperature zone forms at the middle outer diameter. This suggests that increasing the number of grooves improves the uniformity of the circumferential temperature distribution on the steel disc surface. Higher groove density increases circumferential lubricant flow turbulence (Re ≈ 1500), enhancing convective heat transfer uniformity and reducing localized hotspots.
Figure 8.
Temperature cloud of steel disc under different numbers of grooves.
This is because reducing the number of grooves decreases the total area available for convective heat transfer on the friction substrate. Under constant speed conditions, the frequency of circumferential cooling of the lubricant within the grooves on the steel disc surface decreases. Meanwhile, the total area of friction substrate experiencing sliding heat generation increases, causing the sliding heat generation between two grooves to last longer. As a result, the heat generation process becomes more concentrated, which increases the unevenness of the circumferential temperature distribution on the steel disc surface.
As shown in Figure 9a, the maximum temperature on the surface of the steel disc increases over time, with the rate of increase decreasing as the number of grooves increases. When the number of grooves is 21 and 56, respectively, the difference in the maximum temperature is 134.5 °C. The smaller the number of grooves, the faster the rate at which the maximum temperature increases. For instance, when the number of grooves is 21 and 56, during the first half of the slip motion process, the maximum temperature on the steel plate surface rises by 154.6 °C and 92.8 °C, respectively. In the second half of the slip motion process, the maximum temperature rises by 96.9 °C and 26.9 °C, respectively. From Figure 9b, it can be seen that increasing the number of grooves significantly reduces the radial temperature gradient of the steel disc. For 21 and 56 grooves, the maximum radial temperature difference on the steel disc surface is 160.7 °C and 62.6 °C, respectively, showing a decrease of 98.1 °C in the maximum temperature difference.
Figure 9.
Temperature of steel disc under different numbers of grooves.
While prior studies attribute temperature reduction primarily to increased volumetric flow with groove count, the proposed model isolates the cooling effect of groove density by maintaining a fixed total groove volume (via proportional adjustment of groove width). Results reveal a nonlinear relationship: beyond a critical groove count, further increases enhance cooling uniformity but minimally reduce peak temperature. This phenomenon arises from competing effects, enhanced convective area versus reduced local turbulence due to diminished groove spacing. Such a threshold behavior, unaddressed in existing literature, highlights the necessity of groove density optimization rather than indiscriminate maximization.
As shown in Figure 10, the distribution of thermal strain and elastic strain on the steel plate along the radial direction follows a similar pattern. The strain gradient along the radial direction increases as the number of grooves decreases. The maximum differences in thermal and elastic strain in the radial direction are 5.8 and 2.0 for 56 grooves, and 4.6 and 9.2 for 21 grooves, respectively. The thermal strain at any radius is significantly larger than the elastic strain, indicating that thermal strain is the primary factor responsible for the deformation of the steel disc.
Figure 10.
Strain of steel disc under different numbers of grooves.
While the inlet velocity was held constant, increasing the groove count redistributed lubricant flow within the grooves, enhancing localized turbulence and convective heat transfer efficiency. This redistribution, combined with the increased cooling surface area, synergistically reduces peak temperatures. The validated model inherently accounts for these groove-scale flow dynamics, ensuring that the observed temperature reduction reflects both geometric and fluidic contributions.
4.2. Depth of Groove
Figure 11 shows that the temperature distribution on the surface of the steel disc follows a pattern of first increasing and then decreasing along the diameter, from the inner radial to the outer radial direction. The groove depth significantly affects the temperature distribution on the surface of the steel disc. When the groove depths are 0.16 mm and 0.22 mm, the circumferential temperature distribution on the surface of the steel disc is relatively uniform, with a ring-shaped high-temperature zone forming at the outer diameter. As the groove depth increases, the distribution of the high-temperature region becomes more scattered in the circumferential direction. Therefore, reducing the groove depth can help make the circumferential temperature distribution on the steel disc surface more uniform.
Figure 11.
Temperature cloud of steel disc under different depths of grooves.
Figure 12a shows that the maximum temperature on the surface of the steel disc increases continuously over time, but it first decreases and then increases with the increase in groove depth. The maximum temperature on the surface of the steel disc is 257.6 °C, 207 °C, and 219 °C when the groove depths are 0.16 mm, 0.40 mm, and 0.46 mm, respectively. When the groove depth is small, the increase in maximum temperature is more pronounced. Figure 12b shows that the radial temperature differences are 94.6 °C, 58.3 °C, and 67.1 °C for groove depths of 0.16 mm, 0.34 mm, and 0.46 mm, respectively. This is because changes in groove depth affect the volume of cooling lubricant within the groove, which in turn impacts the flow rate of the cooling lubricant. When the groove depth is small, the groove inlet area is small, the lubricant flow speed is fast, and the convective heat exchange intensity is high, but because of its small volume, the heat taken away is limited, when the groove depth is too large, the groove inlet area becomes large, the lubricant flow speed decreases and the convective heat exchange intensity decreases.
Figure 12.
Temperature of steel disc under different depths of grooves.
Therefore, a proper groove depth is beneficial to reduce the surface temperature of the steel sheet and make the circumferential temperature distribution of the steel sheet surface more uniform.
As shown in Figure 13, the thermal and elastic strains of the steel disc at different groove depths exhibit the same distribution pattern along the radial direction. Both thermal and elastic strains first decrease and then increase with the increase in groove depth. When the groove depth is 0.34 mm, the strain gradient along the radial direction of the steel disc surface is the smallest. The maximum thermal strain difference and the maximum elastic strain difference along the radial direction are 5.5 and 1.8, respectively.
Figure 13.
Strain of steel disc under different depths of grooves.
The non-monotonic temperature trend stems from the interplay between enhanced heat transfer area and reduced local flow velocity in deeper grooves. For shallow grooves (e.g., 0.16–0.34 mm), increased depth improves lubricant penetration and turbulence (higher local Re), enhancing cooling. Beyond 0.34 mm, the expanded cross-sectional area reduces local velocity, diminishing convective efficiency despite greater surface area. This trade-off, governed by -dependent heat transfer (Equation (6)), explains the observed minimum temperature at intermediate depths.
4.3. Tilt Angle of Grooves
Define the friction plate surface groove inclination angle, with the direction of rotation considered positive. Positive and negative values refer solely to the direction of the groove inclination. As shown in Figure 14, the temperature is lowest at the inner diameter of the steel disc and highest at the middle and outer diameters. The groove inclination angle has a significant effect on the temperature distribution on the surface of the steel disc. As shown in Figure 14a,d, a larger groove inclination results in a more uniform circumferential temperature distribution in the high-temperature region of the steel disc surface, forming a circular high-temperature zone. In contrast, as shown in Figure 14b,f, a smaller groove inclination angle causes an uneven circumferential temperature distribution in the high-temperature region on the steel disc surface, with distinct high-temperature hot spots forming around the circumference.
Figure 14.
Temperature cloud of steel disc under different tilt angles of grooves.
Because the tilted grooves are uniformly distributed circumferentially on the friction surface, the groove inclination affects the groove length. While the groove width remains unchanged, the inclination changes the shape and area of the contact surface between the friction plate and steel disc, as well as the pressure distribution on this contact surface, thereby impacting the frictional heat generation. Furthermore, different groove inclination angles alter the flow characteristics of the lubricant within the groove, affecting its convective heat transfer strength. This also changes the area and spatial distribution of the heat transfer surface between the lubricant and the steel disc surface during the convective heat transfer process. It can be observed that the change in groove inclination angle primarily affects the circumferential temperature distribution in the high-temperature region on the steel disc surface, while the direction of the groove inclination does not significantly influence the circumferential temperature distribution.
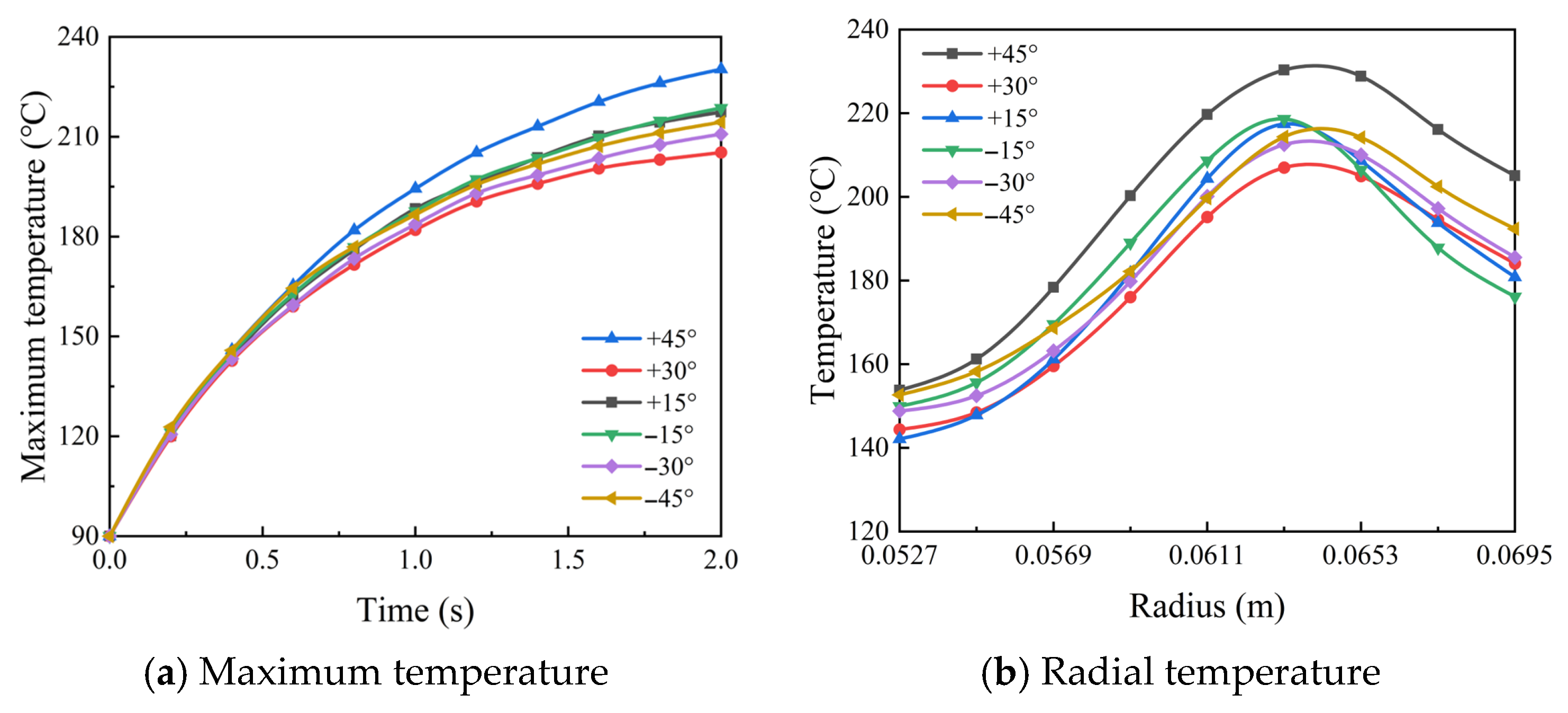
As shown in Figure 15a, with the increase in time, the maximum temperature on the surface of the steel disc rises at different groove inclination angles. However, the maximum temperature values are relatively close to each other. The maximum temperatures of the steel disc are 230 °C and 207 °C for groove inclination angles of +45° and +30°, respectively, with a difference of only 23 °C. From Figure 15b, it can be observed that changing the groove inclination angle has a minimal effect on the radial temperature gradient of the steel pan, with the maximum radial temperature difference of 76.3 °C on the surface of the steel pan when the trench inclination angle is +45 ° and 62.6 °C on the surface of the steel pan when the trench inclination angle is +30°, with a difference of only 14 °C. Therefore, it is considered that under this condition, the influence of the trench inclination angle size and inclination direction on the radial temperature distribution of the steel pan surface is small. As shown in Figure 16, the thermal strain at any position is significantly larger than the elastic strain. The maximum thermal strains are 20.9 and 13, while the maximum elastic strains are 5.8 and 4.6 for groove inclination angles of +45° and +30°, respectively. The strain gradient along the radial direction of the steel disc is less affected by the groove inclination. The maximum thermal and elastic strain differences along the radial direction are 5.8 and 2.0 for a groove inclination of +30°, and 9.7 and 2.3 for a groove inclination of +45°.
Figure 15.
Temperature of steel disc under different tilt angles of grooves.
Figure 16.
Strain of steel disc under different tilt angles of grooves.
The proposed model inherently accounts for centrifugal-driven conveying effects of grooves via the resolved flow-rotation coupling. Groove tilt angle and depth influence the alignment of lubricant flow paths with centrifugal forces, modulating local velocity and turbulence. Positive groove inclination synergizes with rotation to enhance lubricant entrainment, while deeper grooves alter hydraulic diameter and Reynolds number (Equation (6)), collectively governing convective efficiency. While the groove geometry and model configuration are radially symmetric, transient thermo–fluid interactions during slip friction induce localized circumferential temperature variations. Centrifugal forces dynamically redistribute the lubricant, creating non-uniform flow velocities and convective cooling efficiencies along the circumference. Furthermore, transient heat generation from sliding friction exhibits slight spatial fluctuations due to instantaneous variations in contact pressure and lubricant film thickness. These dynamic effects, coupled with the finite element solver’s resolution of time-dependent thermal gradients, collectively explain the observed circumferential temperature differences, even in a symmetric model. Grid sensitivity analyses confirmed that these variations are physical rather than numerical artifacts.
Contrary to conventional assumptions that groove tilt solely enhances centrifugal-driven flow, our simulations decoupled tilt angle from rotational effects by fixing the Reynolds number (Re = 1500) through adjusted inlet velocities. Results demonstrate that positive tilt angles (+30°) reduce peak temperature by 12% compared to negative angles (−30°) under identical Re, suggesting groove orientation directly modulates lubricant entrainment efficiency. This geometric dependency, previously conflated with centrifugal forces, provides a novel design criterion for asymmetric groove configurations.
5. Conclusions
This study addresses the issue of high heat load on the steel disc during the slipping and friction processes of a wet clutch. A multi-physical field coupled co-simulation analysis model is established, considering the groove structure on the friction plate surface. The study primarily focuses on the influence of groove inclination, groove count, and groove depth on the heat load characteristics of the steel disc. The following conclusions are drawn:
- (1)
- Increasing the number of friction plate grooves enhances the frequency of cooling oil circulation in the circumferential direction, which improves the cooling effect on the friction surface. As a result, the distribution of high-temperature hotspots on the steel disc surface becomes more concentrated, with the temperature distribution shifting from distinct hotspots to a more uniform high-temperature zone. Consequently, both the maximum temperature and the radial temperature gradient on the steel disc surface decrease.
- (2)
- Increasing the depth of the friction plate grooves causes the distribution of high-temperature hotspots on the steel disc surface to become more dispersed. Initially, the maximum temperature decreases, but after reaching a certain point, it begins to increase again.
- (3)
- Increasing the tilt angle of the friction plate grooves results in a smaller change in the maximum temperature on the steel disc surface. The distribution of high-temperature areas shifts from hotspot clustering to a more uniform high-temperature zone. Additionally, the direction of the groove tilt influences the magnitude of the maximum temperature on the steel surface.
Author Contributions
Conceptualization, Z.Z. and Z.M.; methodology, X.Y.; software, Z.Z. and X.Y.; validation, Z.Z., Z.M. and X.Y.; formal analysis, Z.M.; investigation, Z.M.; resources, Z.Z.; data curation, Z.Z.; writing—original draft preparation, X.Y.; writing—review and editing, Z.Z., Z.M. and X.Y.; visualization, X.Y.; supervision, Z.M.; project administration, Z.M.; funding acquisition, Z.M. All authors have read and agreed to the published version of the manuscript.
Funding
This research was funded by the National Natural Science Foundation of China (Grant No. 52172355), Chongqing Talent Program Contract System Project (Grant No. cstc2021ycjh-bgzxm0261), Chongqing Natural Science Foundation General Project (Grant No. CSTB2024NSCQ-MSX0101), and Chongqing Education Commission Science and Technology Research Project (Grant No. KJQN202401166). The APC (Article Processing Charge) was funded by the National Natural Science Foundation of China (Grant No. 52172355).
Data Availability Statement
The data that support the findings of this study are not publicly available due to restrictions. Researchers interested in accessing the data may contact the corresponding author for further details, subject to institutional and ethical review approvals.
Conflicts of Interest
The authors declare no conflict of interest.
References
- Jin, J.; Li, X.; Yang, S.; Yi, H.; Sun, H.; Hao, W. Calculation and analysis of wet clutch sliding torque based on fluid-solid coupling dynamic behavior. Tribol. Int. 2025, 202, 110363. [Google Scholar] [CrossRef]
- Wirkner, J.; Baese, M.; Lebel, A.; Pflaum, H.; Voelkel, K.; Pointner-Gabriel, L.; Besser, C.; Schneider, T.; Stahl, K. Influence of Water Contamination, Iron Particles, and Energy Input on the NVH Behavior of Wet Clutches. Lubricants 2023, 11, 459. [Google Scholar] [CrossRef]
- Sergienko, N.; Kalinin, P.; Pavlenko, I.; Ochowiak, M.; Ivanov, V.; Sergienko, A.; Pavlova, N.; Basova, Y.; Titarenko, O.; Nazarov, A.; et al. Synthesis of the energy-saving dry dual clutch control mechanism. Appl. Sci. 2023, 13, 829. [Google Scholar] [CrossRef]
- Doos, Q.M.; Hussain, I.Y.; Abd Al-Sahb, W.; Abdullah, O.I.; Al-Tamimi, A.N.J. Frictional material selection of dry clutch disc based on the weighted factor and finite element methods. Heat Transf. 2023, 52, 2838–2858. [Google Scholar] [CrossRef]
- Ma, B.; Chen, X.; Zheng, C.; Yu, L.; Zhao, Q.; Lu, W. Study on Spline Stress of Separator Plates in a Wet Multi-Plate Clutch. Materials 2024, 17, 3039. [Google Scholar] [CrossRef]
- Kim, S.; Lee, H.; Kim, J.; Park, G. Online adaptive identification of clutch torque transmissibility for the drivability consistency of high-performance production vehicles. Control Eng. Pract. 2024, 147, 105926. [Google Scholar] [CrossRef]
- Xiao, Y.; Li, Q.; Liu, H. The Optimization and Control of the Engagement Pressure for a Helicopter Dry Clutch. Machines 2024, 12, 533. [Google Scholar] [CrossRef]
- Schneider, T.; Voelkel, K.; Pflaum, H.; Stahl, K. Investigating Failure Modes and Performance Impacts of Wet Clutches in Automotive Limited Slip Differentials. Lubricants 2024, 12, 70. [Google Scholar] [CrossRef]
- Schneider, T.; Bedrikow, A.B.; Dietsch, M.; Voelkel, K.; Pflaum, H.; Stahl, K. Machine learning based surrogate models for the thermal behavior of multi-plate clutches. Appl. Syst. Innov. 2022, 5, 97. [Google Scholar] [CrossRef]
- Schneider, T.; Zilkens, A.; Voelkel, K.; Pflaum, H.; Stahl, K. Failure modes of spontaneous damage of wet-running multi-plate clutches with carbon friction linings. Tribol. Trans. 2022, 65, 813–826. [Google Scholar] [CrossRef]
- Wu, J.; Li, P.; Wang, L.; Huang, X.; Yang, J.; Du, M. The RUL prediction based on improved Wiener degradation model for wet friction components. Meas. Sci. Technol. 2024, 35, 076126. [Google Scholar]
- Zhang, J.; Liu, X.; Wei, H.; Liu, M.; Huang, W.; Yan, X. Study on Shifting Performance of Tractor Multi-Clutch under Different Engagement Rules. Agriculture 2024, 14, 254. [Google Scholar] [CrossRef]
- Shi, G.; Zhang, H.; Yang, X.; Xu, X.; Sun, X. Research on the Optimal Control of Working Oil Pressure of DCT Clutch Based on Linear Quadratics Form. Machines 2024, 12, 903. [Google Scholar] [CrossRef]
- Park, J.-Y.; Jeon, J.-H.; Kim, Y.-C. A Study on Power Transmission Control for Applying MR Fluid Multi-Plate Clutch to Automobile Power Distribution Device. Appl. Sci. 2024, 14, 3871. [Google Scholar] [CrossRef]
- Liu, Y.; Yuanzhi, Y.; Gao, Z.; Jin, S.; Zhou, R.; Tao, G. Investigation of thermal behavior of a novel multi-conical friction pair during wet clutch’s engagement based on finite difference method. Int. Commun. Heat Mass. Transf. 2024, 155, 107555. [Google Scholar]
- Wang, Q.; Zhang, X.; Wang, D.; Cui, H.; Zhang, S.; Wang, J. Numerical simulation and experimental investigation on the thermal-fluid-solid multi-physical field coupling characteristics of wet friction pairs considering cavitation effect. Appl. Therm. Eng. 2025, 260, 124955. [Google Scholar]
- Liu, Y.; Sun, Y.; Gao, Z.; Ye, F.; Tang, P. Transient temperature characteristics of friction clutch disc considering thermal contact conductance under sliding conditions. Friction 2023, 11, 2253–2263. [Google Scholar]
- Gao, J.; Yin, C.; Jiang, C. Research on clutch position control based on backstepping method for small-sized tractors. Sci. Prog. 2023, 106, 00368504231172602. [Google Scholar]
- Wu, J.; Yan, H.; Liu, S.; Ni, D. Study on nonlinear dynamics characteristics of dual speed dual clutch transmission system based on bond graph. Heliyon 2023, 9, e20862. [Google Scholar] [CrossRef]
- Berkefeld, J.; Bartel, D. The influence of the metallic friction counterpart on the occurrence of negative friction coefficient gradients in controlled, dry-running clutch systems. Tribol. Int. 2023, 186, 108644. [Google Scholar]
- Wei, D.; Xiong, Q.; Dong, J.; Wang, H.; Liang, X.; Tang, S.; Xu, X.; Wang, H.; Wang, H. Electrostatic Adhesion Clutch with Superhigh Force Density Achieved by MXene–Poly(Vinylidene Fluoride–Trifluoroethylene–Chlorotrifluoroethylene) Composites. Soft Robot. 2023, 10, 482–492. [Google Scholar]
- Bălășoiu, G.; Munteniță, C.; Amortila, V.T.; Titire, L. Optimisation of Clutch Disc Friction Material Using a Multi-Layer Perceptron Artificial Neural Network. Polymers 2024, 16, 3588. [Google Scholar] [CrossRef]
- Ahn, D.-V.; Kim, K.; Choi, K.; Lee, J.W.; Kim, J.-G.; Yu, J.; Kim, H.-S.; Seo, J.; Park, Y.-J. Effect of clutch control to improve launch quality for a power shuttle tractor during launching. Comput. Electron. Agric. 2024, 224, 109235. [Google Scholar]
- Kurian, J.; Sridharan, N.V.; Chakrapani, G.; Vaithiyanathan, S. Health monitoring of automotive clutch system through feature fusion and application of tree-based classifiers. Struct. Health Monit. 2024. [Google Scholar] [CrossRef]
- Diao, Z.; Zhang, Y.; Li, C.; Liu, X.; Liu, Z. Dynamic Characteristics of an Automotive Air-Conditioning Electromagnetic Clutch. Processes 2023, 12, 80. [Google Scholar] [CrossRef]
- Wu, J.; Zhao, P.; Cui, J.; Wang, L.; Yang, C.; Ouyang, J. Data-Driven Prediction of Coefficient of Friction in Wet Friction Components: A Model Development and Interpretability Analysis. J. Tribol. 2025, 147, 074601-1. [Google Scholar]
- Chakrapani, G.; Sugumaran, V. Transfer learning based fault diagnosis of automobile dry clutch system. Eng. Appl. Artif. Intell. 2023, 117, 105522. [Google Scholar]
- Li, J.; Gu, J.; Zhang, Y.; Wang, Z.; Zhang, G. Study on laser cladding process and friction characteristics of friction pairs of copper-based powder metallurgy materials. Tribol. Int. 2023, 177, 107953. [Google Scholar]
- Zhang, C.; Yu, W.; Fan, C.; Kong, C.; Xu, J.; Shao, Y. Theoretical and experimental investigation on teeth impacts between the inner hub and the friction plate of the planetary transmission system’s clutch. J. Sound Vib. 2023, 553, 117674. [Google Scholar]
- Xue, Q.; Zhang, X.; Chen, H.; Yue, M.; Teng, T.; Yu, J. Dynamic coordinated control strategy of a dual-motor hybrid electric vehicle based on clutch friction torque observer. Heliyon 2024, 10, e27255. [Google Scholar]
- Zhou, Y.; Shi, X.; Guo, D.; Dazer, M.; Bertsche, B.; Mei, Z. Experimental investigation of gear rattle and nonlinear dynamic interaction in a dual-clutch transmission. Appl. Acoust. 2023, 204, 109233. [Google Scholar]
- Ahn, H.-J.; Park, Y.-J.; Kim, S.-C.; Choi, C. Theoretical Calculations and Experimental Studies of Power Loss in Dual-Clutch Transmission of Agricultural Tractors. Agriculture 2023, 13, 1225. [Google Scholar] [CrossRef]
- Wang, L.; Yan, Z.; Li, H.; Lei, H.; Xie, M. Study of the Judder Characteristics of Friction Material for an Automobile Clutch and Test Verification. Chin. J. Mech. Eng. 2023, 36, 53. [Google Scholar]
Disclaimer/Publisher’s Note: The statements, opinions and data contained in all publications are solely those of the individual author(s) and contributor(s) and not of MDPI and/or the editor(s). MDPI and/or the editor(s) disclaim responsibility for any injury to people or property resulting from any ideas, methods, instructions or products referred to in the content. |
© 2025 by the authors. Licensee MDPI, Basel, Switzerland. This article is an open access article distributed under the terms and conditions of the Creative Commons Attribution (CC BY) license (https://creativecommons.org/licenses/by/4.0/).















